Abstract
Chlorpyrifos has been used extensively for decades to control crop pests and disease-transmitting insects; its contribution to increasing food security and minimizing the spread of diseases has been well documented. Pymetrozine and Avermectin (also known as abamectin) have been used to replace the toxic organophosphate insecticides (e.g., Chlorpyrifos) applied to rice crops in China, where the overuse of pesticides has occurred. In addition, climate change has exacerbated pesticide use and pollution. Thus, farmers and communities are at risk of exposure to pesticide pollution. This study reviews the contamination, exposure, and health risks through environmental and biological monitoring of the legacy pesticide Chlorpyrifos and currently used insecticides Pymetrozine and Avermectin in China; it investigates whether changes in pesticide usage from Chlorpyrifos to Pymetrozine and Avermectin reduce pesticide contamination and health hazards to communities and residents. In addition, this review discusses whether Pymetrozine and Avermectin applications could be recommended in other countries where farmers largely use Chlorpyrifos and are exposed to high health risks under climate change scenarios. Although Chlorpyrifos is now banned in China, farmers and residents exposed to Chlorpyrifos are still experiencing adverse health effects. Local farmers still consider Chlorpyrifos an effective pesticide and continue to use it illegally in some areas. As a result, the concentration levels of Chlorpyrifos still exceed risk-based thresholds, and the occurrence of Chlorpyrifos with high toxicity in multiple environmental routes causes serious health effects owing to its long-term and wide application. The bioaccumulation of the currently used insecticides Pymetrozine and Avermectin in the environment is unlikely. Pymetrozine and Avermectin used in paddy water and soil for crop growth do not pose a significant hazard to public health. A change in pesticide use from Chlorpyrifos to Pymetrozine and Avermectin can reduce the pesticide contamination of the environment and health hazards to communities and residents. Finally, we recommend Pymetrozine and Avermectin in other countries, such as Vietnam, and countries in Africa, such as Ghana, where farmers still largely use Chlorpyrifos.
1. Introduction
Pesticides are important in increasing food production and quality [1,2,3,4]. China is the largest pesticide producer and exporter and the second-largest consumer of pesticides worldwide [5,6]. Pesticide production reached 3.47 million tons in 2015. Pesticide consumption in China reached 1.80 million tons in 2014 [7]. The use of pesticides has increased rapidly in China. The total amount of pesticides used per year grew from 1.28 million tons in 2000 to 1.8 million tons in 2013, with an average annual increase of 2.7%. The intensity of pesticide use increased from 8 kg per ha in 2000 to 11 kg per ha in 2013, with an average annual growth of 2.3% [8].
The average amount of pesticides used per hectare in China is roughly 1.5–4.0-fold higher than the world average [9,10]. The overuse of pesticides is reported in China [11]; for example, 57% of the pesticides used for rice exceeded the recommended dose. For cotton, the figure was 64%, and for maize, it was 17% [9]. Seventy percent of the pesticides used in China are not absorbed by plants but instead seep into the soil and groundwater [12]. Also, it shows that more than 0.7 million hectares of crops are contaminated by pesticide residues every year in China.
Pesticides have been used in China since the early Ming Dynasty (14th century) when people used several plants and minerals as pesticides [1]. Organochlorine pesticides (OCPs), including dichlorodiphenyltrichloroethane (DDT) and hexachlorocyclohexanes (HCHs), were widely used in agriculture in China between the 1950s and the 1980s [13]. From 1952 to 1983, the cumulative production of HCH and DDT was about 4 and 0.27 million tones, respectively [14]. Since 1983, China has banned the application of high-residual HCH, DDT, and other organochlorine pesticides because of their potential acute and chronic health effects, such as cancer, the disruption of developmental and endocrine systems, and neurological damage to non-target organisms, including humans [15,16,17].
To replace organochlorine pesticides, organophosphorus pesticides (OPs) have been produced and applied since the 1980s [10,18]. The overall consumption of OPs was approximately 3 × 105 t, which accounted for about 72% of the total consumption of pesticides in China in 2010 [19]. Chlorpyrifos, a well-known organophosphorus pesticide, was the main insecticide widely used in the rice-growing areas of China after organochlorine pesticides were banned. However, because organophosphorus pesticides are extensively used, they enter the natural environment and pollute water, soil, and sediments [19], posing a high potential risk to wildlife and human health [20]. Consequently, it was banned by the Chinese government in 2018 [21]. Currently, Pymetrozine and Avermectin have replaced toxic organophosphorus insecticides (Chlorpyrifos), which were previously used on rice crops in China [7,17,22,23,24,25,26,27,28] and continue to be used in some other countries of the world [29,30,31,32].
In the first half of 2020 (January–June 2020), there were 474 new pesticide registrations in China, including 445 field-use and 29 sanitation-associated registrations. Compared to registrations in 2019, those in 2020 increased by 378%; however, there had been a decrease of 59% in 2017 and 87% in 2018. Although the use of new pesticides has significantly increased in the first decade of the 21st century, it seems to have leveled out in recent years. Pesticides play an important role in increasing agricultural production. However, pesticide use can result in acute and chronic toxicities in humans [2,31,33,34]. Thus, farmers and their families in China are at risk of pesticide pollution [35,36]. For example, the Chinese Ministry of Health and Agriculture estimates that over 200,000 pesticide poisoning accidents occur annually in China [37,38].
An IPCC (2014) report indicated that changes in extreme weather and climate events have been monitored globally since 1950. Most of these changes are related to human activities and include a decrease in cold temperature extremes, an increase in warm temperature extremes, an increase in extremely high sea levels, and an increase in the number of heavy precipitation events in a few regions of China. The report estimates, for example, that there will be an increase of 2–4 °C in the mid-term (2046–2065) for the northern regions, while there will be a 30% increase in precipitation in September–November for northern regions. Climate change may increase pesticide use and associated pollution, resulting in a greater risk to human health [1].
Thus, this study aimed to systematically analyze previous studies related to contamination, exposure, and health risks through both environmental and biological monitoring of Chlorpyrifos, Pymetrozine, and Avermectin in China under climate change scenarios. Moreover, this study investigated whether the change in pesticide usage from the toxic Chlorpyrifos to Pymetrozine and Avermectin reduces environmental contamination and health risks to communities and residents. In addition, the impact of climate change on the application of Pymetrozine and Avermectin in China is discussed, and it is expected that this study will provide a new direction for research on Pymetrozine and Avermectin. The current study portrays some of the negative impacts of the long-term use of insecticides to help farmers adopt a sustainable pesticide usage program and avoid the pitfalls of past usage patterns. In addition, it will provide scientific data for policymakers to establish guidelines for pesticide management and application in China and global agricultural systems.
2. Selection of Literature Review
2.1. Literature Search Terms
Literature search terms were selected based on the Preferred Reporting Items for Systematic Reviews [39]. The literature was comprehensively screened using three databases, Web of Science, PubMed, and Scope, and publications written between 2000 and 2022 were selected. EndNote version X9 was used to check the data, screen for duplicates, and discard irrelevant papers. The search algorithms for “Pymetrozine*” were (“soil” or “water” or “air” or “rice” or “vegetable” or “crop” or “environment” or “urine”) and “China”. The search algorithms for “Chlorpyrifos *” were (“soil” or “water” or “air” or “rice” or “vegetable” or “crop” or “environment” or “urine”) and “China”. The search algorithms for “abamectin or Avermectin*” were (“soil” or “water” or “air” or “rice” or “vegetable” or “crop” or “environment” or “urine”) and “China”.
2.2. Eligibility Criteria
2.2.1. Inclusion Criteria
The criteria for selecting original articles/documents were as follows: they address the concentration/quantity of Chlorpyrifos, Pymetrozine, and Avermectin in water, soil, rice, crops, vegetables, and urine. The full-text articles are accessible easily for data extraction, and the articles are published in English peer-reviewed journals containing the data, including the mean and/or range of concentration levels of Chlorpyrifos, Pymetrozine and Avermectin in water, soil, rice, vegetables, and urine.
2.2.2. Exclusion Criteria
Articles with irrelevant topics, duplicate content, or manuscripts with no or unknown methods/results were excluded.
2.3. Selection of Relevant Articles, Data Extraction, and Data Quality Analysis
First, the endnote X9 was used to exclude duplicate articles. Irrelevant articles were excluded based on their titles and abstracts. The full texts of the remaining articles were assessed for eligibility by two independent reviewers. Finally, the remaining papers were carefully examined to extract predetermined data and parameters. If there were any disagreements (s) between the two reviewers, an additional independent reviewer was asked to provide relevant assistance to make a final decision.
A standard data extraction form was used to extract data, which included the name of the author, journal, title, and year of publication as well as the date and place (regions) of sampling, sample size, type of sampling (rice, soil, water, vegetables, and urine), and the average concentration level of toxins associated with their standard deviations.
The checklist in [39] was used to assess the methods used in each article. Two independent reviewers assessed the data quality of each article.
3. Behavior of the Legacy and Currently Used Pesticides and Their Risk in Both Environment and Biological Routes in China
3.1. Chlorpyrifos
Chlorpyrifos (O, O-diethyl O-(3,5,6-trichloro-2-pyridyl) phosphorothioate) is a crystalline broad-spectrum organophosphate insecticide used to control pests of over 50 crops [30,40]. Dow AgroSciences was the primary producer of Chlorpyrifos [32] and was first registered in the United States in 1965 and subsequently in more than 98 countries [41,42]. It was sold in many different commercial formulations, including emulsifiable concentrate (EC), wettable powder (WP), granular (G), and microencapsulated emulsion (ME), and under various trade names, such as Dursban, Lordsban, Cobalt, Nufos, Warhawk, and Hatchet [43].
The contribution of Chlorpyrifos to food security and minimizing the spread of some diseases is well documented [44,45,46]; thus, Chlorpyrifos has been extensively used for decades to control crop pests and disease-transmitting insects. However, its toxicity has had adverse effects on non-target areas and organisms [47,48]. Therefore, there is a need to properly quantify the degradation, contamination, and human health hazards resulting from using Chlorpyrifos. Previous studies exist on Chlorpyrifos’ contamination, exposure, and health hazards through soil [6,22,49,50,51,52,53,54,55,56], water [44,57,58,59,60,61,62,63,64,65], crop [42,66,67,68,69,70,71,72,73,74,75,76,77,78,79,80,81,82,83,84,85,86], air [87] and human biological waste [35,45,88,89,90,91,92,93,94,95] in China.
3.1.1. Soil Monitoring
Zhong et al. (2015) [6] collected 72 surface sediment samples from the coastal and offshore areas of the Bohai and Yellow Seas. They tested for Chlorpyrifos, and this study showed that Chlorpyrifos was found in more than 60% of the samples. Pan et al. (2019) [22] collected soil samples from typical farmland in northern China to evaluate the presence of pesticides and antibiotics, and the result showed that the soil exhibited a relatively high ecological risk for Chlorpyrifos as over 1.0% of the sample concentrations exceeded 0.1 mg/kg. Fu et al. (2020) [49] assessed the presence of 201 pesticide residues in soil and found that Chlorpyrifos was detected in 93.3% of the soil samples. Chen et al. (2020) [50] found that the mean concentrations of Chlorpyrifos were the highest of all pesticides in the aquatic system of Shanghai; Chlorpyrifos produced the maximum toxic unit, and its toxic unit contribution rate to the total toxicity was higher than 50%. Wang et al. (2019) [51] studied the degradation and residual risks in sugarcane fields after applying Chlorpyrifos to sugarcane-cultivated soil in Changsha and Danzhou, China. They found that Chlorpyrifos concentrations in plants and soils decreased rapidly, starting from 98.82 and 99.25% on day 35. The half-life (t1/2) of Chlorpyrifos in both plants and soils is only 5.97–6.12 days; the Chlorpyrifos residue in cultivated sugarcane does not pose a health risk to humans. Han et al. (2017) [52] collected 38 nut soils from seven provinces, Heilongjiang, Jilin, Hebei, Hubei, Sichuan, Jiangxi, and Yunnan, China, and detected 29 pesticide residues in the nut-cultivated soils. They detected Chlorpyrifos in 5.3% of soils, with residue levels ranging from 7.2 to 77.2 μg/kg. The bioaccumulation factor of Chlorpyrifos was 0.8–7.2; thus, it could be concluded that Chlorpyrifos is accumulated in plant tissues by spray application. Li et al. (2014) [53] investigated the dynamic flux of organophosphate and four pyrethroid pesticides in air, soil, water, and sediment in Guangzhou, China, and they found that Chlorpyrifos in Guangzhou was an important source of the aquatic budget and that the air–water gaseous exchange process was the main source of its contribution. Liang et al. (2011) [54] investigated the adsorption and degradation of Chlorpyrifos and TCP in paddy soils in Chaohu Lake, China. They found that Chlorpyrifos had the highest affinity for adsorption, followed by TCP. The degradation of these compounds in the non-sterile soil followed first-order exponential decay kinetics, and the half-lives (t1/2) of these contaminants ranged from 8.40 to 44.34 days. In addition, the metabolism of TCP showed a high risk to human health. Xue et al. (2008) [55] investigated potential endocrine-disrupting pesticide residues in northern Beijing, China, wetland sediment. They found that the total concentrations of the selected pesticides, including Chlorpyrifos, ranged from 15.4 to 38.1 ng/g (dry weight), with a mean concentration of 23.7 ng/g (dry weight) in the sediment. Zhu et al. (2014) [56] developed a network data envelopment analysis (DEA) using the life-cycle environmental impacts of products to evaluate their eco-efficiency. This study found that Chlorpyrifos had the lowest eco-efficiency scores and could have a negative impact on the environment and human health.
3.1.2. Water Monitoring
Sang et al. (2022) [44] established a comprehensive model to detect 23 types of pesticides in drinking water and their risk to residents in China. They found that 13 types of pesticides, including Chlorpyrifos, may need priority control. Wei et al. (2021) [57] investigated the spatiotemporal distribution and potential risks of organophosphate pesticides (OPPs) in overlying water and superficial sediments from urban waterways in Guangzhou. They found four targeted OPPs, including Chlorpyrifos, were detected in the overlying water, and Chlorpyrifos was the major pollutant in the sediment. Tan et al. (2021) [58] detected pesticides in surface water in the Nandu River and the Wanquan River basins of Hainan, China; they found Chlorpyrifos at a concentration above 0.05 μg/L in 9.0% of samples and identified it as the main legacy pesticide. Sang et al. (2020) [59] compared chronic exposure to Chlorpyrifos in drinking water and food between China and Denmark and the result indicated that the chronic health risk for Chlorpyrifos in China is 6–7-fold higher than in Denmark. Zhen et al. (2019) [60] collected water and sediment samples from the Xiaoqing River to investigate the distribution and environmental fate of trifluralin, chlorothalonil, Chlorpyrifos, and dicofol; Chlorpyrifos was most frequently detected in the water and sediment samples. Tang et al. (2019) [61] detected 19 pesticides in rural rivers in Guangzhou, China, and assessed the potential impact of pesticides detected in the local ecosystem; the results of the study indicated that the most frequently detected pesticide was Chlorpyrifos, with detection frequencies of 50–57% in water and 29–43% in sediments. Liu et al. (2018) [62] detected Chlorpyrifos in water and air samples from the Bohai Sea and found that the amount of Chlorpyrifos present was 115.94 ± 123.16 pg/L. Hu et al. (2015) [63] used organic water and sediment extracts from Tai Lake in Wuxi Jiangsu Province to determine the toxicants responsible for their adverse effects. They identified Chlorpyrifos as the main pollutant in organic sediments and surface water extracts. Zhong et al. (2014) [64] detected Chlorpyrifos in the environment using air and surface seawater samples from the Bohai and Yellow Seas. Chlorpyrifos was detected at the highest levels in both air and seawater samples. Yang et al. (2012) [65] collected water samples from mosquito breeding areas and detected residual pesticide contents. Seven pesticides, including the Chlorpyrifos were detected in water samples.
