You are currently on the new version of our website. Access the old version .
AgricultureAgriculture
  • Article
  • Open Access

21 December 2023

The Effect of Pre-Harvest Treatments with Tanacetum vulgare L. and Satureja montana L. Essential Oils (EOs) on the Yield and Chemical Composition of Aronia melanocarpa (Michx.) Elliot Fruit

,
,
,
,
,
and
1
Department of Plant Protection, University of Life Sciences in Lublin, 7 Leszczyńskiego Street, 20-069 Lublin, Poland
2
Institute of Horticulture Production, Subdepartment of Plant Nutrition, University of Life Sciences in Lublin, 28 Głęboka Street, 20-612 Lublin, Poland
3
Department of Applied Mathematics and Computer Science, University of Life Sciences in Lublin, 28 Głęboka Street, 20-612 Lublin, Poland
*
Author to whom correspondence should be addressed.
This article belongs to the Special Issue Preharvest and Postharvest Factors Influencing Biological Active Compounds in Horticultural Commodities

Abstract

Tanacetum vulgare and Satureja montana essential oils (EOs) on Aronia melanocarpa before the flowering period were used against Acrobasis advenella. We hypothesised that the use of the aforementioned EOs (1.5%, 3% and 4.5%) would simultaneously improve yield and fruit quality. The profile of the EO constituents was determined by GC-MS analysis. Thujone (66.62%) was identified as the most abundant component in tansy EO, while thymol (40.04%) was dominant in savory EO. The mean weight of 100 berries ranged from 82.40 g to 88.00 g. A loss in fruit weight was recorded after the addition of 4.5% S. montana EO. A. melanocarpa shrubs treated with 4.5% tansy EO showed the highest content of phenols (848.03 mg per 100 g FW), along with high levels of anthocyanins (310.19 mg/100 g), tannins (1884 mg/100 g) and chlorogenic acid (187.38 mg/100 g) but exerted negative effects on the mineral fruit content (Mg, K). T. vulgare oil, particularly at higher concentrations, has shown promise for increasing the content of valuable compounds with strong antioxidant properties. The application of S. montana EOs positively affected minerals and chlorogenic acid content. However, their phytotoxic effects on A. melanocarpa preclude them from further use, even at low concentrations.

1. Introduction

Aronia melanocarpa [Michx.] Elliot (commonly known as aronia berry or black chokeberry) is a shrub of the family Rosaceae, under the subfamily Maloideae. This plant is native to North America and was introduced to European botanical gardens in the early 19th century due to its ornamental qualities. At present, A. melanocarpa is grown extensively in orchards in Eastern Europe, especially in Poland, but it is also grown many other European countries such as Latvia, Belarus, Slovakia, the Czech Republic, Germany and Scandinavia; additionally, it has recently been grown in the United States [1,2].
The edible and usually usable parts of black chokeberry plants are its fruits, which are rarely consumed fresh due to their astringent taste. Nonetheless, they are an excellent source of many valuable compounds benefitting human health. They have one of the highest levels of substances with antioxidant properties, which are mainly associated with a high content of phenolic compounds, especially anthocyanins [3,4]. The high content and composition of phenolic constituents seem to be responsible for the wide range of potential medicinal and therapeutic effects of these fruits. The versatile healing properties of A. melanocarpa fruits have been confirmed in both in vitro and in vivo studies [4,5,6]. Chokeberry fruits have been shown to possess antioxidant, antiviral, antimutagenic, UV protective, antiproliferative (e.g., colon cancer), anticancer, hepatoprotective, anti-inflammatory and gastroprotective (stomach ulcers) properties. The berries of aronia also exhibit a wide range of activities associated with chronic diseases, including metabolic disorders, diabetes and cardiovascular conditions. These activities involve anti-atherosclerotic, hypotensive and antiplatelet properties [2,7,8,9]. Moreover, chokeberry extracts have been shown to reduce blood pressure in patients with metabolic syndrome [10] and in patients after myocardial infarctions [11]. Scientific studies have also confirmed their beneficial effect on eye function [12]. Black chokeberry fruits are mainly utilized in the forms of juices, purees, jams, jellies and wine [2,13]; they are also used as important food colorants [14] or nutritional supplements [8]. Due to their health-promoting properties, chokeberry fruits at harvest must meet quality requirements imposed by consumers.
Essential oils (EOs), as aromatic oily extracts, can be obtained from various parts of plants (e.g., leaves, stems, roots, buds, flowers, fruits or seeds). They possess biologically active phytochemicals applied in agriculture, food, cosmetic and pharmaceutical industries [15]. However, the quantity, quality and, thus, the biological activity of EOs depend on oil composition, which is affected by plant species, the plant growth stage, the plant habitat, temperature and the amount of precipitation during plant growth [16,17]. In recent years, essential oils (EOs) have been one of the most popular alternatives and environmentally friendly methods of pest control. EOs may exhibit toxic properties against pest insects or may interfere with insect oviposition, growth and reproduction. They have also been shown to attract, prevent and repel insects [18,19].
The genus Tanacetum, belonging to the family Asteraceae, encompasses over 200 species of plants widely distributed throughout the moderate climate of the Northern Hemisphere, mainly in Europe and Western Asia [20]. Tansy [T. vulgare syn. Chrysanthemum vulgare (L.) Bernh.] is an aromatic perennial plant, rich in essential oils, and has traditionally been used in medicine, food preparation and cosmetics [21]. This plant is commonly found along roadsides, boundaries, riverbanks and wastelands [22,23]. Tansy EO is extracted from flower baskets or leaves and primarily contains thujone, 1,8-cineole, cis-chrysanthenol, borneol, myrtenol, camphor, trans-chrysanthenyl acetate, artemisia ketone, trans-chrysanthenol, bornyl acetate, camphene, sabinene and carvone [21,22,23,24,25]. The composition of tansy EO is unstable and varies considerably depending on plant geographic origin, extraction method and even environmental factors prevailing at the cultivation site [23]. Tansy EO exhibits a broad spectrum of biological activities, including antibacterial [22], antifungal [21], acaricidal [26] and insecticidal properties [24,25]. Moreover, the addition of tansy oil to biodegradable polymers (e.g., sodium alginate films) has been shown to improve their flexibility and impart antibacterial effect. Such materials can be used for food packaging or coatings to protect and extend the shelf life of products [27].
The genus Satureja comprises numerous species native to the Mediterranean region. It includes the well-known S. montana L. (winter savoury), a perennial deciduous semi-shrub cultivated throughout Europe, which, in addition to essential oils, contains triterpenes, flavonoids and rosmarinic acid [28]. The phenolic nature of S. montana EOs results in S. montana EOs containing pharmacological (antioxidant, cytotoxic, antibacterial, antiviral, antiparasitic) and plant protection (nematocidal, fungicidal, insecticidal) properties [29,30]. The composition of the oil has variations in the relative concentration of particular components, but oxygenated terpenes—carvacrol and thymol—are the major constituents of the oil of this species [15,30]. For example, T. vulgare and S. hortensis EOs are characterized by their high toxicity and repellent effects against the main pest of A. melanocarpaAcrobasis advenella (Zinck.) (Lepidoptera, Pyralidae, Phycitinae) [18,25,31]. A. advenella is an oligophagous species feeding on some plants of the Rosaceae family [32]. This species is considered a pest of the highest economic significance of black chokeberry plantations, negatively affecting the quantity and quality of chokeberry yield. Females lay their eggs on immature aronia fruits in the early summer. Newly hatched larvae burrow into the fruit, after which they feed on and drill tunnels into them. After wintering, the larvae inhabit developing flower buds and feed on them [33].
Despite the fact that T. vulgare and S. hortensis EOs exhibit a broad range of biological activities, their impact on nutrient uptake in fruits has not been elucidated. We hypothesised that the application of T. vulgare and S. montana EOs to black chokeberry against A. advenella during the flowering period would additionally increase the amount of phenols, anthocyanins, tannins, phenolic acids, vitamins and minerals in plant tissues. These components are responsible, among others, for antioxidant, antimutagenic, anti-inflammatory, antivirus and bacteriostatic activities. Therefore, the main objective of this study was to assess the post-harvest content of chemical constituents and the yield of black chokeberry under the foliar application of different concentrations of S. montana and T. vulgare EOs. Based on the results of our three-year field experiment, it will be possible to develop recommendations for breeders to improve the quality characteristics and bioactive components of black chokeberry fruits.

