Characterization of Banana Crowns: Microscopic Observations and Macroscopic Cutting Experiments
Abstract
1. Introduction
2. Materials and Methods
2.1. Cavendish Banana Preparation

2.2. X-ray CT Scanning Settings
2.3. Tissue Slice Preparation and Observation
2.4. Cutting Experiment Preparation
3. Results
3.1. Morphological and Structural Characteristics of the Banana Crown
3.1.1. Vascular Bundles of the Banana Crown Visualized through CT Scanning
3.1.2. Microscopic Observation of Vascular Tissue in the Banana Crown
3.2. Cutting Experiment on the Banana Crown
3.2.1. Cutting Characteristics of Different Regions
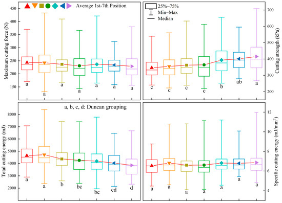
3.2.2. Cutting Characteristics of Different Positions
4. Discussion
5. Conclusions
Supplementary Materials
Author Contributions
Funding
Institutional Review Board Statement
Data Availability Statement
Conflicts of Interest
References
- Petsakos, A.; Prager, S.D.; Gonzalez, C.E.; Gama, A.C.; Sulser, T.B.; Gbegbelegbe, S.; Kikulwe, E.M.; Hareau, G. Understanding the consequences of changes in the production frontiers for roots, tubers and bananas. Glob. Food Secur. 2019, 20, 180–188. [Google Scholar] [CrossRef]
- Shan, Y.; Li, F.; Lian, Q.; Xie, L.; Zhu, H.; Li, T.; Zhang, J.; Duan, X.; Jiang, Y. Role of apyrase-mediated eATP signal in chilling injury of postharvest banana fruit during storage. Postharvest Biol. Technol. 2022, 187, 111874. [Google Scholar] [CrossRef]
- FAO. Food and Agriculture Organization of the United Nations, FAOSTAT Database. 2024. Available online: http://www.fao.org/faostat/en/ (accessed on 23 May 2024).
- Kamel, M.A.M.; Cortesi, P.; Saracchi, M. Etiological agents of crown rot of organic bananas in Dominican Republic. Postharvest Biol. Technol. 2016, 120, 112–120. [Google Scholar] [CrossRef]
- Jahan, S.; Lia, R.S.; Chowdhury, E.K.; Hasan, F.; Islam, A.; Sikdar, B.; Khalekuzzaman, M. Characterization of crown rot disease of banana fruit and eco-friendly quality improvement approach during storage. Microbiol. Res. J. Int. 2019, 27, 1–13. [Google Scholar] [CrossRef]
- Merino, G.; da Silva, L.; Mattos, D.; Guimarães, B.; Merino, E. Ergonomic evaluation of the musculoskeletal risks in a banana harvesting activity through qualitative and quantitative measures, with emphasis on motion capture (Xsens) and EMG. Int. J. Ind. Ergon. 2019, 69, 80–89. [Google Scholar] [CrossRef]
- Guo, J.; Karkee, M.; Yang, Z.; Fu, H.; Li, J.; Jiang, Y.; Jiang, T.; Liu, E.; Duan, J. Research of simulation analysis and experimental optimization of banana de-handing device with self-adaptive profiling function. Comput. Electron. Agric. 2021, 185, 106148. [Google Scholar] [CrossRef]
- Xu, Z.Y.; Yang, Z.; Duan, J.L.; Jin, M.H.; Mo, J.S.; Zhao, L.; Guo, J.; Yao, H.L. Design and experiment of symmetrical shape deployable arc profiling mechanism based on composite multi-cam structure. Symmetry 2019, 11, 958. [Google Scholar] [CrossRef]