3.1.3. Crop Monitoring
Li et al. (2014b) [42] studied the residual behavior of Chlorpyrifos in field crops to assess its transfer into duck pellet feed-processing steps, pesticide residues in 100% of the rice grains and approximately half of the shelled corn polluted with pesticides, and the levels were above 0.01 mg/kg, China’s maximum residue limits (MRLs). Ping et al. (2022) [66] discussed the residues of 24 pesticides in greenhouse vegetables grown in Beijing to evaluate the potential health risk of consuming these vegetables. They found that Chlorpyrifos in Chinese cabbage and Chinese chives exceeded the maximum residue limits (MRLs). Fang et al. (2021) [67] detected 23 pesticides in 64 real honeysuckle samples collected from different locations in China, and the results indicated that the detection rate of Chlorpyrifos was 100%. Tan et al. (2020) [68], in a study on the occurrence and distribution of a variety of pesticides in the topsoil of vegetable fields in tropical river basins in China, found several residues (≥8) in 87.9% of their samples. Shi et al. (2020) [69], in a study of the 10 most frequently used pesticides in apple orchards from the major apple production area of China, found that among the pesticides detected, Chlorpyrifos presented the highest levels, ranging from 2.0 to 43.2 ng/g dw, and detected Chlorpyrifos in 92% of crop cultivated soil samples. Li et al. (2020) [70] discussed pesticide residues in mandarins, tangerines, and oranges from China and found that 40 out of 106 different pesticides were detected in 2922 citrus samples, and 3.8% of samples exceeded their MRLs; Chlorpyrifos was the most frequently detected pesticide, with a detection rate of 40%. Khammanee et al. (2020) [71] investigated the presence of organochlorine and organophosphorus pesticides in rice and paddy soils in Thailand and China. They found that Chlorpyrifos was the main pollutant in China, and multiple pesticides polluted 50% of the total samples. Song et al. (2019) [72] reported that Chlorpyrifos had the longest t1/2 in cabbage (3.01 days) and the shortest t1/2 in the leaves of mustard. Zhao et al. (2018) [73] detected the residual behavior of 11 pesticides in jujube fruits during four drying processes, including freeze, oven, sun, and microwave drying. They found that the degradation rates of pesticides during the drying process were between 11.4 and 95.1%. In addition, after freeze-drying, the processing factors of pesticides were higher than one, except for Chlorpyrifos, suggesting that freeze-drying increases the exposure and health risks of pesticides in jujube. After microwave drying, the processing factor was close to one, suggesting that microwave drying did not influence the degradation of pesticides. In contrast, the processing factor was higher than one after sun and oven drying. Organophosphate pesticides, such as Chlorpyrifos, are more easily removed by drying than pyrethroid pesticides. Tong et al. (2018) [74] collected 400 pollen and beebread samples from five primary beekeeping areas in China and detected 66 pesticides, the most common active ingredient residue of which was Chlorpyrifos. Wu et al. (2017) [75] assessed the seasonal variation and exposure risk of pesticide residues in vegetables from Xinjiang, where a high pesticide contamination level was detected in winter, and the human health risk of Chlorpyrifos was below the reference, suggesting that pesticide residues in vegetables do not seriously threaten human health in Xinjiang. Zhang et al. [76] (2015) discussed the effects of food processing on the residual levels of Chlorpyrifos and its metabolite 3,5,6-Trichloro-2-pyridinol (TCP) in rice. The levels of Chlorpyrifos and TCP were 1.27 and 0.093 mg/kg in straw and 0.41 and 0.073 mg/kg in grain. Hulling reduced the residues in rice by up to 50%, whereas after cooking, the residues were below 0.01 mg/kg. Liu et al. (2015) [77] investigated how emulsifiable concentrate (EC) and granules (G) affect the residue risk of Chlorpyrifos in areas that produce bamboo shoots. Chlorpyrifos was mostly found in the surface soil (0–5 cm, p < 0.05). The degradation of CHP-EC was faster than that of CHP-G. Although the CHP residue exceeded the maximum residue limit, the hazard quotients did not exceed the reference levels. Thus, there is little risk of Chlorpyrifos exposure via bamboo shoot consumption. Li et al. (2015) [78] discussed the Chlorpyrifos residue levels in rice, maize, and soybean field crops and their human dietary risks. The highest residues were 3.23, 0.114, and 0.102 mg/kg for rice, maize, and soybeans. The chronic and acute risk levels for rice, maize, and soybean were below the acceptable thresholds. Fu et al. (2015) [79] investigated Chlorpyrifos residues in rice-growing areas. The result of the study showed that the half-lives of Chlorpyrifos were 0.9–3.8 days in the field and 2.8–10.3 days in the laboratory. The final residues in rice grains were lower than the maximum residue limit (MRL) at a harvest interval of 14 days. Chronic exposure to Chlorpyrifos and acute dietary exposure owing to rice consumption did not exceed the reference dose. Yuan et al. (2014) [80] assessed Chlorpyrifos residues in 2082 vegetable samples and their health risks in Zhejiang Province, China. The proportion of samples in which pesticides were detected with Chlorpyrifos residues in various vegetable commodities was 22.8%, with a range of 0.01–3.47 mg/kg. Approximately 1.4% of vegetable samples exceeded the maximum residue limits (MRLs) for Chlorpyrifos. The exposure levels of consumers in urban areas are higher than those in rural areas. Pesticide residues in vegetables in this region do not cause serious public health problems. Wang et al. (2013) [81] investigated the pesticide residues in vegetables sold in Shaanxi Province, China. Ten organophosphorus pesticides (OPs) were found in concentrations ranging from 0.004 to 0.257 mg/kg. The mean levels of Chlorpyrifos in vegetables exceeded the MRLs set by the Ministry of Health of China. Chen et al. (2012) [82] studied the residual behavior of Chlorpyrifos in rice and cabbage and its health risk level in China. The median residues (STMRs) for rice were below 0.010 mg/kg, and for cabbage, below 0.227 mg/kg. Chronic and acute dietary exposure did not exceed the ADI (acceptable daily intake) or ARfD (maximum dose one may ingest on a single day) guidelines for Chlorpyrifos. Zhang et al. (2011) [83] investigated the phytotoxicity and uptake of Chlorpyrifos in Chinese cabbage and cabbage using a batch technique. They found that Chlorpyrifos at a lower concentration (0.1 mg/L) had an insignificant effect on vegetable growth, but it had a significant effect at a higher concentration (10 mg/L). Harris et al. (2011) [84] determined the toxicological significance of pesticide contamination in a broad sample of raw Chinese Herbal Medicines (CHMs); 334 samples representing 126 species of CHMs were collected throughout China, and 294 samples representing 112 species were also tested for 162 pesticides. The study results showed that 42 different pesticides were detected in 108 samples (36.7%), with one to nine pesticides per sample being detected. The levels of pesticides in the vast majority (95%) of the 334 samples were assessed as negligible risk. Chen et al. (2009) [85] investigated the concentration level of organophosphorus (OP) pesticide residues in milled rice samples obtained from local markets in China. They detected residues of at least one of the seven target OP pesticides used for agriculture in China in 9.3% of the samples, with concentrations ranging from 0.011 to 1.756 mg/kg. Exposure to AChE-inhibiting pesticides in the population above seven years of age was below the maximum acceptable daily intake (ADI). Wu et al. (2021) [86] discussed pesticide residuals in honeysuckle in China to evaluate potential health risks, and the results showed that 54 pesticides were detected, with Chlorpyrifos being frequently detected. The acute hazard index (HI) of insecticides in honeysuckle for children and the specific population was higher than the acceptable reference, suggesting that they pose potential acute cumulative health risks.
3.1.4. Air Monitoring
Li et al. (2014) [87] studied seasonal variation, gas particle partitioning, and inhalation exposure to atmospheric organophosphate and pyrethroid pesticides in Guangzhou, China. They found that the concentration of Chlorpyrifos was the highest in the atmosphere, and the peak concentration occurred in summer and fall, which was consistent with its application patterns.
3.1.5. Biological Monitoring
Previous studies on Chlorpyrifos’ exposure and health risks via biological routes [35,45,88,89,90,91,92,93,94,95] are summarized below.
Li and Kannan (2020) [35] studied the concentrations of pesticides in 566 urine samples collected from nine countries during 2010–2014 and found 15% of the samples exceeding the U.S. Environmental Protection Agency’s reference dose for Chlorpyrifos (18 μg/day), and there was a risk to communities. Liu et al. (2014) [45] assessed Chlorpyrifos exposure levels in infants from an agricultural area in Jiangsu, China. The study’s results indicated that infants at two years of age in Jiangsu, China, were widely exposed to Chlorpyrifos, and approximately 25% of the enrolled infants were at potential risk of pesticide exposure. An et al. (2014) [88] studied the exposure and risk of Chlorpyrifos in a maize field at different maize heights. The health risk values for the three spraying environments were <1 for workers without PPE (personal protection equipment), single-layer garments, and glove protection, are a high level of health risk. Gao et al. (2014) [89] studied the exposure levels of occupational pesticide operators under typical use scenarios in China and found that the exposure level was highest on the hands; the closer to the hands, the lower arms, and the upper legs, the higher the exposure. Huang et al. (2022) [90] collected urine samples from 20 pupils (age range: 11–14) in a primary school in Chaozhou, Guangdong, China, and detected the currently used pesticides, including six neonicotinoids, seven neonicotinoid metabolites, one organophosphate, one organophosphate metabolite. Chlorpyrifos was detected in all samples, and TCP (3,5,6-trichloro-2-pyridinol) in 95% of urine samples, with mean concentrations of 0.56 ± 0.20 and 2.27 ± 2.27 ng/mL, respectively. Li and Kannan (2018) [91] studied the concentration of organophosphate insecticides in 322 urine samples from nine countries, and they found that 3,5,6-trichloro-2-pyridinol (a metabolite of Chlorpyrifos and Chlorpyrifos-methyl) was the major metabolite, especially in India (72%), China (69%), and Greece (66%). Li et al. (2019) [92] compared the exposure levels of handlers to Chlorpyrifos sprayed in three directions using a lever-operated knapsack on small farms in five agro-climatic zones of China. They found that the total dermal exposure level varied with the spraying direction, from downwind (lower exposure) to upwind (higher exposure). Furthermore, heavy-duty cotton coveralls can reduce total dermal exposure by over 90%. Wang et al. (2016a) [93] investigated urinary metabolite levels and their association with exposure characteristics and neurobehavior in children. They found that detecting 3,5,6-trichloropyridinol (TCP) in urine was negatively associated with the soaking time of fruits and vegetables and the results of this study indicate that exposure to organophosphates may significantly impact children’s working memory and verbal comprehension. Zhang et al. (2014) [94] investigated how exposure to Ops affected neonatal neurodevelopment during pregnancy in Shenyang, China. They found that there were high levels of exposure to OPs among pregnant women in Shenyang and that maternal exposure to Ops during pregnancy was significantly associated with adverse neonatal neurobehavioral development. Wang et al. (2016b) [95] collected urine specimens from adult farmers and urban residents in a village and a nearby town in Shandong Province, China. They detected Chlorpyrifos, methyl Chlorpyrifos (CP-me), and their metabolite, 3,5,6-trichloro-2-pyridinol (TCP) to estimate the exposure level and human health risk associated with Chlorpyrifos application. The results showed that for farmers who applied Chlorpyrifos, the concentration of urinary TCP increased significantly on the days following pesticide spraying, indicating high occupational exposure to Chlorpyrifos for these farmers. In addition, an increase in urinary 8-OHdG (8-Hydroxyguanosine is an RNA nucleoside) level is a biomarker of DNA damage in farmers after pesticide spraying.
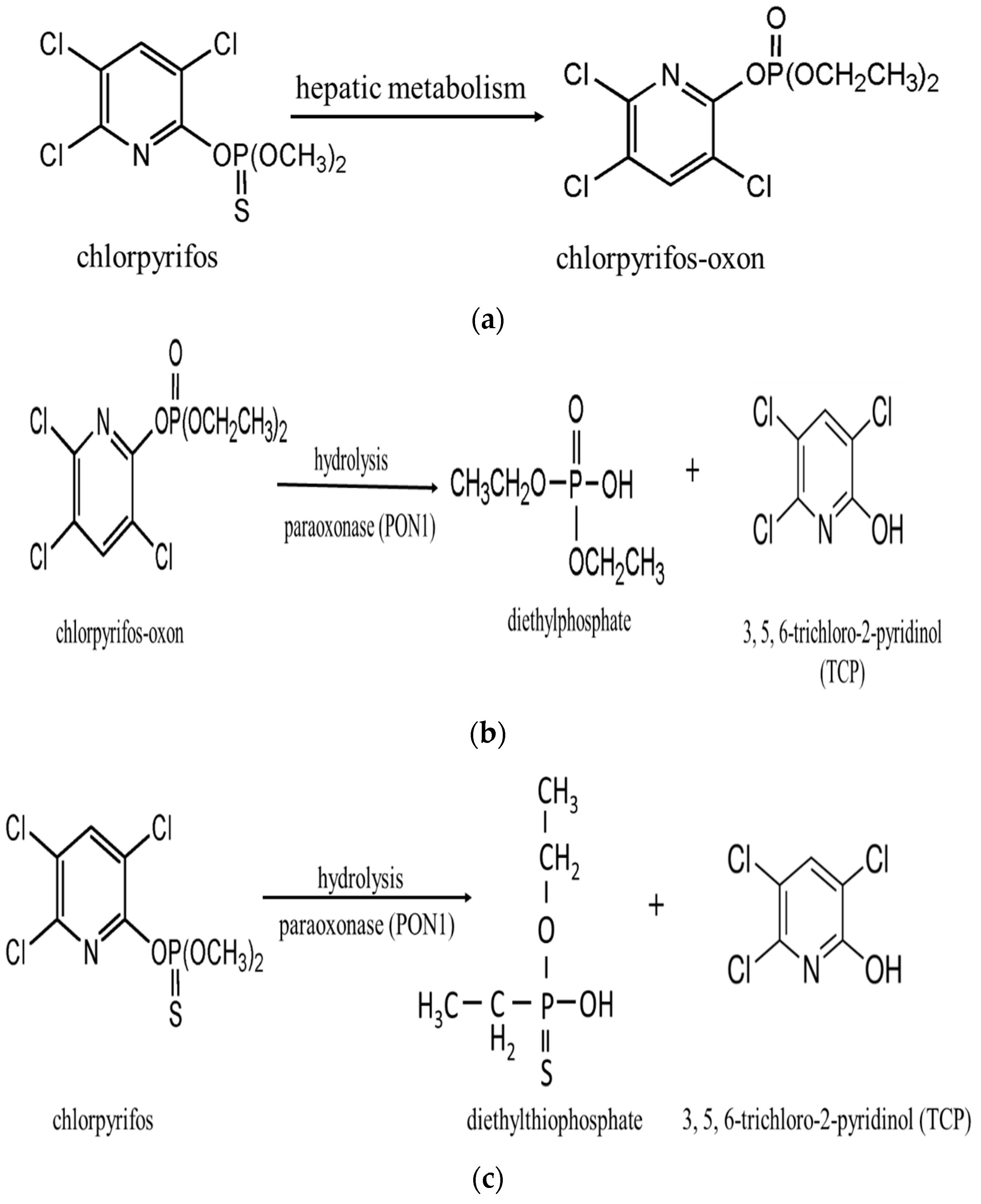
In the above paragraphs, we systematically discuss previous studies on the frequency and intensity of the occurrence of Chlorpyrifos over environmental thresholds, its spatial distribution, fate, and behavior in the environment, as well as its adverse impacts on human health. Previous studies have shown that Chlorpyrifos is moderately persistent, with a half-life of 10–120 d, and a log Koc of 5.30 can involve a combination of usage, soil properties, photolysis, chemical hydrolysis, and microbial degradation [96]. Chlorpyrifos is rapidly hydrolyzed to its primary metabolite, 3,5,6-trichloro-2-pyridinol (TCP), which is moderately mobile (log Koc: 1.43–2.59). Chlorpyrifos metabolism is shown in Figure 1 [97].
