Abstract
The aim of the studies was to evaluate the effects of acetic acid treatments on the quality of stored onion seeds. Seeds of two samples were soaked for 30 min in 0.25, 0.5, 1 and 2% acetic acid solutions. Controls included untreated seeds, seeds soaked in distilled water and seeds treated with fungicide Zaprawa Nasienna T 75 WS/DS (a.i. 75% thiram). Germination, vigour and health of untreated and treated seeds were evaluated before and after 2, 6 and 12 months of storage at 4 and 20 °C. Treating onion seeds with acetic acid solutions, especially at the concentrations of 1 and 2%, reduced their infestation with Alternaria alternata, Botrytis cinerea, Cladosporium spp., Penicillium spp. and Stemphylium botryosum after storage at both temperatures. Seeds stored at 20 °C showed lower infestation with fungi than seeds stored at 4 °C. The acetic acid treatments did not have any adverse effect on germination and vigour of stored onion seeds. In some cases, the increase in germination at the first and final counts and the improvement in mean germination time were observed.
1. Introduction
Onion (Allium cepa L.) is an important food crop worldwide. The main reasons of poor quality of onion seeds are a fast deterioration, faster than in other crops, when stored under adverse conditions [1,2]. Seed moisture content and storage temperature are principal factors that affect viability of onion seeds [2]. Thirusendura Selvi and Saraswathy [2] reported that onion seeds can maintain their vigour and germination for more than one year, when they are dried to 6% moisture content and stored at 4–15 °C. According to Elias and Copeland [3] storage temperature of 5 °C is sufficient to decelerate the biochemical, cytological and physiological processes that decrease seed viability. The deterioration processes in seeds include: DNA damages (e.g., autolysis, hydrolytic damage), membrane damages (e.g., free radical peroxidation by autooxidation and lipoxygenase), changes in respiration activity (e.g., damage of mitochondrial membranes, damage to respiratory enzymes), enzyme and protein changes (e.g., loss of membrane-based organizations in cells), hormonal changes and production of toxic metabolites as the products of deteriorative reactions and failure of detoxification system [4,5,6]. They may cause seedling deformation and finally lead to loss of seed viability [7,8]. The control of seed infestation with fungi during storage is also very important. Seed-borne fungi Botrytis allii Munn, B. byssoidea Walker and B. cinerea Pers. are responsible for onion neck rot, grey mould and seedling damping-off, Fusarium spp. cause Fusarium basal rot, whereas Stemphylium botryosum Wallr. (anamorph Pleospora tarda E.G. Simmons) is a causing agent of leaf mould and black stalk rot [9,10]. Moreover, numerous saprotrophic fungi have been detected on onion seeds: Alternaria spp., Aspergillus spp., Cladosporium spp., Epicoccum nigrum Link, Penicillium spp. and Rhizopus spp. [11,12]. Out of them, Aspergillus spp. and Penicillium spp., can considerably affect seed storability. Mycotoxins, produced by these fungi, are responsible for cell apoptosis by protein targeting, the membrane destructure and cytoskeleton disintegration [13].
Chemical seed treatment is one of the most effective and cheapest method of maintaining seed health in storage [14]. Despite the effective protection of seeds against fungi, the chemical method may have an adverse influence on people and the environment. Moreover, the synthetic chemicals are forbidden in organic farming, therefore other plant protection agents are constantly being searched. Weak organic acids are commonly used as food preservative agents; they inhibit microbial growth and mycotoxins production, by reducing cytoplasmic pH and decreasing metabolic activities [15,16]. Acetic acid is a clear, colourless, carboxylic acid well known for its antimicrobial properties. Vinegar, widely used as a spice and a food preservative, is 4–6% diluted acetic acid solution [17]. It has been confirmed that acetic acid is effective in controlling common bunt in wheat (Tilletia tritici (Bjerk.) G. Winter), leaf stripe in barley (Pyrenophora graminea S. Ito and Kurib.) [18,19], Aspergillus flavus Link on maize, rice, wheat and canola seeds [20], Alternaria spp., Cladosporium spp., Fusarium spp. and Melanospora simplex (Corda) D. Hawksw.) on zinnia seeds [21]. Abdalla et al. [22] reported the high efficacy of 5% acetic acid in controlling the growth of bacteria responsible for soft root rot disease in sugar beet: Erwinia carotovora subsp. carotovora, E. carotovora subsp. betavasculorum and Burholderia cepacia. Additionally, D’Agate and Lake [23] found that presoaking maize seeds in 5% acetic acid solution improved seed development and seedlings’ drought tolerance. Gonzales [24] observed positive effects of priming of eggplant seeds in 0.001% acetic acid solution on the germination percentage and rate. Based on the literature analysis, it seems reasonable to assume that the use of acetic acid could improve the quality of stored onion seeds. Therefore, the goal of our experiment was to investigate the influence of acetic acids treatments on germination, vigour and health of onion seeds stored at 4 and 20 °C for 2, 6 and 12 months.