2. Materials and Methods

2.1. Plant Material and Experimental Conditions

Chokeberry (Aronia melanocarpa cv. Galicjanka) samples were collected at the end of the harvest season during September 2020, 2021 and 2022 from an organic black chokeberry horticulture farm in Samoklęski (51.4500° N–22.4333° E) located in Southeastern Poland, Lublin Province. This study used 15-year-old chokeberry shrubs planted at a density of 0.6 m × 3.5 m. Throughout the experiment, no chemical protection, irrigation or fertilization were applied to the plants. The experiment was designed using a randomized split-plot method with three replicates. Each plot consisted of a 5 m long row of shrubs. Each year, in the third decade of April (green bud development stage; at the beginning of the A. advenella caterpillar infestation), plants were sprayed with T. vulgare (Herbapol, Kraków, Poland) and S. montana (Herbiness, Chomiec, Poland; originating from Spain) essential oil solutions. Two EOs from tansy and savoury were selected for the study, because their insecticide efficacy against A. advenella had already been well characterised under laboratory conditions [25,31]. A 16-litre battery-operated sprayer (Bass Polska Sp. z o.o., Mroków, Poland) was utilised for treatments. Three concentrations of essential oils (1.5%, 3.0% and 4.5% w/v) were prepared from the stock solution using tap water and Tween 80 (0.5 mg) as an emulsifier and 2% (v/v) ethanol (99.8%) for bioassays. The control group of the plants was treated with a solution not containing the essential oils.

2.2. Chromatographic Analysis

The quantitative composition of essential oils was determined at the Department of Chromatography, Maria Curie Sklodowska University in Lublin, Poland. Qualitative analysis of essential oils was performed using GC/MS QP2010 (Schimadzu, Kyoto, Japan) equipped with a ZB5-MSi fused silica capillary column (30 m × 0.25 mm id. 0.25 μm film thickness, Phenomenex, Aschaffenburg, Germany). Helium grade 5.0 was used as the carrier gas (1 mL/min). The injection temperature was 310 °C, and the volume of injected sample was 1 μL. During injection, the split mode was applied (purge time—0.7 min). The following temperature program was used: 2 min at 50 °C and then linearly raised at a rate of 5 °C/min to 310 °C. A mass spectrometer was operated in EI mode at 70 eV. The temperature of ion source was 220 °C. The mass range was from 35 to 450 amu. Qualitative analysis was performed by comparing the retention indices and MS spectra for the obtained peaks with the analogous data from the mass spectrometry library (NIST’14). Quantitative analyses were carried out using a gas chromatograph with a flame ionization detector, GC/FID GC2010 (Schimadzu, Kyoto, Japan). Hydrogen was used as the carrier gas (1 mL/min). The experimental conditions were the same as for GC/MS. Peak identification was performed based on experimentally determined retention indices.

2.3. Berry Weight and Composition

Each year, the weight of the yield was determined in all the experimental plots. Two-kilogram bulk samples of fruits were collected at full ripeness in early September. Berries were collected from all parts of the shrub, and damaged fruits were excluded from the sample. Berry weight was recorded under laboratory conditions as the mean fresh weight of 100 berries from each sample (quantitative parameters) expressed in grams. For chemical analyses, the berries were packed in polyethylene bags, frozen at −20 °C in a standard freezer and stored until analytical determinations (qualitative parameters). Prior to analysis, the berries were thawed at room temperature. The assays determining berry composition (phenols, anthocyanins, tannins, chlorogenic acid, vitamin C and minerals: potassium, magnesium and zinc) were performed at the Central Research Laboratory of the University of Life Sciences in Lublin (Poland).

2.3.1. Phenolic Compounds (PC)

Fresh fruit material (1 g) was homogenized with 45 mL of 80% ethanol and subsequently extracted at 95 °C for 30 min in a water bath. After cooling down, the solution was filtered. The total phenolic content was determined using the Folin–Ciocalteu reagent and caffeic acid as a standard [34]. Briefly, to 0.5 mL of the sample, 10 mL of H2O and 2 mL of Folin–Ciocalteu reagent (Merck KGaA, Darmstadt, Germany) were added; after 3 min, 10 mL of 10% (v/v) Na2CO3 was added, and the contents were mixed and allowed to stand for 30 min at room temperature. Absorbance was measured at 725 nm using a Shimadzu 1800 UV-VIS spectrophotometer (Kyoto, Japan). The tests were carried out in triplicate, and the results were expressed as mg of caffeic acid equivalent to (CAE)/100 g of extract.

2.3.2. Total Anthocyanins Content (TAC)

The total anthocyanin contents were determined according to the method by Miłkowska and Strzelecka [35]. Anthocyanins were extracted by incubating 5 g of fruit with 1% HCl in methanol for 24 h at room temperature, followed by filtration. Absorbance was measured immediately following the previous step at 535 nm using a Shimadzu 1800 UV-VIS spectrophotometer and a Gemini C 18 column (Phenomenex, Aschaffenburg, Germany). The anthocyanin content was expressed as a percentage of delphinidin chloride.

2.3.3. Total Tannin Content (TTC)

Two samples were prepared to determine the tannin content, each containing 2 mL of 10-fold diluted fruit extract, 3 mL of concentrated HCl and 1 mL of distilled water [36]. One sample was incubated at 100 °C for 30 min, and 0.5 mL ethanol was added to the second sample. Absorbances of all samples were measured at 470, 520 and 570 nm using a Shimadzu 1800 UV-VIS spectrophotometer. Differences between the samples, measured at the same wavelength (470, 520, 570 nm), were calculated. Total tannin content (TTC) was expressed as mg/100 g FW (fresh weight).

2.3.4. Chlorogenic Acid Content (CA)

For the determination of phenolic acids, the fruits were mixed in a blender to obtain a homogenised fruit sample. Twenty grams of homogenised fruit were mixed with 20 mL of methanol. The solution was extracted by placing it in a water bath at 95 °C for 30 min. The solution was filtered after cooling. Analyses were conducted using a Shimadzu 1800 UV-VIS spectrophotometer equipped with an SPD-20A detector and Gemini C 18 column (Phenomenex, Germany). Absorbances of all samples were measured at 254 nm.

2.3.5. Mineral Contents (Mg, K, Zn)

Magnesium (Mg) and potassium (K) were determined according to PN-EN 1134:1999 [37] and zinc (Zn) according to PN-EN 14084:2004 [38]. For Mg, K and Zn analysis, the samples were mineralised using the Mars Xpress Vessel (MarsXPress, CEM, Matthews, NC, USA) with HNO3 (V) at 210 °C for 6 h. The solution subsequently was filtered to eliminate silica. Minerals were analysed via atomic absorption spectrophotometry using a SpektrAA 280FS with an SPS-3 autosampler and a SIPS diluter (Varian, Australia). The determination of selected elements was performed at the following wavelengths: 766.0 nm (K), 202.6 nm (Mg) and 213.9 nm (Zn). The determination of Mg and K content was performed in the presence of a Schinkel buffer (10 g/dm3 CsCl + 100 g/dm3 La). The limits of quantification (LOQ) for the mineral analysed were as follows: K—40 mg/kg; Mg—36 mg/kg; Zn—0.9 mg/kg.

2.3.6. Vitamin C

Vitamin C content was determined according to the HPLC method EN 14130:2003 [39]. Five grams of fresh fruit were diluted in 40 mL 0.1 M metaphosphoric acid and centrifuged. Directly after extraction, 20 mL of the extract was transferred into a beaker; 10 mL of cysteine solution was added and mixed using a magnetic mixer. The solution pH was adjusted to 7.0–7.2 by adding trisodium phosphate solution at a concentration of 200 g/L. The pH value was controlled using a pH meter, stirred for 5 min and subsequently lowered to 2.5–2.8 with a solution of concentrated metaphosphoric acid (200 g/L). The analysis was carried out using a Shimadzu 1800 UV-VIS chromatograph with an SPD-20A detector (Shimadzu, Kyoto, Japan). The extracted sample was injected into a Gemini C 18 column (Phenomenex, Germany). Elution was carried out using 0.1 M phosphoric acid, the flow rate was 1 cm3 min−1) and absorbance was monitored at 254 nm.

2.4. Phytotoxic Effect of Essential Oils

Experiments involving plant response to the tested solutions were conducted under laboratory (22 ± 1 °C with 70 ± 5% relative humidity and 16:8 h (L:D) photoperiod) and field conditions. In laboratory conditions, aronia shoots (15-cm-long) were sprayed with a hand-held atomiser and visually assessed for phytotoxicity 48 h after application. The severity of phytotoxicity was evaluated based on the percentage of leaf surface with the following symptoms: none “−” (0–1%), slight “+” (1–25%), medium “++” (25–50%) and high “+++” (>50%) [40]. In 2021, the solutions were tested under field conditions. Phytotoxicity was assessed by observing the sprayed plants and comparing them with the control plants. A total of 24 h after oil application, three 75-cm-long shoots (12 shoots in each combination) were collected from each plot. Subsequently, the percentage of leaves and inflorescences showing the presence of spots, complete necrosis, burns, chlorosis and other changes in coloration was determined. A 7-point scale was established to determine the phytotoxic reaction of the plants (no damage; leaf blade bleaching and slight necrosis up to 2%; leaf blade bleaching and necrosis up to 10%; leaf blade bleaching and necrosis up to 25%; leaf blade bleaching and necrosis up to 50%; leaf blade bleaching and necrosis up to 75%; complete leaf damage) (European and Mediterranean Plant Protection Organisation, EPPO PP 1/135, 3, Phytotoxicity assessment).