- Yang, Z.; Guo, J.; Jin, M.; Duan, J.; Fu, H.; Xu, Z. Design and analysis of self-adaptability in banana crown-cutting device based on constant-force mechanism. Trans. Chin. Soc. Agric. Mach. 2019, 50, 148–155. [Google Scholar] [CrossRef]
- Bastola, A.K.; Soffiatti, P.; Behl, M.; Lendlein, A.; Rowe, N.P. Structural performance of a climbing cactus: Making the most of softness. J. R. Soc. Interface 2021, 18, 20210040. [Google Scholar] [CrossRef]
- Speck, O.; Steinhart, F.; Speck, T. Peak values of twist-to-bend ratio in triangular flower stalks of Carex pendula: A study on biomechanics and functional morphology. Am. J. Bot. 2020, 107, 1588–1596. [Google Scholar] [CrossRef] [PubMed]
- Antreich, S.J.; Huss, J.C.; Xiao, N.; Singh, A.; Gierlinger, N. The walnut shell network: 3D visualisation of symplastic and apoplastic transport routes in sclerenchyma tissue. Planta 2022, 256, 49. [Google Scholar] [CrossRef] [PubMed]
- Hassanpoor Tichi, A.; Khademieslam, H.; Rezanezhad Divkolae, M. Evaluation of physical, anatomical, and biometric characteristics of Citrus sinensis trees in longitudinal and transverse axes of stem. BioResources 2020, 15, 5696–5709. [Google Scholar] [CrossRef]
- Cui, Y.; Wang, W.; Wang, M.; Ma, Y.; Fu, L. Effects of cutter parameters on shearing stress for lettuce harvesting using a specially developed fixture. Int. J. Agric. Biol. Eng. 2021, 14, 152–158. [Google Scholar] [CrossRef]
- Xie, L.; Wang, J.; Cheng, S.; Du, D. Cutting characteristics of sugarcane in terms of physical and chemical properties. Trans. ASABE 2020, 63, 1007–1017. [Google Scholar] [CrossRef]
- Piovesan, A.; Vancauwenberghe, V.; Van De Looverbosch, T.; Verboven, P.; Nicolaï, B. X-ray computed tomography for 3D plant imaging. Trends Plant Sci. 2021, 26, 1171–1185. [Google Scholar] [CrossRef] [PubMed]
- Brodersen, C.R.; Lee, E.F.; Choat, B.; Jansen, S.; Phillips, R.J.; Shackel, K.A.; McElrone, A.J.; Matthews, M.A. Automated analysis of three-dimensional xylem networks using high-resolution computed tomography. New Phytol. 2011, 191, 1168–1179. [Google Scholar] [CrossRef] [PubMed]
- Lehnebach, R.; Campioli, M.; Gričar, J.; Prislan, P.; Mariën, B.; Beeckman, H.; Van den Bulcke, J. High-resolution X-ray computed tomography: A new workflow for the analysis of xylogenesis and intra-seasonal wood biomass production. Front. Plant Sci. 2021, 12, 698640. [Google Scholar] [CrossRef] [PubMed]
- Oduntan, Y.A.; Stubbs, C.J.; Robertson, D.J. High throughput phenotyping of cross-sectional morphology to assess stalk lodging resistance. Plant Methods 2022, 18, 1. [Google Scholar] [CrossRef]
- Duduzile Buthelezi, N.M.; Tesfay, S.Z.; Ncama, K.; Magwaza, L.S. Destructive and non-destructive techniques used for quality evaluation of nuts: A review. Sci. Hortic. 2019, 247, 138–146. [Google Scholar] [CrossRef]
- Nugraha, B.; Verboven, P.; Janssen, S.; Wang, Z.; Nicolaï, B.M. Non-destructive porosity mapping of fruit and vegetables using X-ray CT. Postharvest Biol. Technol. 2019, 150, 80–88. [Google Scholar] [CrossRef]
