Numerical Simulation of Spiral Cutter–Soil Interaction in Deep Vertical Rotary Tillage
Abstract
:1. Introduction
2. Materials and Methods
2.1. Structure and Working Principle of Deep Vertical Rotary Tiller
2.2. Field Test
2.2.1. Test Field
2.2.2. Test Equipment
2.2.3. Test Method
2.3. The Spiral Cutter–Soil System Model
2.3.1. Geometric Model
2.3.2. Material Model
2.3.3. Meshing, Boundary, and Loading
2.3.4. Contact Definition
2.4. Modeling Method Verification
2.5. Analysis of Working Mechanism
2.6. Analysis of Soil Cutting Force
3. Results and Discussion
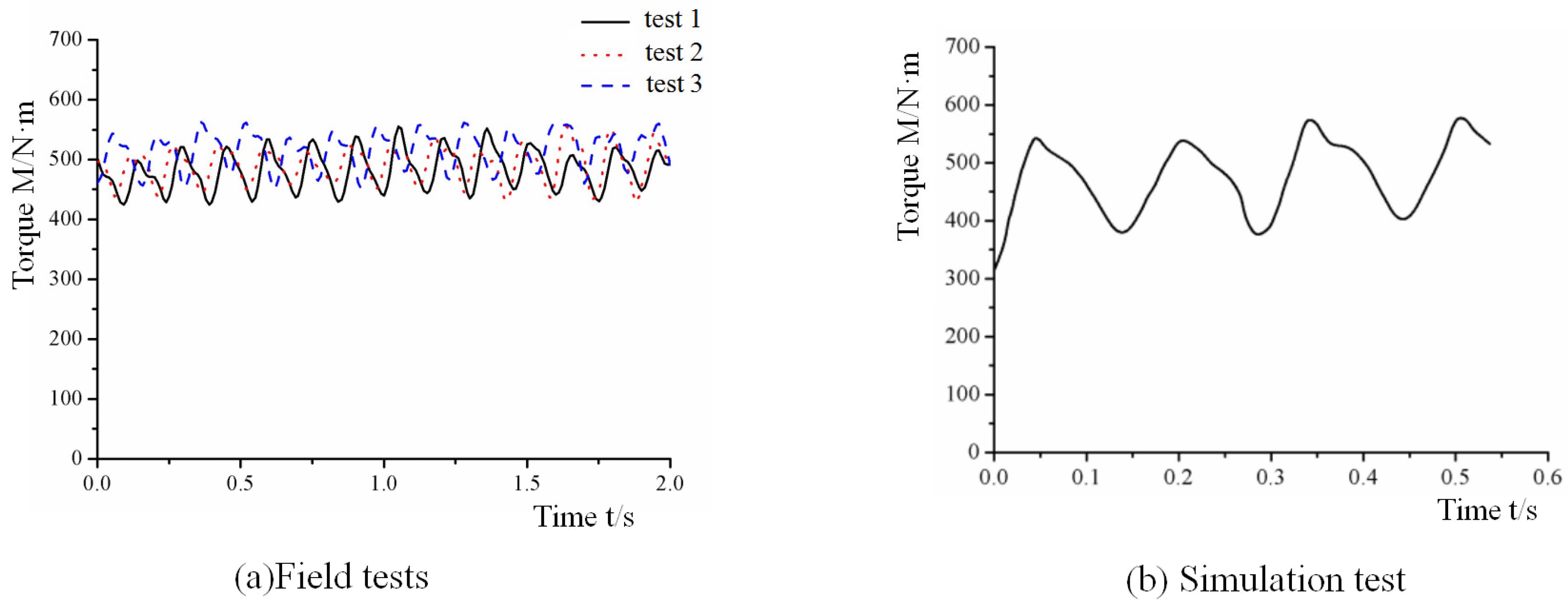
3.1. Model Verification
3.2. Analysis of Working Mechanism
3.2.1. Separation of Furrow Slice from Each Layer of Soil
- (1)
- Separation in upper layer soil
- (2)
- Separation in middle-layer soil
- (3)
- Separation in lower layer soil
3.2.2. Breaking of Furrow Slice
3.2.3. Working Mechanism of Spiral Cutters
3.3. Analysis of Soil Cutting Force
3.3.1. Single Blade Force
3.3.2. The Force of All Working Blades
3.3.3. Forces on Spiral Blade and Shaft
3.3.4. Forces on Spiral Cutter
4. Conclusions
- (a)
- In the DVRT, the soil fragmentation, swelling, and loosening are mainly the comprehensive results of the separation cutting, velocity difference cutting, auxiliary cutting, and spiral blade’s lifting effect on the soil. The reason for the larger topsoil clods after tillage is that the furrow slices of topsoil are larger, and the velocity difference cutting of the furrow slices is not enough.
