Influence and Mechanism of Fertilization and Irrigation of Heavy Metal Accumulation in Salinized Soils
Abstract
1. Introduction
2. Materials and Methods
2.1. Overview of the Study Area and Experimental Design
2.2. Sample Collection and Measurement Methods
2.2.1. Measurement and Related Calculations of Soil Basic Properties
2.2.2. Physicochemical Properties and Microbial Carbon and Nitrogen Determination in Soils
2.2.3. Determination of Organic Matter Functional Groups
2.2.4. Determination of Heavy Metals in Soil and Crop Grains
2.3. Data Analysis
3. Results and Analysis
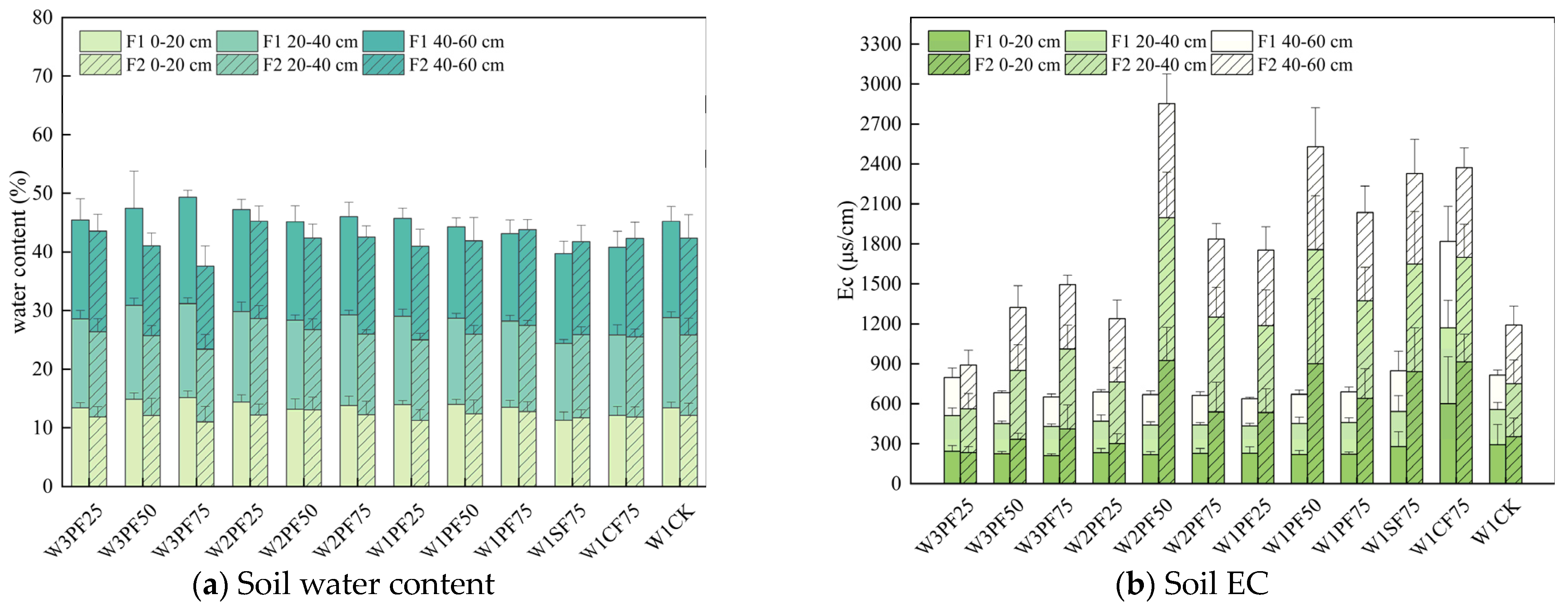
3.1. The Influence of Irrigation Water Amount and the Ratio of Organic to Inorganic Fertilizer Application on the Properties of Salinized Soil
3.2. Assessment of Heavy Metal Accumulation and Potential Ecological Risks in Salinized Soil
3.3. Heavy Metal Residues and Heavy Metal Enrichment in Crop Grains
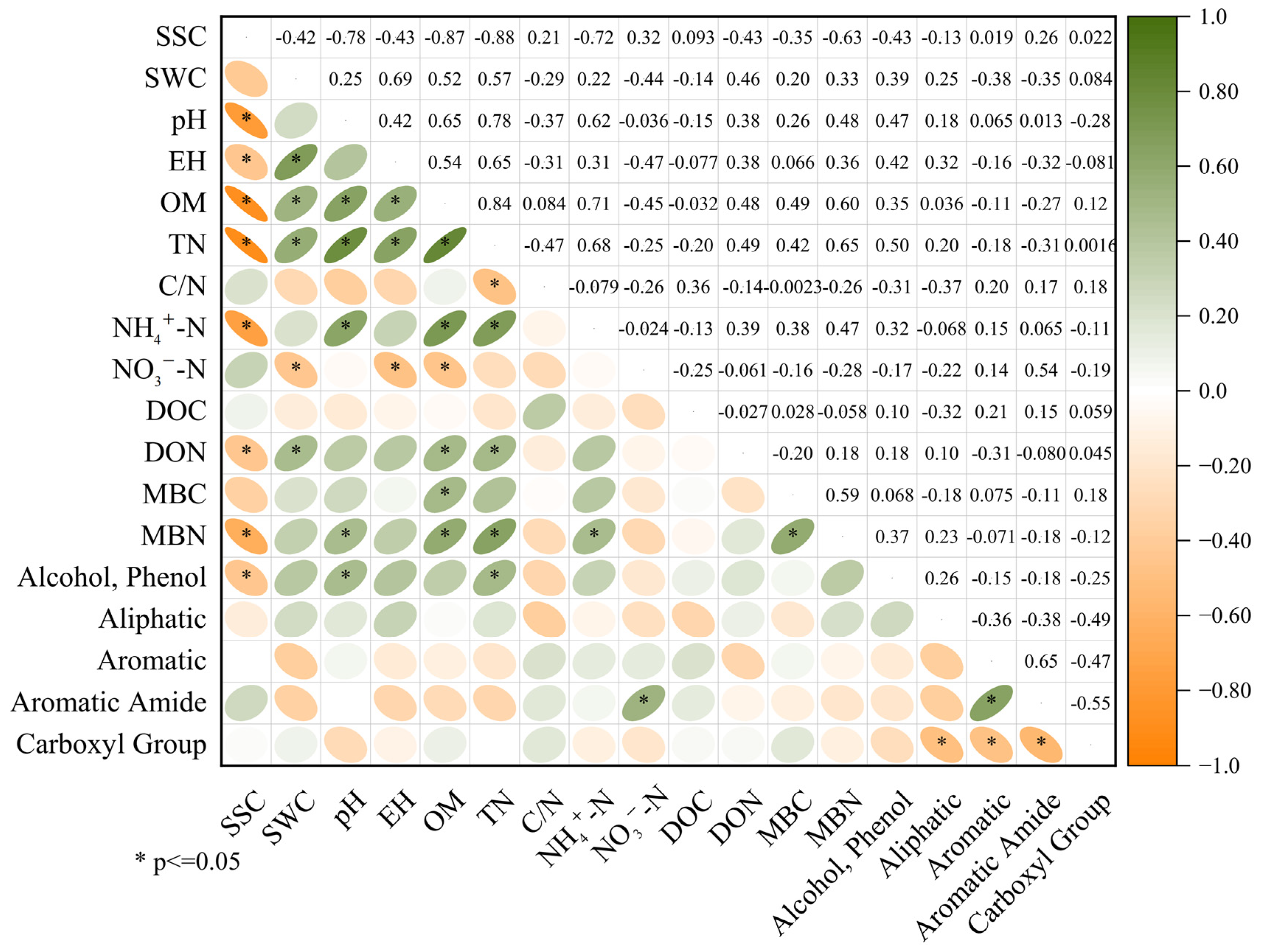
3.4. The Main Factors Influencing Heavy Metal Residue Variations in Saline–Alkali Soil and Crop Grains
3.5. Effects of Soil Properties on Heavy Metal Residues in Soil and Crop Grains
4. Discussion
5. Conclusions
Supplementary Materials
Author Contributions
Funding
Data Availability Statement
Conflicts of Interest
References
- Wang, X.; Riaz, M.; Babar, S.; Eldesouki, Z.; Liu, B.; Xia, H.; Li, Y.; Wang, J.; Xia, X.; Jiang, C. Alterations in the Composition and Metabolite Profiles of the Saline-Alkali Soil Microbial Community through Biochar Application. J. Environ. Manag. 2024, 352, 120033. [Google Scholar] [CrossRef] [PubMed]
- Hao, X.; Chang, C. Does Long-Term Heavy Cattle Manure Application Increase Salinity of a Clay Loam Soil in Semi-Arid Southern Alberta? Agric. Ecosyst. Environ. 2003, 94, 89–103. [Google Scholar] [CrossRef]
- Cheng, Y.; Luo, M.; Zhang, T.; Yan, S.; Wang, C.; Dong, Q.; Feng, H.; Zhang, T.; Kisekka, I. Organic Substitution Improves Soil Structure and Water and Nitrogen Status to Promote Sunflower (Helianthus annuus L.) Growth in an Arid Saline Area. Agric. Water Manag. 2023, 283, 108320. [Google Scholar] [CrossRef]
- Wang, X.; Yang, J.; Yao, R.; Xie, W.; Zhang, X. Manure plus Plastic Film Mulch Reduces Soil Salinity and Improves Barley-Maize Growth and Yield in Newly Reclaimed Coastal Land, Eastern China. Water 2022, 14, 2944. [Google Scholar] [CrossRef]
- Gruba, P.; Mulder, J. Tree Species Affect Cation Exchange Capacity (CEC) and Cation Binding Properties of Organic Matter in Acid Forest Soils. Sci. Total Environ. 2015, 511, 655–662. [Google Scholar] [CrossRef]
