An Ultrasonic Ridge-Tracking Method Based on Limiter Sliding Window Filter and Fuzzy Pure Pursuit Control for Ridge Transplanter
Abstract
1. Introduction
2. Materials and Methods
2.1. Overall Research and Development Approach
2.2. Structure and Working Principle of the Transplanter Chassis
2.3. Developed Ultrasonic Ridge-Tracking System
2.4. Principle of the Proposed Ultrasonic Ridge-Tracking Method
2.5. Limiter Sliding Window (LSW) Filtering Algorithm
2.6. Kinematic Model of the Ridge Transplanter
2.7. Fuzzy Look-Ahead Distance Decision Model
2.8. Field Experiments
2.8.1. Validation Experiment of the LSW Filtering Algorithm
2.8.2. Comparison Experiment of the Proposed Ultrasonic Ridge-Tracking (URT) Method and the Universal Pure Pursuit (UPP) Method
3. Results
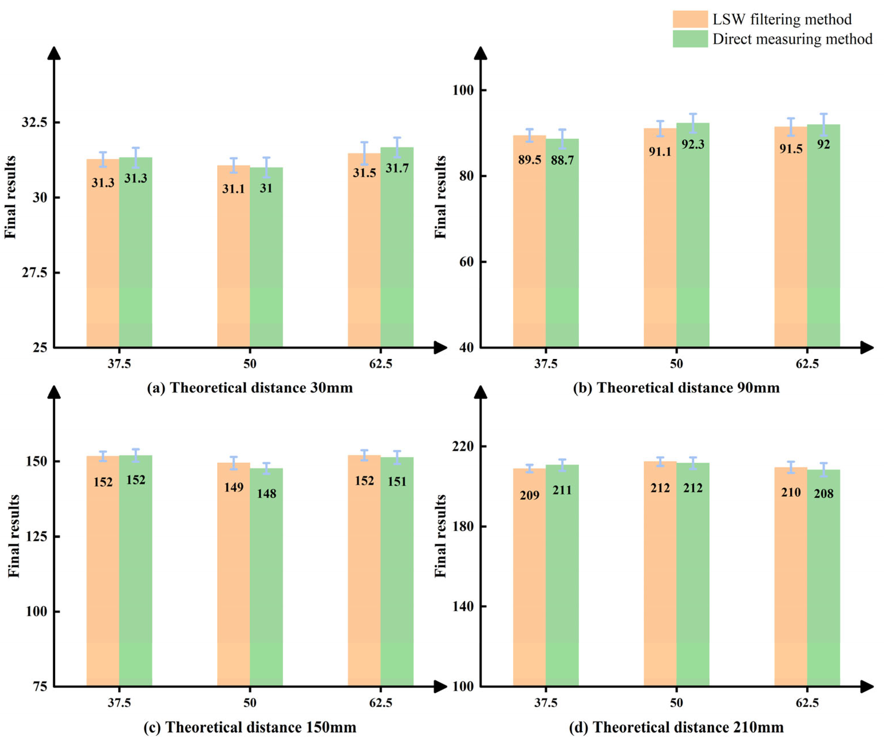
3.1. Performance Comparison between the LSW Filtering Method and the Direct Measuring Method
3.2. Tracking Performance of the Proposed URT Method and the UPP Method
4. Discussion
4.1. Tracking Performance Comparison
4.2. Strengths of the Proposed Ultrasonic Ridge-Tracking Method
- The ridge damage phenomenon results in erroneous judgement of the steering angle. However, the proposed LSW filtering algorithm can filter the rapidly changing data, which probably represent the distances from the ultrasonic sensor to the ridge pits. Additionally, the proposed LSW method can improve the accuracy by fusing the measurement results from previous sampling periods. Hence, the tracking performance of the proposed URT method would not be obviously affected by ridge damage.
- The conventional UPP method uses a certain look-ahead distance to determine the fore sight points, which may lead to a long regulating time under sizeable lateral deviation conditions or oscillations in the small lateral deviation conditions. The proposed URT method regulates the optimal look-ahead distance based on the actual lateral deviations and velocities, so the transplanter can keep a desirable ridge-tracking performance in real time.