- (b)
- The cutting resistance of the single blade and the bottom edge of the spiral blade are larger. The number of the blades cutting the soil simultaneously has a great influence on the forces of the spiral cutter’s blades.
- (c)
- The cutting resistance of the blade and the spiral blade’s bottom edge is larger, and the number of the blades cutting the soil simultaneously is too many, which is the reason for the large cutting resistance of the spiral cutter. The asymmetric of the spiral cutter cross section leads to larger change in the spiral cutter forces. The amplitude of the exciting force of the spiral cutter reaches 1963.5 N, which is the reason for its large vibration.
- (d)
- It is suggested that the symmetrical double spiral blade’s spiral cutter should be used, the blade distribution should be set reasonably, and the structure of the spiral cutter above the ground, blade and spiral blade’s bottom edge should be optimized. These improvements should improve the breaking degree of topsoil after tillage, and reduce the cutting resistance and vibration of the spiral cutter.
- (e)
- This study’s contribution lies in its comprehensive analysis of factors affecting spiral cutter–soil interaction, leading to insights into soil fragmentation, clod formation, cutting resistance, and vibration. These research findings have great guiding significance for the optimization of the existing cutter and the innovative design of the new cutter, and the research methods of the paper can be used for reference in the research of related tillage components.
Author Contributions
Funding
Institutional Review Board Statement
Informed Consent Statement
Data Availability Statement
Conflicts of Interest
References
- Florian, S.; Axel, D.; Inga, H.; Oliver, S.; Sabine, J.S. The effect of deep tillage on crop yield—What do we really know? Soil Tillage Res. 2017, 174, 193–204. [Google Scholar] [CrossRef]
- Zhang, X.C.; Guo, J.; Ma, Y.F.; Yu, X.F.; Hou, H.Z.; Wang, H.L.; Fang, Y.J.; Tang, Y.F. Effects of vertical rotary subsoiling with plastic mulching on soil water availability and potato yield on a semiarid Loess plateau, China. Soil Tillage Res. 2020, 199, 104591. [Google Scholar] [CrossRef]
- Yao, R.J.; Gao, Q.C.; Liu, Y.X.; Li, H.Q.; Yang, J.S.; Bai, Y.C.; Zhu, H.; Wang, X.P.; Xie, W.P.; Zhang, X. Deep vertical rotary tillage mitigates salinization hazards and shifts microbial community structure in salt-affected anthropogenic-alluvial soil. Soil Tillage Res. 2023, 227, 105627. [Google Scholar] [CrossRef]
- Yin, J.D.; Zhang, X.C.; Ma, Y.F.; Yu, X.F.; Hou, H.Z.; Wang, H.L.; Fang, Y.J. Vertical rotary sub-soiling under ridge–furrow with plastic mulching system increased crops yield by efficient use of deep soil moisture and rainfall. Agric. Water Manag. 2022, 271, 107767. [Google Scholar] [CrossRef]
- Zhang, X.C.; Ma, Y.F.; Yu, X.F.; Hou, H.Z.; Wang, H.L.; Fang, Y.J. Vertical rotary sub-soiling affects soil moisture characteristics and potato water utilization. Agron. J. 2021, 113, 657–669. [Google Scholar] [CrossRef]