- Wang, Y.; Gao, M.; Chen, H.; Chen, Y.; Wang, L.; Wang, R. Organic Amendments Promote Saline-Alkali Soil Desalinization and Enhance Maize Growth. Front. Plant Sci. 2023, 14, 1177209. [Google Scholar] [CrossRef]
- Jalali, M.; Ranjbar, F. Effects of Sodic Water on Soil Sodicity and Nutrient Leaching in Poultry and Sheep Manure Amended Soils. Geoderma 2009, 153, 194–204. [Google Scholar] [CrossRef]
- Shi, Y.; Liu, X.; Zhang, Q.; Li, G.; Wang, P. Biochar Rather than Organic Fertilizer Mitigated the Global Warming Potential in a Saline-Alkali Farmland. Soil Tillage Res. 2022, 219, 105337. [Google Scholar] [CrossRef]
- Ni, P.; Wang, S.; Liu, B.; Sun, H. Effects of Organic Manure and Biochar-Based Fertilizer Application on Soil Water and Salt Transport in Brackish Water Irrigated Soil Profile. J. Soil Sci. Plant Nutr. 2023, 23, 3120–3136. [Google Scholar] [CrossRef]
- Li, C.; Jia, Z.; Tang, L.; Wu, Y.; Li, Y. Effect of moedl of fertilization on microblial abundance and enzyme activity in oasis farmland soil. Acta Pedol. Sin. 2012, 49, 567–574. [Google Scholar]
- Wang, C.; Ma, H.; Feng, Z.; Yan, Z.; Song, B.; Wang, J.; Zheng, Y.; Hao, W.; Zhang, W.; Yao, M.; et al. Integrated Organic and Inorganic Fertilization and Reduced Irrigation Altered Prokaryotic Microbial Community and Diversity in Different Compartments of Wheat Root Zone Contributing to Improved Nitrogen Uptake and Wheat Yield. Sci. Total Environ. 2022, 842, 156952. [Google Scholar] [CrossRef] [PubMed]
- Guo, J.; Liu, W.; Zhu, C.; Luo, G.; Kong, Y.; Ling, N.; Wang, M.; Dai, J.; Shen, Q.; Guo, S. Bacterial Rather than Fungal Community Composition Is Associated with Microbial Activities and Nutrient-Use Efficiencies in a Paddy Soil with Short-Term Organic Amendments. Plant Soil 2018, 424, 335–349. [Google Scholar] [CrossRef]
- He, Z.; Pagliari, P.; Waldrip, H. Applied and Environmental Chemistry of Animal Manure: A Review. Pedosphere 2016, 26, 779–816. [Google Scholar] [CrossRef]
- Yu, Z.; Liu, J.; Kattel, G. Historical Nitrogen Fertilizer Use in China from 1952 to 2018. Earth Syst. Sci. Data 2022, 14, 5179–5194. [Google Scholar] [CrossRef]
- Li, Z.; Zhang, Z.; Li, M.; Zhang, H.; Song, X.; Wu, H. Contents of Organic Carbon and Dissolved Organic Carbon and Characteristics of Functional Group Structure in Surface Soils of Salt Marshes in Yellow River Delta. Wetl. Sci. 2019, 17, 645–650. [Google Scholar] [CrossRef]
