The Impact of Rural Industrial Integration on Agricultural Green Productivity Based on the Contract Choice Perspective of Farmers
Abstract
:1. Introduction
2. Research Hypotheses
3. Materials and Methods
3.1. Data Sources
3.2. Selection of Indicators
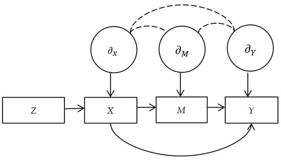
3.3. Model Construction
4. Results and Discussion
4.1. The Basic Regression Results
4.2. Influence Mechanism
4.3. Robustness Test
4.4. Endogeneity Test
5. Conclusions and Policy Implications
Author Contributions
Funding
Institutional Review Board Statement
Data Availability Statement
Conflicts of Interest
References
- Chumarina, G.; Shipshova, O. Ways to Increase the Competitiveness of Agricultural Consumer Cooperatives in Modern Conditions. Int. J. Financ. Res. 2021, 12, 318–326. [Google Scholar] [CrossRef]
- Tan, Y.; Yue, R.; Li, C. The Causes of Higher Grain Planting Costs in China: Empirical Analysis Based on Macroeconomic Factors. Issues Agric. Econ. 2022, 13, 79–91. [Google Scholar] [CrossRef]
- Li, P.; Tian, Y.; Wu, J.; Xu, W. The Great Western Development policy: How it affected grain crop production, land use and rural poverty in western China. China Agric. Econ. Rev. 2021, 13, 319–348. [Google Scholar] [CrossRef]
- Jiang, C. New Trends and Problems Affecting China’s Food Security. Renming Luntan·Xueshu Qianyan 2022, 236, 94–100. [Google Scholar] [CrossRef]
- Ministry of Agriculture and Rural Affairs of the People’s Republic of China, Central Document No.1, 2020-02-05. Available online: http://www.moa.gov.cn/ztzl/jj2020zyyhwj/2020zyyhwj/202002/t20200205_6336614.htm (accessed on 10 August 2023).
- Yonekura, H. The Sixth Sector Industrialization of Agriculture and the Relay Shipping of Vegetables in Japan: Implications for the Agricultural and Rural Development of Middle Income Countries. Adv. Soc. Sci. Res. J. 2021, 8, 350–368. [Google Scholar] [CrossRef]
- Hendrickson, M.H., Jr. The Ethics of Constrained Choice: How the Industrialization of Agriculture Impacts Farming and Farmer Behavior. J. Agric. Environ. Eth. 2005, 18, 269–291. [Google Scholar] [CrossRef]
- Du, Z.; Han, L. The Impact of Production-side Changes in Grain Supply on China’s Food Security. Chin. Rural Econ. 2020, 424, 2–14. Available online: https://kns.cnki.net/kcms2/article/abstract?v=3uoqIhG8C44YLTlOAiTRKibYlV5Vjs7iy_Rpms2pqwbFRRUtoUImHSfr2Gj8SC3praPlkjlPVOGmXcdtVvrsBjegFHX3nFom&uniplatform=NZKPT (accessed on 10 August 2023).
- Tian, X.; Yi, F.; Yu, X. Rising cost of labor and transformations in grain production in China. China Agric. Econ. Rev. 2019, 12, 158–172. [Google Scholar] [CrossRef]
- Khong, T. Vertical and Horizontal Coordination in Developing Countries’ Agriculture: Evidence from Vietnam and Implications. Asian J. Agric. Rural Dev. 2022, 12, 40–52. [Google Scholar] [CrossRef]
- Tian, X.; Wu, M.; Ma, L.; Wang, N. Rural finance, scale management and rural industrial integration. China Agric. Econ. Rev. 2020. ahead-of-print. [Google Scholar] [CrossRef]
- Sumelius, L. Analysis of the Factors of Farmers’ Participation in the Management of Cooperatives in Finland. J. Rural Coop. 2010, 38, 134–155. [Google Scholar] [CrossRef]
- Barrett, C.B.; Bachke, M.E.; Bellemare, M.F.; Michelson, H.C.; Narayanan, S.; Walker, T.F. Smallholder Participation in Contract Farming: Comparative Evidence from Five Countries. World Dev. 2012, 40, 715–730. [Google Scholar] [CrossRef]
- Qian, L.; Lu, H.; Gao, Q.; Lu, H. Household-owned farm machinery vs. outsourced machinery services: The impact of agricultural mechanization on the land leasing behavior of relatively large-scale farmers in China. Land Use Policy 2022, 115, 106008. [Google Scholar] [CrossRef]
- Qi, W.; Li, J.; Cao, J.; Teng, C. Research on the Mechanism and Path of Rural Industry Integration to Improve Farmers’ Income—A New Perspective Based on Rural Heterogeneity. Agric. Tech. Econ. 2021, 14, 323. [Google Scholar] [CrossRef]
- Yang, J.; Ding, S. Rural Industrial Convergence, Human Capital and Income Gap. J. S. China Agric. Univ. (Soc. Sci. Ed.) 2017, 16, 1–10. [Google Scholar] [CrossRef]