4.3. Implication
4.4. Weaknesses and Future Research
5. Conclusions
Author Contributions
Funding
Institutional Review Board Statement
Data Availability Statement
Conflicts of Interest
References
- Li, J.; Shang, Z.; Li, R.; Cui, B. Adaptive Sliding Mode Path Tracking Control of Unmanned Rice Transplanter. Agriculture 2022, 12, 1225. [Google Scholar] [CrossRef]
- Fu, D.; Chen, Z.; Yao, Z.; Liang, Z.; Cai, Y.; Liu, C.; Tang, Z.; Lin, C.; Feng, X.; Qi, L. Vision-based trajectory generation and tracking algorithm for maneuvering of a paddy field robot. Comput. Electron. Agric. 2024, 226, 109368. [Google Scholar] [CrossRef]
- Zhang, T.; Zhou, J.; Liu, W.; Yue, R.; Yao, M.; Shi, J.; Hu, J. Seedling-YOLO: High-Efficiency Target Detection Algorithm for Field Broccoli Seedling Transplanting Quality Based on YOLOv7-Tiny. Agronomy 2024, 14, 931. [Google Scholar] [CrossRef]
- Tang, L.; Yan, F.; Zou, B.; Wang, K.; Lv, C. An Improved Kinematic Model Predictive Control for High-Speed Path Tracking of Autonomous Vehicles. IEEE Access 2020, 8, 51400–51413. [Google Scholar] [CrossRef]
- Zhong, S.; Peng, D.; Huang, B.; Ma, L. Path-Tracking Ability of the ASV on Different Adhesion Coefficient Roads Based on Slide Mode Control. Electronics 2024, 13, 105. [Google Scholar] [CrossRef]
- Cheng, J.; Zhang, B.; Zhang, C.; Zhang, Y.; Shen, G. A model-free adaptive predictive path-tracking controller with PID terms for tractors. Biosyst. Eng. 2024, 242, 38–49. [Google Scholar] [CrossRef]
- Shi, Y.; Chen, X.; Xi, X.; Shan, X.; Jin, Y.; Zhang, R. Research progress on the path tracking control methods for agricultural machinery navigation. Trans. Chin. Soc. Agric. Eng. (Trans. CSAE) 2023, 39, 1–14. [Google Scholar]
- Ahn, J.; Shin, S.; Kim, M.; Park, J. Accurate Path Tracking by Adjusting Look-Ahead Point in Pure Pursuit Method. Int. J. Automot. Technol. 2021, 22, 119–129. [Google Scholar] [CrossRef]
- Xia, Q.; Chen, L.; Xu, X.; Cai, Y.; Jiang, H.; Pan, G. Expected yaw rate–based trajectory tracking control with vision delay for intelligent vehicle. Sci. Prog. 2020, 103, 1–23. [Google Scholar] [CrossRef]
- Xu, S.; Peng, H.; Tang, Y. Preview Path Tracking Control With Delay Compensation for Autonomous Vehicles. IEEE Trans. Intell. Transp. Syst. 2021, 22, 2979–2989. [Google Scholar] [CrossRef]
- Xie, J.; Xu, X.; Wang, F.; Tang, Z.; Chen, L. Coordinated control based path following of distributed drive autonomous electric vehicles with yaw-moment control. Control Eng. Pract. 2021, 106, 104659. [Google Scholar] [CrossRef]
- Wang, Z.; Chen, L.; Cai, Y.; Sun, X.; Wang, H. Adaptive coordinated control strategy for autonomous vehicles based on four-wheel steering. Proc. Inst. Mech. Eng. Part D J. Automob. Eng. 2023, 2023, 09544070231213755. [Google Scholar] [CrossRef]
- Zhang, Y.; Liu, K.; Gao, F.; Zhao, F. Research on Path Planning and Path Tracking Control of Autonomous Vehicles Based on Improved APF and SMC. Sensors 2023, 23, 7918. [Google Scholar] [CrossRef]
- Huang, W.; Ji, X.; Wang, A.; Wang, Y.; Wei, X. Straight-Line Path Tracking Control of Agricultural Tractor-Trailer Based on Fuzzy Sliding Mode Control. Appl. Sci. 2023, 13, 872. [Google Scholar] [CrossRef]
- Shet, R.M.; Lakhekar, G.V.; Iyer, N.C. Intelligent fractional-order sliding mode control based maneuvering of an autonomous vehicle. J. Ambient Intell. Humaniz. Comput. 2024, 15, 2807–2826. [Google Scholar] [CrossRef]
- Wu, L.; Liu, J.; Vazquez, S.; Mazumder, S.K. Sliding Mode Control in Power Converters and Drives: A Review. IEEE/CAA J. Autom. Sin. 2022, 9, 392–406. [Google Scholar] [CrossRef]