- Duan, Y.; Chen, L.; Zhang, J.; Li, D.; Han, X.; Zhu, B.; Li, Y.; Zhao, B.; Huang, P. Long-Term Fertilisation Reveals Close Associations between Soil Organic Carbon Composition and Microbial Traits at Aggregate Scales. Agric. Ecosyst. Environ. 2021, 306, 107169. [Google Scholar] [CrossRef]
- Grant, C.A.; Sheppard, S.C. Fertilizer Impacts on Cadmium Availability in Agricultural Soils and Crops. Hum. Ecol. Risk Assess. Int. J. 2008, 14, 210–228. [Google Scholar] [CrossRef]
- Adhikari, T.; Gowda, R.C.; Wanjari, R.H.; Singh, M. Impact of Continuous Fertilization on Heavy Metals Content in Soil and Food Grains under 25 Years of Long-Term Fertilizer Experiment. Commun. Soil Sci. Plant Anal. 2021, 52, 389–405. [Google Scholar] [CrossRef]
- Zhang, Y.; Yin, C.; Cao, S.; Cheng, L.; Wu, G.; Guo, J. Heavy Metal Accumulation and Health Risk Assessment in Soil-Wheat System under Different Nitrogen Levels. Sci. Total Environ. 2018, 622–623, 1499–1508. [Google Scholar] [CrossRef]
- Yang, N.; Wang, K.; Yang, Z.; Zhang, J.; Wen, Y.; Xi, J. Effects of tillage measures and organic manure on soil heavy metal pollution in dryland wheat fields. Chin. J. Eco-Agric. 2024, 32, 164–173. [Google Scholar] [CrossRef]
- Gong, Q.; Chen, P.; Shi, R.; Gao, Y.; Zheng, S.-A.; Xu, Y.; Shao, C.; Zheng, X. Health Assessment of Trace Metal Concentrations in Organic Fertilizer in Northern China. Int. J. Environ. Res. Public Health 2019, 16, 1031. [Google Scholar] [CrossRef] [PubMed]
- Lutts, S.; Qin, P.; Han, R.-M. Salinity Influences Biosorption of Heavy Metals by the Roots of the Halophyte Plant Species Kosteletzkya Pentacarpos. Ecol. Eng. 2016, 95, 682–689. [Google Scholar] [CrossRef]
- Matijevic, L.; Romic, D.; Romic, M. Soil Organic Matter and Salinity Affect Copper Bioavailability in Root Zone and Uptake by Vicia faba L. Plants. Environ. Geochem. Health 2014, 36, 883–896. [Google Scholar] [CrossRef] [PubMed]
- Yin, K.; Wang, Q.; Lv, M.; Chen, L. Microorganism Remediation Strategies towards Heavy Metals. Chem. Eng. J. 2019, 360, 1553–1563. [Google Scholar] [CrossRef]
- Zhang, J.; Zhao, A.; Wang, Z.; Ke, H.; Chen, H. Discussion on the differences of heavy metals contam ination in soil assessment with Nemerou index and geo-accumulation index with Xiaoqinling gold beltas example. Gold 2010, 31, 43–46. [Google Scholar]
- Xue, R.; Wang, C.; Liu, M.; Zhang, D.; Li, K.; Li, N. A New Method for Soil Health Assessment Based on Analytic Hierarchy Process and Meta-Analysis. Sci. Total Environ. 2019, 650, 2771–2777. [Google Scholar] [CrossRef]