2.5. Meteorological Conditions

This study used weather data from 2020–2022 recorded by the IMT200 Weather Station (iMETOS®ag) (Pessl Instruments GmbHWeiz, Austria) located in Piotrowice Wielkie (51°20′37.6″ N 22°24′33.2″ E), 11 km away from the experimental field. The weather conditions in 2020–2022 are shown in Figure 1. The total rainfall for the period from March to September was comparable between the first and second growing season. During these years, abundant precipitation was separately recorded in both September and August. The mean temperature was the lowest in 2022, slightly higher in 2021 and highest in 2020. Overall, the weather in 2022 was warm but very dry.
Figure 1. Monthly variations in weather parameters: mean air temperature (avg), maximum air temperature (max), and minimum air temperature (min) during the 2020, 2021 and 2022 growing seasons according to the IMT200 Weather Station (iMETOS®ag) in Piotrowice Wielkie, Poland.

2.6. Statistical Analysis

The results were statistically analysed using a two-way analysis of variance (ANOVA), to examine differences in the mean values of examined parameters between groups. Treatments (regarding the type and concentrations of EOs), the study year effect and interaction between treatment and the study year were used as factors. Tukey’s HSD test at a significance level of p < 0.05 was used to determine individual differences between the mean values of the parameters tested in each group. The results in the tables are presented as arithmetic means with standard deviation (SD). The distribution of the obtained results was also presented in box plots. Each measurement was performed in three replicates. Tibco Statistica for Windows, v14 (StatSoft Sp. z o.o., Krakow, Poland), 2020 was utilised for all analyses.

3. Results

3.1. Chemical Composition of Essential Oils

The results concerning the qualitative and quantitative compositions of essential oils are presented in Table 1 and Table 2 and Figure 2 and Figure 3 (gas chromatogram). The analysis of T. vulgare EO revealed the presence of 15 compounds, with thujone (66.62%) recorded as the most abundant ingredient. The percentage of the remaining 14 constituents ranged from 14.78 to 0.14%.
Table 1. Chemical profile of T. vulgare L. essential oil (Herbapol—Kraków, Poland).
Table 2. Chemical profile of S. montana L. essential oil (Herbiness—Chomiec, Poland).
Figure 2. GC-MS chromatogram of T. vulgare L. essential oil.
Figure 3. GC-MS chromatogram of S. montana L. essential oil.
The chemical composition of S. montana comprised 38 different compounds, with thymol being the main component (40.04%). All of the remaining compounds were present in lower concentrations (13.08–0.05%).

3.2. Effects of T. vulgare and S. montana EOs on Berry Weight and Composition

3.2.1. Berry Weight

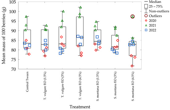
Statistical analysis demonstrated significant differences in the weight of 100 chokeberry fruits from plants treated with individual concentrations of T. vulgare and S. montana EOs (F6 = 3.90, p < 0.003), across years (F2 = 127.3, p < 0.001), and interactions between treatment and year (F12 = 3.2, p < 0.003). The mean weight of 100 berries ranged from 82.48 g to 88.01 g. An increase in fruit weight was observed after treatments with 3% and 4.5% T. vulgare and 1.5% S. montana EOs, but it was not statistically significant compared to the control. However, a statistically significant loss in fruit weight was observed after treatment with a 4.5% savoury EO. Comparing the results from three years, it should be noted that aronia fruit weight was the highest in 2021 (Figure 4).
Figure 4. Effect of different concentrations of T. vulgare and S. montana EOs on the mean chokeberry fruit weight.

3.2.2. PC, TAC, TTC and CA Contents

Significant effects were observed for the concentrations of the tested EOs on the content of biologically active compounds in A. melanocarpa fruits.
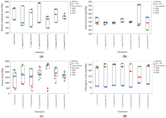
Statistical analysis demonstrated significant differences in the content of phenolic compounds in chokeberry fruits using individual concentrations of T. vulgare and S. montana EOs (F6 = 1191.9, p < 0.001), across years (F2 = 5289.6, p < 0.001) and interactions between treatment and year (F12 = 1201.7, p < 0.001). The highest phenolic content was determined in fruits treated with 4.5% T. vulgare oil (848.03 mg/100 g), while the application of other solutions significantly reduced their content compared to the control (Table 3). The lowest content was recorded for 1.5% S. montana oil (625.59 mg/100 g).
Table 3. Effect of different concentrations of T. vulgare and S. montana EOs on the content of phenolic compounds (PC), total anthocyanins (TAC), total tannins (TTC) and chlorogenic acid (CA) in chokeberry fruits.
The level of phenolic compounds in aronia fruits varied in each year of the study (Figure 5a). In 2022, their content was the lowest, except for the treatment with 3% S. montana oil. In 2020 and 2021, the phenolic content in chokeberry fruit was similar.
Figure 5. Changes in the content of phenols (a), anthocyanins (b), tannins (c) and chlorogenic acid (d) in chokeberry fruits after treatments with T. vulgare and S. montana EOs in 2020–2022.
The results obtained showed that treatment with EOs affected the content of anthocyanins in A. melanocarpa fruits. Anthocyanin concentration varied across treatments (F6 = 1712.9, p < 0.001), years (F2 = 12,023, p < 0.001) and treatment × year interaction (F12 = 3330.9, p < 0.001). The highest content of anthocyanins was found in fruits of A. melanocarpa plants treated with 3% S. montana EO (347.06 mg/100 g) and 4.5% T. vugare EO (310.19 mg/100 g) (Table 3). The other EO solutions caused a significant decrease in the content of anthocyanins compared to the control group.
The highest anthocyanin content was observed in 2022, although the application of 1.5% S. montana and 3% T. vulgare oils did not affect the levels of anthocyanins in any of the years of this study (Figure 5b).
The content of tannins in chokeberry fruits after treatment with the tested essential oils changed depending on the treatment (F6 = 4.20, p < 0.002), year (F2 = 44.30, p < 0.001) and treatment × year interaction (F12 = 4.69, p < 0.001). All applications of EOs led to an increase in tannin content compared to the control group, but the highest increase was observed after treatment with 4.5% T. vulgare and 3% and 1.5% S. montana EOs (1884.6, 1895.9, 2106.4 mg/100 g, respectively) (Table 3). The content of tannins was the lowest in 2020, except for the treatment with 1.5% S. montana EO (Figure 5c).
The results indicate that the treatments with essential oils had a significant impact on the content of chlorogenic acid in A. melanocarpa fruits. The concentration of chlorogenic acid changed depending on the treatment (F6 = 4322, p < 0.001), year (F2 = 539,256.9, p < 0.001) and treatment × year interaction (F12 = 6456.7, p < 0.001). The application of EOs resulted in an overall increase in the content of chlorogenic acid levels during the experimental period, except for treatments with 1.5% and 3% S. montana EOs (Table 3). The highest content of this compound was recorded in fruits after the application of 3% T. vulgare EO (192.23 mg/100 g). The lowest concentration of this compound was observed in 2022 (Figure 5d).

