Effects of Rainfall and Harvest Time on Postharvest Storage Performance of ‘Redson’ Fruit: A New Red Pomelo x Grapefruit Hybrid
Abstract
1. Introduction
2. Materials and Methods
2.1. Plant Material and Harvest Time
2.2. Storage Conditions
2.3. Weight Loss
2.4. Peel Color
2.5. TSS and Acidity
2.6. Decay Incidence
2.7. Flavor Acceptance
2.8. Statistical Analysis
3. Results
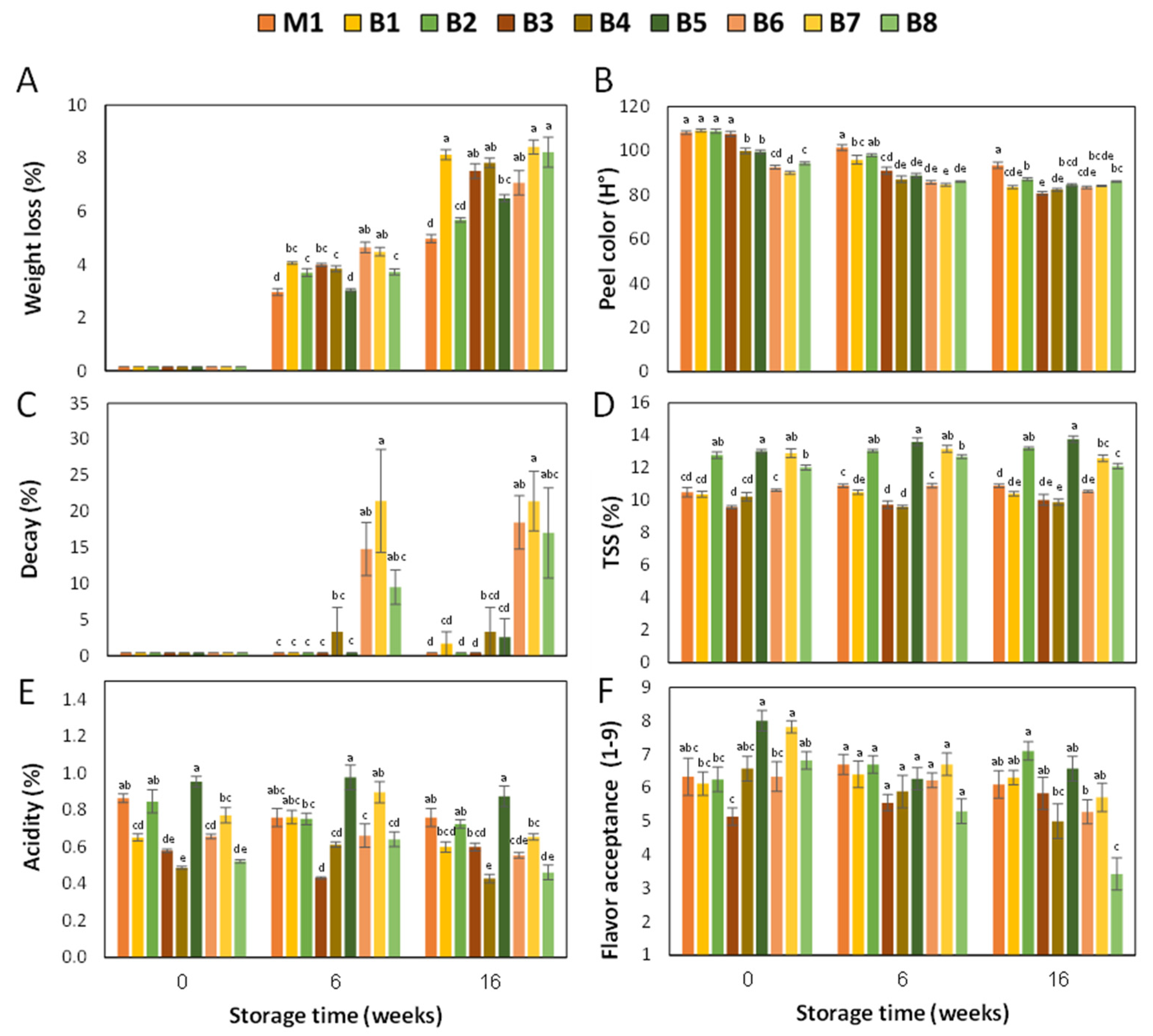
3.1. Postharvest Storage Trials during 2022/23
3.2. Postharvest Storage Trials during 2023/24
3.3. Correlations Analysis
4. Discussion
Supplementary Materials
Author Contributions
Funding
Data Availability Statement
Conflicts of Interest
References
- FAO. Citrus Fruit Statistical Compendium 2020. Rome. 2021. Available online: https://www.fao.org/3/cb6492en/cb6492en.pdf (accessed on 1 September 2024).