- Huang, X.; Du, L.; Hong, J.; Chen, G.; Wang, S.; Lian, Z.; Zhang, G.; Jiang, L.; Zhang, L.; Ye, L. Study on the correlation between potassium dichromate external heating method and ASI for soil organic matter determination. Hubei Agric. Sci. 2020, 59, 122. [Google Scholar] [CrossRef]
- Chen, M.; Sheng, R.; Zhang, W.; Hou, H.; Wei, W.; Ge, T.; Wang, S. The effect of cropping patterns on soil microbial biomass carbon and nitrogen in reddish paddy soil. Res. Agric. Mod. 2023, 44, 692–700. [Google Scholar] [CrossRef]
- Qin, L.; Huang, S.; Zhong, L.; Zhou, H.; Zhao, S.; Xiang, B.; Lei, S. Comparison of Dumas combustion and Kjeldahl methods for determining total nitrogen content in soil. Soil Fertil. Sci. China 2020, 4, 258–265. [Google Scholar]
- Bai, J.; Cui, B.; Li, X.; Zhou, L. Ammonium nitrogen concentration seasonal dynamic in soils from reed wetlands in Xianghai. Acta Pratacul Turae Sin. 2006, 15, 117–119. [Google Scholar]
- Tu, C.; Huang, W.; CHen, A.; Song, G.; Chen, C.; Wang, W.; Xie, X. Comparison Between Ultraviolet Spectrophotometry and Cadmium Reduction Method in Determination of Soil Nitrate-N. Soils 2016, 48, 147–151. [Google Scholar] [CrossRef]
- Guo, Y.; Qi, W.; Yao, Y.; Liu, L. Soil Organic Carbon in Small Watershed Terraces and Association with Physical Properties. Ecol. Environ. Sci. 2020, 29, 748–756. [Google Scholar] [CrossRef]
- Luo, X.; Cang, L.; Hao, X.; Li, L.; Zhou, D. In-situ sampling of Soil Solution and Determination of Dissolved Organic Carbon (DOC) with UV Absorption Method (UVA254). Soils 2007, 39, 943–947. [Google Scholar]
- Zhang, Y.; Hu, Y.; Guo, S. Accumulation of Trace Element and Organic Functional Groups in Different Size Fractions of a Loess Topsoil After Long-term Micronutrient Fertilization. Acta Pedol. Sin. 2022, 59, 1420–1431. [Google Scholar]
- Demyan, M.S.; Rasche, F.; Schulz, E.; Breulmann, M.; Müller, T.; Cadisch, G. Use of Specific Peaks Obtained by Diffuse Reflectance Fourier Transform Mid-infrared Spectroscopy to Study the Composition of Organic Matter in a Haplic Chernozem. Eur. J. Soil Sci. 2012, 63, 189–199. [Google Scholar] [CrossRef]
- Ge, M.; Wang, C.; Xu, H.; Yang, F.; Wu, Z.; Lin, S.; Zhang, Y.; Li, X.; Wang, W. Organic Carbon Distribution and Molecular StructureCharacteristics of Soil Aggregatesin Fuding Tea Garden. J. Soiland Water Conserv. 2023, 37, 201–208. [Google Scholar] [CrossRef]
- Shao, P.; Liang, C.; Rubert-Nason, K.; Li, X.; Xie, H.; Bao, X. Secondary Successional Forests Undergo Tightly-Coupled Changes in Soil Microbial Community Structure and Soil Organic Matter. Soil Biol. Biochem. 2019, 128, 56–65. [Google Scholar] [CrossRef]