3.2.3. K, Mg, Zn and Vitamin C Contents

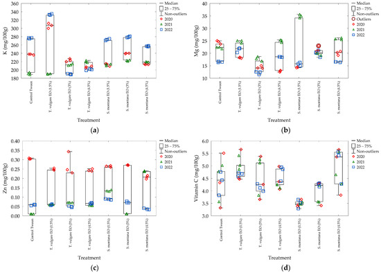
Based on statistical analysis, significant differences were observed in the potassium content in chokeberry fruits using individual concentrations of T. vulgare and S. montana EOs (F6 = 965.5, p < 0.001) across years (F2 = 2430.8, p < 0.001) and interactions between treatment and year (F12 = 631.6, p < 0.001). A significant increase in the potassium content in the fruits was observed after the application of 1.5% T. vulgare oil (276.78 mg/100 g) and 3% S. montana oil (247.22 mg/100 g). Spraying with the remaining solutions of both oils resulted in a significant decrease in the potassium content compared to the control group. The lowest potassium content was detected in fruits treated with 3% and 4.5% T. vulgare oil (208.67 and 209.22 mg/kg, respectively) (Table 4). In 2022, the potassium content of chokeberry fruit was the highest except for the treatment with 3% and 4.5% T. vulgare oil (Figure 6a).
Table 4. Effect of different concentrations of T. vulgare and S. montana EOs on the K, Mg, Zn and vitamin C content in chokeberry fruits.
Figure 6. Changes in potassium (a), magnesium (b), zinc (c) and vitamin C (d) content in chokeberry fruits after treatments with T. vulgare and S. montana EOs in 2020–2022.
The magnesium content in chokeberry fruits, following treatment with the oils tested, varied depending on the treatment (F6 = 120.4, p < 0.001), year (F2 = 718.3, p < 0.001) and treatment × year interaction (F12 = 139.1, p < 0.001). The content of Mg ranged from 14.79 (3% T. vulgare) to 21.66 mg/100 g FW (1.5% S. montana). The application of 1.5% T. vulgare and S. montana oils caused an increase in Mg content compared to the control group, but these increases were not statistically significant. With respect to 3% and 4.5% T. vulgare EOs, and 3% S. montana EO, a significant decrease was observed in the content of this element in fruits. The content of Mg was the highest in 2021 (Figure 6b).
Treatment with essential oils led to a decrease in zinc content in chokeberry fruits, except for the treatment with 1.5% S. montana EO. In the latter case, the content of this mineral was comparable to the control group. Zn concentration varied by treatment (F6 = 16.6, p < 0.001), year (F2 = 1287, p < 0.001) and the interaction between treatment and year (F12 = 52, p < 0.001). The concentration of Zn ranged from 0.118 to 0.162 mg/100 g FW. Control berries showed significantly lower Zn content compared to fruits treated with 1.5% and 4.5% solutions of S. montana EO. Zinc content was the highest in 2020, except for the treatment with 4.5% S. montana EO (Figure 6c).
The different content of this compound in chokeberry fruits after treatments with examined oils was recorded only for individual treatments (F6 = 7.1, p < 0.001). No changes in vitamin C concentrations were found in relation to the study year (F2 = 0, p = 0.998) and the interaction of treatment and year (F12 = 0.4, p = 0.932). The average value of vitamin C content ranged from 3.49 mg/100 g FW (1.5% S. montana EO) to 4.95 mg/100 g FW (4.5% S. montana EO), while the control berries contained 4.39 mg/100 g FW (Table 4). The results indicated a negative effect of 1.5% S. montana EO on vitamin C content compared to the control group. The level of vitamin C was similar in each year of the study (Figure 6d).

3.3. Phytotoxic Effect of Essential Oils

Both in field and laboratory conditions, phytotoxicity occurred exclusively after the application of winter savoury EO in all three concentrations (Table 5 and Table 6). Damage was observed exclusively on leaves. After the application of savoury oil at a concentration of 1.5%, symptoms of phytotoxicity in the form of local discoloration were visible only on the lower side of the leaf blade. By contrast, an evaluation of the phytotoxic effects of 3% and 4.5% oils showed the presence of discoloration and necrosis on both the upper and lower sides of the leaves (Table 5). Higher concentrations of the oil increased the number of leaves with damage to more than 50% of their surface. Spraying with a 4.5% concentration resulted in the complete damage of 11.1% of the leaves.
Table 5. Phytotoxicity of T. vulgare and S. montana EOs on black chokeberry leaves in laboratory conditions.
Table 6. Phytotoxicity of T. vulgare and S. montana EOs on black chokeberry leaves in field conditions.

4. Discussion

4.1. Chemical Composition of Essential Oils

Essential oils demonstrate low toxicity towards both humans and animals [41] and are therefore used in various sectors, such as the food industry (as preservatives and flavourings) or agriculture (plant biostimulants, pesticides) [42,43].
Until now, approximately 30 chemotypes of tansy have been described based on their first dominant constituent [44]. The main components include beta-thujone, camphor, trans-chrysanthenyl acetate, myrtenol, borneol, γ-terpinene, sabinene, α-pinene, chrysanthenone or isopinocamphone [21,23,45]. Our results showed that T. vulgare EO contained 15 different components, and thujone was the dominant substance (66.62%). Thujone, a bicyclic monoterpene ketone, typically exists in two stereoisomers, α-thujone and β-thujone, and the total content of both isomers is usually determined [46]. Our data are consistent with the results of previous studies that also identified thujone as the primary constituent of their corresponding essential oils. Thujone (mainly β-thujone) has been shown to be the main component of EOs derived from various countries, including Poland, Norway, Belgium, Hungary, Sweden, Canada, Peru and Argentina. The percentage of thujone also exhibited considerable variation, ranging from 28% to almost 98% [25,45,47,48]; all of these EOs additionally contained many other compounds. Magierowicz et al. [25] showed that tansy EO contained 82 compounds, whereas Nurzyńska-Wierdak et al. [23] identified 47 components. The lower abundance of compounds in T. vulgare EO observed in our research may be attributed to various factors influencing its quality. The analytical certificate of T. vulgare EO provided by the company includes several parameters, such as colour, smell, relative density and refractive index, which are specified in the European Pharmacopoeia for the purity control of essential oils. However, the company does not provide information related to the origin of the plants, harvest date, extraction method and other parameters affecting the chemical composition of the oil. In addition, essential oils contain many lipophilic and highly volatile components derived from different chemical classes that can be susceptible to conversion and degradation reactions. Processes such as oxidation and polymerisation can cause EOs to lose their quality and properties. According to Turek and Stintzing [49], essential oils containing mainly unsaturated mono- and sesquiterpenes are particularly prone to alterations during storage. These changes observed in essential oils or isolated substances can often result from the interaction of several factors; temperature, light or a combination of both, as well as the presence of oxygen, are considered as exerting the most decisive impact on essential oil stability. Essential oils have been proven to undergo alterations during aging that lead not only to changes in colour and aroma but also in other aspects [50,51].
S. montana is characterised by a significant morphological variability even within the same population. This leads to differences in the chemical composition of its essential oils, which are highly dependent on factors such as genotype and environmental conditions. Other contributing factors to this variability include season, nutritional status of the plants, stages of development, and different drying techniques [16,29]. Numerous studies have investigated the essential oil composition of winter savoury from various countries. The main components of these oils may include carvacrol, thymol, γ-terpinene, p-cymene, linalool and borneol. For instance, in plant material collected in Croatia, the predominant constituents were carvacrol and thymol [52,53]. In Poland, 30 compounds were identified in S. montana EO, with the major components being carvacrol, p-cymene and γ-terpinene [54]. Plant material originating from the Mediterranean region has also been characterised as a phenol-chemotype, with differences in the content of thymol and carvacrol [55,56,57,58]. Moreover, the essential oil extracted from S. montana (before flowering) grown in the central part of Montenegro and Albania contained thymol (37.36% and 28.99%, respectively) as the main ingredient [57,59]. In this study, we have identified 38 different components in S. montana EO, with thymol being the dominant substance (40%). Notably, benzene and 1,4-Cyclohexadiene (=γ-terpinene) were also among the components present at high percentages. In summary, the main components of this oil (originating from Spain) were found to be similar to a thymol chemotype from Bosnia and Herzegovina [60].