Figure 1.
(a) Hepatic metabolic activation of Chlorpyrifos to Chlorpyrifos-Oxon. (b) Metabolic detoxification of Chlorpyrifos-Oxon. (c) Hydrolysis of Chlorpyrifos to Diethylthiophosphate and 3, 5, 6-Trichloro-2-pyridinol (TCP).
The widespread use of Chlorpyrifos has led to severe environmental pollution because it is often transported from target sites via environmental routes, including soil, water, air, and crops [42,52,79,98]. Applicators and communities living around farmland are exposed to pesticides through multiple environmental routes [45,88,91,95].
Second, Chlorpyrifos is moderately toxic (WHO toxicity Class II) to humans upon exposure [97,99]. As an organophosphate, its main mechanism of toxicity is through the inhibition of acetylcholinesterase in the nervous system, leading to the overstimulation of acetylcholine receptors and neurotoxicity [59,100,101]. Chlorpyrifos is known to cause acute health effects, such as depression in cholinesterase activity, subclinical neuropathy, and memory problems [35,92,95], particularly occupational exposure [102]. While insecticides are not carcinogenic, other chronic health effects, such as defects in fatal neurodevelopment, the alteration of thyroid function, and reduction in estradiol levels, however, may result from exposure [59,90,94,103]. Chlorpyrifos, found in plants and vegetables, is ingested by humans and livestock [79]. In addition, livestock can serve as food or dairy products for humans because plant products form the basis of animal and human food, which can negatively impact human health [55,87].
Third, the Chinese government banned the application of Chlorpyrifos [26] because of its high detection in multiple environmental routes and human samples, and its toxicity and high health risk to human health [44]. However, many studies have reported that Chlorpyrifos can be detected via multiple environmental routes, such as in China’s soil, water, air, crops, and human samples. This suggests that the use of Chlorpyrifos continues despite regulations because farmers are only interested in its effectiveness. Long-term heavy use at levels beyond risk-based thresholds and the co-occurrence of Chlorpyrifos in multiple highly toxic routes have resulted in severe environmental pollution and risks to applicators and communities.
3.2. Pymetrozine
Pymetrozine is a selective insecticide. Its unique toxicological properties and excellent control effects have attracted significant local and international attention. Pyridine heterocyclic insecticides developed by Novartis (now Syngenta Crop Protection) in 1988 are characterized by high efficiency, low toxicity, high selectivity, and environmental friendliness. Its basic structure is that of pyridine azomethine. Pymetrozine is an effective chemical against plant-sucking insects such as aphids, whiteflies, leafhoppers, and planthoppers that damage crops such as rice, vegetables, cotton, wheat, and fruit trees and has been used in integrated pesticide programs and management [104].
The chemical composition of Pymetrozine is 6-methyl-4-{(E)-pyridin-3-ylmethylidene amino}-4, 5- dihydro-1, 2, 4-triazin-3(2H)-one (Figure 2). The molecular formula of Pymetrozine is C10H11N5O.
Figure 2.
Chemical structure of Pymetrozine.
In China, since 2008, Pymetrozine has been employed as the main substitute for pesticides with high toxicity [105]. There is a need to properly quantify the fate, contamination, and human health risks that have resulted from using Pymetrozine [20], even though previous studies have discussed the fate, contamination, and risk levels through environmental routes and food chains.
Previous studies on the contamination, exposure, and health risk assessment of Pymetrozine via environmental routes [20,21,24,106,107,108,109,110] are described in the following paragraphs. Zhang et al. (2015) [24] carried out field trials in supervised rice fields in Zhejiang, Anhui, and Beijing for two consecutive years. Each trial plot was 30 m2 and separated by an isolation belt, and the study results indicated that the initial deposit of Pymetrozine in paddy water was 0.031, 0.029, and 0.033 mg/kg in Anhui, Beijing, and Zhejiang, respectively, and then declined to a level of 0.002 mg/kg after seven days; finally, the residue was below the limit of detection after 14 d. The study showed that the dissipation of Pymetrozine in water under field conditions was rapid, and major deterioration occurred within the first three days after application. The initial deposit of Pymetrozine in soil was 0.242, 0.163, and 0.284 mg/kg in Anhui, Beijing, and Zhejiang, respectively, and then declined to 0.010, 0.009, and 0.013 mg/kg after 21 d; finally, the residue was below the limit of detection after 30 days. After application, the initial deposit of Pymetrozine residue in the soil was higher than that in paddy water, and the dissipation in the soil was slower than that in paddy water. Li et al. (2011) [106] conducted fieldwork experiments about Pymetrozine degradation in soil and paddy water in Long Feng Village, Longyou County, Zhejiang Province, China, and the kinetics study was conducted in six field plots, each with an area of 30 m2. The treated plots were sprayed twice or thrice with each dose at 7 d interval, and fifteen rice samples (including three untreated control samples) were collected 14 d after the last spray, and the results of this study showed the Pymetrozine residue in the soil during the testing period. After two hours, and 1, 3, 7, 14, 21, and 28 d, the residues were 0.019, 0.051, 0.044, 0.026, 0.015, 0.006, and 0.002 mg/kg, respectively. It can also be seen that the major deterioration of Pymetrozine took place within the first two weeks after application. All the applied Pymetrozine became undetectable after 42 days of application when sprayed only once. The kinetics could be described by the following equation: C = 0.044e−0.099t with R2 = 0.863. The results also showed the presence of Pymetrozine residues in water during the testing period. The residues after 2 h, 4 h, 0.5 days, 1 d, and 3 d were 0.305, 0.156, 0.105, 0.028, and 0.012 mg/L, respectively. Pymetrozine residue in the water was undetectable after a 7 d interval. The half-life of Pymetrozine in water is 0.7 d. The initial Pymetrozine concentration in the water was 0.305 mg/L. A sharp decrease in Pymetrozine residues was observed on the first day. The kinetics could be described by the equation C = 0.194e−0.986t, with R2 = 0.926. Shen et al. (2009) [107] conducted a randomized field trial on broccoli plants on a farm on Chongming Island, Shanghai. The study indicated the Pymetrozine residue in the soil over the experimental period (45 days). After application, the estimated residues at 0, 1, 3, 4, 8, 12, and 15 d were 14.09, 5.56, 3.43, 2.86, 0.55, 0.03, and 0.007 mg/kg. The half-life of Pymetrozine in the soil was 1.4 days (C = 15.352e−0.4992t, R2 = 0.9815). Pymetrozine residues in the soil were undetectable after 21 d. Pymetrozine residue lies mainly near the soil surface. Yu et al. (2021) [108] conducted Pymetrozine degradation in tea plants and they found that the half-life of the Pymetrozine was 1.9 days in open tea plantation areas and the amount decreased by 9.4–23.7% during the green tea processing procedure. The residual Pymetrozine levels in green tea collected on 6 d and 21 d were below the MRLs in China and the EU, respectively. The hazard quotient (HQ) values of Pymetrozine were lower than those of the reference. Jia et al. (2019) [23] conducted a field study that indicated that the half-life of Pymetrozine in cauliflower is less than four days. The terminal residues of Pymetrozine were <0.008–0.0881 mg/kg in cauliflower at 7, 10, and 14 d after spraying at the six sites. The routine washing removed approximately half of the Pymetrozine in cauliflower; the reduction ratios were between 51.0 and 52.8%. A dietary risk assessment indicated that Pymetrozine did not pose obvious dietary health risks to cauliflower. Gong et al. (2019) [109] carried out a field study. The results showed that the half-life of Pymetrozine was 3.0–4.1 d in Chinese kale, and terminal residue concentrations were all below the United States Environmental Protection Agency’s maximum residue limit (250 μg/kg) at harvest; the risk quotient of Pymetrozine in Chinese kale was under 100%. Thus, Pymetrozine is unlikely to cause human health concerns if farmers follow the recommended application guidelines
There have been no studies on the exposure or health risk assessment of Pymetrozine via biological routes in China.
Very few fieldwork studies have been conducted on the metabolic and environmental distribution and the fate of Pymetrozine. The European Food Safety Authority provides information on the metabolic and environmental distribution and the fate of Pymetrozine in the laboratory [110]. This can be expressed as follows.
Pymetrozine shows low to moderate persistence in soil under aerobic laboratory conditions and is degraded by the hydroxylation of the methylene group of the triazine ring and by oxidation. CGA359009 (maximum 53.7% applied radioactivity (AR) after 14 days; low to high persistence) was the major metabolite formed, and it was further metabolized to CGA363431 (maximum 23.8% AR after 29 days; very low to high persistence).
The fate and behavior of Pymetrozine in aquatic environments under aerobic conditions were investigated in two dark laboratory water/sediment experiments. Pymetrozine is dissipated from water mainly by partitioning into sediment. The first-order half-life of Pymetrozine in the entire system ranged between 289 and 495 days. Metabolites CGA359009 and CGA300407 exceeded 10% in the entire system but not individually in the aquatic or sediment phases. For Pymetrozine, the PEC in the surface, water, and sediment was calculated up to FOCUS Step 2 for the intended field uses in potato and oilseed rape and up to Step 37 for tomatoes/eggplants (FOCUS, 2001). All metabolites were addressed using FOCUS SW Step 1 calculations, except for the anaerobic soil metabolites CGA180777 and GS23199, for which the PEC was not calculated. This was identified as a data gap in the use of oilseed rape. Note that in this case, the PEC for CGA249257, where aqueous photolysis was accounted for, can be considered to cover exposure from the situation of anaerobic formation in the soil before runoff or drainage events occur. The structure of Pymetrozine metabolism is shown in Table 1.
Table 1.
Chemical structure of main metabolism of Pymetrozine.
The potential groundwater contamination was assessed by calculating the 80th percentile annual average concentrations in the leachate leaving the topsoil at a depth of 1 m using FOCUS PELMO 4.4.37, CGA300407, CGA255548, CGA359009, CGA363431, CGA363430, SYN510306, CGA215525, CGA294849, CGA371075, SYN505866, and MFM3 (FOCUS, 2009). As a worst-case estimate, the PEC GW for greenhouse use was calculated based on the pertinent application rates and the respective field crop scenario. No groundwater exposure assessments have been conducted for anaerobic soil metabolites. Such calculations are relevant for using oilseed rape in regions with anaerobic conditions. The regulatory parametric drinking water limit of 0.1 μg/L was predicted to be exceeded by metabolites CGA255548 (two of the five scenarios), CGA215525 (four of the five scenarios), and CGA294849 (four of the five scenarios) for greenhouse use in fruiting vegetables. The regulatory limit of 0.1 μg/L was predicted to be exceeded by metabolite CGA363430 in four of nine scenarios for field use in potatoes (twice yearly application), in two of six scenarios for field use in winter oilseed rape (annual application), in four of five scenarios in field use on fruiting vegetables, and in all five scenarios for greenhouse use in fruiting vegetables (annual application, limit of 0.75 μg/L was also exceeded in four of the five greenhouse scenarios).
However, this limit was not exceeded in any of the three simulated scenarios for spring oilseed rape (annual application). The regulatory limit of 0.1 μg/L was exceeded by metabolite GCA371075 in all scenarios of the intended use in potatoes (twice yearly application), in all scenarios for field use on fruiting vegetables (annual application; 0.75 μg/L was also exceeded in three of the five scenarios), in all scenarios for winter and spring oilseed rape (annual application), and in all scenarios for the intended use on fruiting vegetables in a greenhouse (annual application; 0.75 μg/L was also exceeded in five of the five scenarios, max 6.52 μg/L). Groundwater assessment for metabolite MFM3 based on default worst-case adsorption parameters showed potential groundwater contamination above the limit of 0.1 μg/L in three of the four potatoes scenarios (twice yearly application), in two of the five field fruiting vegetable scenarios (annual application), in one of the five field fruiting vegetable scenarios (twice yearly application), in two of the three spring oilseed rape (annual application), and in all five greenhouse fruiting vegetable scenarios. However, this limit was not exceeded in any of the six simulated scenarios for winter oilseed rape (annual application). All these groundwater metabolites were related to the harmonized classification of Pymetrozine as a category 2 carcinogen (see Section 2). The PEC of groundwater was not calculated for the anaerobic soil metabolites CGA180777, CGA249257, and GS23199. This was identified as a data gap in the use of oilseed rape.
The results of the previous studies in the above section showed that there had been very few fieldwork studies related to the metabolic and environmental distribution and the fate of Pymetrozine and its exposure and environmental health risk assessment. The existing studies largely focused on its application in artificially constructed plot studies, and these results indicated that (1) the initial deposit of Pymetrozine residue in soil was higher than that in paddy water; (2) the attenuation in soil was slower than that in paddy water; (3) the initial concentrations of Pymetrozine in soils could be affected by the difference in target areas of the sprayed insecticide and the techniques of insecticide spraying, such as speed of insecticide spraying and the type of spraying instruments used [33]; (4) the initial concentrations of Pymetrozine are related to differences in sampling strategies, climate, soil characteristics, rice planting density, and growth trends [20]; and (5) bioaccumulation can affect human health by accumulating toxic compounds in aquatic food organisms such as carp and ducks grown on rice paddies, a common practice throughout Asia [111]. The bioaccumulation of Pymetrozine in aquatic organisms is an important aspect of environmental management, particularly concerning human health. This can be evaluated using data from the current investigation. The USEPA (2000) reported that the Log POW of Pymetrozine is 0.18, well outside the range of Log POW from 2 to 6, which is usually associated with bioaccumulation. Bioaccumulation requires high persistence and resistance to biodegradation [111]. Thus, it is clear from this study [20] that the bioaccumulation of Pymetrozine residues is unlikely to occur. This indicates that the use of paddy water for the growth of aquatic food organisms does not pose a hazard to public health, owing to the bioaccumulation of Pymetrozine.
