Remote Sensing Dynamics for Analyzing Nitrogen Impact on Rice Yield in Limited Environments
Abstract
1. Introduction
2. Materials and Methods
2.1. Location Description
2.2. Experimental Design
2.3. Data
2.3.1. Yield Data
2.3.2. Crop Growth Indices and Plant N
2.3.3. Remote Sensing Data
2.4. Statistical Analysis
3. Results
3.1. Crop Growth Indices, Plant N, and Yield
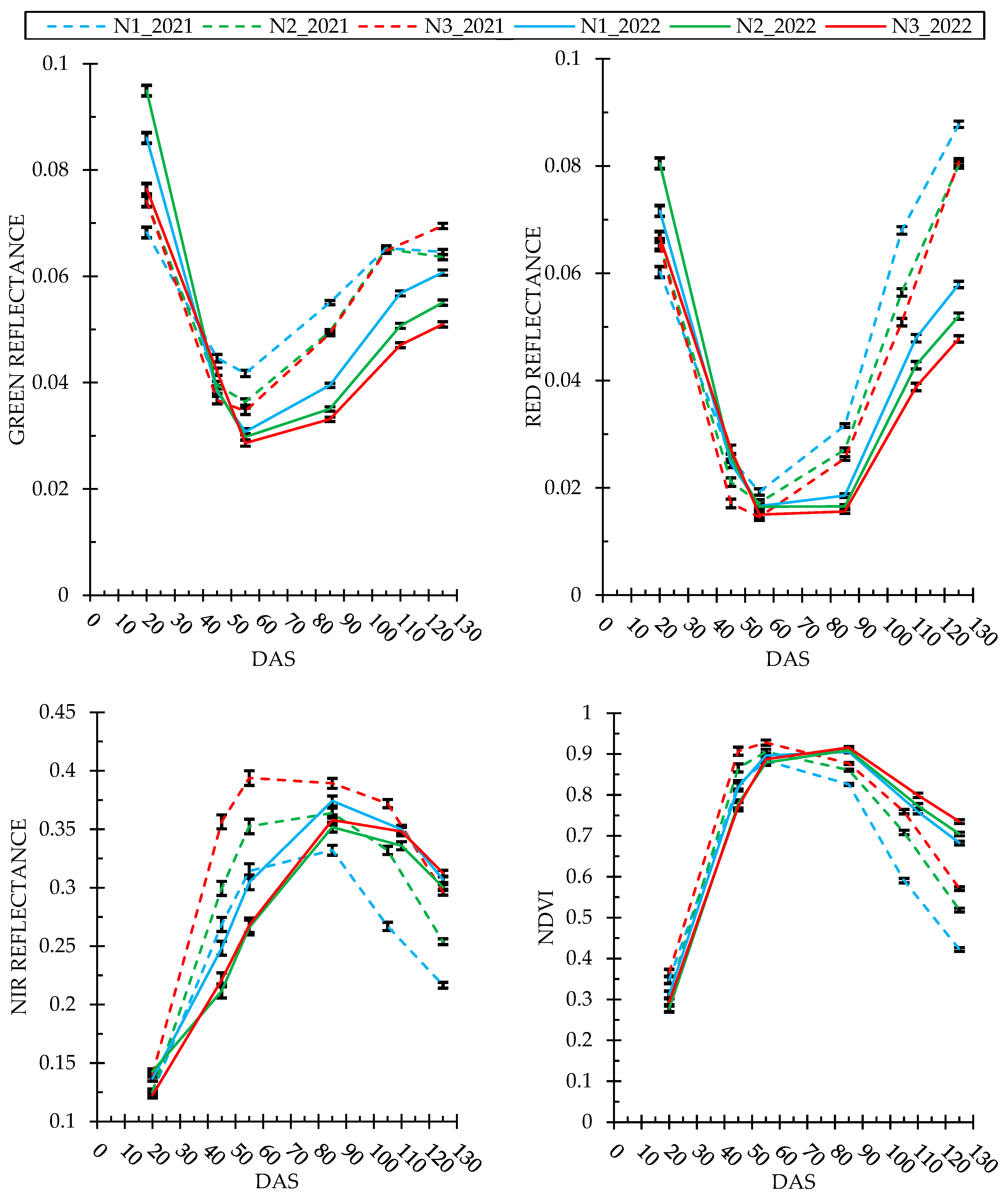
3.2. Remote Sensing Monitoring
3.3. Remote Sensing Modelling
3.4. Protocol for N Effect Evaluation
4. Discussion
4.1. Crop Parameters and Indices
4.2. Satellite Data
4.3. Monitoring Rice Crop Proposal
5. Conclusions
Supplementary Materials
Author Contributions
Funding
Data Availability Statement
Conflicts of Interest
References
- Awika, J.M. Major Cereal Grains Production and Use around the World. In Proceedings of the ACS Symposium Series; ACS Publications: Washington, DC, USA, 2011; Volume 1089. [Google Scholar]
- FAOSTAT. Available online: https://www.fao.org/faostat/en/#home (accessed on 16 July 2024).