- Yang, J.J.; Tan, W.J.; Han, J.R.; Li, F.M.; Zhang, F. Distribution pattern of rainwater in soil under vertical deep rotary tillage in dryland farmland. Agric. Water Manag. 2022, 273, 107891. [Google Scholar] [CrossRef]
- Wei, B.H.; Li, S.W.; Gan, X.Q.; Wei, Y.B.; Li, L.P. Rotary Cutting Type Deep Tillage Powder Ridge Multifunctional Machine. China Patent 201010270614.3, 26 December 2012. [Google Scholar]
- Li, S.W. A Powder Ridge Machine for Sowing and Its Sowing Method. China Patent 201510285383.6, 21 September 2016. [Google Scholar]
- Liu, J.B.; Qiao, J.F.; Zhu, W.H.; Gu, L.M.; Dai, S.T.; Zhang, M.W.; Huang, L.; Wang, J.Z.; Guo, G.J. Powder Ridge Drill and Powder Ridge Machine. China Patent 201621059688.1, 22 March 2017. [Google Scholar]
- Li, G.D. Brief discussion on the strength and lubrication of the driving box of rotary cutting tool of loose tillage powder ridge machine. Agric. Mech. Guangxi 2015, 5, 26–27. (In Chinese) [Google Scholar] [CrossRef]
- Bentaher, H.; Ibrahmi, A.; Hamza, E.; Hbaieb, M.; Kantchev, G.; Maalej, A.; Arnold, W. Finite element simulation of moldboard–soil interaction. Soil Tillage Res. 2013, 134, 11–16. [Google Scholar] [CrossRef]
- Li, M.; Xu, S.; Yang, Y.W.; Guo, L.; Tong, J. A 3D simulation model of corn stubble cutting using finite element method. Soil Tillage Res. 2017, 166, 43–51. [Google Scholar] [CrossRef]
- Tagar, A.A.; Ji, C.Y.; Adamowski, J.; Malard, J.; Chen, S.Q.; Ding, Q.S.; Abbasi, N.A. Finite element simulation of soil failure patterns under soil bin and field testing conditions. Soil Tillage Res. 2015, 145, 157–170. [Google Scholar] [CrossRef]
- Hadi, A.N.; Seyed, H.K.; Mojtaba, N.B.; Hossein, R.K. Combined finite element and statistical models for predicting force components on a cylindrical mouldboard plough. Biosyst. Eng. 2019, 186, 168–181. [Google Scholar] [CrossRef]
- Upadhyay, G.; Raheman, H.; Rasool, S. Three dimensional modelling and stress analysis of a powered single acting disc harrow using FEA. Curr. Agric. Res. 2017, 5, 203–219. [Google Scholar] [CrossRef]
- Wang, Y.; Zhang, D.; Yang, L.; Cui, T.; Jing, H.; Zhong, X. Modeling the interaction of soil and a vibrating subsoiler using the discrete element method. Comput. Electron. Agric. 2020, 174, 105518. [Google Scholar] [CrossRef]
- Chen, Y.; Munkholm, L.J.; Nyord, T. A discrete element model for soil–sweep interaction in three different soils. Soil Tillage Res. 2013, 126, 34–41. [Google Scholar] [CrossRef]
- Tekeste, M.Z.; Balvanz, L.R.; Hatfifield, J.L.; Ghorbani, S. Discrete element modeling of cultivator sweep-to-soil interaction: Worn and hardened edges effects on soil-tool forces and soil flow. J. Terramech. 2019, 82, 1–11. [Google Scholar] [CrossRef]
- Ucgul, M.; Saunders, C.; Fielke, J.M. Discrete element modelling of tillage forces and soil movement of a one-third scale mouldboard plough. Biosyst. Eng. 2017, 155, 44–54. [Google Scholar] [CrossRef]
- Wang, X.Z.; Zhang, Q.K.; Huang, Y.X.; Ji, J.T. An efficient method for determining DEM parameters of a loose cohesive soil modelled using hysteretic spring and linear cohesion contact models. Biosyst. Eng. 2022, 215, 283–294. [Google Scholar] [CrossRef]