Currently, there are no studies on the biological monitoring of the health effects of Pymetrozine in China. Previous studies have indicated that most pesticides can affect the reproduction of sperm count and density, inhibit spermatogenesis, damage sperm DNA, and increase abnormal sperm morphology [112]. In addition, pesticide exposure can lead to acute and chronic health problems. Pesticide poisoning increases the incidence of cancer, chronic kidney disease, immune system suppression, sterility in males and females, endocrine disorders, and neurological and behavioral disorders, especially among children [113]. Human health hazards vary according to pesticide exposure levels. Moderate exposure due to the misapplication of pesticides can result in mild headaches, flu, skin rashes, blurred vision, and other neurological disorders.
In contrast, the effects of severe exposure include paralysis, blindness, and even death [114,115]. In addition, the EPA (2000) classified Pymetrozine as a possible human carcinogen; it negatively influences reproduction, causes respiratory tract irritation, and is moderately toxic to aquatic invertebrates. Therefore, it is necessary to study the exposure and health effects of Pymetrozine through occupational, environmental, and dietary pathways.
3.3. Avermectin (Abamectin)
Abamectin is a highly toxic insecticide and miticide that causes adverse health effects if swallowed and/or inhaled (Figure 3). Emulsifying concentrated formulations of Abamectin can cause slight to moderate eye and mild skin irritations. The degradation, contamination, and risk levels of Avermectin via environmental routes and food have been reported in previous studies. This review further addresses Avermectin’s contamination, exposure, and health risk assessment by summarizing previous studies on environmental routes [7,17,25,26,28,116,117].
Figure 3.
Chemical structure of Avermectin.
Wei et al. (2017) [25] detected the current use of insecticides in sediments collected from a typical rice-planting region in southern China. Abamectin was detected in all 12 sediment samples at concentrations higher than the RLs (based on the lowest validated spike level during method validation). Sediment concentrations of Abamectin were generally higher than those of Abamectin benzoate, ranging from <RL to 19.7 ng/g and from <RL to 12.7 ng/g, respectively. Du et al. (2018) [28] conducted a study on the residuals of Avermectin in mushrooms in Henan and Beijing separately. They found that Avermectin degraded faster from the residues in substrates, and that its level in mushrooms was lower than 0.00500 after 3 d, with no calculated dissipation curves. In addition, the results indicated that higher temperature and humidity increased the solubility and degradation of Avermectin in Henan province comparted to in Beijing. Fang et al. (2015) [26] collected 300 samples from eight main growing regions in China and detected pesticide residues using GC-MS/MS and LC-MS/MS. The risks of both chronic and acute pesticide intake were assessed. The intake risk for each detected pesticide was ranked using a predefined ranking matrix: (1) The result indicated that out of these 300 samples, 175 contained one or more pesticide residues. Twenty-five pesticides were identified; only carbofuran exceeded the maximum residue limit. (2) The chronic and acute intake risks were between 0 and 1.80 (chronic) and between 0.05 and 28.0 (acute) for these twenty-five pesticides. (3) Intake risk of individual pesticide was ranked; five pesticides, including Avermectin, triazophos, Chlorpyrifos, dimethoate oxygen, and carbofuran posed the highest risks, but they are under the acceptable level. Du et al. (2014) studied the effect of home canning on Abamectin residue levels in button cremini. Changes in Abamectin levels were significantly reduced from raw cremini to sterilization. After the entire process, the Abamectin levels increased to 0.22 µg/kg. Jing et al. (2021) [116] detected 11 pesticides in seventy-six samples collected from a medlar planting site. Residues of four (36.7%) of the eleven compounds were found, with the most common being imidacloprid (all samples), followed by Avermectin (leaf, soil, groundwater, and honey), carbendazim (leaf), and glyphosate (soil). Hua et al. (2020) [117] compared Avermectin residues in leaf samples with Abamectin deposition in MLS. They found that the residue levels were similar for leaves at all tree heights but correlated with spray concentrations. Yang et al. (2016) [7] detected nine pesticides, including Avermectin, in 117 samples of three minor tropical fruits (starfruits, wax apples, and Indian jujubes) from the Hainan, Fujian, Guangdong, and Guangxi provinces in China. Avermectin was not detected in any sample. Li et al. (2013) [17] collected sediments from urban streams in Guangzhou, China, and detected the levels of Avermectin. Fifteen sediment samples collected from the streams showed acutely toxic levels of Chironomus dilutus, with 81% of the samples causing 100% mortality. Avermectin was the main toxins identified in the midges.
China is the main producer of Avermectin, primarily for domestic use [25]. It is more commonly used in China than in other countries, resulting in higher concentrations. In addition, the extensive use of Abamectin in agriculture as an anthelmintic control agent for veterinary purposes has made it one of Southwest China’s most widely used pesticides.
Research on abamectin has focused on its degradability and toxicity to aquatic organisms in laboratory settings. However, large-scale field environmental monitoring of Abamectin has rarely been conducted. Therefore, further studies should focus on the concentrations of Abamectin in different exposure routes, its degradation and transformation from the external environment to the food chain, and its risk to human health.
There have been no studies on the exposure or health risk assessment of Avermectin via biological routes in China. Studies in animals have revealed a variety of symptoms, including nervous system depression, respiratory failure, weight loss, lethargy, and eventual death. Reproductive problems have also been observed [118]; however, no such human studies have been conducted to date. Therefore, it is necessary to investigate the health effects of Abamectin exposure through occupational pathways.
4. Climate Factors and Their Possible Impact on Pesticide Use
Climate change issues are receiving increasing attention from scientists, policymakers, and the public [119]. The United Nations Convention defines climate change as the result of human activities, which change the composition of atmospheric carbon dioxide, alter global temperatures and precipitation, and impact sea levels and salinity directly and indirectly, causing alterations in arable land, crop yields, and changes in soil quality, nitrogen deposition, plant diversity, and environmental contamination [120,121,122].
The continued emission of greenhouse gases from industrial development will result in further warming and long-lasting changes in all components of the climate system [123]. This has increased, causing severe, pervasive, and irreversible impacts on humans and ecosystems [124,125,126]. Increased climate change has exacerbated existing risks and created new risks for natural and social systems [127,128]. The risks from climate change are unevenly distributed and are generally greater for disadvantaged people and communities in countries at all levels of development [121,129,130].
It has a complex and varied climate, including a wide variety of temperature belts and dry and moist zones [131,132,133]. Regarding temperature, China has five sectors [134]: equatorial, tropical, subtropical, warm-temperate, temperate, and cold-temperate zones [135,136,137]. Precipitation in China is regular annually, because the summer monsoon influences the eastern seashores more than inland areas, rainfall decreases as one moves from the southeast to the northwest [138]. The area with the highest rainfall is Huoshaoliao, a part of Taipei City, where the average annual precipitation can reach over 6000 mm [139] The rainy season is primarily from May to September. In the dry northwestern areas, annual changes in precipitation were greater than those in the coastal areas. Moisture can be divided from southeast to northwest into humid (32% of the land area), semi-humid (15%, semi-arid (22%), and arid zones (31%) [140].
The IPCC Intergovernmental Panel on Climate Change (2014) report, which shows the effects of climate change on key aspects of life worldwide, makes the following key points for China: (1) Temperatures have increased by 0.4–2.5 °C in China, with most warming in northern areas. (2) There will be an increase of 2–4 °C in the mid-term (2046–2065) for the regions with the warmest temperatures. At the same time, there will be a 30% increase in precipitation during September–November in China. (3) Over the long term (2081–2100), an increase of 4–6 °C is estimated. (4) It is projected that the annual mean soil moisture will decrease in the future, negatively impacting plant growth. (5) River flow in major rivers is projected to decrease (by 30 to 40%) across much of the arid western portion of the country (Middle East) but increase (by up to 40%) in some of the flood-prone regions, such as the northern regions. (6) The intensity and frequency of floods in Shanghai’s high-risk flood zones are expected to increase. (7) The growing population and expanding water use for irrigation will be exacerbated by decreasing precipitation, ultimately leading to increased water scarcity in northern China.
4.1. Impact of the Climate Change Factors on Pesticide Application and Its Health Risk
Climate change factors influence socioeconomic and environmental factors, including soil conditions; crop growth; insect pests; weeds; and diseases related to pesticide application, and pesticide behavior in the environment and its health risk (Figure 4).
Figure 4.
Impact of climate change on pesticide application.
4.1.1. Impact on Social and Economic Factors Related to Pesticide Application
Regulation, economic factors, technological change, and development are important socioeconomic factors influencing pesticide application [130]. Pesticide regulations include regulations on maximum residual levels; registration; the suspension and cancellation of registration; labeling, storage, and disposal; and import and export policies that influence the pesticide application [101]. Specifically, the concentrations of pesticide residues in the environment, such as water, soil, air, and crops, are regulated by setting the maximum residual levels [141]. Moreover, safety regulations, such as instructions on the label, storage, and disposal, proper spraying techniques, and proper use of protective equipment, are determined by the government, which play critical roles in selecting the types and amounts of pesticide to use, as they would result in different social and environmental problems [101,141,142]. For example, Phung et al. (2012) [101] indicated that owing to the differences in pesticide regulations in the US and Vietnam, the percentage of acute poisoning among agricultural workers in Vietnam is higher than that in the US. Thus, implementing pesticide regulations is critical for controlling the variety and amount of pesticides.
In terms of economic factors, economic development influences agriculture development [143,144]. Economic development directly influences the decisions of farmers to control insect pests, weeds, and diseases. First, when pesticide production companies make decisions, they consider which products, active substances, and formulations should be marketed in a specific country to maximize profits [145]. This constrains the scope of the products they make available for small-scale crops. Second, farmers’ selection of pesticides is mostly influenced by purchase and application costs rather than suggestions from official issues or the demands of sellers [130]. Thus, economic factors can influence pesticide application. Technological changes and developments are other important socioeconomic factors that affect pesticide application. Dworak et al. (2014) [146] reported that advanced agricultural technologies, such as GPS-guided field sprayers in modern farming systems, are equipped with sensors to confirm plant numbers, coverage levels, the amount of biomass, or infection levels. A combination of these technology systems recordings, with information on the required amounts and the types of pesticides for precision farming, would stimulate more efficient insect pest, weed, and disease control. Such efficient application of pesticides will promote affordable crop growth and decrease the residual levels of pesticides in environmental media. Regulations, economic factors, and technological development influence pesticide application. Sufficient and proper regulations and higher economic and technological development are useful for improving the efficiency of pesticide application. This can improve crop growth and decrease the harmful effects of pesticides on the environment and human health.
4.1.2. Impact of Environmental Factors on Pesticide Application
Changes in environmental factors owing to climate change can lead to increased pesticide use (Figure 4): (1) Pesticide application is influenced by soil conditions, specifically soil organic matter, carbon storage capacity, and the size and frequency of crack formation. These factors are influenced by climate change [1,147,148]. (2) Climate change, including increased temperature, precipitation, and carbon dioxide content, can alter the geographical distribution and productivity [149,150]. Climate change has resulted in an increase in the volume and variety of pesticides [151]. (3) Climate change influences the migration and range of pests [152], alters their geographical distribution and abundance, and therefore affects the severity of insect pest outbreaks [153,154,155,156]. Thus, farmers tend to use more pesticides. The changes in temperature and precipitation cause changes in the range, spread, and severity of pests [157,158]. Suppose there are milder winters, higher temperatures, and abundant precipitation. In that case, there will probably be increased winter survival of plant pathogens [159,160], accelerated vector and pathogen life cycles [161,162], increased sporulation [163,164] and infectiousness of fungi [165,166,167,168]; thus, farmers may need to use more pesticides. (4) Climate change can stimulate crop diseases [169,170]; thus, farmers may need to use larger quantities and a wider variety of pesticides to protect plants from diseases, reduce losses in agricultural production, and improve food yield and quality. (5) Climate change also accelerates the volatilization of pesticides [130,171,172], runoff [173,174,175], and leaching processes [173,176,177], leading to increased use of pesticides.
In summary, climate change affects crop growth and environmental conditions as well as the migration, distribution, and number of insect pests, the frequency of pest outbreaks, the dissemination of vectors, the evolution of weeds, and the promotion of diseases. These factors are likely to result in the increased use of a wider variety of pesticides. Therefore, owing to climate change, there is an increase in the use of insecticides, pesticide pollution, exposure, and human health risks from pesticide pollution.
4.2. Climate Change and Its Expected Impact on Pymetrozine and Avermectin Use and Behavior in Chinese Crop Cultivation
The implications of climate change on anthropogenic chemical behavior in the Asia-Pacific Region have also been reviewed [167]. There is likely to be a significant upturn in pesticide use with climate change concerning both the increased prevalence of pests and the increased degradation and loss of pesticides through volatilization. This inevitably leads to an initial increase in pesticides administered throughout the rural sector. A subsequent reappraisal of pesticide application practices may moderate this increase in the amount of pesticide used [175,178,179]. Pymetrozine and Avermectin exhibited relatively low Henry’s law coefficients. Although a 5 °C rise in temperature can produce anything between a 15 and 140% increase in Henry’s Law Coefficient, the overall effect in terms of Pymetrozine and Avermectin would be very low.
Similarly, other factors known to affect the Henry’s Law Coefficient [180] were not expected to vary significantly in the rice paddy system. Thus, the major climate change-mediated differences in Pymetrozine and Avermectin behavior are due to sorption by particulates, rice paddy soil, and biodegradation. Previous studies have shown the short half-lives of Pymetrozine and Avermectin in rice paddy systems’ water and soil phases. In particular, rice paddy soils are known to be very active sites for pesticide metabolism [181,182]. The temperature-mediated increase in biodegradation rate is expected to result in decreased half-lives for Pymetrozine and Avermectin in the soil and water phases of the rice paddy system. The sorption of Pymetrozine and Avermectin by waterborne and soil particulates can be viewed as a competing process. Increased average temperatures have been shown to lead to a lower level of organic soil, which results in enhanced potential for soil erosion with increased rates of the movement of water and organic and inorganic chemicals [183]. Moreover, an increase in temperature alters the capacity of the soil to store and cycle carbon [184].