- Khush, G.S. Green Revolution: Preparing for the 21st Century. Genome 2011, 42, 646–655. [Google Scholar] [CrossRef]
- Wollenweber, B.; Porter, J.R.; Lübberstedt, T. Need for Multidisciplinary Research towards a Second Green Revolution. Curr. Opin. Plant Biol. 2005, 8, 337–341. [Google Scholar] [CrossRef] [PubMed]
- Gu, J.; Yang, J. Nitrogen (N) Transformation in Paddy Rice Field: Its Effect on N Uptake and Relation to Improved N Management. Crop Environ. 2022, 1, 7–14. [Google Scholar] [CrossRef]
- Liu, Y.; Hu, B.; Chu, C. Toward Improving Nitrogen Use Efficiency in Rice: Utilization, Coordination, and Availability. Curr. Opin. Plant Biol. 2023, 71, 102327. [Google Scholar] [CrossRef]
- Linquist, B.A.; Liu, L.; van Kessel, C.; van Groenigen, K.J. Enhanced Efficiency Nitrogen Fertilizers for Rice Systems: Meta-Analysis of Yield and Nitrogen Uptake. Field Crops Res. 2013, 154, 246–254. [Google Scholar] [CrossRef]
- Kornher, L.; von Braun, J. The Global Food Crisis Will Not Be over When International Prices Are Back to Normal. ZEF Policy Brief SSRN Electron. J. 2023, 42, 1–8. [Google Scholar] [CrossRef]
- Haghshenas, H.; Ghanbari Malidarreh, A. Response of Yield and Yield Components of Released Rice Cultivars from 1990-2010 to Nitrogen Rates. Cent. Asian J. Plant Sci. Innov. 2021, 1, 23–31. [Google Scholar] [CrossRef]
- Gao, Y.; Sun, C.; Ramos, T.B.; Huo, Z.; Huang, G.; Xu, X. Modeling Nitrogen Dynamics and Biomass Production in Rice Paddy Fields of Cold Regions with the ORYZA-N Model. Ecol. Modell. 2023, 475, 110184. [Google Scholar] [CrossRef]
- Li, T.; Angeles, O.; Marcaida, M.; Manalo, E.; Manalili, M.P.; Radanielson, A.; Mohanty, S. From ORYZA2000 to ORYZA (v3): An Improved Simulation Model for Rice in Drought and Nitrogen-Deficient Environments. Agric. For. Meteorol. 2017, 237–238, 246–256. [Google Scholar] [CrossRef]
- Bouman, B.A.M.; Van Laar, H.H. Description and Evaluation of the Rice Growth Model ORYZA2000 under Nitrogen-Limited Conditions. Agric. Syst. 2006, 87, 249–273. [Google Scholar] [CrossRef]
- Pang, G.B.; Li, Y.; Xu, Z.H.; Gao, H.Z. Calibration and Evaluation of ORYZA2000 under Water and Nitrogen Managements. Appl. Mech. Mater. 2014, 641–642, 246–250. [Google Scholar] [CrossRef]
- Cai, S.; Zhao, X.; Yan, X. Effects of climate and soil properties on regional differences in nitrogen use efficiency and reactive nitrogen losses in rice. Environ. Res. Lett. 2022, 17, 054039. [Google Scholar] [CrossRef]
- Skakun, S.; Kalecinski, N.I.; Brown, M.G.L.; Johnson, D.M.; Vermote, E.F.; Roger, J.C.; Franch, B. Assessing Within-Field Corn and Soybean Yield Variability from Worldview-3, Planet, Sentinel-2, and Landsat 8 Satellite Imagery. Remote Sens. 2021, 13, 872. [Google Scholar] [CrossRef]
- Kayad, A.; Sozzi, M.; Gatto, S.; Marinello, F.; Pirotti, F. Monitoring Within-Field Variability of Corn Yield Using Sentinel-2 and Machine Learning Techniques. Remote Sens. 2019, 11, 2873. [Google Scholar] [CrossRef]
- Filippi, P.; Whelan, B.M.; Vervoort, R.W.; Bishop, T.F.A. Mid-Season Empirical Cotton Yield Forecasts at Fine Resolutions Using Large Yield Mapping Datasets and Diverse Spatial Covariates. Agric. Syst. 2020, 184, 102894. [Google Scholar] [CrossRef]
- Saberioon, M.; Amin, M.S.M.; Gholizadeh, A.; Ezri, M.H. A Review of Optical Methods for Assessing Nitrogen Contents during Rice Growth. Appl. Eng. Agric. 2014, 30, 657–669. [Google Scholar] [CrossRef]
- Hank, T.B.; Berger, K.; Bach, H.; Clevers, J.G.P.W.; Gitelson, A.; Zarco-Tejada, P.; Mauser, W. Spaceborne Imaging Spectroscopy for Sustainable Agriculture: Contributions and Challenges. Surv. Geophys. 2019, 40, 515–551. [Google Scholar] [CrossRef]