- Gong, L.; Zheng, H. Determination of Heavy Metals in Soil, Mushroom and Plant Samples by Atomic Absorption Spectrometry. Shandong Chem. Ind. 2020, 49, 101–102+107. [Google Scholar] [CrossRef]
- Wu, M.; LIu, S.; Yuan, Y.; Zhao, J.; Liu, Y.; Liu, S.; Liu, Y. Optimization of Potential Ecological Risk Index Method for Soil HeavyMetals—A Case Study of Chengkou County, Chongqing City. Chin. J. Soil Sci. 2023, 54, 473–480. [Google Scholar] [CrossRef]
- Guo, L.; Nie, Z.; Zhou, J.; An, F.; Zhang, L.; Zhang, S.; Tóth, T.; Yang, F.; Wang, Z. Effects of Organic Amendments on Soil Bacterial Community Structure and Yield in a Saline-sodic Soil Cropped with Rice. Land Degrad. Dev. 2023, 34, 5514–5527. [Google Scholar] [CrossRef]
- Bae, Y.-J.; Kim, M.-H.; Choi, M.-K. Dietary Mineral Intake from Nuts and Its Relationship to Hypertension Among Korean Adults. Biol. Trace Elem. Res. 2022, 200, 3519–3528. [Google Scholar] [CrossRef] [PubMed]
- Schrepf, A.; Clevenger, L.; Christensen, D.; DeGeest, K.; Bender, D.; Ahmed, A.; Goodheart, M.J.; Dahmoush, L.; Penedo, F.; Lucci, J.A.; et al. Cortisol and Inflammatory Processes in Ovarian Cancer Patients Following Primary Treatment: Relationships with Depression, Fatigue, and Disability. Brain Behav. Immun. 2013, 30, S126–S134. [Google Scholar] [CrossRef] [PubMed]
- Li, S.-X.; Wang, Z.-H.; Malhi, S.S.; Li, S.-Q.; Gao, Y.-J.; Tian, X.-H. Chapter 7 Nutrient and Water Management Effects on Crop Production, and Nutrient and Water Use Efficiency in Dryland Areas of China. In Advances in Agronomy; Elsevier: Amsterdam, The Netherlands, 2009; Volume 102, pp. 223–265. ISBN 978-0-12-374818-8. [Google Scholar]
- Rengasamy, P. Soil Processes Affecting Crop Production in Salt-Affected Soils. Funct. Plant Biol. 2010, 37, 613. [Google Scholar] [CrossRef]
- Behera, S.K.; Panda, R.K. Integrated Management of Irrigation Water and Fertilizers for Wheat Crop Using Field Experiments and Simulation Modeling. Agric. Water Manag. 2009, 96, 1532–1540. [Google Scholar] [CrossRef]
- Trost, B.; Prochnow, A.; Drastig, K.; Meyer-Aurich, A.; Ellmer, F.; Baumecker, M. Irrigation, Soil Organic Carbon and N2O Emissions. A Review. Agron. Sustain. Dev. 2013, 33, 733–749. [Google Scholar] [CrossRef]
- Kaiser, M.; Ellerbrock, R.H. Functional Characterization of Soil Organic Matter Fractions Different in Solubility Originating from a Long-Term Field Experiment. Geoderma 2005, 127, 196–206. [Google Scholar] [CrossRef]
- Simpson, M.J.; Simpson, A.J. The Chemical Ecology of Soil Organic Matter Molecular Constituents. J. Chem. Ecol. 2012, 38, 768–784. [Google Scholar] [CrossRef]