- Zhao, L.; Yang, H.; Xie, H.; Duan, J.; Jin, M.; Fu, H.; Guo, J.; Xu, Z.; Jiang, T.; Yang, Z. Effects of morphological and anatomical characteristics of banana crown vascular bundles on cutting mechanical properties using multiple imaging methods. Agronomy 2020, 10, 1199. [Google Scholar] [CrossRef]
- Aydin, I.; Arslan, S. Mechanical properties of cotton shoots for topping. Ind. Crops Prod. 2018, 112, 396–401. [Google Scholar] [CrossRef]
- Schindelin, J.; Arganda-Carreras, I.; Frise, E.; Kaynig, V.; Longair, M.; Pietzsch, T.; Preibisch, S.; Rueden, C.; Saalfeld, S.; Schmid, B.; et al. Fiji: An open-source platform for biological-image analysis. Nat. Methods 2012, 9, 676–682. [Google Scholar] [CrossRef] [PubMed]
- Palombini, F.L.; Nogueira, F.M.; Kindlein, W.; Paciornik, S.; de Araujo Mariath, J.E.; de Oliveira, B. Biomimetic systems and design in the 3D characterization of the complex vascular system of bamboo node based on X-ray microtomography and finite element analysis. J. Mater. Res. 2020, 35, 842–854. [Google Scholar] [CrossRef]
- Hu, M.; Olsson, A.; Hall, S.; Seifert, T. Fibre directions at a branch-stem junction in Norway spruce: A microscale investigation using X-ray computed tomography. Wood Sci. Technol. 2022, 56, 147–169. [Google Scholar] [CrossRef]
- Seflek, A.Y. Determining the physico-mechanical characteristics of maize stalks fordesigning harvester. J. Anim. Plant Sci. 2017, 27, 855–860. [Google Scholar]
- Wu, W.; Hu, Y. Mechanical properties of tea stalks for cutting. In Proceedings of the 2019 ASABE Annual International Meeting, Boston, MA, USA, 7–10 July 2019; American Society of Agricultural and Biological Engineers: St. Joseph, MI, USA, 2019. [Google Scholar] [CrossRef]
- Shi, Y.; Chen, M.; Wang, X.; Zhang, Y.; Morice, O.O. Experiment and analysis on mechanical properties of Artemisia selengensis stalk. Int. J. Agric. Biol. Eng. 2017, 10, 16–25. [Google Scholar] [CrossRef]
- Liu, B.; Koc, A.B. Mechanical properties of switchgrass and miscanthus. Trans. ASABE 2017, 60, 581–590. [Google Scholar] [CrossRef]
- Meng, J.; Sun, D. Internodal cavity deformation improved bending strength of bamboo. J. Trop. For. Sci. 2021, 33, 224–230. [Google Scholar] [CrossRef]
- Zhang, B.; Tang, Z.; Wang, M.; Li, Y. Breaking behaviour of wheat stem undergoing multiple forces combination sequence during threshing process. J. Agric. Sci. Technol. 2022, 24, 351–363. [Google Scholar]





| Setting Parameters | Position | ||||||
|---|---|---|---|---|---|---|---|
| 1st | 2nd | 3rd | 4th | 5th | 6th | 7th | |
| Voltage (kV) | 150 | 150 | 150 | 150 | 150 | 150 | 150 |
| Current (μA) | 160 | 160 | 160 | 160 | 160 | 160 | 160 |
| Pixel pitch (μm) | 200 | 200 | 200 | 200 | 200 | 200 | 200 |
| Total rotation (°) | 360 | 360 | 360 | 360 | 360 | 360 | 360 |
| Rotation step (°) | 1/6 | 1/6 | 1/6 | 1/6 | 1/6 | 1/6 | 1/6 |
| FDD/FOD (mm/mm) | 700/136 | 700/125 | 700/125 | 700/125 | 700/105 | 700/105 | 700/105 |
| Resolution (μm) | 39 | 35.8 | 35.8 | 35.8 | 30 | 30 | 30 |
| Scanned time (h) | 3.4 | 3 | 2.6 | 2.2 | 2.2 | 2 | 2 |
| Number of images | 2385 | 2710 | 2579 | 2968 | 2751 | 2409 | 2503 |