- Zhang, H.; Duan, Z.; Li, Y.; Zhao, G.; Zhu, S.; Fu, W.; Peng, T.; Zhao, Q.; Svanberg, S.; Hu, J. Vis/NIR Reflectance Spectroscopy for Hybrid Rice Variety Identification and Chlorophyll Content Evaluation for Different Nitrogen Fertilizer Levels. R. Soc. Open Sci. 2019, 6, 191132. [Google Scholar] [CrossRef]
- Brinkhoff, J.; Dunn, B.W.; Robson, A.J.; Dunn, T.S.; Dehaan, R.L. Modeling Mid-Season Rice Nitrogen Uptake Using Multispectral Satellite Data. Remote Sens. 2019, 11, 1837. [Google Scholar] [CrossRef]
- Brinkhoff, J.; Dunn, B.W.; Robson, A.J. Rice Nitrogen Status Detection Using Commercial-Scale Imagery. Int. J. Appl. Earth Obs. Geoinf. 2021, 105, 102627. [Google Scholar] [CrossRef]
- Zheng, J.; Song, X.; Yang, G.; Du, X.; Mei, X.; Yang, X. Remote Sensing Monitoring of Rice and Wheat Canopy Nitrogen: A Review. Remote. Sens. 2022, 14, 5712. [Google Scholar] [CrossRef]
- Lee, Y.J.; Yang, C.M.; Chang, K.W.; Shen, Y. A Simple Spectral Index Using Reflectance of 735 Nm to Assess Nitrogen Status of Rice Canopy. Agron. J. 2008, 100, 205–212. [Google Scholar] [CrossRef]
- Xue, L.; Cao, W.; Luo, W.; Dai, T.; Zhu, Y. Monitoring Leaf Nitrogen Status in Rice with Canopy Spectral Reflectance. Agron. J. 2004, 96, 135–142. [Google Scholar] [CrossRef]
- Zheng, H.; Cheng, T.; Li, D.; Zhou, X.; Yao, X.; Tian, Y.; Cao, W.; Zhu, Y. Evaluation of RGB, Color-Infrared and Multispectral Images Acquired from Unmanned Aerial Systems for the Estimation of Nitrogen Accumulation in Rice. Remote Sens. 2018, 10, 824. [Google Scholar] [CrossRef]
- Rehman, T.H.; Borja Reis, A.F.; Akbar, N.; Linquist, B.A. Use of Normalized Difference Vegetation Index to Assess N Status and Predict Grain Yield in Rice. Agron. J. 2019, 111, 2889–2898. [Google Scholar] [CrossRef]
- Thenkabail, P.S.; Smith, R.B.; De Pauw, E. Hyperspectral Vegetation Indices and Their Relationships with Agricultural Crop Characteristics. Remote Sens. Environ. 2000, 71, 158–182. [Google Scholar] [CrossRef]
- Wang, W.; Yao, X.; Yao, X.F.; Tian, Y.C.; Liu, X.J.; Ni, J.; Cao, W.X.; Zhu, Y. Estimating Leaf Nitrogen Concentration with Three-Band Vegetation Indices in Rice and Wheat. Field Crops Res. 2012, 129, 90–98. [Google Scholar] [CrossRef]
- Bonfil, D.J.; Michael, Y.; Shiff, S.; Lensky, I.M. Optimizing Top Dresseing Nitrogen Fertilization Using Venμs and Sentinel-2 L1 Data. Remote Sens. 2021, 13, 3934. [Google Scholar] [CrossRef]
- González-Piqueras, J.; Lopez-Corcoles, H.; Sánchez, S.; Villodre, J.; Bodas, V.; Campos, I.; Osann, A.; Calera, A. Monitoring Crop N Status by Using Red Edge-Based Indices. Adv. Anim. Biosci. 2017, 8, 338–342. [Google Scholar] [CrossRef]
- Crema, A.; Vandini, G.; Boschetti, M.; Nutini, F.; Cillis, D.; Casa, R. Interaction between Soil Variability and Maize Nitrogen Status Assessment from Sentinel-2. In Proceedings of the Precision Agriculture 2019—Papers Presented at the 12th European Conference on Precision Agriculture, ECPA 2019, Montpellier, France, 8–11 July 2019. [Google Scholar]
- Villodre, J.; Campos, I.; Lopez-Corcoles, H.; Gonzalez-Piqueras, J.; González, L.; Bodas, V.; Sanchez-Prieto, S.; Osann, A.; Calera, A. Mapping Optimum Nitrogen Crop Uptake. Adv. Anim. Biosci. 2017, 8, 322–327. [Google Scholar] [CrossRef]
- Plaza, C.; Calera, M.; Campoy, J.; Osann, A.; Calera, A.; Bodas, V. Commercial Wheat Fertilization Based on Nitrogen Nutrition Index and Yield Forecast. In Proceedings of the EGU General Assembly Conference Abstracts EGU2020, Vienna, Austria, 4–8 May 2020. [Google Scholar] [CrossRef]
- Nutini, F.; Confalonieri, R.; Paleari, L.; Pepe, M.; Criscuolo, L.; Porta, F.; Ranghetti, L.; Busetto, L.; Boschetti, M. Supporting Operational Site-specific Fertilization in Rice Cropping Systems with Infield Smartphone Measurements and Sentinel-2 Observations. Precis. Agric. 2021, 22, 1284–1303. [Google Scholar] [CrossRef]