- Oliveira, G.M.D.; Martino, G.; Ciliberti, S.; Frascarelli, A.; Chiodini, G. Farmer preferences regarding durum wheat contracts in Italy: A discrete choice experiment. Brit. Food J. 2021, 12, 4017–4029. [Google Scholar] [CrossRef]
- Liang, Y.; Wang, C. How to design an incentive mechanism of enterprises to farmers in contract farming considering reciprocity preference. J. Ind. Manag. Optim. 2023, 19, 4910–4925. [Google Scholar] [CrossRef]
- Singh, R.; Kumar, A.; Chand, R.; Pandey, J.K.; Singh, R.; Singh, R.; Kharub, A.S.; Verma, R.P.S. Determinants of contract farming in barley production-Regression tree approach. Indian J. Agric. Sci. 2021, 91, 402–407. Available online: https://www.nstl.gov.cn/paper_detail.html?id=dc560d5dff0307f5262889415aded6da (accessed on 10 April 2023).
- Petukhova, M. Innovative development of the Russian grain sector. Russ. J. Econ. 2022, 8, 49–59. [Google Scholar] [CrossRef]
- Vasco, C.; Torres, B.; Jácome, E.; Torres, A.; Eche, D.; Velasco, C. Use of chemical fertilizers and pesticides in frontier areas: A case study in the Northern Ecuadorian Amazon. Land Use Policy 2021, 107, 105490. [Google Scholar] [CrossRef]
- Liu, T.; Wu, G. Does agricultural cooperative membership help reduce the overuse of chemical fertilizers and pesticides? Evidence from rural China. Environ. Sci. Pollut. Res. Int. 2022, 29, 7972–7983. [Google Scholar] [CrossRef] [PubMed]
- Liu, Y.; Ruiz, M.J.; Zhang, L.; Zhang, J.; Swihser, M.E. Technical training and rice farmers’adoption of low-carbon management practices: The case of soil testing and formulated fertilization technologies in Hubei, China. J. Clean. Prod. 2019, 226, 454–462. [Google Scholar] [CrossRef]
- Han, C.; Han, Z. Research on the Countermeasures to Reduce the Total Cost of Grain Production in Inner Mongolia Autonomous Region—Empirical Analysis based on Corn, Soybean, Wheat and Japonica. Inn. Mong. Soc. Sci. 2022, 43, 201–206+213. [Google Scholar] [CrossRef]
- Liu, Q.; Yang, W.; Meng, H. Impact of agricultural production services on grain cost efficiency in China: A case study of rice industry. Res. Agric. Mod. 2017, 38, 8–14. [Google Scholar] [CrossRef]
- Zhu, Y.; Zhang, Y.; Piao, H. Does Agricultural Mechanization Improve the Green Total Factor Productivity of China’s Planting Industry. Energies 2022, 15, 940. [Google Scholar] [CrossRef]
- Menapace, L.; Colson, G.; Raffaelli, R. Risk Aversion, Subjective Beliefs, and Farmer Risk Management Strategies. Am. J. Agric. Econ. 2013, 95, 384–389. [Google Scholar] [CrossRef]
- Asresu, Y.; Awudu, A.; Yigezu, Y. Improved agricultural input delivery systems for enhancing technology adoption: Evidence from a field experiment in Ethiopia. Eur. Rev. Agric. Econ. 2022, 49, 527–556. [Google Scholar] [CrossRef]
- Li, X.; Shang, J.; Engineering, M. Decision-Making Behavior of Fertilizer Application of Grain Growers in Heilongjiang Province from the Perspective of Risk Preference and Risk Perception. Math. Probl. Eng. 2021, 2021, 6667558. [Google Scholar] [CrossRef]
- Wang, J.; Sun, X.; Xu, Y.; Wang, Y.; Tang, H.; Zhou, W. The effect of harvest date on yield loss of long and short-grain rice cultivars (Oryza sativa L.) in Northeast China. Eur. J. Agron. 2021, 131, 126382. [Google Scholar] [CrossRef]
- Zhu, J.; Jin, L. Agricultural Infrastructure, Food Production Costs and International Competitiveness—An Empirical Test Based on Total Factor Productivity. Agric. Tech. Econ. 2017, 10, 14–24. [Google Scholar]
- Wang, M.; Liu, Y.; Chen, S. Agricultural moderate scale operation from the perspective of scale payoff, output profit and production cost—A study based on 354 rice growers in Jianghan Plain. Agric. Tech. Econ. 2017, 12, 83–94. [Google Scholar] [CrossRef]
- Tone, K. A slacks-based measure of efficiency in data envelopment analysis. Eur. J. Oper. Res. 2001, 130, 498–509. [Google Scholar] [CrossRef]
- Xu, Q.; Yin, R.; Zhang, H. Economies of Scale, Returns to Scale and the Problem of Optimum-scale Farm Management: An Empirical Study Based on Grain Production in China. Econ. Res. J. 2011, 14, 59–71+94. Available online: https://kns.cnki.net/kcms2/article/abstract?v=3uoqIhG8C44YLTlOAiTRKgchrJ08w1e7tvjWANqNvp_8CWYbxvLBV98-nEMppQUifN0jTyfbUwVjrC4SujHgVg2Oi9IAZ7f1&uniplatform=NZKPT (accessed on 7 April 2023).