- Porat, R.; Deterre, S.; Giampaoli, P.; Plotto, A. The flavor of citrus fruit. In Biotechnology in Flavor Production, 2nd ed.; Havkin-Frenkel, D., Dudai, N., Eds.; John Wiley & Sons: Hoboken, NJ, USA, 2016; pp. 1–31. [Google Scholar] [CrossRef]
- Lv, X.; Zhao, S.; Ning, Z.; Zeng, H.; Shu, Y.; Tao, O.; Xiao, C.; Lu, C.; Liu, Y. Citrus fruits as a treasure trove of active natural metabolites that potentially provide benefits for human health. Chem. Cent. J. 2015, 9, 68. [Google Scholar] [CrossRef] [PubMed]
- Berry, T.M.; Defraeye, T.; Wu, W.; Sibiya, M.G.; North, J.; Cronje, P.J.R. Cooling of ambient-loaded citrus in refrigerated containers: What impacts do packaging and loading temperature have? Biosyst. Eng. 2021, 201, 11–22. [Google Scholar] [CrossRef]
- Schirra, M.; Cohen, E. Long-term storage of ‘Olinda’ oranges under chilling and intermittent warming temperatures. Postharvest Biol. Technol. 1999, 16, 63–69. [Google Scholar] [CrossRef]
- Porat, R.; Weiss, B.; Cohen, L.; Daus, A.; Cohen, E. Effects of intermittent warming and temperature conditioning on the postharvest quality of “Oroblanco” citrus fruit following long-term cold storage. HortTechnology 2003, 13, 70–74. [Google Scholar] [CrossRef]
- Strano, M.C.; Altieri, G.; Allegra, M.; Di Renzo, G.C.; Paterna, G.; Matera, A.; Genovese, F. Postharvest technologies of fresh citrus fruit: Advances and recent developments for the loss reduction during handling and storage. Horticulturae 2022, 8, 612. [Google Scholar] [CrossRef]
- Lado, J.; Cronje, P.; Rodrigo, M.; Zacarías, L. Citrus. In Postharvest Physiological Disorders in Fruits and Vegetables; de Freitas, S.T., Pareek, S., Eds.; CRC Press: Boca Raton, FL, USA, 2019; pp. 377–398. [Google Scholar] [CrossRef]
- Rajiv, G.; Elango, K.; Kalaimani, M.; Jegadeeshkanth, R.P.; Kannan, M.; Arunkumar, P. Postharvest handling of citrus fruits. In Recent Advances in Citrus Fruits; Singh Purewal, S., Punia Bangar, S., Kaur, P., Eds.; Springer: Cham, Switzerland, 2023; pp. 349–365. [Google Scholar] [CrossRef]
- Ismail, M.; Zhang, J. Post-harvest citrus diseases and their control. Outlooks Pest Manag. 2004, 15, 29–35. [Google Scholar] [CrossRef]
- Papoutsis, K.; Mathioudakis, M.M.; Hasperue, J.H.; Ziogas, V. Non-chemical treatments for preventing the postharvest fungal rotting of citrus caused by Penicillium digitatum (green mold) and Penicillium italicum (blue mold). Trends Food Sci. Technol. 2019, 86, 479–491. [Google Scholar] [CrossRef]
- Arpaia, M.L. Preharvest factors influencing postharvest quality of tropical and subtropical fruit. HortScience 1994, 29, 982–985. [Google Scholar] [CrossRef]
- Tyagi, S.; Sahay, S.; Imran, M.; Rashmi, K.; Mahesh, S. Pre-harvest factors influencing the postharvest quality of fruits: A review. Curr. J. Appl. Sci. Technol. 2017, 23, 1–12. [Google Scholar] [CrossRef]