- Onojeghuo, A.O.; Blackburn, G.A.; Huang, J.; Kindred, D.; Huang, W. Applications of Satellite ‘Hyper-Sensing’ in Chinese Agriculture: Challenges and Opportunities. Int. J. Appl. Earth Obs. Geoinf. 2018, 64, 62–86. [Google Scholar] [CrossRef]
- Skakun, S.; Vermote, E.; Franch, B.; Roger, J.C.; Kussul, N.; Ju, J.; Masek, J. Winter Wheat Yield Assessment from Landsat 8 and Sentinel-2 Data: Incorporating Surface Reflectance, through Phenological Fitting, into Regression Yield Models. Remote Sens. 2019, 11, 1768. [Google Scholar] [CrossRef]
- Tian, L.; Wang, Z.; Xue, B.; Li, D.; Zheng, H.; Yao, X.; Zhu, Y.; Cao, W.; Cheng, T. A Disease-Specific Spectral Index Tracks Magnaporthe Oryzae Infection in Paddy Rice from Ground to Space. Remote Sens. Environ. 2023, 285, 113384. [Google Scholar] [CrossRef]
- Jackson, R.D.; Huete, A.R. Interpreting Vegetation Indices. Prev. Vet. Med. 1991, 11, 185–200. [Google Scholar] [CrossRef]
- Franch, B.; San Bautista, A.; Fita, D.; Rubio, C.; Tarrazó-Serrano, D.; Sánchez, A.; Skakun, S.; Vermote, E.; Becker-Reshef, I.; Uris, A. Within-Field Rice Yield Estimation Based on Sentinel-2 Satellite Data. Remote Sens. 2021, 13, 4095. [Google Scholar] [CrossRef]
- Hunt, M.L.; Blackburn, G.A.; Carrasco, L.; Redhead, J.W.; Rowland, C.S. High Resolution Wheat Yield Mapping Using Sentinel-2. Remote Sens. Environ. 2019, 233, 111410. [Google Scholar] [CrossRef]
- Bautista, A.S.; Fita, D.; Franch, B.; Castiñeira-Ibáñez, S.; Arizo, P.; Sánchez-Torres, M.J.; Becker-Reshef, I.; Uris, A.; Rubio, C. Crop Monitoring Strategy Based on Remote Sensing Data (Sentinel-2 and Planet), Study Case in a Rice Field after Applying Glycinebetaine. Agronomy 2022, 12, 708. [Google Scholar] [CrossRef]
- Segarra, J.; Buchaillot, M.L.; Araus, J.L.; Kefauver, S.C. Remote Sensing for Precision Agriculture: Sentinel-2 Improved Features and Applications. Agronomy 2020, 10, 641. [Google Scholar] [CrossRef]
- Liu, K.; Deng, J.; Lu, J.; Wang, X.; Lu, B.; Tian, X.; Zhang, Y. High Nitrogen Levels Alleviate Yield Loss of Super Hybrid Rice Caused by High Temperatures during the Flowering Stage. Front. Plant Sci. 2019, 10, 357. [Google Scholar] [CrossRef]
- Rossi, M.; Candiani, G.; Nutini, F.; Gianinetto, M.; Boschetti, M. Sentinel-2 Estimation of CNC and LAI in Rice Cropping System through Hybrid Approach Modelling. Eur. J. Remote Sens. 2022, 56, 2117651. [Google Scholar] [CrossRef]
- Water Quality for Agriculture. Available online: https://www.fao.org/3/t0234e/t0234e00.htm (accessed on 30 May 2023).
- Elías Castillo, F.; Ruiz Beltrán, L. Agroclimatología de España; Instituto Nacional de Investigaciones Agrarias (España): Santiago, Chile, 1977. [Google Scholar]
- Allen, R.G.; Pereira, L.S.; Raes, D.; Smith, M. Crop Evapotranspiration—Guidelines for Computing Crop Water Requirements—FAO Irrigation and Drainage Paper 56. Irrig. Drain. 1998, 65, D05109. [Google Scholar] [CrossRef]
- Krishnan, P.; Ramakrishnan, B.; Reddy, K.R.; Reddy, V.R. High-Temperature Effects on Rice Growth, Yield, and Grain Quality. Adv. Agron. 2011, 111, 87–206. [Google Scholar]
- Osca Lluch, J.M. Cultivos Herbáceos Extensivos: Cereales; Editorial UPV: Valencia, Spain, 2013. [Google Scholar]
- Lee, S. Recent Advances on Nitrogen Use Efficiency in Rice. Agronomy 2021, 11, 753. [Google Scholar] [CrossRef]
- Jiang, Z.; Huete, A.R.; Didan, K.; Miura, T. Development of a Two-Band Enhanced Vegetation Index without a Blue Band. Remote Sens. Environ. 2008, 112, 3833–3845. [Google Scholar] [CrossRef]
- Li, Y.; Chen, J.; Ma, Q.; Zhang, H.K.; Liu, J. Evaluation of Sentinel-2A Surface Reflectance Derived Using Sen2Cor in North America. IEEE J. Sel. Top. Appl. Earth Obs. Remote Sens. 2018, 11, 1997–2021. [Google Scholar] [CrossRef]