5. Conclusions and New Directions
This review summarizes studies on the environmental and human health risks of applying Chlorpyrifos, Pymetrozine, and Avermectin concerning climate change in China. Although the Chinese government bans Chlorpyrifos, previous studies have shown that environmental Chlorpyrifos pollution adversely affects human health. These adverse health effects are caused by long-term broad pesticide use at dangerous levels and the co-occurrence of multiple highly toxic pesticides in the environment. Unfortunately, the illegal use of Chlorpyrifos continues because farmers still value its effectiveness as a pesticide. Therefore, it is necessary to conduct systematic assessments of Chlorpyrifos through both environmental and biological monitoring on a large scale.
The bioaccumulation of Pymetrozine and Avermectin residues in the environment is unlikely to occur. This indicated that using paddy water and soil to grow food crops does not harm public health. Thus, the change in pesticide usage from Chlorpyrifos to Pymetrozine and Avermectin reduces pesticide contamination in the environment as well as health risks to the communities and residents of China. In addition, we recommend Pymetrozine and Avermectin in other countries, such as Vietnam, and countries in Africa, such as Ghana, where farmers still largely use Chlorpyrifos and are exposed to high health risks.
There have been very few field studies on the metabolic and environmental distribution and the fate of Pymetrozine and Avermectin, their exposure, and environmental and health risk assessments. Previous studies have largely focused on applying Pymetrozine and Avermectin in artificially constructed plots. Such studies do not necessarily represent the natural dynamics and residuals in field situations. Thus, the partitioning behavior and environmental distribution processes of Pymetrozine and Avermectin metabolism in soil, paddy water, rice, and other crops should be considered in future investigations. Second, further studies should focus on the exposure and health risks from the parent chemicals and the metabolism of Pymetrozine and Avermectin using biological monitoring. Adult and child residents living around agricultural areas should pay attention to Pymetrozine and Avermectin exposure from occupational and environmental health risk perspectives. Third, no human epidemiological studies on Pymetrozine and Avermectin have been conducted, and the reference for environmental health risk assessment was obtained from US EPA documents, which were derived only from animal studies.
Nevertheless, epidemiological studies should be considered a preferable method for dose-response assessment, if possible, because the data from such studies would directly apply to health risk assessment for human populations. Fourth, further studies should consider the impact of climate change on the degradation of Pymetrozine and Avermectin through various environmental routes and the contamination of these pesticides in food systems.
Author Contributions
M.T.: conceived and designed the structure of the manuscript; analyzed the literature reviews and government reports; contributed reagents/materials/analysis tools; and wrote, reviewed, and edited the manuscript. L.Y.: conceived and designed the structure of the manuscript; analyzed the literature reviews and government reports; contributed reagents/materials/analysis tools; wrote, reviewed, edited the manuscript; supervised; and handled project administration. L.W.: reviewed and editing, and supervised. H.L.: reviewed and edited the manuscript, supervised, and handled project administration. J.L.: reviewed and edited the manuscript, and supervised. L.G.: reviewed and edited the manuscript, and supervised. Q.Y.: conceived and designed the structure of the manuscript; analyzed the literature reviews and government reports; contributed reagents/materials/analysis tools; wrote, reviewed, and edited; and supervised. H.R.: conceived and designed the structure of the manuscript; analyzed the literature reviews and government reports; contributed reagents/materials/analysis tools; wrote, reviewed, and edited; and supervised. Q.L.: reviewed and edited the manuscript; supervised, and handled project administration. W.P.: reviewed and edited the manuscript. R.S.: conceived and designed the structure of the manuscript; analyzed the literature reviews and government reports; contributed reagents/materials/analysis tools; wrote, reviewed, and edited the manuscript; supervised, and handled project administration. D.C.: conceived and designed the structure of the manuscript; analyzed the literature reviews and government reports; contributed reagents/materials/analysis tools; wrote, reviewed, and edited the manuscript; supervised, and handled project administration. All authors have read and agreed to the published version of the manuscript.
Funding
This work was supported by Strategic Priority Research Program of Chinese Academy of Sciences (XDA23100400) and National Natural Science Foundation of China (42007414), and the Australian Research Council (ARC IH 180100002).
Institutional Review Board Statement
Not applicable.
Data Availability Statement
Not applicable.
Conflicts of Interest
The authors declare that they have no conflict of interest, financial or other. This article does not contain any studies involving human participants or animals.
References
- Tudi, M.; Daniel Ruan, H.; Wang, L.; Lyu, J.; Sadler, R.; Connell, D.; Chu, C.; Phung, D.T. Agriculture development, pesticide application and its impact on the environment. Int. J. Environ. Res. Public Health 2021, 18, 1112. [Google Scholar] [CrossRef]
- Brovini, E.M.; Moreira, F.D.; Martucci, M.E.P.; de Aquino, S.F. Water treatment technologies for removing priority pesticides. J. Water Process Eng. 2023, 53, 103730. [Google Scholar] [CrossRef]
- Nas, B.; Yel, E.; Argun, M.; Dinç, S.; Kara, M.; Koyuncu, S.; Dolu, T.; Ateş, H. Fate and removal of pesticides in solid and liquid phases of metropolitan, urban and rural-scale wastewater treatment plants. J. Water Process Eng. 2023, 53, 103680. [Google Scholar] [CrossRef]
- Phung, D.; Miller, G.; Connell, D.; Chu, C. Is the World Health Organization predicted exposure assessment model for space spraying of insecticides applicable to agricultural farmers? Environ. Sci. Pollut. Res. 2019, 26, 896–904. [Google Scholar] [CrossRef]
- Yuan, H.; Liu, E.; Zhang, E.; Luo, W.; Chen, L.; Wang, C.; Lin, Q. Historical records and sources of polycyclic aromatic hydrocarbons (PAHs) and organochlorine pesticides (OCPs) in sediment from a representative plateau lake, China. Chemosphere 2017, 173, 78–88. [Google Scholar] [CrossRef]
- Zhong, G.C.; Tang, J.H.; Xie, Z.Y.; Mi, W.Y.; Chen, Y.J.; Moller, A.; Sturm, R.; Zhang, G.; Ebinghaus, R. Selected current-use pesticides (CUPs) in coastal and offshore sediments of Bohai and Yellow seas. Environ. Sci. Pollut. Res. 2015, 22, 1653–1661. [Google Scholar] [CrossRef]
- Yang, X.F.; Luo, J.H.; Li, S.H.; Liu, C.H. Evaluation of nine pesticide residues in three minor tropical fruits from southern China. Food Control 2016, 60, 677–682. [Google Scholar] [CrossRef]
- Shuqin, J.; Fang, Z. Zero growth of chemical fertilizer and pesticide use: China’s objectives, progress and challenges. J. Resour. Ecol. 2018, 9, 50–58. [Google Scholar] [CrossRef]
- Zhang, C.; Guanming, S.; Jian, S.; Hu, R.-f. Productivity effect and overuse of pesticide in crop production in China. J. Integr. Agric. 2015, 14, 1903–1910. [Google Scholar] [CrossRef]
- Zhang, W.; Jiang, F.; Ou, J. Global pesticide consumption and pollution: With China as a focus. Proc. Int. Acad. Ecol. Environ. Sci. 2011, 1, 125. [Google Scholar]
- Wang, J.; Chu, M.; Ma, Y. Measuring rice farmer’s pesticide overuse practice and the determinants: A statistical analysis based on data collected in Jiangsu and Anhui Provinces of China. Sustainability 2018, 10, 677. [Google Scholar] [CrossRef]
- Zhang, W. Global pesticide use: Profile, trend, cost/benefit and more. Proc. Int. Acad. Ecol. Environ. Sci. 2018, 8, 1. [Google Scholar]
- Sun, R.; Luo, X.; Li, Q.X.; Wang, T.; Zheng, X.; Peng, P.; Mai, B. Legacy and emerging organohalogenated contaminants in wild edible aquatic organisms: Implications for bioaccumulation and human exposure. Sci. Total Environ. 2018, 616, 38–45. [Google Scholar] [CrossRef]
- Zhang, H.; Luo, Y.; Li, Q. Burden and depth distribution of organochlorine pesticides in the soil profiles of Yangtze River Delta Region, China: Implication for sources and vertical transportation. Geoderma 2009, 153, 69–75. [Google Scholar] [CrossRef]
- Gao, J.; Zhou, H.; Pan, G.; Wang, J.; Chen, B. Factors influencing the persistence of organochlorine pesticides in surface soil from the region around the Hongze Lake, China. Sci. Total Environ. 2013, 443, 7–13. [Google Scholar] [CrossRef] [PubMed]
- Shen, Z.; Baležentis, T.; Chen, X.; Valdmanis, V. Green growth and structural change in Chinese agricultural sector during 1997–2014. China Econ. Rev. 2018, 51, 83–96. [Google Scholar] [CrossRef]
- Li, H.Z.; Sun, B.Q.; Lydy, M.J.; You, J. Sediment-Associated pesticides in an urban stream in guangzhou, China: Implication of a shift in pesticide use patterns. Environ. Toxicol. Chem. 2013, 32, 1040–1047. [Google Scholar] [CrossRef]
- Pan, L.; Sun, J.; Li, Z.; Zhan, Y.; Xu, S.; Zhu, L. Organophosphate pesticide in agricultural soils from the Yangtze River Delta of China: Concentration, distribution, and risk assessment. Environ. Sci. Pollut. Res. 2018, 25, 4–11. [Google Scholar] [CrossRef]
- Zhu, C.Y.; Zhu, F.X.; Wang, F.W.; Gao, J.A.; Fan, G.P.; Zhou, D.M.; Fang, G.D. Comparison of Persulfate Activation and Fenton Reaction in Remediating an Organophosphorus Pesticides-Polluted Soil. Pedosphere 2017, 27, 465–474. [Google Scholar] [CrossRef]
- Tudi, M.; Atabila, A.; Ruan, H.D.; Wang, L.; Lyu, J.; Tong, S.; Yu, Q.J.; Sadler, R.; Phung, D.T.; Connell, D. Natural dynamics and residues of pymetrozine for typical rice-growing areas of China. Ecotoxicol. Environ. Saf. 2022, 232, 113230. [Google Scholar] [CrossRef]
- Tudi, M.; Wang, L.; Ruan, H.D.; Tong, S.; Atabila, A.; Sadler, R.; Yu, Q.J.; Connell, D.; Phung, D.T. Environmental monitoring and potential health risk assessment from Pymetrozine exposure among communities in typical rice-growing areas of China. Environ. Sci. Pollut. Res. 2022, 29, 59547–59560. [Google Scholar] [CrossRef]
- Pan, L.X.; Feng, X.X.; Cao, M.; Zhang, S.W.; Huang, Y.F.; Xu, T.H.; Jing, J.; Zhang, H.Y. Determination and distribution of pesticides and antibiotics in agricultural soils from northern China. RSC Adv. 2019, 9, 15686–15693. [Google Scholar] [CrossRef] [PubMed]
- Jia, G.F.; Zeng, L.R.; Zhao, S.; Ge, S.J.; Long, X.F.; Zhang, Y.P.; Hu, D.Y. Monitoring residue levels and dietary risk assessment of pymetrozine for Chinese consumption of cauliflower. Biomed. Chromatogr. 2019, 33, e4455. [Google Scholar] [CrossRef] [PubMed]
- Zhang, Y.F.; Zhang, L.; Xu, P.; Li, J.Z.; Wang, H.L. Dissipation and residue of pymetrozine in rice field ecosystem. Environ. Monit. Assess. 2015, 187, 78. [Google Scholar] [CrossRef] [PubMed]
- Wei, Y.L.; Li, H.Z.; Zhang, J.J.; Xiong, J.J.; Yi, X.Y.; You, J. Legacy and Current-Use Insecticides in Agricultural Sediments from South China: Impact of Application Pattern on Occurrence and Risk. J. Agric. Food Chem. 2017, 65, 4247–4254. [Google Scholar] [CrossRef]
- Fang, L.P.; Zhang, S.Q.; Chen, Z.L.; Du, H.X.; Zhu, Q.; Dong, Z.; Li, H.D. Risk assessment of pesticide residues in dietary intake of celery in China. Regul. Toxicol. Pharmacol. 2015, 73, 578–586. [Google Scholar] [CrossRef]
- Chen, J.S.; Miao, J.; Liu, M.; Liu, X.T.; Bao, L.Q.; Jiang, Y.G.; Wang, D.M.; Zhang, Q.; Zhang, L.X. Different fates of avermectin and artemisinin in China. Sci. China-Life Sci. 2016, 59, 634–636. [Google Scholar] [CrossRef][Green Version]
- Du, P.Q.; Wu, X.H.; Xu, J.; Dong, F.S.; Shi, Y.C.; Li, Y.B.; Liu, X.G.; Zheng, Y.Q. Different residue behaviors of four pesticides in mushroom using two different application methods. Environ. Sci. Pollut. Res. 2018, 25, 8377–8387. [Google Scholar] [CrossRef]
- Hamsan, H.; Ho, Y.B.; Zaidon, S.Z.; Hashim, Z.; Saari, N.; Karami, A. Occurrence of commonly used pesticides in personal air samples and their associated health risk among paddy farmers. Sci. Total Environ. 2017, 603, 381–389. [Google Scholar] [CrossRef]
- Marasinghe, J.; Yu, Q.; Connell, D. Assessment of health risk in human populations due to chlorpyrifos. Toxics 2014, 2, 92–114. [Google Scholar] [CrossRef]
- Phung, D.T.; Connell, D.; Chu, C. A new method for setting guidelines to protect human health from agricultural exposure by using chlorpyrifos as an example. Ann. Agric. Environ. Med. 2015, 22, 275–280. [Google Scholar] [CrossRef]
- Atabila, A.; Phung, D.T.; Sadler, R.; Connell, D.; Chu, C. Comparative evaluation of chlorpyrifos exposure estimates from whole-body dermal dosimetry and urinary trichloro-2-pyridinol (TCP) methods. Ecotoxicol. Environ. Saf. 2019, 172, 439–443. [Google Scholar] [PubMed]
- Tudi, M.; Li, H.; Li, H.; Wang, L.; Lyu, J.; Yang, L.; Tong, S.; Yu, Q.J.; Ruan, H.D.; Atabila, A. Exposure Routes and Health Risks Associated with Pesticide Application. Toxics 2022, 10, 335. [Google Scholar] [PubMed]