- Senesi, N. Composted Materials as Organic Fertilizers. Sci. Total Environ. 1989, 81–82, 521–542. [Google Scholar] [CrossRef]
- Mohiuddin, M.; Irshad, M.; Sher, S.; Hayat, F.; Ashraf, A.; Masood, S.; Bibi, S.; Ali, J.; Waseem, M. Relationship of Selected Soil Properties with the Micronutrients in Salt-Affected Soils. Land 2022, 11, 845. [Google Scholar] [CrossRef]
- Qian, X.; Wang, Z.; Shen, G.; Chen, X.; Tang, Z.; Guo, C.; Gu, H.; Fu, K. Heavy Metals Accumulation in Soil after 4 Years of Continuous Land Application of Swine Manure: A Field-Scale Monitoring and Modeling Estimation. Chemosphere 2018, 210, 1029–1034. [Google Scholar] [CrossRef]
- Acosta, J.A.; Jansen, B.; Kalbitz, K.; Faz, A.; Martínez-Martínez, S. Salinity Increases Mobility of Heavy Metals in Soils. Chemosphere 2011, 85, 1318–1324. [Google Scholar] [CrossRef] [PubMed]
- Alam, M.; Hussain, Z.; Khan, A.; Khan, M.A.; Rab, A.; Asif, M.; Shah, M.A.; Muhammad, A. The Effects of Organic Amendments on Heavy Metals Bioavailability in Mine Impacted Soil and Associated Human Health Risk. Sci. Hortic. 2020, 262, 109067. [Google Scholar] [CrossRef]
- Song, T.; Das, D.; Hu, Q.; Yang, F.; Zhang, J. Alternate Wetting and Drying Irrigation and Phosphorus Rates Affect Grain Yield and Quality and Heavy Metal Accumulation in Rice. Sci. Total Environ. 2021, 752, 141862. [Google Scholar] [CrossRef] [PubMed]
- Teixeira, E.; Kersebaum, K.C.; Ausseil, A.-G.; Cichota, R.; Guo, J.; Johnstone, P.; George, M.; Liu, J.; Malcolm, B.; Khaembah, E.; et al. Understanding Spatial and Temporal Variability of N Leaching Reduction by Winter Cover Crops under Climate Change. Sci. Total Environ. 2021, 771, 144770. [Google Scholar] [CrossRef]
- García-Delgado, C.; Marín-Benito, J.M.; Sánchez-Martín, M.J.; Rodríguez-Cruz, M.S. Organic Carbon Nature Determines the Capacity of Organic Amendments to Adsorb Pesticides in Soil. J. Hazard. Mater. 2020, 390, 122162. [Google Scholar] [CrossRef] [PubMed]
- Xu, P.; Sun, C.-X.; Ye, X.-Z.; Xiao, W.-D.; Zhang, Q.; Wang, Q. The Effect of Biochar and Crop Straws on Heavy Metal Bioavailability and Plant Accumulation in a Cd and Pb Polluted Soil. Ecotoxicol. Environ. Saf. 2016, 132, 94–100. [Google Scholar] [CrossRef]
- Shah, S.B. Heavy Metals in the Marine Environment—An Overview. In Heavy Metals in Scleractinian Corals; Shah, S.B., Ed.; Springer International Publishing: Cham, Switzerland, 2021; pp. 1–26. ISBN 978-3-030-73613-2. [Google Scholar]