- Pekmezci, M.; Erkan, M.; Demirkol, A. The effects of harvest time and different postharvest applications on the storage of ’Valencia’ oranges. Postharvest Physiol. Fruits 1994, 398, 277–284. [Google Scholar] [CrossRef]
- Schirra, M.; D’hallewin, G.; Cabras, P.; Angioni, A.; Garau, V.L. Seasonal susceptibility of tarocco oranges to chilling injury as affected by hot water and thiabendazole postharvest dip treatments. J. Agric. Food Chem. 1998, 46, 1177–1180. [Google Scholar] [CrossRef]
- Khalid, S.; Malik, A.U.; Khan, A.S.; Khan, M.N.; Ullah, M.I.; Abbas, T.; Khalid, M.S. Tree age and fruit size in relation to postharvest respiration and quality changes in ‘Kinnow’ mandarin fruit under ambient storage. Sci. Hortic. 2017, 220, 183–192. [Google Scholar] [CrossRef]
- Reis, R.F.; Timmer, L.W.; de Goes, A. Effect of temperature, leaf wetness, and rainfall on the production of Guignardia citricarpa ascospores and on black spot severity on sweet orange. Fitopatol. Bras. 2006, 31, 29–34. [Google Scholar] [CrossRef]
- Xue, D.; Liu, J.; Li, B.; Xu, X.; Liu, N.; Lian, S.; Dong, X.; Wang, C. Effect of rainfall and temperature on perithecium production of Botryosphaeria dothidea on cankered apple branches. Phytopathology 2021, 111, 982–989. [Google Scholar] [CrossRef] [PubMed]
- Børve, J.; Stensvand, A. Use of a plastic rain shield reduces fruit decay and need for fungicides in sweet cherry. Plant Dis. 2003, 87, 523–528. [Google Scholar] [CrossRef] [PubMed]
- Soost, R.K.; Cameron, J.W. “Oroblanco”, a triploid pummelo-grapefruit hybrid. HortScience 1980, 15, 667–669. [Google Scholar] [CrossRef]
- Salto, L.; Muniyandi, K.; Porat, R.; Goldenberg, L.; Carmi, N.; Maoz, I. Bitterness and flavanone composition of ‘Redson’ fruit: A new red-fleshed pomelo x grapefruit hybrid. J. Food Comp. Anal. 2024, 133, 106366. [Google Scholar] [CrossRef]
- Boonyakiat, D.; Chen, P.M.; Spotts, R.A.; Richardson, D.G. Effect of harvest maturity on decay and post-harvest life of ‘d’Anjou’ pear. Sci. Hortic. 1987, 31, 131–139. [Google Scholar] [CrossRef]
- Børve, J.; Røen, D.; Stensvand, A. Harvest time influences incidence of storage diseases and fruit quality in organically grown “Aroma” apples. Eur. J. Hortic. Sci. 2013, 78, 232–238. [Google Scholar]







| Code | M1 | B1 | B2 | B3 | B4 | B5 | B6 | B7 | B8 |
|---|---|---|---|---|---|---|---|---|---|
| Orchard | KY | KY | KY | KY | GZ | GZ | RY | GZ | TY |
| Harvest date | 29.10.23 | 02.11.23 | 02.11.23 | 15.11.23 | 16.11.23 | 21.11.23 | 11.12.23 | 07.01.24 | 07.01.24 |
| Rainfall parameters | |||||||||
| Rainfall one week before harvest (mm) | 0 | 0 | 0 | 0 | 4 | 4 | 0 | 1.7 | 2.5 |