- Connell, D.W.; Miller, G.J.; Anderson, S.M. Persistent organic pollutants: Occurrence and health risks in Australia. Dev. Environ. Sci. 2007, 7, 753–770. [Google Scholar]
- Li, A.J.; Kannan, K. Profiles of urinary neonicotinoids and dialkylphosphates in populations in nine countries. Environ. Int. 2020, 145, 106120. [Google Scholar] [CrossRef] [PubMed]
- Cao, L.D.; Zhang, H.J.; Li, F.M.; Zhou, Z.L.; Wang, W.L.; Ma, D.K.; Yang, L.; Zhou, P.G.; Huang, Q.L. Potential dermal and inhalation exposure to imidacloprid and risk assessment among applicators during treatment in cotton field in China. Sci. Total Environ. 2018, 624, 1195–1201. [Google Scholar] [CrossRef]
- Zhang, X.; Zhao, W.; Jing, R.; Wheeler, K.; Smith, G.A.; Stallones, L.; Xiang, H. Work-related pesticide poisoning among farmers in two villages of Southern China: A cross-sectional survey. BMC Public Health 2011, 11, 429. [Google Scholar] [CrossRef]
- Zhang, M.; Fang, X.; Zhou, L.; Su, L.; Zheng, J.; Jin, M.; Zou, H.; Chen, G. Pesticide poisoning in Zhejiang, China: A retrospective analysis of adult cases registration by occupational disease surveillance and reporting systems from 2006 to 2010. BMJ Open 2013, 3, e003510. [Google Scholar] [CrossRef]
- Azari, A.; Nabizadeh, R.; Nasseri, S.; Mahvi, A.H.; Mesdaghinia, A.R. Comprehensive systematic review and meta-analysis of dyes adsorption by carbon-based adsorbent materials: Classification and analysis of last decade studies. Chemosphere 2020, 250, 126238. [Google Scholar] [CrossRef]
- Atabila, A.; Phung, D.T.; Hogarh, J.N.; Fobil, J.N.; Sadler, R.; Connell, D.; Chu, C. Probabilistic health risk assessment of chlorpyrifos exposure among applicators on rice farms in Ghana. Environ. Sci. Pollut. Res. 2021, 28, 67555–67564. [Google Scholar]
- Yu, Y.L.; Fang, H.; Wang, X.; Yu, J.Q.; Fan, D.F. Dissipation of chlorpyrifos on pakchoi inside and outside greenhouse. J. Environ. Sci. 2005, 17, 503–505. [Google Scholar]
- Li, R.; Wei, W.; He, L.; Hao, L.L.; Ji, X.F.; Zhou, Y.; Wang, Q. Chlorpyrifos Residual Behaviors in Field Crops and Transfers during Duck Pellet Feed Processing. J. Agric. Food Chem. 2014, 62, 10215–10221. [Google Scholar] [CrossRef] [PubMed]
- Atabila, A.; Sadler, R.; Phung, D.T.; Hogarh, J.N.; Carswell, S.; Turner, S.; Patel, R.; Connell, D.; Chu, C. Biomonitoring of chlorpyrifos exposure and health risk assessment among applicators on rice farms in Ghana. Environ. Sci. Pollut. Res. 2018, 25, 20854–20867. [Google Scholar]
- Sang, C.H.; Yu, Z.Y.; An, W.; Sorensen, P.B.; Jin, F.; Yang, M. Development of a data driven model to screen the priority control pesticides in drinking water based on health risk ranking and contribution rates. Environ. Int. 2022, 158, 106901. [Google Scholar] [CrossRef]
- Liu, P.; Wu, C.H.; Chang, X.L.; Qi, X.J.; Zheng, M.L.; Zhou, Z.J. Assessment of chlorpyrifos exposure and absorbed daily doses among infants living in an agricultural area of the Province of Jiangsu, China. Int. Arch. Occup. Environ. Health 2014, 87, 753–762. [Google Scholar] [CrossRef] [PubMed]
- Atabila, A.; Phung, D.T.; Hogarh, J.N.; Sadler, R.; Connell, D.; Chu, C. Health risk assessment of dermal exposure to chlorpyrifos among applicators on rice farms in Ghana. Chemosphere 2018, 203, 83–89. [Google Scholar]
- Atabila, A.; Phung, D.T.; Hogarh, J.N.; Osei-Fosu, P.; Sadler, R.; Connell, D.; Chu, C. Dermal exposure of applicators to chlorpyrifos on rice farms in Ghana. Chemosphere 2017, 178, 350–358. [Google Scholar] [CrossRef] [PubMed]
- Phung, D.T.; Connell, D.; Miller, G.; Rutherford, S.; Chu, C. Needs assessment for reducing pesticide risk: A case study with farmers in Vietnam. J. Agromed. 2013, 18, 293–303. [Google Scholar] [CrossRef]
- Fu, Y.W.; Dou, X.W.; Lu, Q.; Qin, J.A.; Luo, J.Y.; Yang, M.H. Comprehensive assessment for the residual characteristics and degradation kinetics of pesticides in Panax notoginseng and planting soil. Sci. Total Environ. 2020, 714, 136718. [Google Scholar] [CrossRef]
- Chen, C.; Zou, W.B.; Cui, G.L.; Tian, J.C.; Wang, Y.C.; Ma, L.M. Ecological risk assessment of current-use pesticides in an aquatic system of Shanghai, China. Chemosphere 2020, 257, 127222. [Google Scholar] [CrossRef]
- Wang, H.P.; Zheng, L.G.; Yu, W.T.; Cao, X.M.; Yang, R.B. Dissipation behavior of chlorpyrifos residues and risk assessment in sugarcane fields. Biomed. Chromatogr. 2019, 33, e4424. [Google Scholar] [CrossRef] [PubMed]
- Han, Y.X.; Mo, R.H.; Yuan, X.Y.; Zhong, D.L.; Tang, F.B.; Ye, C.F.; Liu, Y.H. Pesticide residues in nut-planted soils of China and their relationship between nut/soil. Chemosphere 2017, 180, 42–47. [Google Scholar] [CrossRef] [PubMed]
- Li, H.Z.; Wei, Y.L.; Lydy, M.J.; You, J. Inter-compartmental transport of organophosphate and pyrethroid pesticides in South China: Implications for a regional risk assessment. Environ. Pollut. 2014, 190, 19–26. [Google Scholar] [CrossRef]
- Liang, B.; Yang, C.L.; Gong, M.B.; Zhao, Y.F.; Zhang, J.; Zhu, C.X.; Jiang, J.D.; Li, S.P. Adsorption and degradation of triazophos, chlorpyrifos and their main hydrolytic metabolites in paddy soil from Chaohu Lake, China. J. Environ. Manag. 2011, 92, 2229–2234. [Google Scholar] [CrossRef] [PubMed]
- Xue, N.D.; Li, F.S.; Hou, H.; Li, B.W. Occurrence of endocrine-disrupting pesticide residues in wetland sediments from Beijing, China. Environ. Toxicol. Chem. 2008, 27, 1055–1062. [Google Scholar] [CrossRef] [PubMed]
- Zhu, Z.Y.; Wang, K.; Zhang, B. Applying a network data envelopment analysis model to quantify the eco-efficiency of products: A case study of pesticides. J. Clean. Prod. 2014, 69, 67–73. [Google Scholar] [CrossRef]
- Wei, G.L.; Wang, C.; Niu, W.P.; Huan, Q.; Tian, T.T.; Zou, S.J.; Huang, D.Y. Occurrence and risk assessment of currently used organophosphate pesticides in overlying water and surface sediments in Guangzhou urban waterways, China. Environ. Sci. Pollut. Res. 2021, 28, 48194–48206. [Google Scholar] [CrossRef]
- Tan, H.D.; Zhang, H.J.; Wu, C.Y.; Wang, C.A.M.; Li, Q.F. Pesticides in surface waters of tropical river basins draining areas with rice-vegetable rotations in Hainan, China: Occurrence, relation to environmental factors, and risk assessment. Environ. Pollut. 2021, 283, 117100. [Google Scholar] [CrossRef]
- Sang, C.H.; Sorensen, P.B.; An, W.; Andersen, J.H.; Yang, M. Chronic health risk comparison between China and Denmark on dietary exposure to chlorpyrifos. Environ. Pollut. 2020, 257, 113590. [Google Scholar] [CrossRef]
- Zhen, X.M.; Liu, L.; Wang, X.M.; Zhong, G.C.; Tang, J.H. Fates and ecological effects of current-use pesticides (CUPs) in a typical river-estuarine system of Laizhou Bay, North China. Environ. Pollut. 2019, 252, 573–579. [Google Scholar] [CrossRef]
- Tang, X.Y.; Yang, Y.; Tam, N.F.Y.; Tao, R.; Dai, Y.N. Pesticides in three rural rivers in Guangzhou, China: Spatiotemporal distribution and ecological risk. Environ. Sci. Pollut. Res. 2019, 26, 3569–3577. [Google Scholar] [CrossRef]
- Liu, L.; Tang, J.H.; Zhong, G.C.; Zhen, X.M.; Pan, X.H.; Tian, C.G. Spatial distribution and seasonal variation of four current-use pesticides (CUPs) in air and surface water of the Bohai Sea, China. Sci. Total Environ. 2018, 621, 516–523. [Google Scholar] [CrossRef] [PubMed]
- Hu, X.X.; Shi, W.; Yu, N.Y.; Jiang, X.; Wang, S.H.; Giesy, J.P.; Zhang, X.W.; Wei, S.; Yu, H.X. Bioassay-directed identification of organic toxicants in water and sediment of Tai Lake, China. Water Res. 2015, 73, 231–241. [Google Scholar] [CrossRef]
- Zhong, G.C.; Tang, J.H.; Xie, Z.Y.; Moller, A.; Zhao, Z.; Sturm, R.; Chen, Y.J.; Tian, C.G.; Pan, X.H.; Qin, W.; et al. Selected current-use and historic-use pesticides in air and seawater of the Bohai and Yellow Seas, China. J. Geophys. Res. Atmos. 2014, 119, 1073–1086. [Google Scholar] [CrossRef]
- Yang, T.C.; Xu, X.M.; Hou, J.; Gong, Z.Y.; Cheng, Z.P.; Fan, W.Z.; Fu, T.; Wang, S.S.; Ye, X.J.; Wu, Y.P.; et al. Dengue Fever Vector Composition and Pesticide Residues in Yiwu, Zhejiang Province, China. J. Entomol. Sci. 2012, 47, 309–315. [Google Scholar]
- Ping, H.; Wang, B.H.; Li, C.; Li, Y.; Ha, X.J.; Jia, W.S.; Li, B.R.; Ma, Z.H. Potential health risk of pesticide residues in greenhouse vegetables under modern urban agriculture: A case study in Beijing, China. J. Food Compos. Anal. 2022, 105, 104222. [Google Scholar] [CrossRef]
- Fang, L.; Liao, X.F.; Zhang, Q.; Shi, L.C.; Zhou, L.D.; Zhao, H.P.; Kong, W.J. An orthogonal experimental design and QuEChERS based UFLC-MS/MS for multi-pesticides and human exposure risk assessment in Honeysuckle. Ind. Crops Prod. 2021, 164, 113384. [Google Scholar] [CrossRef]
- Tan, H.D.; Li, Q.F.; Zhang, H.J.; Wu, C.Y.; Zhao, S.Q.; Deng, X.; Li, Y. Pesticide residues in agricultural topsoil from the Hainan tropical riverside basin: Determination, distribution, and relationships with planting patterns and surface water. Sci. Total Environ. 2020, 722, 137856. [Google Scholar] [CrossRef]
- Shi, R.G.; Yuan, L.; Chen, M.L.; Zheng, X.Q.; Liu, X.W.; Zhao, Y.J.; Liu, A.F.; Jia, J.J.; Xu, M.M.; Zhao, Z.S. Detection of Frequently Used Pesticides in Apple Orchard Soil in China by High Resolution Mass Spectrometry. Pol. J. Environ. Stud. 2020, 29, 1341–1350. [Google Scholar] [CrossRef]
- Li, Z.X.; Zhang, Y.H.; Zhao, Q.Y.; Wang, C.Q.; Cui, Y.L.; Li, J.; Chen, A.H.; Liang, G.L.; Jiao, B.N. Occurrence, temporal variation, quality and safety assessment of pesticide residues on citrus fruits in China. Chemosphere 2020, 258, 127381. [Google Scholar] [CrossRef]
- Khammanee, N.; Qiu, Y.L.; Kungskulniti, N.; Bignert, A.; Meng, Y.; Zhu, Z.L.; Teffera, Z.L. Presence and Health Risks of Obsolete and Emerging Pesticides in Paddy Rice and Soil from Thailand and China. Int. J. Environ. Res. Public Health 2020, 17, 3786. [Google Scholar] [CrossRef]
- Song, S.M.; Huang, H.L.; Chen, Z.J.; Wei, J.; Deng, C.; Tan, H.H.; Li, X.S. Representative Commodity for Six Leafy Vegetables Based on the Determination of Six Pesticide Residues by Gas Chromatography. Acta Chromatogr. 2019, 31, 49–56. [Google Scholar] [CrossRef]
- Zhao, L.W.; Liu, F.M.; Ge, J.; Ma, L.L.; Wu, L.M.; Xue, X.F. Changes in eleven pesticide residues in jujube (Ziziphus jujuba Mill.) during drying processing. Dry. Technol. 2018, 36, 965–972. [Google Scholar] [CrossRef]
- Tong, Z.; Duan, J.S.; Wu, Y.C.; Liu, Q.Q.; He, Q.B.; Shi, Y.H.; Yu, L.S.; Cao, H.Q. A survey of multiple pesticide residues in pollen and beebread collected in China. Sci. Total Environ. 2018, 640, 1578–1586. [Google Scholar] [CrossRef] [PubMed]
- Wu, L.P.; Zhou, X.L.; Zhao, D.Y.; Feng, T.; Zhou, J.; Sun, T.; Wang, J.M.; Wang, C. Seasonal variation and exposure risk assessment of pesticide residues in vegetables from Xinjiang Uygur Autonomous Region of China during 2010–2014. J. Food Compos. Anal. 2017, 58, 1–9. [Google Scholar] [CrossRef]
- Zhang, Z.Y.; Jiang, W.W.; Jian, Q.; Song, W.C.; Zheng, Z.T.; Wang, D.L.; Liu, X.J. Changes of Field Incurred Chlorpyrifos and Its Toxic Metabolite Residues in Rice during Food Processing from-RAC-to-Consumption. PLoS ONE 2015, 10, e0116467. [Google Scholar] [CrossRef]
- Liu, Y.H.; Mo, R.H.; Tang, F.B.; Fu, Y.; Guo, Y.R. Influence of different formulations on chlorpyrifos behavior and risk assessment in bamboo forest of China. Environ. Sci. Pollut. Res. 2015, 22, 20245–20254. [Google Scholar] [CrossRef]
- Li, R.; He, L.; Wei, W.; Hao, L.L.; Ji, X.F.; Zhou, Y.; Wang, Q. Chlorpyrifos residue levels on field crops (rice, maize and soybean) in China and their dietary risks to consumers. Food Control 2015, 51, 212–217. [Google Scholar] [CrossRef]
- Fu, Y.; Liu, F.F.; Zhao, C.L.; Zhao, Y.; Liu, Y.H.; Zhu, G.N. Distribution of chlorpyrifos in rice paddy environment and its potential dietary risk. J. Environ. Sci. 2015, 35, 101–107. [Google Scholar] [CrossRef]
- Yuan, Y.W.; Chen, C.; Zheng, C.M.; Wang, X.L.; Yang, G.L.; Wang, Q.; Zhang, Z.H. Residue of chlorpyrifos and cypermethrin in vegetables and probabilistic exposure assessment for consumers in Zhejiang Province, China. Food Control 2014, 36, 63–68. [Google Scholar] [CrossRef]
- Wang, S.M.; Wang, Z.L.; Zhang, Y.B.; Wang, J.; Guo, R. Pesticide residues in market foods in Shaanxi Province of China in 2010. Food Chem. 2013, 138, 2016–2025. [Google Scholar] [CrossRef] [PubMed]
- Chen, C.; Qian, Y.Z.; Liu, X.J.; Tao, C.J.; Liang, Y.; Li, Y. Risk assessment of chlorpyrifos on rice and cabbage in China. Regul. Toxicol. Pharmacol. 2012, 62, 125–130. [Google Scholar] [CrossRef] [PubMed]
- Zhang, Z.Y.; Shan, W.L.; Song, W.C.; Gong, Y.; Liu, X.J. Phytotoxicity and uptake of chlorpyrifos in cabbage. Environ. Chem. Lett. 2011, 9, 547–552. [Google Scholar] [CrossRef]
- Harris, E.S.J.; Cao, S.G.; Littlefield, B.A.; Craycroft, J.A.; Scholten, R.; Kaptchuk, T.; Fu, Y.L.; Wang, W.Q.; Liu, Y.; Chen, H.B.A.; et al. Heavy metal and pesticide content in commonly prescribed individual raw Chinese Herbal Medicines. Sci. Total Environ. 2011, 409, 4297–4305. [Google Scholar] [CrossRef]
- Chen, C.; Li, Y.; Chen, M.X.; Chen, Z.J.; Qian, Y.Z. Organophosphorus pesticide residues in milled rice (Oryza sativa) on the Chinese market and dietary risk assessment. Food Addit. Contam. Part A Chem. Anal. Control Expo. Risk Assess. 2009, 26, 340–347. [Google Scholar] [CrossRef]
- Wu, P.L.; Wang, P.S.; Gu, M.Y.; Xue, J.; Wu, X.L. Human health risk assessment of pesticide residues in honeysuckle samples from different planting bases in China. Sci. Total Environ. 2021, 759, 142747. [Google Scholar] [CrossRef] [PubMed]