- Li, X.; Wang, A.; Wan, W.; Luo, X.; Zheng, L.; He, G.; Huang, D.; Chen, W.; Huang, Q. High Salinity Inhibits Soil Bacterial Community Mediating Nitrogen Cycling. Appl. Environ. Microbiol. 2021, 87, e01366-21. [Google Scholar] [CrossRef]
- Zhao, Q.; Tang, J.; Li, Z.; Yang, W.; Duan, Y. The Influence of Soil Physico-Chemical Properties and Enzyme Activities on Soil Quality of Saline-Alkali Agroecosystems in Western Jilin Province, China. Sustainability 2018, 10, 1529. [Google Scholar] [CrossRef]
- Souza, C.D.C.B.D.; Amaral Sobrinho, N.M.B.D.; Lima, E.S.A.; Lima, J.D.O.; Carmo, M.G.F.D.; García, A.C. Relation between Changes in Organic Matter Structure of Poultry Litter and Heavy Metals Solubility during Composting. J. Environ. Manag. 2019, 247, 291–298. [Google Scholar] [CrossRef]
- Sadeghzadeh, B.; Rengel, Z. Zinc in Soils and Crop Nutrition. In The Molecular and Physiological Basis of Nutrient Use Efficiency in Crops; Hawkesford, M.J., Barraclough, P., Eds.; John Wiley & Sons: Hoboken, NJ, USA, 2011. [Google Scholar] [CrossRef]
- Impa, S.M.; Johnson-Beebout, S.E. Mitigating Zinc Deficiency and Achieving High Grain Zn in Rice through Integration of Soil Chemistry and Plant Physiology Research. Plant Soil 2012, 361, 3–41. [Google Scholar] [CrossRef]
- Masakazu, A.; Ryo, T. Effects of Heavy Metal Pollution of Apple Orchard Surface Soils Associated with Past Use of Metal-Based Pesticides on Soil Microbial Biomass and Microbial Communities. J. Environ. Prot. 2013, 2013, 30818. [Google Scholar] [CrossRef]











| OM (%) | TN (%) | TP (%) | Cd (mg/kg) | Cu (mg/kg) | Zn (mg/kg) | |
|---|---|---|---|---|---|---|
| SF | 32.85 | 2.15 | 1.63 | 0.50 | 0.039 | 0.168 |
| CF | 48.64 | 1.95 | 1.57 | 0.73 | 0.022 | 0.780 |
| PF | 16.48 | 11.58 | 11.76 | 1.07 | 0.017 | 0.057 |
| Soil Depth (cm) | BD (g/cm3) | (%) | (%) | Ψ (%) | EC (μs/cm) | pH | OM (g/kg) | TN (g/kg) | (g/kg) | (g/kg) | TP (g/kg) | TK (g/kg) | |
|---|---|---|---|---|---|---|---|---|---|---|---|---|---|
| F1 | 0–20 | 1.49 | 26.08 | 28.54 | 84.81 | 219 | 7.84 | 13.71 | 0.89 | 8.92 | 7.23 | 0.98 | 21.90 |
| 20–40 | 1.45 | 24.57 | 29.35 | 86.17 | 205 | 7.84 | 9.75 | 0.69 | 13.34 | 25.68 | 0.67 | 17.88 | |
| 40–60 | 1.49 | 24.64 | 28.45 | 86.02 | 207 | 7.85 | 10.07 | 0.79 | 18.35 | 37.18 | 0.58 | 16.22 | |
| F2 | 0–20 | 1.43 | 29.51 | 30.91 | 84.21 | 319 | 8.03 | 8.43 | 0.66 | 10.51 | 3.23 | 0.66 | 15.69 |
| 20–40 | 1.51 | 26.27 | 27.40 | 86.17 | 367 | 8.03 | 7.86 | 0.55 | 12.26 | 43.68 | 0.60 | 14.83 | |
| 40–60 | 1.47 | 27.94 | 32.36 | 87.18 | 450 | 8.02 | 7.02 | 0.47 | 19.23 | 58.25 | 0.57 | 16.19 |