- Ibrahmi, A.; Bentaher, H.; Hbaieb, M.; Maalej, A.; Mouazen, A.M. Study the effect of tool geometry and operational conditions on mouldboard plough forces and energy requirement: Part 1. Finite element simulation. Comput. Electron. Agric. 2015, 117, 258–267. [Google Scholar] [CrossRef]
- Abo, A.A.; Kharmanda, M.G.; Hami, A.E.; Mouazen, A.M. Estimating the variability of tillage forces on a chisel plough shank by modeling the variability of tillage system parameters. Comput. Electron. Agric. 2011, 78, 61–70. [Google Scholar] [CrossRef]
- Dun, G.Q.; Chen, H.T.; Li, A.; Feng, Y.N.; Yang, J.L.; Ji, W.Y. Effect of rotation direction of knife teeth configuration on clearing straw unit performance for no-tillage and straw mulching precision seeder. Trans. CSAE 2015, 31, 48–56. (In Chinese) [Google Scholar] [CrossRef]
- Gao, J.M.; Liu, X.D.; Qi, H.D.; Lakhiar, I.A. Simulation and experiment of soil casting during oblique submerged reversely rotary tillage. Trans. CSAE 2019, 35, 54–63. (In Chinese) [Google Scholar] [CrossRef]
- Han, Y.J.; Li, Y.W.; Zhao, H.H.; Chen, H.; Liu, D.X. Simulation of soil cutting by vertical rotary blade based on SPH method. J. Southwest Univ. (Nat. Sci. Ed.) 2016, 38, 150–155. (In Chinese) [Google Scholar] [CrossRef]
- Kang, J.M.; Li, S.J.; Yang, X.J.; Liu, L.J.; Li, C.R. Experimental verification and simulation analysis on power consumption of disc type ditcher. Trans. CSAE 2016, 32, 8–15. (In Chinese) [Google Scholar] [CrossRef]
- Lu, C.Y.; He, J.; Li, H.W.; Wang, Q.J.; Zheng, Z.Q.; Zhang, X.C. Simulation of soil cutting process by plane blade based on SPH method. Trans. CSAM 2014, 45, 134–139. (In Chinese) [Google Scholar] [CrossRef]
- Li, S.T.; Chen, X.B.; Chen, W.; Zhu, S.P.; Li, Y.W.; Yang, L.; Xie, S.Y.; Yang, M.J. Soil-cutting simulation and parameter optimization of handheld tiller’s rotary blade by Smoothed Particle Hydrodynamics modelling and Taguchi method. J. Clean. Prod. 2018, 179, 55–62. [Google Scholar] [CrossRef]
- Li, Y.W.; Zhang, G.Y.; Zhang, Z.; Zhang, Y.; Hu, T.D.; Cao, Q.Q. Development of low power-consumption multi-helical rotavator for small vertical-shaft deep-cultivator. Trans. CSAE 2019, 35, 72–80. (In Chinese) [Google Scholar] [CrossRef]
- Lin, Y.L.; Yang, L.; Liu, S.R.; Zhao, X.Y.; Cao, C.; Li, C.L. Virtual simulation technology based research on subsoiling process. Proc. Inst. Mech. Eng. Part C J. Mech. Eng. Sci. 2019, 233, 1493–1503. [Google Scholar] [CrossRef]
- Yang, W.; Yang, J.; Jia, F.Y.; Wang, Q.Y.; Huang, Y.Q. Numerical simulation of digging operation of cassava root planted in red clay. J. Mech. Eng. 2013, 49, 135–143. (In Chinese) [Google Scholar] [CrossRef]
- Li, Y.M.; Ye, X.F.; Xu, L.Z.; Pang, J.; Ma, Z. Construction and performance experiment of load test system for half axle of combine harvester. Trans. CSAE 2013, 29, 35–41. (In Chinese) [Google Scholar] [CrossRef]
- LSTC. LS-DYNA r8.0 Keyword User’s Manual; Livermore Software Technology Corporation: Livermore, CA, USA, 2016. [Google Scholar]
- Lewis, B.A. Manual for LS-DYNA Soil Material Model 147; Department of Transportation, Federal Highway Administration: Washington, DC, USA, 2004.