- Zhang, M.; Tong, T.; Chen, Z. Can Socialized Service of Agricultural Production Improve Agricultural Green Productivity? S. China J. Econ. 2023, 18, 135–152. [Google Scholar] [CrossRef]
- Hoang, V.; Coelli, T. Measurement of agricultural total factor productivity growth incorporating environmental factors: A nutrients balance approach. J. Environ. Econ. Manag. 2011, 62, 462–474. [Google Scholar] [CrossRef]
- Hoang, H. Determinants of adoption of organic rice production: A case of smallholder farmers in Hai Lang district of Vietnam. Int. J. Soc. Econ. 2021, 48, 1463–1475. [Google Scholar] [CrossRef]
- Ministry of Agriculture and Rural Affairs of the People’s Republic of China, Reference Calculation Table of Fertilizer Purity Amount 2019, 4, 8. Available online: http://www.moa.gov.cn/govpublic/FZJHS/201904/t201904116178806.htm (accessed on 7 August 2023).
- Niu, R.; Liu, T. Agricultural Technology and Economics Manual; Agricultural Press: Beijing, China, 1984. [Google Scholar]
- Dippel, C.; Ferrara, A.; Heblich, S. Causal mediation analysis in instrumental-variables regressions. Stata J. 2020, 20, 613–626. [Google Scholar] [CrossRef]
- Reynaud, A.; Ricome, A. Marketing contract choices in agriculture: The role of price expectation and price risk management. Agric. Econ. 2022, 53, 170–186. [Google Scholar] [CrossRef]
- Baig, H.; Ahmed, W.; Najmi, A. Understanding influence of supply chain collaboration on innovation-based market performance. Int. J. Innov. Sci. 2022, 14, 376–395. [Google Scholar] [CrossRef]
- Shaikh, A.; Ahmed, W.; Babu, R. Understanding influence of supply chain relationships in retail channels on risk management. Decision 2022, 49, 153–176. [Google Scholar] [CrossRef]
- Gangwar, L.; Hasan, S.; Brahm, P. Farmer producer organizations and innovative policy options for enhancing farmers’ income in India. Indian J. Agric. Market. 2022, 36, 51–63. Available online: https://www.nstl.gov.cn/paper_detail.html?id=1fd69a7d39687f8beecd631d91d883e7 (accessed on 20 August 2023). [CrossRef]
- Ortega, L.; Bro, S.; Clay, C.; Lopez, C.; Tuyisenge, E.; Church, R.A.; Bizoza, A.R. Cooperative membership and coffee productivity in Rwanda’s specialty coffee sector. Food Secur. 2019, 11, 967–979. Available online: https://www.zhangqiaokeyan.com/journal-foreign-detail/0704023493714.html (accessed on 13 August 2023). [CrossRef]
- Tirkaso, W.; Hess, S. Does commercialisation drive technical efficiency improvements in Ethiopian subsistence agriculture? Afr. J. Agric. Res. Econ. 2018, 13, 44–57. [Google Scholar] [CrossRef]
- Hu, Z. Integration and Development of China’s Characteristic Agricultural Industry against the Backdrop of Rural Revitalization Strategy. Asian Agric. Res. 2022, 14, 23–25. [Google Scholar] [CrossRef]
- Zhang, H.; Wu, D. The Impact of Transport Infrastructure on Rural Industrial Integration: Spatial Spillover Effects and Spatio-Temporal Heterogeneity. Land 2022, 11, 1116. [Google Scholar] [CrossRef]
- Martínez-Falcó, J.; Sánchez-García, E.; Millan-Tudela, L.; Marco-Lajara, B. The Role of Green Agriculture and Green Supply Chain Management in the Green Intellectual Capital–Sustainable Performance Relationship: A Structural Equation Modeling Analysis Applied to the Spanish Wine Industry. Agriculture 2023, 13, 425. [Google Scholar] [CrossRef]
- Amolegbe, K.; Adewumi, M. Agribusiness Firms and Rural Dairy Development. A Case of FrieslandCampina Dairy Development Programme in Nigeria. AGRIS -Line Pap. Econ. Inform. 2022, 14, 3–18. [Google Scholar] [CrossRef]


| Variables | Variable Description | Average Value | Standard Deviation |