| Treatment | Seedling Stage (Calculation of Pure Nitrogen Content) | The Current Bud Period | ||
|---|---|---|---|---|
| Organic Fertilizer kg/ha | Urea kg/ha | Urea kg/ha | ||
| W1 (No supplemental irrigation) | CK (Control) | 0 | 0 | 0 |
| PF25 (25%PF + 75% urea) | 15 | 45 | 90 | |
| PF50 (50% PF + 50% urea) | 30 | 30 | 60 | |
| PF75 (75% PF + 25% urea) | 45 | 15 | 30 | |
| SF75 (75%SF + 25% urea) | 45 | 15 | 30 | |
| CF75 (75%CF + 25% urea) | 45 | 15 | 30 | |
| W2 (Drip irrigation 22 mm) | PF25 (25% PF + 75% urea) | 15 | 45 | 90 |
| PF50 (50% PF + 50% urea) | 30 | 30 | 60 | |
| PF75 (75% PF + 25% urea) | 45 | 15 | 30 | |
| W3 (Drip irrigation 44 mm) | PF25 (25% PF + 75% urea) | 15 | 45 | 90 |
| PF50 (50% PF + 50% urea) | 30 | 30 | 60 | |
| PF75 (75% PF + 25% urea) | 45 | 15 | 30 | |
Disclaimer/Publisher’s Note: The statements, opinions and data contained in all publications are solely those of the individual author(s) and contributor(s) and not of MDPI and/or the editor(s). MDPI and/or the editor(s) disclaim responsibility for any injury to people or property resulting from any ideas, methods, instructions or products referred to in the content. |
© 2024 by the authors. Licensee MDPI, Basel, Switzerland. This article is an open access article distributed under the terms and conditions of the Creative Commons Attribution (CC BY) license (https://creativecommons.org/licenses/by/4.0/).
Share and Cite
Yu, D.; Miao, Q.; Shi, H.; Feng, Z.; Feng, W.; Li, Z.; Gonçalves, J.M. Influence and Mechanism of Fertilization and Irrigation of Heavy Metal Accumulation in Salinized Soils. Agriculture 2024, 14, 1694. https://doi.org/10.3390/agriculture14101694
Yu D, Miao Q, Shi H, Feng Z, Feng W, Li Z, Gonçalves JM. Influence and Mechanism of Fertilization and Irrigation of Heavy Metal Accumulation in Salinized Soils. Agriculture. 2024; 14(10):1694. https://doi.org/10.3390/agriculture14101694
Chicago/Turabian StyleYu, Dandan, Qingfeng Miao, Haibin Shi, Zhuangzhuang Feng, Weiying Feng, Zhen Li, and José Manuel Gonçalves. 2024. "Influence and Mechanism of Fertilization and Irrigation of Heavy Metal Accumulation in Salinized Soils" Agriculture 14, no. 10: 1694. https://doi.org/10.3390/agriculture14101694
APA StyleYu, D., Miao, Q., Shi, H., Feng, Z., Feng, W., Li, Z., & Gonçalves, J. M. (2024). Influence and Mechanism of Fertilization and Irrigation of Heavy Metal Accumulation in Salinized Soils. Agriculture, 14(10), 1694. https://doi.org/10.3390/agriculture14101694