- Doxani, G.; Vermote, E.F.; Roger, J.C.; Skakun, S.; Gascon, F.; Collison, A.; De Keukelaere, L.; Desjardins, C.; Frantz, D.; Hagolle, O.; et al. Atmospheric Correction Inter-Comparison EXercise, ACIX-II Land: An Assessment of Atmospheric Correction Processors for Landsat 8 and Sentinel-2 over Land. Remote Sens. Environ. 2023, 285, 113412. [Google Scholar] [CrossRef]
- Chauhan, B.S.; Jabran, K.; Mahajan, G. Rice Production Worldwide; Springer International Publishing AG: Cham, Switzerland, 2017. [Google Scholar]
- Hatfield, J.L.; Gitelson, A.A.; Schepers, J.S.; Walthall, C.L. Application of Spectral Remote Sensing for Agronomic Decisions. Agron. J. 2008; 100, S-117–S-131. [Google Scholar]
- Harrell, D.L.; Tubaña, B.S.; Walker, T.W.; Phillips, S.B. Estimating Rice Grain Yield Potential Using Normalized Difference Vegetation Index. Agron. J. 2011, 103, 1717–1723. [Google Scholar] [CrossRef]
- Nuarsa, I.W.; Nishio, F.; Nishio, F.; Hongo, C.; Hongo, C. Relationship between Rice Spectral and Rice Yield Using Modis Data. J. Agric. Sci. 2011, 3, 80. [Google Scholar] [CrossRef][Green Version]
- Kimura, R.; Okada, S.; Miura, H.; Kamichika, M. Relationships among the Leaf Area Index, Moisture Availability, and Spectral Reflectance in an Upland Rice Field. Agric. Water Manag. 2004, 69, 83–100. [Google Scholar] [CrossRef]
- Mosleh, M.K.; Hassan, Q.K.; Chowdhury, E.H. Application of Remote Sensors in Mapping Rice Area and Forecasting Its Production: A Review. Sensors 2015, 15, 769–791. [Google Scholar] [CrossRef] [PubMed]
- Myneni, R.B.; Williams, D.L. On the Relationship between FAPAR and NDVI. Remote Sens. Environ. 1994, 49, 200–211. [Google Scholar] [CrossRef]
- Fageria, N.K. Yield Physiology of Rice. J. Plant Nutr. 2007, 30, 843–879. [Google Scholar] [CrossRef]
- Huang, S.; Miao, Y.; Zhao, G.; Yuan, F.; Ma, X.; Tan, C.; Yu, W.; Gnyp, M.L.; Lenz-Wiedemann, V.I.S.; Rascher, U.; et al. Satellite Remote Sensing-Based in-Season Diagnosis of Rice Nitrogen Status in Northeast China. Remote Sens. 2015, 7, 10646–10667. [Google Scholar] [CrossRef]
- Lemaire, G.; van Oosterom, E.; Sheehy, J.; Jeuffroy, M.H.; Massignam, A.; Rossato, L. Is Crop N Demand More Closely Related to Dry Matter Accumulation or Leaf Area Expansion during Vegetative Growth? Field Crops Res. 2007, 100, 91–106. [Google Scholar] [CrossRef]
- Tian, G.; Gao, L.; Kong, Y.; Hu, X.; Xie, K.; Zhang, R.; Ling, N.; Shen, Q.; Guo, S. Improving Rice Population Productivity by Reducing Nitrogen Rate and Increasing Plant Density. PLoS ONE 2017, 12, e0182310. [Google Scholar] [CrossRef]
- Lin, X.Q.; Zhu, D.F.; Chen, H.Z.; Cheng, S.H.; Uphoff, N. Effect of Plant Density and Nitrogen Fertilizer Rates on Grain Yield and Nitrogen Uptake of Hybrid Rice (Oryza sativa L.). J. Agric. Biotechnol. Sustain. Dev. 2009, 1, 44–53. [Google Scholar]
- Dobermann, A. Factors Causing Field Variation of Direct-Seeded Flooded Rice. Geoderma 1994, 62, 125–150. [Google Scholar] [CrossRef]
- Hara, Y.; Toriyama, K. Ammonium Nitrogen in Soil Solution and Seed Nitrogen Affect the Percentage of Establishment of Rice Plants in Submerged Soil. Soil Sci. Plant Nutr. 1998, 44, 415–422. [Google Scholar] [CrossRef]
- Hara, Y.; Toriyama, K. Seed Nitrogen Accelerates the Rates of Germination, Emergence, and Establishment of Rice Plants. Soil Sci. Plant Nutr. 1998, 44, 359–366. [Google Scholar] [CrossRef]
- Ma, S.; Wang, G.; Su, S.; Lu, J.; Ren, T.; Cong, R.; Lu, Z.; Zhang, Y.; Liao, S.; Li, X. Effects of Optimized Nitrogen Fertilizer Management on the Yield, Nitrogen Uptake, and Ammonia Volatilization of Direct-Seeded Rice. J. Sci. Food Agric. 2023, 103, 4553–4561. [Google Scholar] [CrossRef] [PubMed]