4.2. Berry Weight and Composition

In our study, the weight of 100 aronia fruits varied from 82.5 to 88.0 g. This aligned with the findings of Skupień et al. [61], who reported a variation in the weight of 100 berries from 81.7 to 92.5 g, and Kawecki and Tomaszewska [62], who observed weights ranging from 84 to 98 g. However, according to Strik et al. [63], and Smolarz and Chlebowska [64], this weight can reach significantly higher values, even up to 280 g. Generally, the mean weight of 100 control and treated berries was within the range reported in previous studies. Notably, our experiment did not reveal a significant influence of the tested solutions of essential oils on fruit mass, with the exception of 4.5% S. montana oil. In the latter case, a statistically significant loss of fruit weight was recorded.
Souri and Bakhtiarizade [65] studied the effects of two concentrations of rosemary EO on the growth and nutrient uptake of tomatoes. These authors showed that EO treatments had different effects on tomato plant height. Foliar application with higher concentrations of EO (1000 ppm) resulted in shorter plants compared to the control, as opposed to 500 ppm. On the other hand, all concentrations of the oil induced an increasing trend regarding shoot fresh weight compared to control plants. The nutrient analysis of tomato leaves revealed a significant increase in the concentrations of trace minerals, such as potassium, magnesium and zinc, following foliar spraying with higher concentrations of rosemary oil compared to control plants. In summary, the authors demonstrated that rosemary EO acts as a biostimulant, affecting important plant characteristics. In our experiment, only lower concentrations of both tested oils caused a significant increase in magnesium and potassium contents. By contrast, no such trend was observed for zinc content. Chyaouch et al. [66] tested the effects two different concentrations of thyme EO on the regeneration rate and the shoot and root development of strawberries (Fragria × ananassa Dutch). The authors observed a significant difference between plants treated with essential oil and control plants. The treatment with essential oil positively impacted the root system, number of leaves and shoots. Additionally, physiological analysis revealed an improvement in the chlorophyll content in treated leaves, along with a significant increase in the activity of peroxidase and the content of hydrogen peroxide in the leaf tissue. Abd El-Khalek et al. [67] also reported positive effects of thyme EO on the quality of fruits. Pre-harvest treatment had a beneficial impact on maintaining grape quality after 15-day storage at 0 °C. The 0.2% EO treatment resulted in higher contents of ascorbic acid and total soluble solids compared to the control. In addition, after treatment, the grapes reached the highest marketable percentage and visual appearance score. By contrast, our results indicated a negative effect of the lowest tested concentration of S. montana EO (1.5%) on vitamin C content compared to the control. This negative impact of savoury EO and its main component (thymol) could be attributed to the allelopathic and phytotoxic properties of this plant species [68,69].
It should also be emphasised that all the compounds tested (regardless of the concentration of the two essential oils) fell within the ranges previously reported in the literature: total anthocyanins—284–631 mg/100 g FW [70,71], total tannins—from 522 mg/100 g FW [70,72], chlorogenic acid—17–188 mg/100 g FW [70,73], potassium—135–679 mg/100 g FW and magnesium—8.3–66.9 mg/100 g FW [74,75], zinc—0.055–0.84 mg/100 g FW [74,76] and vitamin C—1.3–27 mg/100 g FW [2].

4.3. Phytotoxic Effect of Essential Oils

Many studies have demonstrated the potential of essential oils as biopesticides against harmful organisms in agriculture (pests, diseases and weeds) [18,19,25,77,78]. However, phytotoxic properties of EOs have long been a major drawback to their potential widespread applicability, because they may exhibit harmful effects to non-target plants. Equally important is the fact that the specific plant organs of interest and their physiological state determine the effect of EOs on plants. In this study, the thymol-rich S. montana EO showed phytotoxicity to A. melanocarpa leaves even when administered at low concentrations. The signs of phytotoxicity, manifested as localised discolouration, were evident on the lower side of the leaves after the application of the lowest concentration (1.5%) of savoury oil. The effect of higher concentrations of S. montana EO caused discolouration and necrosis on the upper and lower sides of the leaf blades. These results remain consistent with the literature data, showing negative effects (including allelopathic properties) of savoury oil and thymol on plants. Nevertheless, it should be emphasised that the phytotoxic effect is mainly attributed to certain component(s) of the EO. The phytotoxic effect of S. montana EO to Pinus pinaster in the form of shoot chlorosis and drooping was demonstrated by Faria et al. [69], with carvacrol identified as the causative agent. By contrast, Grosso et al. [68] assessed the inhibitory activity of Thymus vulgaris EO, with thymol as the main compound (36.8%) in its composition on seed germination, root growth and shoot growth of the seedlings of cereals (Zea mays, Triticum durum); legumes (Pisum sativum); leaf vegetables (Lactuca sativa); and weeds (Portulaca oleracea, Vicia sativa). The latter authors found that this essential oil could be applied as a natural herbicide, being least harmful to all the tested species. Similarly, Lippia sidoides EO, also with thymol as its main component, exhibited negative effects on L. sativa [79]. It should be noted that, in the study of Wogiatzi et al. [78], oregano EO (known for its high thymol content), when applied at high concentrations, caused significant damage to tomato plants, and the intensity of this phytotoxicity declined with decreasing oil levels. However, at low doses, the application of this EO resulted in higher plant yields. Kordali et al. [80] reported that thymol and carvacrol completely inhibited the seed germination and seedling growth of Amaranthus retroflexus, Chenopodium album and Rumex crispus. According to Vasilakoglou et al. [81], thymol completely supressed the seed germination of Lolium rigidum. It is worth mentioning that EOs could be used to control many crop pests by being sprayed on plants to develop the natural defence system [82,83,84,85]. As documented by Werrie et al. [86] following EO application, complex modifications of oxidative stress-related metabolites occur in plants (e.g., increases in expression levels of specific genes belonging to PR proteins, hormonal signalling, phenylpropanoids and parietal modification pathways). As demonstrated, the plant defence induction occurring below the phytotoxicity threshold is significantly important for EO application in horticulture.

4.4. Weather Parameters

Environmental factors play a significant role in shaping the development and quality of fruits, leading to variations in the content of bioactive components across different growing seasons. Our research demonstrated that the content of bioactive compounds in chokeberry fruits varied considerably between growing seasons. Fruits harvested in 2022, when the weather was warm and dry, with the lowest temperature extremes (min, max, avg) and reduced rainfall compared to the 2020 and 2021 growing seasons, contained higher amounts of total anthocyanins compared to fruits from the two other seasons. These findings align with previous studies that have explored the impact of weather conditions on the content of phenolic compounds in fruits. Xu et al. [87] reported an inverse correlation between the concentration of phenols in fruits and air temperature. Similar results were also observed by Zheng et al. [88] in three black currant cultivars, where fruits from shrubs grown in colder conditions contained lower amounts of total anthocyanins than those grown at warmer regions. The authors emphasised that temperature and radiation were the major weather variables influencing the composition of phenolic compounds. Similar results were reported by Ramos and de Toda regarding Vitis vinifera cv. Carignan [89]. This effect was further enhanced by water stress.

5. Conclusions

To the best of our knowledge, this study is the first exploration of how essential oils from S. montana and T. vulgare (applied against A. advenella caterpillars) affect the chemical constituents and yield of black chokeberry. Based on the aforementioned data, it can be inferred that the foliar application of these two essential oils at different concentrations affects the post-harvest content of chemical components and the yield of these fruits. In this context, T. vulgare oil, particularly at higher concentrations, has shown promise in increasing the content of valuable compounds with strong antioxidant properties, having the ability to scavenge free radicals, directly benefiting human health. On the other hand, the application of S. montana EOs positively affected minerals and chlorogenic acid content. However, its phytotoxic effects on A. melanocarpa preclude it from further use.
Knowledge regarding the biocidal potential of EOs and their constituents has strongly increased during the last decade. EOs are prospective candidates for the development of new eco-friendly products as substitutes for chemical pesticides. However, research on the use of EOs in plant protection focuses mainly on their action as biopesticides. In our work, through analyses of the weight and chemical composition of chokeberry fruits, we wanted to draw attention to the wide-ranging effects of EOs and their impact on the post-harvest content of chemical components and yield of these fruits. The mode of action of EOs is very complex and requires further research; therefore, investigation determining their effect on several targets (simultaneously as biopesticides and biomodulators) may represent a promising opportunity for managing plant pests in a manner that is less aggressive to human health and the environment. In the future, the knowledge of the wide-ranging effects of essential oils could be used in horticultural practices.

Author Contributions

Conceptualization, E.G.-D.; methodology, E.G.-D., I.K. and K.D.; software, A.B.; validation, K.G.; formal analysis, K.K. and M.P.; investigation, E.G.-D., K.G., I.K. and K.K.; data curation, E.G.-D.; writing—original draft preparation, E.G.-D., I.K. and K.K.; writing—review and editing, K.G.; visualization, M.P.; supervision, E.G.-D.; project administration, E.G.-D.; funding acquisition, E.G.-D. All authors have read and agreed to the published version of the manuscript.

Funding

This research was funded by the Ministry of Agriculture and Rural Development Republic of Poland, grant number JPR.re.027.9.2020 and the University of Life Sciences in Lublin.

Institutional Review Board Statement

Not applicable.

Data Availability Statement

The data that support the findings of this study are available from the corresponding author upon reasonable request.

Acknowledgments

The authors would like to thank Piotr Nowak, the owner of the organic black chokeberry horticulture farm in Samoklęski.

Conflicts of Interest

The authors declare no conflict of interest.