- Li, H.Z.; Ma, H.Z.; Lydy, M.J.; You, J. Occurrence, seasonal variation and inhalation exposure of atmospheric organophosphate and pyrethroid pesticides in an urban community in South China. Chemosphere 2014, 95, 363–369. [Google Scholar] [CrossRef] [PubMed]
- An, X.H.; Ji, X.F.; Wu, M.; Hu, X.Q.; Yu, R.X.; Zhao, X.P.; Cai, L.M. Risk Assessment of Applicators to Chlorpyrifos through Dermal Contact and Inhalation at Different Maize Plant Heights in China. J. Agric. Food Chem. 2014, 62, 7072–7077. [Google Scholar] [CrossRef] [PubMed]
- Gao, B.B.; Tao, C.J.; Ye, J.M.; Ning, J.; Mei, X.D.; Jiang, Z.F.; Chen, S.; She, D.M. Measurement of operator exposure to chlorpyrifos. Pest Manag. Sci. 2014, 70, 636–641. [Google Scholar] [CrossRef]
- Huang, Z.B.; Li, H.Z.; Xiong, J.J.; You, J. Target and Suspect Screening of Urinary Biomarkers for Current-use Pesticides: Application of a Simple Extraction Method. Environ. Toxicol. Chem. 2022, 41, 73–80. [Google Scholar] [CrossRef]
- Li, A.J.; Kannan, K. Urinary concentrations and profiles of organophosphate and pyrethroid pesticide metabolites and phenoxyacid herbicides in populations in eight countries. Environ. Int. 2018, 121, 1148–1154. [Google Scholar] [CrossRef] [PubMed]
- Li, Z.K.; Liu, W.L.; Wu, C.C.; She, D.M. Effect of spraying direction on the exposure to handlers with hand-pumped knapsack sprayer in maize field. Ecotoxicol. Environ. Saf. 2019, 170, 107–111. [Google Scholar] [CrossRef] [PubMed]
- Wang, N.; Huang, M.Y.; Guo, X.Y.; Lin, P. Urinary Metabolites of Organophosphate and Pyrethroid Pesticides and Neurobehavioral Effects in Chinese Children. Environ. Sci. Technol. 2016, 50, 9627–9635. [Google Scholar] [CrossRef] [PubMed]
- Zhang, Y.; Han, S.; Liang, D.H.; Shi, X.Z.; Wang, F.Z.; Liu, W.; Zhang, L.; Chen, L.X.; Gu, Y.Z.; Tian, Y. Prenatal Exposure to Organophosphate Pesticides and Neurobehavioral Development of Neonates: A Birth Cohort Study in Shenyang, China. PLoS ONE 2014, 9, e88491. [Google Scholar] [CrossRef]
- Wang, L.; Liu, Z.; Zhang, J.J.; Wu, Y.H.; Sun, H.W. Chlorpyrifos exposure in farmers and urban adults: Metabolic characteristic, exposure estimation, and potential effect of oxidative damage. Environ. Res. 2016, 149, 164–170. [Google Scholar] [CrossRef]
- Phung, D.T. Assessing and Reducing Risk Due to Chlorpyrifos Use among Rice Farmers in Vietnam: From Probabilistic Risk Assessment to Safety Strategy Development; Griffith University: Brisbane, QLD, Australia, 2012. [Google Scholar]
- Atabila, A. Health Risk Assessment and Management of Chlorpyrifos Exposure among Rice Farmers in Ghana; Griffith University: Brisbane, QLD, Australia, 2017. [Google Scholar]
- Li, W.H.; Tai, L.Y.; Liu, J.X.; Gai, Z.K.; Ding, G.T. Monitoring of pesticide residues levels in fresh vegetable form Heibei Province, North China. Environ. Monit. Assess. 2014, 186, 6341–6349. [Google Scholar] [CrossRef] [PubMed]
- Phung, D.T.; Connell, D.; Yu, Q.; Chu, C. Health Risk Characterization of Chlorpyrifos Using Epidemiological Dose-Response Data and Probabilistic Techniques: A Case Study with Rice Farmers in Vietnam. Risk Anal. 2013, 33, 1596–1607. [Google Scholar]
- Ding, G.D.; Wang, P.; Tian, Y.; Zhang, J.; Gao, Y.; Wang, X.J.; Shi, R.; Wang, G.Q.; Shen, X.M. Organophosphate Pesticide Exposure and Neurodevelopment in Young Shanghai Children. Environ. Sci. Technol. 2012, 46, 2911–2917. [Google Scholar] [CrossRef]
- Phung, D.T.; Connell, D.; Miller, G.; Rutherford, S.; Chu, C. Pesticide regulations and farm worker safety: The need to improve pesticide regulations in Viet Nam. Bull. World Health Organ. 2012, 90, 468–473. [Google Scholar] [CrossRef]
- Phung, D.T.; Connell, D.; Miller, G.; Chu, C. Probabilistic assessment of chlorpyrifos exposure to rice farmers in Viet Nam. J. Expo. Sci. Environ. Epidemiol. 2012, 22, 417–423. [Google Scholar] [CrossRef]
- Phung, D.T.; Connell, D.; Miller, G.; Hodge, M.; Patel, R.; Cheng, R.; Abeyewardene, M.; Chu, C. Biological monitoring of chlorpyrifos exposure to rice farmers in Vietnam. Chemosphere 2012, 87, 294–300. [Google Scholar] [PubMed]
- Harrewijn, P.; Kayser, H. Pymetrozine, a fast-acting and selective inhibitor of aphid feeding. In-situ studies with electronic monitoring of feeding behaviour. Pestic. Sci. 1997, 49, 130–140. [Google Scholar]
- Tudi, M. Pesticide Contamination and Environmental Health Risk Assessment in Typical Rice Growing Areas of China; Griffith University Queensland: Brisbane, QLD, Australia, 2021. [Google Scholar]
- Li, C.; Yang, T.; Huangfu, W.; Wu, Y. Residues and dynamics of pymetrozine in rice field ecosystem. Chemosphere 2011, 82, 901–904. [Google Scholar] [CrossRef]
- Shen, G.; Hu, X.; Hu, Y. Kinetic study of the degradation of the insecticide pymetrozine in a vegetable-field ecosystem. J. Hazard. Mater. 2009, 164, 497–501. [Google Scholar] [CrossRef] [PubMed]
- Yu, H.; Sun, H.; Wang, X.; Liang, Y.; Guo, M.; Yu, J.; Yang, M.; Zhang, X.; Luo, F.; Zhou, L. Residue behavior and safety evaluation of pymetrozine in tea. J. Sci. Food Agric. 2021, 101, 4118–4124. [Google Scholar] [PubMed]
- Gong, J.; Zheng, K.; Yang, G.; Zhao, S.; Zhang, K.; Hu, D. Determination, residue analysis, risk assessment and processing factor of pymetrozine and its metabolites in Chinese kale under field conditions. Food Addit. Contam. Part A 2019, 36, 141–151. [Google Scholar]
- Authority, E.F.S. Pesticide risk assessment for the active substance pymetrozine in light of negligible exposure data submitted. EFSA J. 2017, 15, e04678. [Google Scholar]
- Connell, D.W. Environmental routes leading to the bioaccumulation of lipophilic chemicals. In Bioaccumulation of Xenobiotic Compounds; CRC Press: Boca Raton, FL, USA, 2018; pp. 59–74. [Google Scholar]
- Wong, H.L.; Garthwaite, D.G.; Ramwell, C.T.; Brown, C.D. Assessment of exposure of professional agricultural operators to pesticides. Sci. Total Environ. 2018, 619, 874–882. [Google Scholar]
- Abhilash, P.; Singh, N. Pesticide use and application: An Indian scenario. J. Hazard. Mater. 2009, 165, 1–12. [Google Scholar] [CrossRef]
- Kim, K.-H.; Kabir, E.; Jahan, S.A. Exposure to pesticides and the associated human health effects. Sci. Total Environ. 2017, 575, 525–535. [Google Scholar]
- Sugeng, A.J.; Beamer, P.I.; Lutz, E.A.; Rosales, C.B. Hazard-ranking of agricultural pesticides for chronic health effects in Yuma County, Arizona. Sci. Total Environ. 2013, 463, 35–41. [Google Scholar] [CrossRef] [PubMed]
- Jing, X.; Zhang, W.; Xie, J.; Wang, W.; Lu, T.; Dong, Q.; Yang, H. Monitoring and risk assessment of pesticide residue in plant-soil-groundwater systxem about medlar planting in Golmud. Environ. Sci. Pollut. Res. 2021, 28, 26413–26426. [Google Scholar] [CrossRef] [PubMed]
- Hua, D.; Zheng, X.; Zhang, K.; Zhang, Z.; Wan, Y.; Zhou, X.; Zhang, Y.; Wu, Q. Assessing Pesticide Residue and Spray Deposition in Greenhouse Eggplant Canopies to Improve Residue Analysis. J. Agric. Food Chem. 2020, 68, 11920–11927. [Google Scholar] [CrossRef]
- Salman, M.; Abbas, R.Z.; Mehmood, K.; Hussain, R.; Shah, S.; Faheem, M.; Zaheer, T.; Abbas, A.; Morales, B.; Aneva, I. Assessment of avermectins-induced toxicity in animals. Pharmaceuticals 2022, 15, 332. [Google Scholar] [PubMed]
- Rajendra, K.; Pachauri., A.R. Synthesis Report. Contribution of Working Groups I, II and III to the Fourth Assessment Report of the Intergovernmental Panel on Climate Change; IPCC: Geneva, Switzerland, 2007. [Google Scholar]
- Miraglia, M.; Marvin, H.; Kleter, G.; Battilani, P.; Brera, C.; Coni, E.; Cubadda, F.; Croci, L.; De Santis, B.; Dekkers, S. Climate change and food safety: An emerging issue with special focus on Europe. Food Chem. Toxicol. 2009, 47, 1009–1021. [Google Scholar]
- Pachauri, R.K.; Allen, M.R.; Barros, V.R.; Broome, J.; Cramer, W.; Christ, R.; Church, J.A.; Clarke, L.; Dahe, Q.; Dasgupta, P. Climate change 2014: Synthesis report. In Contribution of Working Groups I, II and III to the Fifth Assessment Report of the Intergovernmental Panel on Climate Change; IPCC: Geneva, Switzerland, 2014. [Google Scholar]
- Field, C.B.; Barros, V.R. Climate Change 2014—Impacts, Adaptation and Vulnerability: Regional Aspects; Cambridge University Press: Cambridge, UK, 2014. [Google Scholar]
- Hiraishi, T.; Krug, T.; Tanabe, K.; Srivastava, N.; Baasansuren, J.; Fukuda, M.; Troxler, T. 2013 Supplement to the 2006 IPCC Guidelines for National Greenhouse Gas Inventories: Wetlands; IPCC: Geneva, Switzerland, 2014. [Google Scholar]
- Zhang, X.; Yan, X. Temporal change of climate zones in China in the context of climate warming. Theor. Appl. Climatol. 2014, 115, 167–175. [Google Scholar] [CrossRef]
- Song, W.; Yang, R.; Wu, T.; Wu, C.; Sun, S.; Zhang, S.; Jiang, B.; Tian, S.; Liu, X.; Han, T. Analyzing the effects of climate factors on soybean protein, oil contents, and composition by extensive and high-density sampling in China. J. Agric. Food Chem. 2016, 64, 4121–4130. [Google Scholar] [CrossRef]
- Lok, C.C.; Chan, J.C. Simulating seasonal tropical cyclone intensities at landfall along the South China coast. Clim. Dyn. 2018, 50, 2661–2672. [Google Scholar]
- Li, L.; Li, W.; Tang, Q.; Zhang, P.; Liu, Y. Warm season heavy rainfall events over the Huaihe River Valley and their linkage with wintertime thermal condition of the tropical oceans. Clim. Dyn. 2016, 46, 71–82. [Google Scholar]
- Cao, X.; Wu, P.; Zhou, S.; Han, Z.; Tu, H.; Zhang, S. Seasonal variability of oxygen and hydrogen isotopes in a wetland system of the Yunnan-Guizhou Plateau, southwest China: A quantitative assessment of groundwater inflow fluxes. Hydrogeol. J. 2018, 26, 215–231. [Google Scholar]
- Bodansky, D. The United Nations framework convention on climate change: A commentary. Yale J. Int. L. 1993, 18, 451. [Google Scholar]
- Delcour, I.; Spanoghe, P.; Uyttendaele, M. Literature review: Impact of climate change on pesticide use. Food Res. Int. 2015, 68, 7–15. [Google Scholar] [CrossRef]
- Li, H.; Liu, L.; Shan, B.; Xu, Z.; Niu, Q.; Cheng, L.; Liu, X.; Xu, Z. Spatiotemporal variation of drought and associated multi-scale response to climate change over the Yarlung Zangbo River Basin of Qinghai–Tibet Plateau, China. Remote Sens. 2019, 11, 1596. [Google Scholar] [CrossRef]
- Qin, J.; Ding, Y.; Han, T.; Liu, Y. Identification of the factors influencing the baseflow in the permafrost region of the northeastern qinghai-tibet plateau. Water 2017, 9, 666. [Google Scholar] [CrossRef]
- Xie, J.; Xu, Y.-P.; Guo, Y.; Wang, Y.; Chen, H. Understanding the impact of climatic variability on terrestrial water storage in the Qinghai-Tibet Plateau of China. Hydrol. Sci. J. 2022, 67, 963–978. [Google Scholar] [CrossRef]
- Yao, R.; Wang, L.; Huang, X.; Chen, J.; Li, J.; Niu, Z. Less sensitive of urban surface to climate variability than rural in Northern China. Sci. Total Environ. 2018, 628, 650–660. [Google Scholar] [CrossRef]
- Panagos, P.; Borrelli, P.; Meusburger, K.; Yu, B.; Klik, A.; Jae Lim, K.; Yang, J.E.; Ni, J.; Miao, C.; Chattopadhyay, N. Global rainfall erosivity assessment based on high-temporal resolution rainfall records. Sci. Rep. 2017, 7, 4175. [Google Scholar] [CrossRef]
- Yang, X.; Ruby Leung, L.; Zhao, N.; Zhao, C.; Qian, Y.; Hu, K.; Liu, X.; Chen, B. Contribution of urbanization to the increase of extreme heat events in an urban agglomeration in east China. Geophys. Res. Lett. 2017, 44, 6940–6950. [Google Scholar] [CrossRef]
- Zhang, Y.; Meyers, P.A.; Liu, X.; Wang, G.; Ma, X.; Li, X.; Yuan, Y.; Wen, B. Holocene climate changes in the central Asia mountain region inferred from a peat sequence from the Altai Mountains, Xinjiang, northwestern China. Quat. Sci. Rev. 2016, 152, 19–30. [Google Scholar] [CrossRef]
- Zhang, Y.; Wang, Y. Climate-driven ground-level ozone extreme in the fall over the Southeast United States. Proc. Natl. Acad. Sci. USA 2016, 113, 10025–10030. [Google Scholar] [CrossRef]
- Wang, Y.-m.; Li, Y.-j.; Cheng, S.-j.; Yang, F.-t.; Chen, Y.-t. Effects of spatial-temporal imperviousness on hydrological responses of various areas in an urbanized watershed. Water Resour. Manag. 2015, 29, 3551–3567. [Google Scholar] [CrossRef]
- Lam, P.; Sokhansanj, S.; Bi, X.; Lim, C.; Naimi, L.; Hoque, M.; Mani, S.; Womac, A.R.; Narayan, S.; Ye, X. Bulk density of wet and dry wheat straw and switchgrass particles. Appl. Eng. Agric. 2008, 24, 351–358. [Google Scholar] [CrossRef]
- Bernardes, M.F.F.; Pazin, M.; Pereira, L.C.; Dorta, D.J. Impact of pesticides on environmental and human health. In Toxicology Studies—Cells, Drugs and Environment; InTech: London, UK, 2015. [Google Scholar]
- Handford, C.E.; Elliott, C.T.; Campbell, K. A review of the global pesticide legislation and the scale of challenge in reaching the global harmonization of food safety standards. Integr. Environ. Assess. Manag. 2015, 11, 525–536. [Google Scholar] [CrossRef] [PubMed]
- Turner, M.; Longstreth, J.; Johnson, A.; Rosenberg, N. Dust Bowl Migration as an Analog for Possible Global Warming-Induced Migration from Mexico; Pacific Northwest Lab.: Richland, WA, USA, 1994. [Google Scholar]
- Eid, H.M.; El-Marsafawy, S.M.; Ouda, S.A. Assessing the economic impacts of climate change on agriculture in Egypt: A Ricardian approach. World Bank Policy Research Working Paper, 2007. Available online: https://elibrary.worldbank.org/doi/abs/10.1596/1813-9450-4293 (accessed on 14 July 2023).