| Rainfall two weeks before harvest (mm) | 24 | 24 | 24 | 0 | 4 | 4 | 98 | 103 | 59 |
| Seasonal rainfall until harvest (mm) | 24 | 24 | 24 | 24 | 17 | 17 | 139 | 218 | 196 |
| Stormy days (>30 mm) | 0 | 0 | 0 | 0 | 0 | 0 | 1 | 3 | 1 |
| Horticultural parameters | |||||||||
| Harvest time (weeks from blooming) | 29 | 30 | 30 | 31 | 31 | 32 | 35 | 39 | 39 |
| Yield (ton/dunam) | 5 | 5 | 4 | 5 | 2 | 7 | 7 | 2 | 5 |
| Tree age (years) | 5 | 5 | 5 | 3 | 5 | 12 | 14 | 5 | 14 |
| Descriptor | Harvest Time | Storage Time | Harvest Time × Storage Time | |||
|---|---|---|---|---|---|---|
| F-Ratio | p-Value | F-Ratio | p-Value | F-Ratio | p-Value | |
| Weight loss (%) | 22.13 | <0.001 | 531.2 | <0.001 | 6.15 | <0.001 |
| Peel color (Hº) | 99.3 | <0.001 | 411.9 | <0.001 | 18.3 | <0.001 |
| Decay (%) | 22.3 | <0.001 | 1.84 | 0.18 | 0.39 | 0.85 |
| TSS (%) | 51.8 | <0.001 | 1.12 | 0.33 | 0.51 | 0.88 |
| Acidity (%) | 28.7 | <0.001 | 6.42 | 0.0025 | 1.13 | 0.35 |
| Flavor acceptance (1–9) | 5.68 | <0.001 | 9.84 | <0.001 | 4.1 | <0.001 |
Disclaimer/Publisher’s Note: The statements, opinions and data contained in all publications are solely those of the individual author(s) and contributor(s) and not of MDPI and/or the editor(s). MDPI and/or the editor(s) disclaim responsibility for any injury to people or property resulting from any ideas, methods, instructions or products referred to in the content. |
© 2024 by the authors. Licensee MDPI, Basel, Switzerland. This article is an open access article distributed under the terms and conditions of the Creative Commons Attribution (CC BY) license (https://creativecommons.org/licenses/by/4.0/).
Share and Cite
Salto, L.; Maoz, I.; Goldenberg, L.; Carmi, N.; Porat, R. Effects of Rainfall and Harvest Time on Postharvest Storage Performance of ‘Redson’ Fruit: A New Red Pomelo x Grapefruit Hybrid. Agriculture 2024, 14, 1836. https://doi.org/10.3390/agriculture14101836
Salto L, Maoz I, Goldenberg L, Carmi N, Porat R. Effects of Rainfall and Harvest Time on Postharvest Storage Performance of ‘Redson’ Fruit: A New Red Pomelo x Grapefruit Hybrid. Agriculture. 2024; 14(10):1836. https://doi.org/10.3390/agriculture14101836
Chicago/Turabian StyleSalto, Leanne, Itay Maoz, Livnat Goldenberg, Nir Carmi, and Ron Porat. 2024. "Effects of Rainfall and Harvest Time on Postharvest Storage Performance of ‘Redson’ Fruit: A New Red Pomelo x Grapefruit Hybrid" Agriculture 14, no. 10: 1836. https://doi.org/10.3390/agriculture14101836
APA StyleSalto, L., Maoz, I., Goldenberg, L., Carmi, N., & Porat, R. (2024). Effects of Rainfall and Harvest Time on Postharvest Storage Performance of ‘Redson’ Fruit: A New Red Pomelo x Grapefruit Hybrid. Agriculture, 14(10), 1836. https://doi.org/10.3390/agriculture14101836