References

  1. Kleparski, J. Uprawa aronii znow oplacalna. Hasło Ogrod. 2001, 11, 31–32. [Google Scholar]
  2. Kulling, S.E.; Rawel, H.M. Chokeberry (Aronia melanocarpa)—A Review on the characteristic components and potential health effects. Planta Med. 2008, 74, 1625–1634. [Google Scholar] [CrossRef] [PubMed]
  3. Broncel, M.; Kozióg-Kołacińska, M.; Andryskowski, G.; Duchnowicz, P.; Koter-Michalak, M.; Owczarczyk, A.; Chojnowska-Jezierska, J. Wpływ antocyjanów z aronii czarnoowocowej na ciśnienie tętnicze oraz stężenie endoteliny-1 i lipidow u pacjentow z zespołem metabolicznym. Pol. Merkur. Lek. 2007, 134, 116–119. [Google Scholar]
  4. Naruszewicz, M.; Łaniewska, I.; Millo, B.; Dłuzniewski, M. Combination therapy of statin with flavonoids rich extract from chokeberry fruits enhanced reduction in cardiovascular risk markers in patients after myocardial infarction (MI). Atherosclerosis 2007, 194, e179–e184. [Google Scholar] [CrossRef] [PubMed]
  5. Simeonov, S.B.; Botushanov, N.P.; Karahanian, E.B.; Pavlova, M.B.; Husianitis, H.K.; Troev, D.M. Effects of Aronia melanocarpa juice as part of the dietary regimen in patients with diabetes mellitus. Folia Med. 2002, 44, 20–23. [Google Scholar]
  6. Jayaprakasam, B.; Vareed, S.K.; Olson, L.K.; Nair, M.G. Insulin secretion by bioactive anthocyanins and anthocyanidians present in fruits. J. Agric. Food Chem. 2005, 53, 28–31. [Google Scholar] [CrossRef]
  7. Valcheva-Kuzmanova, S.; Belcheva, A. Current knowledge of Aronia melanocarpa as a medicinal plant. Folia Med. 2006, 48, 11–17. [Google Scholar]
  8. Jurikova, T.; Mlcek, J.; Skrovankova, S.; Sumczynski, D.; Sochor, J.; Hlavacova, I.; Snopek, L.; Orsavova, J. Fruits of black chokeberry Aronia melanocarpa in the prevention of chronic diseases. Molecules 2017, 22, 944. [Google Scholar] [CrossRef]
  9. Kokotkiewicz, A.; Jaremicz, Z.; Luczkiewicz, M. Aronia plants: A review of traditional use, biological activities, and perspectives for modern medicine. J. Med. Food. 2010, 13, 255–269. [Google Scholar] [CrossRef]
  10. Chrubasik, C.; Li, G.; Chrubasik, S. The clinical effectiveness of chokeberry: A systematic review. Phytother Res. 2010, 24, 1107–1114. [Google Scholar] [CrossRef]
  11. Naruszewicz, M.; Dłużniewski, M.; Łaniewska, I.; Pikto-Pietkiewicz, W.; Millo, B.; Zapolska-Downar, D. Effect of anthocyanins from chokeberry (Aronia melanocarpa) on blood pressure, inflammatory mediators and cell adhesion molecules in patients with a history of myocardial infarction (MI). Atherosclerosis 2004, 4, 143. [Google Scholar] [CrossRef]
  12. Told, R.; Schmidl, D.; Palkovits, S.; Boltzet, A.; Gouya, G.; Wolzt, M.; Witkowska, K.J.; Popa-Cherecheanu, A.; Werkmeister, R.M.; Garhöfer, G.; et al. Antioxidative capacity of a dietary supplement on retinal hemodynamic function in a human lipopolysaccharide (LPS) model. Investig. Ophthalmol. Vis. Sci. 2015, 56, 403–411. [Google Scholar] [CrossRef] [PubMed]
  13. Scott, R.W.; Skirvin, R.M. Black chokeberry (Aronia melanocarpa Michx.): A semi–edible fruit with no pests. J. Am. Pomol. Soc. 2007, 61, 135. [Google Scholar]
  14. Ara, V. Schwarzfruchtige Aronia: Gesund—Und bald “in aller Munde”? Flüssiges Obst 2002, 10, 653–658. [Google Scholar]
  15. Hudz, N.; Makowicz, E.; Shanaida, M.; Biało’n, M.; Jasicka-Misiak, I.; Yezerska, O.; Svydenko, L.; Wieczorek, P.P. Phytochemical evaluation of tinctures and essential oil obtained from Satureja montana herb. Molecules 2020, 25, 4763. [Google Scholar] [CrossRef] [PubMed]
  16. Skočibušić, M.; Bezić, N. Chemical composition and antimicrobial variability of Satureja montana L. essential oils produced during ontogenesis. J. Essent. Oil Res. 2004, 16, 387–391. [Google Scholar] [CrossRef]
  17. Mohammadi, H.; Aghaee, A.; Pormohammad, P.; Ghorbanpour, M.; Hazrati, S. Physiological reaction and chemical composition of Stachys schtschegleevii Sosn. essential oil under water deficit. Acta Sci. Pol. Hortorum Cultus 2022, 21, 103–114. [Google Scholar] [CrossRef]
  18. Magierowicz, K.; Górska-Drabik, E.; Golan, K. Effects of plant extracts and essential oils on the behavior of Acrobasis advenella (Zinck.) caterpillars and females. J. Plant Dis. Prot. 2020, 127, 63–71. [Google Scholar] [CrossRef]
  19. Koul, O.; Walia, S.; Dhaliwal, G.S. Essential oils as green pesticides: Potential and constraints. Biopestic. Int. 2008, 4, 63–84. [Google Scholar]
  20. Johnson, E.S.; Kadam, N.P.; Hylands, D.M.; Hylands, P.J. Efficacy of feverfew (Tanacetum parthenium) as prophylactic treatment of migraine. Br. Med. J. 1985, 291, 569–573. [Google Scholar] [CrossRef]
  21. Piras, A.; Falconieri, D.; Bagdonaite, E.; Maxia, A.; Gonçalves, M.J.; Cavaleiro, C.; Salgueiro, L.; Porcedda, S. Chemical composition and antifungal activity of supercritical extract and essential oil of Tanacetum vulgare growing wild in Lithuania. Nat. Prod. Res. 2014, 28, 1906–1909. [Google Scholar] [CrossRef] [PubMed]
  22. Devrnja, N.; Andelković, B.; Aranđelović, S.; Radulović, S.; Soković, M.; Krstić-Milošević, D.; Ristić, M.; Čalić, D. Comparative studies on the antimicrobial and cytotoxic activities of Tanacetum vulgare L. essential oil and methanol extracts. S. Afr. J. Bot. 2017, 111, 212–221. [Google Scholar] [CrossRef]
  23. Nurzyńska-Wierdak, R.; Sałata, A.; Kniaziewicz, M. Tansy (Tanacetum vulgare L.)—A Wild-Growing aromatic medicinal plant with a variable essential oil composition. Agronomy 2022, 12, 277. [Google Scholar] [CrossRef]
  24. Czerniewicz, P.; Chrzanowski, G.; Sprawka, I.; Sytykiewicz, H. Aphicidal activity of selected asteraceae essential oils and their effect on enzyme activities of the green peach aphid, Myzus Persicae (Sulzer). Pestic. Biochem. Physiol. 2018, 145, 84–92. [Google Scholar] [CrossRef] [PubMed]
  25. Magierowicz, K.; Górska-Drabik, E.; Sempruch, C. The effect of Tanacetum vulgare essential oil and its main components on some ecological and physiological parameters of Acrobasis advenella (Zinck.) (Lepidoptera: Pyralidae). Phestic. Biochem. Phys. 2020, 162, 105–112. [Google Scholar] [CrossRef] [PubMed]
  26. Chiasson, H.; Belanger, A.; Bostanian, N.; Vincent, C.; Poliquin, A. Acaricidal properties of Artemisia absinthium and Tanacetum vulgare (Asteraceae) essential oils obtained from three methods of extraction. J. Econ. Entomol. 2001, 94, 167–171. [Google Scholar] [CrossRef]
  27. Kowalonek, J.; Stachowiak, N.; Bolczak, K.; Richert, A. Physicochemical and antibacterial properties of alginate films containing tansy (Tanacetum vulgare L.) essential oil. Polymers 2023, 15, 260. [Google Scholar] [CrossRef]
  28. Mastelić, J.; Jerković, I. Gas chromatography-mass spectrometry analysis of free and glycoconjugated aroma compounds of seasonally collected Satureja montana L. Food Chem. 2003, 80, 135–140. [Google Scholar] [CrossRef]
  29. Milos, M.; Radonic, A.; Bezic, N.; Dunkic, V. Localities and seasonal variations in the chemical composition of essential oils of Satureja montana L. and S. cuneifolia Ten. Flavour Fragr. J. 2001, 16, 157–160. [Google Scholar] [CrossRef]