|---|---|---|---|
| Dependent variable | |||
| Agricultural green productivity | Measured using the SBM model of non-expected output | 0.5533 | 0.1721 |
| Independent variable | |||
| Participation contract | Whether to participate in vertical product contract or horizontal production contract or vertical production contract: Yes = 1; No = 0 | 0.6715 | 0.4698 |
| Vertical product contracts | Yes = 1; No = 0 | 0.1120 | 0.3156 |
| Horizontal production contract | Yes = 1; No = 0 | 0.4267 | 0.4948 |
| Vertical production contract | Yes = 1; No = 0 | 0.1327 | 0.3394 |
| Mediating variable | |||
| Technical guidance | Number of agricultural production technology training sessions attended in the last five years (actual value) | 6.4562 | 2.0298 |
| Agricultural machinery use | The proportion of the use of agricultural machinery in the total production chain | 0.6871 | 0.0327 |
| Agricultural supply | Fertilizer quality: high quality = 1; average quality = 0 | 0.4281 | 0.1448 |
| Instrumental variable | |||
| Level of understanding of rural industrial integration | Have you heard of rural industrial integration: Yes = 1; No = 0 | 0.5231 | 0.4997 |
| Control variables | |||
| Age of household head | Actual age (years) | 54.5132 | 5.6233 |
| Education level of household head | Elementary school and below = 1; middle school = 2; high school/junior high school = 3; college/bachelor’s degree and above = 4 | 2.0324 | 0.2547 |
| Gender of household head | Male = 0; Female = 1 | 0.117 | 0.3215 |
| Health level of household head | Poor = 1; fair = 2; good = 3 | 2.2311 | 0.5256 |
| Labor force share | Number of labor force as a share of household size | 0.6747 | 0.2315 |
| Number of friends and relatives in regular contact | Actual number (persons) | 14.7001 | 4.8693 |
| Land characteristics | Arable land area (hectares) | 1.7540 | 2.1545 |
| Planting varieties | Seedling quality: high quality = 1; average quality = 0 | 0.3530 | 0.1848 |
| Growing crops | Wheat = 0; Rice = 1 | 0.1986 | 0.3991 |
| Variable Name | Model 1 | Model 2 | ||
|---|---|---|---|---|
| Coef. | S.E. | Coef. | S.E. | |
| Participation contract | 0.0258 *** | 0.0097 | ||
| Vertical product contracts | 0.0086 | 0.0132 | ||
| Horizontal production contract | 0.0340 *** | 0.0105 | ||
| Vertical production contract | 0.0272 ** | 0.0145 | ||
| Age of household head | −0.0032 | 0.0008 | −0.0031 | 0.0009 |
| Education level of household head | 0.0197 | 0.0166 | 0.0242 | 0.0169 |
| Gender of household head | −0.0282 | 0.0141 | −0.0268 | 0.0141 |
| Health level of household head | 0.0286 *** | 0.0103 | 0.0268 *** | 0.0109 |
| Labor force share | 0.0533 | 0.0209 | 0.0489 | 0.0206 |
| Number of friends and relatives in regular contact | 0.0009 | 0.0010 | 0.0010 | 0.0011 |
| Land characteristics | 0.0003 * | 0.0002 | 0.0004 ** | 0.0002 |
| Planting varieties | Control | Control | ||
| Growing crops | Control | Control | ||
| N | 1017 | 1017 | ||
| Prob > chi2 | 0.0000 | 0.0000 | ||
| Pseudo R2 | 0.2348 | 0.2703 | ||
| Contract Selection | Action Path | Effect | Effect Value | Standard Error | One-Stage F-Statistic | |
|---|---|---|---|---|---|---|
| Model 3 | Participation contract | Agricultural supply | Indirect effects | 0.0542 * | 0.0338 | 34.8090 |
| Model 4 | Participation contract | Agricultural machinery use | Indirect effects | 0.0945 *** | 0.0511 | 34.8090 |
| Model 5 | Participation contract | Technical guidance | Indirect effects | 0.0893 * | 0.0284 | 34.8090 |
| Model 6 | Vertical product contracts | Agricultural supply | Indirect effects | 0.0563 | 0.0507 | 33.2648 |