- Takahashi, J.; Wada, G.; Shoji, S. The Fate of Fertilizer Nitrogen Applied to the Paddy Field and Its Absorption by Rice Plant: VII. Relationships between the Absorption of Nitrogen by the Rice Plants and the Growth of the Plants. Jpn. J. Crop Sci. 1976, 45, 220–225. [Google Scholar] [CrossRef][Green Version]
- Harrell, D.L.; Blanche, S.B. Tillage, Seeding, and Nitrogen Rate Effects on Rice Density, Yield, and Yield Components of Two Rice Cultivars. Agron. J. 2010, 102, 592–597. [Google Scholar] [CrossRef]
- Counce, P.A.; Wells, B.R. Rice Plant Population Density Effect on Early-Season Nitrogen Requirement. J. Prod. Agric. 1990, 3, 390–393. [Google Scholar] [CrossRef]
- Zhang, Y.-H.; Zhang, Y.-L.; Huang, Q.-W.; Xu, Y.-C.; Shen., Q.-R. Effects of Different N Application Rates on Grain Yield and Nitrogen Uptake and Utilization by Different Rice Cultivars. Plant Nutr. Fertil. Sci. 2006, 12, 616–621. [Google Scholar]
- Sheehy, J.E.; Ferrer, A.B.; Mitchell, P.L.; Elmido-Mabilangan, A.; Pablico, P.; Dionora, M.J.A. How the Rice Crop Works and Why It Needs a New Engine. In Charting New Pathways to C4 Rice; World Scientific: Singapore, 2008. [Google Scholar]
- Sheehy, J.E.; Dionora, M.J.A.; Mitchell, P.L.; Peng, S.; Cassman, K.G.; Lemaire, G.; Williams, R.L. Critical Nitrogen Concentrations: Implications for High-Yielding Rice (Oryza sativa L.) Cultivars in the Tropics. Field Crops Res. 1998, 59, 31–41. [Google Scholar] [CrossRef]
- Li, X.; Ata-UI-Karim, S.T.; Li, Y.; Yuan, F.; Miao, Y.; Yoichiro, K.; Cheng, T.; Tang, L.; Tian, X.; Liu, X.; et al. Advances in the Estimations and Applications of Critical Nitrogen Dilution Curve and Nitrogen Nutrition Index of Major Cereal Crops. A Review. Comput. Electron. Agric. 2022, 197, 106998. [Google Scholar] [CrossRef]
- Ata-Ul-Karim, S.T.; Zhu, Y.; Yao, X.; Cao, W. Determination of Critical Nitrogen Dilution Curve Based on Leaf Area Index in Rice. Field Crops Res. 2014, 167, 76–85. [Google Scholar] [CrossRef]
- Zhang, S.; Tao, F.; Zhang, Z. Spatial and Temporal Changes in Vapor Pressure Deficit and Their Impacts on Crop Yields in China during 1980–2008. J. Meteorol. Res. 2017, 31, 800–808. [Google Scholar] [CrossRef]
- Vu, D.H.; Stuerz, S.; Pieters, A.; Asch, F. Leaf Gas Exchange of Lowland Rice in Response to Nitrogen Source and Vapor Pressure Deficit. J. Plant Nutr. Soil Sci. 2021, 184, 448–460. [Google Scholar] [CrossRef]
- Ohsumi, A.; Hamasaki, A.; Nakagawa, H.; Homma, K.; Horie, T.; Shiraiwa, T. Response of Leaf Photosynthesis to Vapor Pressure Difference in Rice (Oryza sativa L) Varieties in Relation to Stomatal and Leaf Internal Conductance. Plant Prod. Sci. 2008, 11, 184–191. [Google Scholar] [CrossRef]
- Yulong, Y.; Qingfeng, M.; Hao, Y.; Qingsong, Z.; Ye, L.; Cui, Z. Climate Change Increases Nitrogen Concentration in Rice with Low Nitrogen Use Efficiency. Earths Future 2021, 9, e2020EF001878. [Google Scholar] [CrossRef]
- Horie, T.; Ohnishi, M.; Angus, J.F.; Lewin, L.G.; Tsukaguchi, T.; Matano, T. Physiological Characteristics of High-Yielding Rice Inferred from Cross-Location Experiments. Field Crops Res. 1997, 52, 55–67. [Google Scholar] [CrossRef]
- Lee, Y.J.; Yang, C.M.; Chang, K.W.; Shen, Y. Effects of Nitrogen Status on Leaf Anatomy, Chlorophyll Content and Canopy Reflectance of Paddy Rice. Bot. Stud. 2011, 52, 295–303. [Google Scholar]
- Ustin, S.L.; Jacquemoud, S. How the Optical Properties of Leaves Modify the Absorption and Scattering of Energy and Enhance Leaf Functionality. In Remote Sensing of Plant Biodiversity; Springer Nature: Cham, Switzerland, 2020. [Google Scholar]
- Adeluyi, O.; Harris, A.; Foster, T.; Clay, G.D. Exploiting Centimetre Resolution of Drone-Mounted Sensors for Estimating Mid-Late Season above Ground Biomass in Rice. Eur. J. Agron. 2022, 132, 126411. [Google Scholar] [CrossRef]