  30. Bezić, N.; Skočibušić, M.; Dunkić, V. Phytochemical composition and antimicrobial activity of Satureja montana L. and Satureja cuneifolia Ten. essential oils. Acta Bot. Croat. 2005, 64, 313–322. [Google Scholar]
  31. Magierowicz, K.; Górska-Drabik, E.; Sempruch, C. The insecticidal activity of Satureja hortensis essential oil and its active ingredient carvacrol against Acrobasis advenella (Zinck.) (Lepidoptera, Pyralidae). Pestic. Biochem. Physiol. 2019, 153, 122–128. [Google Scholar] [CrossRef] [PubMed]
  32. Slamka, F. Die Zünslerartigen (Pyraloidea) Mitteleuropas; Verlag Nicht Ermittelbar: Bratislava, Slovakia, 1997; 112p. [Google Scholar]
  33. Górska-Drabik, E. Occurrence of Acrobasis advenella (Zinck.) (Lepidoptera, Pyralidae, Phycitinae) on Black Chokeberry in Poland and Its Ciochemical Interaction with Host Plants; University of Life Science in Lublin: Lublin, Poland, 2013; pp. 10–12. [Google Scholar]
  34. Singleton, V.L.; Rossi, J.A. Colorimetry of total phenolics with phosphomolybdic-phosphotungstic acid reagents. Am. J. Enol. Vitic. 1965, 16, 144–158. [Google Scholar] [CrossRef]
  35. Miłkowska, K.; Strzelecka, H. Flos Hibisci—Metody identyfikacji i ocena surowca. Herba Pol. 1995, 41, 11–16. [Google Scholar]
  36. Ribereau-Gayon, P.; Glories, Y.; Maujean, A.; Dubordieu, D. Handbook of Enology, 2nd ed.; John Wiley & Sons Ltd.: Chichester, UK, 2006; pp. 3–51. [Google Scholar]
  37. PN-EN 1134:1999; Foodstuffs. Determination of Trace Elements. Determination of Sodium, Potassium, Calcium and Magnesium by Atomic Absorption Spectrometry (AAS) after Microwave Digestion. Polish Committee for Standardisation: Warsaw, Poland, 1999.
  38. PN-EN 14084:2004; Foodstuffs. Determination of Trace Elements. Determination of Lead, Cadmium, Zinc, Copper and Iron by Atomic Absorption Spectrometry (AAS) after Microwave Mineralization. Polish Committee for Standardization: Warsaw, Poland, 2004.
  39. EN 14130:2003; Foodstuffs. Determination of Vitamin C by HPLC. This European Standard. European Committee for Standardization: Brussels, Belgium, 2003.
  40. Karamaouna, F.; Kimbaris, A.; Michaelakis, A.; Papachristos, D.; Polissiou, M.; Papatsakona, P.; Tsora, E. Insecticidal activity of plant essential oils against the vine mealybug, Planococcus ficus. J. Insect Sci. 2013, 13, 142. [Google Scholar] [CrossRef] [PubMed]
  41. Hara, M.; Yamauchi, N.; Sumita, Y. Monoterpenes induce the heat shock response in Arabidopsis. Z. Naturforsch. 2018, 73, 177–184. [Google Scholar] [CrossRef] [PubMed]
  42. Burt, S. Essential oils: Their antibacterial properties and potential applications in foods—A review. Int. J. Food Microbiol. 2004, 94, 223–253. [Google Scholar] [CrossRef] [PubMed]
  43. Tepe, B. Inhibitory effect of Satureja on certain types of organisms. Rec. Nat. Prod. 2015, 9, 1–18. [Google Scholar]
  44. Kleine, S.; Müller, C. Intraspecific plant chemical diversity and its relation to herbivory. Oecologia 2011, 166, 175–186. [Google Scholar] [CrossRef]
  45. Pålsson, K.; Jaenson, T.G.; Baeckström, P.; Borg-Karlson, A.K. Tick repellent substances in the essential oil of Tanacetum vulgare. J. Med. Entomol. 2008, 45, 88–93. [Google Scholar] [CrossRef]
  46. Lachenmeier, D.W.; Walch, S.G.; Padosch, S.A.; Kröner, L.U. Absinthe—A review. Crit. Rev. Food Sci. Nutr. 2006, 46, 365–377. [Google Scholar] [CrossRef]
  47. Acha de la Cruz, O.; Guerrero, J.; Podea, R.; Bâtiu, I. Composition of the essential oil from the leaves of palma real (Tanacetum vulgare L.) from Perú. Chem. Bull. Politehnica Univ. (Timişoara) 2008, 53, 10–12. [Google Scholar]
  48. Rohloff, J.; Mordal, R.; Dragland, S. Chemotypical variation of tansy (Tanacetum vulgare L.) from 40 different locations in Norway. J. Agric. Food Chem. 2004, 52, 1742–1748. [Google Scholar] [CrossRef] [PubMed]
  49. Turek, C.; Stintzing, F.C. Evaluation of selected quality parameters to monitor essential oil alteration during storage. J. Food Sci. 2011, 76, 1365–1375. [Google Scholar] [CrossRef] [PubMed]
  50. Misharina, T.A.; Polshkov, A.N.; Ruchkina, E.L.; Medvedeva, I.B. Changes in the composition of the essential oil of marjoram during storage. Appl. Biochem. Microbiol. 2003, 39, 311–316. [Google Scholar] [CrossRef]
  51. Hagvall, L.; Bäcktorp, C.; Svensson, S.; Nyman, G.; Börje, A.; Karlberg, A.-T. Fragrance compound geraniol forms contact allergens on air exposure.Identification and quantification of oxidation products and effect on skinsensitization. Chem. Res. Toxicol. 2007, 20, 807–814. [Google Scholar] [CrossRef] [PubMed]
  52. Dunkic, V.; Bezic, N.; Vuko, E.; Cukrov, D. Antiphytoviral activity of Satureja montana L. ssp. variegata (host) P. W. Ball essential oil and phenol compounds on CMV and TMV. Molecules 2010, 15, 6713–6721. [Google Scholar] [CrossRef]
  53. Ćavar, S.; Šolić, M.E.; Maksimović, M. Chemical composition and antioxidant activity of two Satureja species from Mt. Biokovo. Bot. Serb. 2013, 37, 159–165. [Google Scholar]
  54. Wesołowska, A.; Grzeszczuk, M.; Jadczak, D. Influence of distillation apparatus and distillation time on the yield and chemical composition of winter savory essential oil. Folia Pomer. Univ. Technol. Stetin. Agric. Aliment. Pisc. Zootech. 2017, 44, 338. [Google Scholar] [CrossRef]
  55. Slavkovska, V.; Jančić, R.; Bojović, S.; Milosavljević, S.; Djoković, D. Variability of essential oils of Satureja montana L. and Satureja kitaibelii Wierzb. ex Heuff. from the central part of the Balkan Peninsula. Phytochem 2001, 57, 71–76. [Google Scholar] [CrossRef]
  56. Bezbradica, D.I.; Tomovic, J.M.; Vukasinovic, M.S. Composition and antimicrobial activity of essential oil of Satureja montana L. collected in Serbia and Montenegro. J. Essent. Oil Res. 2005, 17, 462–465. [Google Scholar] [CrossRef]
  57. Damjanovic-Vratnica, B.; Perovic, A.; Sukovic, D.; Perovic, S. Effect of vegetation cycle on chemical content and antibacterial activity of Satureja montana L. Arch. Biol. Sci. 2011, 63, 1173–1179. [Google Scholar] [CrossRef]
  58. Ibraliu, A.; Mi, X.; Elezi, F. Variation in Essential Oils to Study the Biodiversity in Satureja montana L. J. Med. Plant. Res. 2011, 5, 2978–2989. [Google Scholar]
  59. de Oliveira, T.L.C.; de Carvalho, S.M.; Soares, R.D.; de Araújo Soares, R.; Andrade, M.A.; das Graças Cardoso, M.; Ramos, E.M.; Piccoli, R.H. Antioxidant effects of Satureja montana L. essential oil on TBARS and color of mortadella-type sausages formulated with different levels of sodiumnitrite. LWT-Food Sci. Technol. 2012, 45, 204–212. [Google Scholar] [CrossRef]
  60. Ćavar, S.; Maksimović, M.; Šolić, M.E.; Jerković-Mujkić, A.; Bešta, R. Chemicalcomposition and antioxidant and antimicrobial activity of two Satureja essential oils. Food Chem. 2008, 111, 648–653. [Google Scholar] [CrossRef]
  61. Skupień, K.; Ochmian, I.; Grajkowski, J. Influence of mineral fertilization on selected physical features and chemical composition of aronia fruit. Acta Agrophys. 2008, 11, 213–226. [Google Scholar]
  62. Kawecki, Z.; Tomaszewska, Z. The effect of various soil management techniques on growth and yield in the black chokeberry (Aronia melanocarpa Elliot). J. Fruit Ornam. Plant Res. 2006, 14, 67–73. [Google Scholar]