- Kebbati, Y.; Ait-Oufroukh, N.; Ichalal, D.; Vigneron, V. Lateral control for autonomous wheeled vehicles: A technical review. Asian J. Control 2023, 25, 2539–2563. [Google Scholar] [CrossRef]
- Zhang, M.; Lin, X.; Ding, Y.; Yin, W.; Qian, Y. Design of path following controllers based on performance index for agricultural vehicle. Trans. Chin. Soc. Agric. Eng. (Trans. CSAE) 2012, 28, 40–46. [Google Scholar]
- Somefun, O.; Akingbade, K.; Dahunsi, F. The dilemma of PID tuning. Annu. Rev. Control 2021, 52, 65–74. [Google Scholar] [CrossRef]
- Liu, W.; Wang, R.; Xie, C.; Ye, Q. Investigation on adaptive preview distance path tracking control with directional error compensation. Proc. Inst. Mech. Eng. Part I J. Syst. Control Eng. 2020, 234, 484–500. [Google Scholar] [CrossRef]
- An, G.; Zhong, Z.; Yang, S.; Yang, L.; Jin, C.; Du, J.; Yin, X. EASS: An automatic steering system for agricultural wheeled vehicles using fuzzy control. Comput. Electron. Agric. 2024, 217, 108544. [Google Scholar] [CrossRef]
- Lee, K.; Choi, H.; Kim, J. Development of Path Generation and Algorithm for Autonomous Combine Harvester Using Dual GPS Antenna. Sensors 2023, 23, 4944. [Google Scholar] [CrossRef] [PubMed]
- Fargnoli, M.; Vita, L.B.; Gattamelata, D.; Laurendi, V.; Tronci, M. A Reverse Engineering Approach to Enhance Machinery Design for Safety. In Proceedings of the DS 70: Proceedings of DESIGN 2012, the 12th International Design Conference, Dubrovnik, Croatia, 21–24 May 2012; Volume 627, pp. 627–636. [Google Scholar]
- Yang, Y.; Li, Y.; Wen, X.; Zhang, G.; Ma, Q.; Cheng, S.; Qi, J.; Xu, L.; Chen, L. An optimal goal point determination algorithm for automatic navigation of agricultural machinery: Improving the tracking accuracy of the Pure Pursuit algorithm. Comput. Electron. Agric. 2022, 194, 106760. [Google Scholar] [CrossRef]
- Hu, C.; Ru, Y.; Li, X.; Fang, S.; Zhou, H.; Yan, X.; Liu, M.; Xie, R. Path tracking control for brake-steering tracked vehicles based on an improved pure pursuit algorithm. Biosyst. Eng. 2024, 242, 1–15. [Google Scholar] [CrossRef]
- Zhang, C.; Dong, W.; Xiong, Z.; Hu, Z.; Wang, D.; Ding, Y. Design and Experiment of Fuzzy Adaptive Pure Pursuit Control of Crawler-type Rape Seeder. Trans. Chin. Soc. Agric. Eng. (Trans. CSAE) 2021, 52, 105–114. [Google Scholar]



















| Structural Parameters | Value |
|---|---|
| Length (mm) | 1700 |
| Width (mm) | 1300 |
| Distance between wheels (mm) | 800 |
| Wheel base (mm) | 1230 |
| Maximum steering angle (°) | 30 |
| Suitable height of ridge (mm) | 250–360 |
| Component | Manufacturer | Model | Function |
|---|---|---|---|
| Ultrasonic sensor | Shenzhen Dianyingpu Technology Ltd., Shenzhen, China | DYP-A02YY-V2.0 | Monitoring the distance from ultrasonic sensor to the sidewall |
| PLC | Wuxi Xinjie Company Limited by share, Wuxi, China | XD3-32T-C | Controlling the rotational speed and rotational angle of the motors |
| MCU | STMicroelectronics, Geneva, Switzerland | STM32F103ZET6 | Processing the measuring results and developed ultrasonic ridge-tracking algorithm |
| ESAS | Guangzhou Xingyi Electronic Co., Ltd., Guangzhou, China | ELITE | Integrating the peripheral circuit of the MCU |
| Steering stepper motor | Times Brilliant Electrical LLC, Beijing, China | 60BEP115LC | Controlling the steering angle of the front wheels |
| Steering motor driver | Times Brilliant Electrical LLC, Beijing, China | HBS86HAC | Driving the stepper motor |
| Brushless direct current motor | Times Brilliant Electrical LLC, Beijing, China | 86BL130-430 | Powering the driving mechanism of the ridge transplanter |