- Abbo, A.J.; Sloan, S.W. A smooth hyperbolic approximation to the Mohr-Coulomb yield criterion. Comput. Struct. 1995, 54, 427–441. [Google Scholar] [CrossRef]
- Hallquist, J.O. LS-DYNA Theory Manual; Livermore Software Technology Corporation: Livermore, CA, USA, 2006. [Google Scholar]
- Gao, J.; Shen, Y.; Ma, B. Optimized design of touching parts of soil disinfection machine based on strain sensing and discrete element simulation. Sensors 2023, 23, 6369. [Google Scholar] [CrossRef]
- Gao, W.Y.; Lin, J.; Li, B.F.; Ma, T. Parameter optimization and experiment for spiral type opener device of maize straw deep bury and returning machine. Trans. CSAM 2018, 49, 45–54. (In Chinese) [Google Scholar] [CrossRef]
- Fang, H.M.; Ji, C.Y.; Zhang, Q.Y.; Guo, J. Force analysis of rotary blade based on distinct element method. Trans. CSAE 2016, 32, 54–59. (In Chinese) [Google Scholar] [CrossRef]



















| Soil Particle Size/mm | 2–1 | 1–0.5 | 0.5–0.25 | 0.25–0.075 | 0.075–0.02 | 0.02–0.002 | <0.002 |
|---|---|---|---|---|---|---|---|
| Mass percent (%) | 6.66 | 11.31 | 15.53 | 13.48 | 27.68 | 8.74 | 16.60 |
| Depth/mm | Bulk Density /g∙cm−3 | Cohesion /Pa | Moisture Content /% | Internal Friction Angle /° | Elasticity Modulus /MPa | Bulk Modulus /MPa | Shear Modulus /MPa |
|---|---|---|---|---|---|---|---|
| 0–100 | 1.418 | 4263 | 21.54 | 29.85 | 0.85 | 0.708 | 0.327 |
| 100–200 | 1.557 | 5290 | 21.72 | 27.42 | 1.32 | 1.1 | 0.508 |
| 200–300 | 1.593 | 8527 | 24.18 | 32.05 | 1.83 | 1.525 | 0.704 |
| 300–400 | 1.460 | 7974 | 32.10 | 27.24 | 1.25 | 1.041 | 0.481 |
| Soil Particle Size/mm | 2–1 | 1–0.5 | 0.5–0.25 | 0.25–0.075 | 0.075–0.02 | 0.02–0.002 | <0.002 |
|---|---|---|---|---|---|---|---|
| Mass percent (%) | 6.24 | 8.96 | 11.33 | 11.15 | 16.28 | 28.65 | 17.39 |
| Depth/mm | Bulk Density /g∙cm−3 | Cohesion /Pa | Moisture Content /% | Internal Friction Angle /° | Elasticity Modulus /MPa | Bulk Modulus /MPa | Shear Modulus /MPa |
|---|---|---|---|---|---|---|---|
| 0–100 | 1.256 | 37,434 | 23.53 | 29.78 | 8.7 | 7.25 | 3.346 |
| 100–200 | 1.266 | 31,701 | 27.37 | 22.45 | 5.5 | 4.583 | 2.115 |
| 200–300 | 1.385 | 41,470 | 26.67 | 26.31 | 7.0 | 5.833 | 2.692 |
| 300–400 | 1.371 | 44,128 | 28.70 | 25.32 | 6.5 | 5.417 | 2.5 |
Disclaimer/Publisher’s Note: The statements, opinions and data contained in all publications are solely those of the individual author(s) and contributor(s) and not of MDPI and/or the editor(s). MDPI and/or the editor(s) disclaim responsibility for any injury to people or property resulting from any ideas, methods, instructions or products referred to in the content. |
© 2023 by the authors. Licensee MDPI, Basel, Switzerland. This article is an open access article distributed under the terms and conditions of the Creative Commons Attribution (CC BY) license (https://creativecommons.org/licenses/by/4.0/).
Share and Cite
Yang, W.; Xiao, X.; Pan, R.; Guo, S.; Yang, J. Numerical Simulation of Spiral Cutter–Soil Interaction in Deep Vertical Rotary Tillage. Agriculture 2023, 13, 1850. https://doi.org/10.3390/agriculture13091850
Yang W, Xiao X, Pan R, Guo S, Yang J. Numerical Simulation of Spiral Cutter–Soil Interaction in Deep Vertical Rotary Tillage. Agriculture. 2023; 13(9):1850. https://doi.org/10.3390/agriculture13091850
Chicago/Turabian StyleYang, Wang, Xiong Xiao, Ronghui Pan, Shengyuan Guo, and Jian Yang. 2023. "Numerical Simulation of Spiral Cutter–Soil Interaction in Deep Vertical Rotary Tillage" Agriculture 13, no. 9: 1850. https://doi.org/10.3390/agriculture13091850
APA StyleYang, W., Xiao, X., Pan, R., Guo, S., & Yang, J. (2023). Numerical Simulation of Spiral Cutter–Soil Interaction in Deep Vertical Rotary Tillage. Agriculture, 13(9), 1850. https://doi.org/10.3390/agriculture13091850