| Model 7 | Vertical product contracts | Agricultural machinery use | Indirect effects | 0.0930 | 0.0632 | 33.2648 |
| Model 8 | Vertical product contracts | Technical guidance | Indirect effects | 0.1695 | 0.0440 | 33.2648 |
| Model 9 | Horizontal production contracts | Agricultural supply | Indirect effects | 0.1240 * | 0.0183 | 49.6778 |
| Model 10 | Horizontal production contracts | Agricultural machinery use | Indirect effects | 0.1305 * | 0.0772 | 49.6778 |
| Model 11 | Horizontal production contracts | Technical guidance | Indirect effects | 0.1276 *** | 0.0357 | 49.6778 |
| Model 12 | Vertical production contracts | Agricultural supply | Indirect effects | 0.0137 * | 0.0100 | 49.3344 |
| Model 13 | Vertical production contracts | Agricultural machinery use | Indirect effects | 0.1012 | 0.0909 | 49.3344 |
| Model 14 | Vertical production contracts | Technical guidance | Indirect effects | 0.1034 ** | 0.0239 | 49.3344 |
| Treatment Group | Control Group | ATT | Standard Error | t-Value | |
|---|---|---|---|---|---|
| Treatment effects of participation contracts on the impact of agricultural green productivity | 0.5634 | 0.5044 | 0.0590 *** | 0.0190 | 3.0900 |
| Treatment effects of participation in vertical product contracts on the impact of agricultural green productivity | 0.5337 | 0.5250 | 0.0087 | 0.0157 | 0.5500 |
| Treatment effects of participation in horizontal production contracts on the impact of agricultural green productivity | 0.5559 | 0.4714 | 0.0845 *** | 0.0178 | 4.7400 |
| Treatment effects of participation in vertical production contracts on the impact of agricultural green productivity | 0.5606 | 0.4900 | 0.0706 ** | 0.0294 | 2.3900 |
| Agricultural Green Productivity (IV-2SLS) | ||
|---|---|---|
| Phase 1 | Phase 2 | |
| Participation contract | 0.1367 * | |
| (0.0615) | ||
| Instrumental variable → participation contract | 0.1649 *** | |
| (0.0384) | ||
| Control variables | Control | Control |
| Phase 1 R-squared | 0.2206 | |
| Phase 1 F-statistic | 34.8090 *** | |
| N | 1017 | 1017 |
Disclaimer/Publisher’s Note: The statements, opinions and data contained in all publications are solely those of the individual author(s) and contributor(s) and not of MDPI and/or the editor(s). MDPI and/or the editor(s) disclaim responsibility for any injury to people or property resulting from any ideas, methods, instructions or products referred to in the content. |
© 2023 by the authors. Licensee MDPI, Basel, Switzerland. This article is an open access article distributed under the terms and conditions of the Creative Commons Attribution (CC BY) license (https://creativecommons.org/licenses/by/4.0/).
Share and Cite
Zhang, H.; Wu, D. The Impact of Rural Industrial Integration on Agricultural Green Productivity Based on the Contract Choice Perspective of Farmers. Agriculture 2023, 13, 1851. https://doi.org/10.3390/agriculture13091851
Zhang H, Wu D. The Impact of Rural Industrial Integration on Agricultural Green Productivity Based on the Contract Choice Perspective of Farmers. Agriculture. 2023; 13(9):1851. https://doi.org/10.3390/agriculture13091851
Chicago/Turabian StyleZhang, Han, and Dongli Wu. 2023. "The Impact of Rural Industrial Integration on Agricultural Green Productivity Based on the Contract Choice Perspective of Farmers" Agriculture 13, no. 9: 1851. https://doi.org/10.3390/agriculture13091851
APA StyleZhang, H., & Wu, D. (2023). The Impact of Rural Industrial Integration on Agricultural Green Productivity Based on the Contract Choice Perspective of Farmers. Agriculture, 13(9), 1851. https://doi.org/10.3390/agriculture13091851