  63. Strik, B.; Finn, C.; Wrolstad, R. Performance of Chokeberry (Aronia Melanocarpa) in Oregon, USA. Acta Hortic. 2003, 626, 439–443. [Google Scholar] [CrossRef]
  64. Smolarz, K.; Chlebowska, D. Porównanie owocowania aronii czarnoowocowej rozmnażanej generatywnie i wegetatywnie. Zesz Nauk ISK 1997, 4, 111–118. [Google Scholar]
  65. Souri, M.K.; Bakhtiarizade, M. Biostimulation effects of rosemary essential oil on growth and nutrient uptake of tomato seedlings. Sci. Hortic. 2019, 243, 472–476. [Google Scholar] [CrossRef]
  66. Chyaouch, R.; Kthiri, Z.; Soufi, S.; Jabuer, M.B.; Bettaieb, T. Assessing the biostimulant effect of micro-algae and thyme essential oil during in-vitro and ex-vitro rooting of strawberry. S. Afr. J. Bot. 2023, 162, 120–128. [Google Scholar] [CrossRef]
  67. El-Khalek, A.; Fathy, A.; El-Abbasy, U.K.; Abdel-Hameed, M.A. Pre-harvest application of essential oil for maintaining guality of f “flame seedless” grapes during cold storage. J. Sustain. Agric. Environ. Sci. 2023, 2, 18–28. [Google Scholar]
  68. Grosso, C.; Coelho, J.A.; Urieta, J.S.; Palavra, A.M.F.; Barroso, J.G. Herbicidal activity of volatiles from coriander, winter savory, cotton lavender, and thyme isolated by hydrodistillation and supercritical fluid extraction. J. Agr. Food Chem. 2010, 58, 11007–11013. [Google Scholar] [CrossRef] [PubMed]
  69. Faria, J.M.S.; Sena, I.; Moiteiro, C.; Bennett, R.N.; Mota, M.; Figueiredo, A.C. Nematotoxic and phytotoxic activity of Satuyreja montana and Ruta graveolens essential oils on Pinus pinaster shoot cultures and P. pinaster with Bursaphelenchus xylophilus in vitro co-culture. Ind. Crops Prod. 2015, 77, 59–65. [Google Scholar] [CrossRef]
  70. Denev, P.; Kratchanova, M.; Petrova, I.; Klisurova, D.; Georgiev, Y.; Ognyanov, M.; Yanakieva, I. Black chokeberry (Aronia melanocarpa (Michx.) Elliot) fruits and functional drinks differ significantly in their chemical composition and antioxidant activity. J. Chem. 2018, 2018, 9574587. [Google Scholar] [CrossRef]
  71. Seidemann, J. Chokeberries a fruit little-known till now. Deutshe Lebensm. Rundsch. 1993, 89, 149–151. [Google Scholar]
  72. Wawer, I.; Egert, P.; Hołub, B. Aronia Superowoc; Wyd. Wektor: Warszawa, Poland, 2015; p. 27. [Google Scholar]
  73. Hwang, E.S.; Thi, N.D. Effects of different growing regions on quality characteristics, bioactive compound contents, and antioxidant activity of aronia (Aronia melanocarpa) in Korea. Prev. Nutr. Food Sci. 2016, 21, 255–262. [Google Scholar] [CrossRef] [PubMed]
  74. Juranović Cindrić, I.J.; Zeiner, M.; Mihajlov-Konanov, D.; Stingeder, G. Inorganic macro- and micronutrients in “Superberries” black chokeberries (Aronia melanocarpa) and related teas. Int. J. Environ. Res. Public Health 2017, 14, 539. [Google Scholar] [CrossRef] [PubMed]
  75. Šnebergrová, J.; Čížková, H.; Neradová, E.; Kapci, B.; Rajchl, A.; Voldřich, M. Variability of characteristic components of aronia. Czech. J. Food Sci. 2014, 32, 25–30. [Google Scholar] [CrossRef]
  76. Pavlovic, A.N.; Brcanovic, J.M.; Veljkovic, J.N.; Mitic, S.S.; Tošic, S.B.; Kalicanin, B.M.; Kostic, D.A.; Ðordevic, M.S.; Velimirovic, D.S. Characterization of commercially available products of aronia according to their metal content. Fruits 2015, 70, 385–393. [Google Scholar] [CrossRef]
  77. Gokbulut, I.; Karaman, Y.; Tursun, A.O. Chemical composition phenolic, antioxidant, and bio-herbicidal properties of the essential oil of rosemary (Rosmarinus officinalis L.). Acta Sci. Pol. Hortorum Cultus 2022, 21, 21–29. [Google Scholar] [CrossRef]
  78. Wogiatzi, E.; Gougoulias, N.; Papachatzis, A.; Vagelas, I.; Chouliaras, N. Greek oregano essential oils production, phytotoxicity and antifungal activity. Biotechnol. Biotechnol Equip. 2009, 23, 1150–1152. [Google Scholar] [CrossRef]
  79. Marco, C.A.; Teixeira, E.; Simplício, A.; Oliveira, C.; Costa, J.; Feitosa, J. Chemical composition and allelopathyc activity of essential oil of Lippia sidoides Cham. Chil. J. Agric. Res. 2012, 72, 157–160. [Google Scholar] [CrossRef]
  80. Kordali, S.; Cakir, A.; Ozer, H.; Cakmakcı, R.; Kesdek, M.; Mete, E. Antifungal, phytotoxic and insecticidal properties of essential oil isolated from Turkish Origanum acutidens and three components, carvacrol, thymol and p-cymene. Bioresouarce Technol. 2008, 99, 8788–8795. [Google Scholar] [CrossRef] [PubMed]
  81. Vasilakoglou, I.; Dhima, K.; Paschalidis, K.; Ritzoulis, C. Herbicidal potential on Lolium rigidum of nineteen major essential oil components and their synergy. J. Essent. Oil Res. 2013, 25, 1–10. [Google Scholar] [CrossRef]
  82. Pandey, A.K.; Singh, P.; Tripathi, N.N. Chemistry and bioactivities of essential oils of some Ocimum species: An overview. Asian Pac. J. Trop. Biomed. 2014, 4, 682–694. [Google Scholar] [CrossRef]
  83. War, A.R.; Paulraj, M.G.; Ahmad, T.; Buhroo, A.A.; Hussain, B.; Ignacimuthu, S.; Sharma, H.C. Mechanisms of plant defense against insect herbivores. Plant Signal Behav. 2012, 7, 1306–1320. [Google Scholar] [CrossRef]
  84. Tullio, V.; Roana, J.; Cavallo, L.; Mandras, N. Immune Defences: A view from the side of the essential oils. Molecules. 2023, 28, 435. [Google Scholar] [CrossRef]
  85. Reichling, J. Plant microbe interactions and secondary metabolites with antibacterial, antifungal and antiviral properties. Annu. Plant Rev. 2009, 39, 214–347. [Google Scholar]
  86. Werrie, P.-Y.; Juillard, A.; Heintz, C.; Brisset, M.-N.; Fauconnier, M.-L. Phytotoxicity and Plant Defence Induction by Cinnamomum cassia essential oil application on Malus domestica Tree: A Molecular Approach. Agronomy 2022, 12, 512. [Google Scholar] [CrossRef]
  87. Xu, C.; Zhang, Y.; Zhu, L.; Huang, Y.; Lu, J. Influence of growing season on phenolic compounds and antioxidant properties of grape berries from vines grown in subtropical climate. J. Agric. Food Chem. 2011, 59, 1078–1086. [Google Scholar] [CrossRef]
  88. Zheng, J.; Yang, B.; Ruusunen, V.; Laaksonen, O.; Tahvonen, R.; Hellsten, J.; Kallio, H. Compositional differences of phenolic compounds between black currant (Ribes nigrum L.) cultivars and their response to latitude and weather conditions. J. Agric. Food Chem. 2012, 60, 6581–6593. [Google Scholar] [CrossRef] [PubMed]
  89. Ramos, M.C.; Martínez de Toda, F. Influence of weather conditions and projected climate change scenarios on the suitability of Vitis vinifera cv. Carignan in Rioja DOCa, Spain. Int. J. Biometeorol. 2022, 66, 1067–1078. [Google Scholar] [CrossRef] [PubMed]
Disclaimer/Publisher’s Note: The statements, opinions and data contained in all publications are solely those of the individual author(s) and contributor(s) and not of MDPI and/or the editor(s). MDPI and/or the editor(s) disclaim responsibility for any injury to people or property resulting from any ideas, methods, instructions or products referred to in the content.

Article Metrics

Citations

Article Access Statistics

Multiple requests from the same IP address are counted as one view.