| Source | Sum of Squares | df | Mean Square | F | Sig. | |
|---|---|---|---|---|---|---|
| Maximum Cutting Force | BG | 345,215.284 | 2 | 172,607.642 | 113.935 | <0.001 |
| WG | 1,224,088.609 | 808 | 1514.961 | |||
| Total | 1,569,303.893 | 810 | ||||
| Cutting Strength | BG | 1,344,916.984 | 2 | 672,458.492 | 140.664 | <0.001 |
| WG | 3,862,736.053 | 808 | 4780.614 | |||
| Total | 5,207,653.037 | 810 | ||||
| Total Cutting Energy | BG | 118,310,169.649 | 2 | 59,155,084.824 | 70.797 | <0.001 |
| WG | 675,131,906.719 | 808 | 835,559.290 | |||
| Total | 793,442,076.368 | 810 | ||||
| Specific Cutting Energy | BG | 167.461 | 2 | 83.731 | 91.491 | <0.001 |
| WG | 739.462 | 808 | 0.915 | |||
| Total | 906.924 | 810 |
| Source | Sum of Squares | df | Mean Square | F | Sig. | |
|---|---|---|---|---|---|---|
| Maximum Cutting Force | BG | 22,141.243 | 6 | 3690.207 | 1.918 | 0.075 |
| WG | 1,547,162.650 | 804 | 1924.332 | |||
| Total | 1,569,303.893 | 810 | ||||
| Cutting Strength | BG | 467,125.762 | 6 | 77,854.294 | 13.204 | <0.001 |
| WG | 4,740,527.275 | 804 | 5896.178 | |||
| Total | 5,207,653.037 | 810 | ||||
| Total Cutting Energy | BG | 68,810,836.508 | 6 | 11,468,472.751 | 12.725 | <0.001 |
| WG | 724,631,239.860 | 804 | 901,282.637 | |||
| Total | 793,442,076.368 | 810 | ||||
| Specific Cutting Energy | BG | 12.847 | 6 | 2.141 | 1.926 | 0.074 |
| WG | 894.076 | 804 | 1.112 | |||
| Total | 906.924 | 810 |
Disclaimer/Publisher’s Note: The statements, opinions and data contained in all publications are solely those of the individual author(s) and contributor(s) and not of MDPI and/or the editor(s). MDPI and/or the editor(s) disclaim responsibility for any injury to people or property resulting from any ideas, methods, instructions or products referred to in the content. |
© 2024 by the authors. Licensee MDPI, Basel, Switzerland. This article is an open access article distributed under the terms and conditions of the Creative Commons Attribution (CC BY) license (https://creativecommons.org/licenses/by/4.0/).
Share and Cite
Zhao, L.; Huang, C.; Yang, Z.; Jin, M.; Duan, J. Characterization of Banana Crowns: Microscopic Observations and Macroscopic Cutting Experiments. Agriculture 2024, 14, 1714. https://doi.org/10.3390/agriculture14101714
Zhao L, Huang C, Yang Z, Jin M, Duan J. Characterization of Banana Crowns: Microscopic Observations and Macroscopic Cutting Experiments. Agriculture. 2024; 14(10):1714. https://doi.org/10.3390/agriculture14101714
Chicago/Turabian StyleZhao, Lei, Chaowei Huang, Zhou Yang, Mohui Jin, and Jieli Duan. 2024. "Characterization of Banana Crowns: Microscopic Observations and Macroscopic Cutting Experiments" Agriculture 14, no. 10: 1714. https://doi.org/10.3390/agriculture14101714
APA StyleZhao, L., Huang, C., Yang, Z., Jin, M., & Duan, J. (2024). Characterization of Banana Crowns: Microscopic Observations and Macroscopic Cutting Experiments. Agriculture, 14(10), 1714. https://doi.org/10.3390/agriculture14101714