- Liu, S.; Zeng, W.; Wu, L.; Lei, G.; Chen, H.; Gaiser, T.; Srivastava, A.K. Simulating the Leaf Area Index of Rice from Multispectral Images. Remote Sens. 2021, 13, 3663. [Google Scholar] [CrossRef]
- Lv, C.; Huang, Y.; Sun, W.; Yu, L.; Hu, Z. Elevated [CO2] Raises the Temperature Optimum of Photosynthesis and Thus Promotes Net Photosynthesis of Winter Wheat and Rice. Physiol. Plant 2022, 174, e13757. [Google Scholar] [CrossRef]
- Asseng, S.; Ewert, F.; Martre, P.; Rötter, R.P.; Lobell, D.B.; Cammarano, D.; Kimball, B.A.; Ottman, M.J.; Wall, G.W.; White, J.W.; et al. Rising Temperatures Reduce Global Wheat Production. Nat. Clim. Chang. 2015, 5, 143–147. [Google Scholar] [CrossRef]
- Mendez, K.; Adviento-Borbe, M.A.; Lorence, A.; Walia, H. Significant Shift of Ambient Night-Time Air Temperature during Rice Growing Season in Major US Rice States. Am. J. Clim. Chang. 2021, 10, 134–151. [Google Scholar] [CrossRef]
- Araus, J.L.; Sanchez-Bragado, R.; Vicente, R. Improving Crop Yield and Resilience through Optimization of Photosynthesis: Panacea or Pipe Dream? J. Exp. Bot. 2021, 72, 3936–3955. [Google Scholar] [CrossRef]
- Huang, S.; Tang, L.; Hupy, J.P.; Wang, Y.; Shao, G. A Commentary Review on the Use of Normalized Difference Vegetation Index (NDVI) in the Era of Popular Remote Sensing. J. For. Res. 2021, 32, 1–6. [Google Scholar] [CrossRef]
- Gausman, H.W. Plant Leaf Optical Properties in Visible and Near-Infrared Light, 1st ed.; Texas Tech University: Lubbock, TA, USA, 1985; Volume 29. [Google Scholar]
- Fu, P.; Wang, J.; Zhang, T.; Huang, J.; Peng, S. High Nitrogen Input Causes Poor Grain Filling of Spikelets at the Panicle Base of Super Hybrid Rice. Field Crops Res. 2019, 244, 107635. [Google Scholar] [CrossRef]
- Sui, B.; Feng, X.; Tian, G.; Hu, X.; Shen, Q.; Guo, S. Optimizing Nitrogen Supply Increases Rice Yield and Nitrogen Use Efficiency by Regulating Yield Formation Factors. Field Crops Res. 2013, 150, 99–107. [Google Scholar] [CrossRef]
- Fahad, S.; Ihsan, M.Z.; Khaliq, A.; Daur, I.; Saud, S.; Alzamanan, S.; Nasim, W.; Abdullah, M.; Khan, I.A.; Wu, C.; et al. Consequences of High Temperature under Changing Climate Optima for Rice Pollen Characteristics-Concepts and Perspectives. Arch. Agron. Soil Sci. 2018, 64, 1473–1488. [Google Scholar] [CrossRef]
- Yu, K.; Li, F.; Gnyp, M.L.; Miao, Y.; Bareth, G.; Chen, X. Remotely detecting canopy nitrogen concentration and uptake of paddy rice in the Northeast China Plain. ISPRS J. Photogramm. Remote Sens. 2013, 78, 102–115. [Google Scholar] [CrossRef]
- Samonte, S.O.P.; Wilson, L.T.; Medley, J.C.; Pinson, S.R.M.; McClung, A.M.; Lales, J.S. Nitrogen Utilization Efficiency: Relationships with Grain Yield, Grain Protein, and Yield-Related Traits in Rice. Agron. J. 2006, 98, 168–176. [Google Scholar] [CrossRef]











| ALL SEASON | 0–47 DAS | |||||
|---|---|---|---|---|---|---|
| Climatic Variable | 2021 | 2022 | Deviation * (%) | 2021 | 2022 | Deviation * (%) |
| T mean (°C) | 23.59 | 25.27 | +7.12 | 23.78 | 26.32 | +10.68 |
| T max (°C) | 29.01 | 31.41 | +8.27 | 29.18 | 32.54 | +11.51 |
| T min (°C) | 18.46 | 19.33 | +4.71 | 18.27 | 19.63 | +7.44 |
| RH mean (%) | 76.38 | 69.00 | −9.66 | 72.43 | 65.78 | −9.18 |
| RH max (%) | 94.73 | 91.73 | −3.17 | 92.71 | 90.92 | −1.93 |
| RH min (%) | 53.15 | 42.53 | −19.98 | 51.78 | 39.47 | −23.77 |
| VPD (kPa) | 0.91 | 1.41 | +54.95 | 1.05 | 1.59 | +51.43 |
| DATE | DAS | Phenological Stage |
|---|---|---|
| 24 June 2021 | 20 | Pre-tillering |
| 19 July 2021 | 45 | Tillering |
| 29 July 2021 | 55 | Stem elongation |
| 28 August 2021 | 85 | Milk stage |
| 17 September 2021 | 105 | Dough stage |
| 7 October 2021 | 125 | Mature stage |