| Brushless direct current motor driver | Times Brilliant Electrical LLC, Beijing, China | ZM6618 | Driving the brushless direct current motor |
| Serial Number of Front Sight Points | Traveling Velocity | |||||
|---|---|---|---|---|---|---|
| ES | RS | MD | RF | EF | ||
| Lateral Deviation | ES | RL | RL | EL | EL | EL |
| RS | MD | MD | RL | EL | EL | |
| ZO | RS | RS | MD | RL | RL | |
| RL | ES | RS | MD | MD | MD | |
| EL | ES | ES | ES | RS | RS | |
| Theoretical Distance (mm) | Velocity (mm/s) | Final Results (mm) | Theoretical Distance (mm) | Velocity (mm/s) | Final Results (mm) | ||
|---|---|---|---|---|---|---|---|
| LSW Filtering Method | Direct Measuring Method | LSW Filtering Method | Direct Measuring Method | ||||
| 30 | 37.5 | 31.4 | 31 | 90 | 37.5 | 87.8 | 86 |
| 31.6 | 32 | 92.4 | 93 | ||||
| 30.8 | 31 | 88.2 | 87 | ||||
| 50 | 30.6 | 32 | 50 | 93.2 | 95 | ||
| 31.4 | 30 | 92.4 | 94 | ||||
| 31.2 | 31 | 87.6 | 88 | ||||
| 62.5 | 31.2 | 32 | 62.5 | 87.4 | 87 | ||
| 31 | 31 | 93.4 | 94 | ||||
| 32.2 | 32 | 93.6 | 95 | ||||
| 150 | 37.5 | 148.6 | 148 | 210 | 37.5 | 206.8 | 205 |
| 152.8 | 153 | 207.4 | 214 | ||||
| 153.8 | 155 | 212.6 | 213 | ||||
| 50 | 153.4 | 145 | 50 | 213.6 | 214 | ||
| 146.4 | 151 | 215.4 | 215 | ||||
| 148.6 | 147 | 208.2 | 206 | ||||
| 62.5 | 152.8 | 153 | 62.5 | 206.2 | 203 | ||
| 154.6 | 147 | 216.4 | 214 | ||||
| 148.8 | 154 | 208.2 | 206 | ||||
| Traveling Velocity (mm/s) | MALD (mm) | MXALD (mm) | RMSLD (mm) | |||
|---|---|---|---|---|---|---|
| URT | UPP | URT | UPP | URT | UPP | |
| 37.5 | 7.39 | 11.67 | 12.44 | 18.55 | 11.85 | 15.05 |
| 50 | 8.96 | 11.35 | 14.74 | 19.54 | 12.56 | 14.61 |
| 62.5 | 10.56 | 13.11 | 18.87 | 23.23 | 13.52 | 15.66 |
Disclaimer/Publisher’s Note: The statements, opinions and data contained in all publications are solely those of the individual author(s) and contributor(s) and not of MDPI and/or the editor(s). MDPI and/or the editor(s) disclaim responsibility for any injury to people or property resulting from any ideas, methods, instructions or products referred to in the content. |
© 2024 by the authors. Licensee MDPI, Basel, Switzerland. This article is an open access article distributed under the terms and conditions of the Creative Commons Attribution (CC BY) license (https://creativecommons.org/licenses/by/4.0/).
Share and Cite
Liu, W.; Zhou, J.; Liu, Y.; Zhang, T.; Yan, M.; Chen, J.; Zhou, C.; Hu, J.; Chen, X. An Ultrasonic Ridge-Tracking Method Based on Limiter Sliding Window Filter and Fuzzy Pure Pursuit Control for Ridge Transplanter. Agriculture 2024, 14, 1713. https://doi.org/10.3390/agriculture14101713
Liu W, Zhou J, Liu Y, Zhang T, Yan M, Chen J, Zhou C, Hu J, Chen X. An Ultrasonic Ridge-Tracking Method Based on Limiter Sliding Window Filter and Fuzzy Pure Pursuit Control for Ridge Transplanter. Agriculture. 2024; 14(10):1713. https://doi.org/10.3390/agriculture14101713
Chicago/Turabian StyleLiu, Wei, Jinhao Zhou, Yutong Liu, Tengfei Zhang, Meng Yan, Ji Chen, Chunjian Zhou, Jianping Hu, and Xinxin Chen. 2024. "An Ultrasonic Ridge-Tracking Method Based on Limiter Sliding Window Filter and Fuzzy Pure Pursuit Control for Ridge Transplanter" Agriculture 14, no. 10: 1713. https://doi.org/10.3390/agriculture14101713
APA StyleLiu, W., Zhou, J., Liu, Y., Zhang, T., Yan, M., Chen, J., Zhou, C., Hu, J., & Chen, X. (2024). An Ultrasonic Ridge-Tracking Method Based on Limiter Sliding Window Filter and Fuzzy Pure Pursuit Control for Ridge Transplanter. Agriculture, 14(10), 1713. https://doi.org/10.3390/agriculture14101713