- Uram, C. International regulation of the sale and use of pesticides. Nw. J. Int. L. Bus. 1989, 10, 460. [Google Scholar]
- Dworak, V.; Selbeck, J.; Dammer, K.-H.; Hoffmann, M.; Zarezadeh, A.A.; Bobda, C. Strategy for the development of a smart NDVI camera system for outdoor plant detection and agricultural embedded systems. Sensors 2013, 13, 1523–1538. [Google Scholar] [CrossRef] [PubMed]
- Franzluebbers, A.J.; Haney, R.L.; Honeycutt, C.W.; Arshad, M.; Schomberg, H.H.; Hons, F.M. Climatic influences on active fractions of soil organic matter. Soil Biol. Biochem. 2001, 33, 1103–1111. [Google Scholar] [CrossRef]
- Melillo, J.M.; Steudler, P.; Aber, J.D.; Newkirk, K.; Lux, H.; Bowles, F.; Catricala, C.; Magill, A.; Ahrens, T.; Morrisseau, S. Soil warming and carbon-cycle feedbacks to the climate system. Science 2002, 298, 2173–2176. [Google Scholar] [CrossRef]
- Lobell, D.B.; Gourdji, S.M. The influence of climate change on global crop productivity. Plant Physiol. 2012, 160, 1686–1697. [Google Scholar] [CrossRef]
- Challinor, A.J.; Watson, J.; Lobell, D.B.; Howden, S.; Smith, D.; Chhetri, N. A meta-analysis of crop yield under climate change and adaptation. Nat. Clim. Chang. 2014, 4, 287–291. [Google Scholar] [CrossRef]
- Prasannakumar, N.; Chander, S.; Pal, M. Assessment of impact of climate change with reference to elevated CO2 on rice brown planthopper, Nilaparvata lugens (Stal.) and crop yield. Curr. Sci. 2012, 103, 1201–1205. [Google Scholar]
- Ghini, R.; Bettiol, W.; Hamada, E. Diseases in tropical and plantation crops as affected by climate changes: Current knowledge and perspectives. Plant Pathol. 2011, 60, 122–132. [Google Scholar]
- Alford, L.; Burel, F.; Van Baaren, J. Improving methods to measure critical thermal limits in phloem-feeding pest insects. Entomol. Exp. Et Appl. 2016, 159, 61–69. [Google Scholar] [CrossRef]
- Ali, M.; Huang, D.; Nachman, G.; Ahmed, N.; Begum, M.A.; Rabbi, M. Will climate change affect outbreak patterns of planthoppers in Bangladesh? PLoS ONE 2014, 9, e91678. [Google Scholar] [CrossRef] [PubMed]
- Babenko, A. The agricultural pests of West Siberia in a changing climate. Int. J. Environ. Stud. 2009, 66, 495–501. [Google Scholar] [CrossRef]
- Patterson, D.; Westbrook, J.; Joyce, R.; Lingren, P.; Rogasik, J. Weeds, insects, and diseases. Clim. Chang. 1999, 43, 711–727. [Google Scholar] [CrossRef]
- Hakala, K.; Hannukkala, A.; Huusela-Veistola, E.; Jalli, M.; Peltonen-Sainio, P. Pests and diseases in a changing climate a major challenge for Finnish crop production. Agric. Food Sci. 2011, 20, 3–14. [Google Scholar] [CrossRef]
- Hirschi, M.; Stoeckli, S.; Dubrovsky, M.; Spirig, C.; Calanca, P.; Rotach, M.; Fischer, A.; Duffy, B.; Samietz, J. Downscaling climate change scenarios for apple pest and disease modeling in Switzerland. Earth Syst. Dyn. 2012, 3, 33–47. [Google Scholar] [CrossRef]
- Huang, J.; Tardif, J.C.; Bergeron, Y.; Denneler, B.; Berninger, F.; Girardin, M.P. Radial growth response of four dominant boreal tree species to climate along a latitudinal gradient in the eastern Canadian boreal forest. Glob. Chang. Biol. 2010, 16, 711–731. [Google Scholar] [CrossRef]
- Norton, M.; van Sprundel, G.-J.; Turvey, C.G.; Meuwissen, M.P. Applying weather index insurance to agricultural pest and disease risks. Int. J. Pest Manag. 2016, 62, 195–204. [Google Scholar] [CrossRef]
- Johnson, S.N.; Jones, T.H. Global Climate Change and Terrestrial Invertebrates; John Wiley & Sons: Hoboken, NJ, USA, 2017. [Google Scholar]
- Luck, J.; Spackman, M.; Freeman, A.; Trebicki, P.; Griffiths, W.; Finlay, K.; Chakraborty, S. Climate change and diseases of food crops. Plant Pathol. 2011, 60, 113–121. [Google Scholar] [CrossRef]
- Juroszek, P.; von Tiedemann, A. Climate change and potential future risks through wheat diseases: A review. Eur. J. Plant Pathol. 2013, 136, 21–33. [Google Scholar] [CrossRef]
- Rosenzweig, C.; Iglesius, A.; Yang, X.-B.; Epstein, P.R.; Chivian, E. Climate Change and Extreme Weather Events-Implications for Food Production, Plant Diseases, and Pests; National Aeronautics and Space Administration: Washington, DC, USA, 2001. [Google Scholar]
- Kremer, P.; Schlüter, J.; Racca, P.; Fuchs, H.-J.; Lang, C. Possible impact of climate change on the occurrence and the epidemic development of cercospora leaf spot disease (Cercospora beticola sacc.) in sugar beets for Rhineland-Palatinate and the southern part of Hesse. Clim. Chang. 2016, 137, 481–494. [Google Scholar] [CrossRef]
- Legrève, A.; Duveiller, E. Preventing potential diseases and pest epidemics under a changing climate. Clim. Chang. Crop Prod. 2010, 1, 50–70. [Google Scholar]
- Sadler, R.; Gabric, A.; Shaw, G.; Shaw, E.; Connell, D. An opinion on the distribution and behavior of chemicals in response to climate change, with particular reference to the Asia-Pacific region. Toxicol. Environ. Chem. 2011, 93, 3–31. [Google Scholar] [CrossRef][Green Version]
- Yi, H.; Devkota, B.R.; Yu, J.s.; Oh, K.c.; Kim, J.; Kim, H.J. Effects of global warming on mosquitoes & mosquito-borne diseases and the new strategies for mosquito control. Entomol. Res. 2014, 44, 215–235. [Google Scholar]
- West, J.S.; Townsend, J.A.; Stevens, M.; Fitt, B.D. Comparative biology of different plant pathogens to estimate effects of climate change on crop diseases in Europe. Eur. J. Plant Pathol. 2012, 133, 315–331. [Google Scholar] [CrossRef]
- Newton, A.C.; Johnson, S.N.; Gregory, P.J. Implications of climate change for diseases, crop yields and food security. Euphytica 2011, 179, 3–18. [Google Scholar] [CrossRef]
- Martínez-Megías, C.; Mentzel, S.; Fuentes-Edfuf, Y.; Moe, S.J.; Rico, A. Influence of climate change and pesticide use practices on the ecological risks of pesticides in a protected Mediterranean wetland: A Bayesian network approach. Sci. Total Environ. 2023, 878, 163018. [Google Scholar] [CrossRef]
- Chen, C.-C.; McCarl, B.A. An investigation of the relationship between pesticide usage and climate change. Clim. Chang. 2001, 50, 475–487. [Google Scholar] [CrossRef]
- Ma, C.-S.; Zhang, W.; Peng, Y.; Zhao, F.; Chang, X.-Q.; Xing, K.; Zhu, L.; Ma, G.; Yang, H.-P.; Rudolf, V.H. Climate warming promotes pesticide resistance through expanding overwintering range of a global pest. Nat. Commun. 2021, 12, 5351. [Google Scholar] [CrossRef]
- Noyes, P.D.; McElwee, M.K.; Miller, H.D.; Clark, B.W.; Van Tiem, L.A.; Walcott, K.C.; Erwin, K.N.; Levin, E.D. The toxicology of climate change: Environmental contaminants in a warming world. Environ. Int. 2009, 35, 971–986. [Google Scholar] [CrossRef] [PubMed]
- Bloomfield, J.; Williams, R.; Gooddy, D.; Cape, J.; Guha, P. Impacts of climate change on the fate and behaviour of pesticides in surface and groundwater—A UK perspective. Sci. Total Environ. 2006, 369, 163–177. [Google Scholar] [CrossRef] [PubMed]
- Gagnon, P.; Sheedy, C.; Rousseau, A.N.; Bourgeois, G.; Chouinard, G. Integrated assessment of climate change impact on surface runoff contamination by pesticides. Integr. Environ. Assess. Manag. 2016, 12, 559–571. [Google Scholar] [CrossRef] [PubMed]
- Chen, B. Climate Change and Pesticide Loss in Watershed Systems: A Simulation Modeling Study. J. Environ. Inform. 2007, 10, 55–67. [Google Scholar] [CrossRef]
- Marvin, H.J.; Kleter, G.A.; Noordam, M.Y.; Franz, E.; Willems, D.J.; Boxall, A. Proactive systems for early warning of potential impacts of natural disasters on food safety: Climate-change-induced extreme events as case in point. Food Control 2013, 34, 444–456. [Google Scholar] [CrossRef]
- Lennon, J.J. Potential impacts of climate change on agriculture and food safety within the island of Ireland. Trends Food Sci. Technol. 2015, 44, 1–10. [Google Scholar] [CrossRef]
- Staudinger, J.; Roberts, P.V. A critical compilation of Henry’s law constant temperature dependence relations for organic compounds in dilute aqueous solutions. Chemosphere 2001, 44, 561–576. [Google Scholar] [CrossRef]
- Tan, H.; Cao, Y.; Tang, T.; Qian, K.; Chen, W.L.; Li, J. Biodegradation and chiral stability of fipronil in aerobic and flooded paddy soils. Sci. Total Environ. 2008, 407, 428–437. [Google Scholar] [CrossRef]
- Liu, X.; Xu, X.; Li, C.; Zhang, H.; Fu, Q.; Shao, X.; Ye, Q.; Li, Z. Degradation of chiral neonicotinoid insecticide cycloxaprid in flooded and anoxic soil. Chemosphere 2015, 119, 334–341. [Google Scholar] [CrossRef]
- Rhodes, C.J. Soil erosion, climate change and global food security: Challenges and strategies. Sci. Prog. 2014, 97, 97–153. [Google Scholar] [CrossRef]
- Sistla, S.A.; Moore, J.C.; Simpson, R.T.; Gough, L.; Shaver, G.R.; Schimel, J.P. Long-term warming restructures Arctic tundra without changing net soil carbon storage. Nature 2013, 497, 615–618. [Google Scholar] [CrossRef] [PubMed]
Disclaimer/Publisher’s Note: The statements, opinions and data contained in all publications are solely those of the individual author(s) and contributor(s) and not of MDPI and/or the editor(s). MDPI and/or the editor(s) disclaim responsibility for any injury to people or property resulting from any ideas, methods, instructions or products referred to in the content. |
© 2023 by the authors. Licensee MDPI, Basel, Switzerland. This article is an open access article distributed under the terms and conditions of the Creative Commons Attribution (CC BY) license (https://creativecommons.org/licenses/by/4.0/).

