| 29 June 2022 | 20 | Pre-tillering |
| 24 July 2022 | 45 | Tillering |
| 3 August 2022 | 55 | Stem elongation |
| 2 September 2022 | 85 | Milk stage |
| 27 September 2022 | 110 | Dough stage |
| 12 October 2022 | 125 | Mature stage |
| Year 1 (2021) | Year 2 (2022) | Year | |||||||
|---|---|---|---|---|---|---|---|---|---|
| N1 | N2 | N3 | p Value | N1 | N2 | N3 | p Value | p Value | |
| AGB (kg·ha−1) | 6150.22 c | 7278.04 b | 8953.14 a | ** | 3215 b | 3745.6 b | 4527.2 a | ** | ** |
| LAI | 2.08 c | 3.95 b | 5.43 a | ** | 1.96 | 2.17 | 2.75 | ns | ** |
| Plants per m2 | 149.78 b | 170.67 ab | 192.00 a | * | 173.78 a | 141.33 b | 111.33 c | ** | ** |
| Plant AGB (g·plant−1) | 4.23 | 4.34 | 4.66 | ns | 1.87 c | 2.71 b | 4.21 a | ** | ** |
| Yield (kg·ha−1) | 6824.79 c | 7265.06 b | 7526.45 a | ** | 5677.42 | 5729.62 | 5744.35 | ns | ** |
| Plant Yield (g·plant−1) | 4.59 ## | 4.34 | 3.96 ## | ns | 3.32 b## | 4.18 ab | 5.12 a## | ** | ns## |
| Yield/AGB | 1.09 a | 1.01 a | 0.85 b | ** | 1.89 a | 1.55 ab | 1.22 b | ** | ** |
| N concentration (%N) | 1.84 | 2.12 | 2.13 | ns | 4.13 b | 4.88 a | 5.11 a | ** | ** |
| N uptake (kg·ha−1) | 111.93 c | 154.61 b | 191.57 a | ** | 134.25 c | 182.55 b | 230.62 a | ** | ns |
| NUE (g g−1) | 57.35 a | 42.74 b | 34.21 c | ** | 47.71 a | 33.70 b | 26.11 c | ** | ** |
| Year 1 (2021) | Year 2 (2022) | |||||||||||
|---|---|---|---|---|---|---|---|---|---|---|---|---|
| AGB | N (%) | N Uptake | LAI | Yield | Plants per m2 | AGB | %N | N Uptake | LAI | Yield | Plants per m2 | |
| AGB | 1 | 0.16 ns | 0.80 ** | 0.69 ** | 0.77 ** | 0.63 ** | 1 | 0.25 ns | 0.93 ** | 0.29 ns | 0.09 ns | −0.11 ns |
| %N | 1 | 0.71 ** | 0.49 ns | 0.48 ns | 0.09 ns | 1 | 0.57 * | 0.20 ns | −0.08 ns | −0.53 * | ||
| N uptake | 1 | 0.78 ** | 0.86 ** | 0.47 ns | 1 | 0.35 ns | 0.09 ns | −0.28 ns | ||||
| LAI | 1 | 0.71 ** | 0.55 * | 1 | −0.02 ns | 0.11 ns | ||||||
| Yield | 1 | 0.47 ns | 1 | −0.12 ns | ||||||||
| Plants per m2 | 1 | 1 | ||||||||||
| r2 model # | 0.82 ** | 0.28 ns | ||||||||||
Disclaimer/Publisher’s Note: The statements, opinions and data contained in all publications are solely those of the individual author(s) and contributor(s) and not of MDPI and/or the editor(s). MDPI and/or the editor(s) disclaim responsibility for any injury to people or property resulting from any ideas, methods, instructions or products referred to in the content. |
© 2024 by the authors. Licensee MDPI, Basel, Switzerland. This article is an open access article distributed under the terms and conditions of the Creative Commons Attribution (CC BY) license (https://creativecommons.org/licenses/by/4.0/).
Share and Cite
Fita, D.; Bautista, A.S.; Castiñeira-Ibáñez, S.; Franch, B.; Domingo, C.; Rubio, C. Remote Sensing Dynamics for Analyzing Nitrogen Impact on Rice Yield in Limited Environments. Agriculture 2024, 14, 1753. https://doi.org/10.3390/agriculture14101753
Fita D, Bautista AS, Castiñeira-Ibáñez S, Franch B, Domingo C, Rubio C. Remote Sensing Dynamics for Analyzing Nitrogen Impact on Rice Yield in Limited Environments. Agriculture. 2024; 14(10):1753. https://doi.org/10.3390/agriculture14101753
Chicago/Turabian StyleFita, David, Alberto San Bautista, Sergio Castiñeira-Ibáñez, Belén Franch, Concha Domingo, and Constanza Rubio. 2024. "Remote Sensing Dynamics for Analyzing Nitrogen Impact on Rice Yield in Limited Environments" Agriculture 14, no. 10: 1753. https://doi.org/10.3390/agriculture14101753
APA StyleFita, D., Bautista, A. S., Castiñeira-Ibáñez, S., Franch, B., Domingo, C., & Rubio, C. (2024). Remote Sensing Dynamics for Analyzing Nitrogen Impact on Rice Yield in Limited Environments. Agriculture, 14(10), 1753. https://doi.org/10.3390/agriculture14101753