2. Materials and Methods
Two standard onion seed samples cv. Octavia (sample I) and cv. Torunianka (sample II), acquired from TORSEED S.A. in Toruń, Poland, were applied in the study. The samples varied in the level of seed infestation with fungi. Seed were treated with acetic acid (99.8%), obtained from Sigma-Aldrich Co., St. Louis, MI, USA. Additionally, fungicide Zaprawa Nasienna T 75 WS/DS (a.i. 75% thiram), acquired from Organika-Azot in Jaworzno, Poland, was a control.
Seeds were soaked in solutions of acetic acid (AA) at the concentrations of 0.25, 0.5, 1 and 2% (pH values of the solutions at 24.5 °C were 3.29, 3.16, 3.06 and 2.91, respectively) for 30 min. Afterwards, the seeds were rinsed three times with sterile distilled water. The controls were untreated seeds, seeds dipped in distilled water for 30 min, and seeds treated with the fungicide (3 g kg−1 of seeds). Seeds dipped in AA solutions and in distilled water were dried at 20 °C and 45% relative humidity for 48 h. The low-constant-temperature oven method was applied to determine moisture content of dried seeds [25]. The values of seed moisture content ranged from 8.0 to 8.3% in sample I and from 8.0 to 8.6% in sample II, depending on the treatment.
Untreated and treated seeds were stored in sterile airtight polypropylene containers at 4 and 20 °C. The temperature 4 °C was used as optimal for onion seed storage [2,26], whereas 20 °C was applied as a temperature commonly used in practice, in open seed storage. Seed germination and vigour and the incidence of fungi on seeds were evaluated before and after 2, 6 and 12 months of storage.
Seed germination was tested according to ISTA Rules [25]. In each treatment 300 seeds (6 replicates of 50) were evaluated. They were placed in 9 cm diameter Petri dishes on six layers of blotter paper moistened with distilled water, 50 seeds per a dish, and incubated at 20 °C in darkness. Germination at the first count was evaluated after 6 days, whereas germination at the final count (the percentage of normal seedlings) and the percentages of abnormal diseased and deformed seedlings were determined after 12 days.
Six replicates of 50 seeds were used also to determine seed vigour. Seeds were incubated for 12 days in the same way as in the germination test. The seeds with visible radicle (1–2 mm long) were counted daily and removed from Petri dishes. To assess speed of germination, the Pieper coefficient was used, i.e., mean germination time (MGT) of one seed was calculated according to the formula:
where: ”dn” is the day from the start of seed germination and “an” is the number of seeds germinated on day “n”.
MGT = Σ(dn·an)/Σan,
Four replicates of 50 seeds were used in health test. Seeds were placed on the potato dextrose agar (PDA; 39 g PDA 1−1 distilled water) in Petri dishes (9 cm diameter) and incubated for 10 days at 20 °C under 12 h alternating cycle of near ultraviolet light and darkness. In each Petri dish 10 seeds were plated. NUV light was used to stimulate fungal sporulation. PDA medium was supplemented with streptomycin sulfate (100 ppm) to control the growth of bacteria. Identification of fungi after incubation was carried out on the basis of their sporulation and colony features. Stereoscopic and compound microscopes were used for fungal identification following ISTA recommendations [27,28].
SeedCalculator version 2.1 software [29] was used to calculate MGT. Seed quality data determined before storage were compared with one-way ANOVA. Two-way ANOVA was applied to analyse the results obtained for stored seeds. The differences between the means, at a level α = 0.05, were estimated with Duncan’s multiple range test.
3. Results
3.1. Seed Germination and Vigour
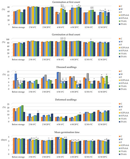
Treating seeds of sample I with acetic acid (AA) before storage did not affect germination at the first and final counts, the percentage of deformed seedlings and mean germination time (MGT). Acetic acid applied at the concentrations of 0.25 and 0.5% reduced the percentage of diseased seedlings, whereas soaking seeds in water increased the number of these seedlings (Figure 1).
Figure 1.
The impact of acetic acid treatments (AA) on sample I seed germination and vigour before and after storage for 2, 6 and 12 months (M) at 4 and 20 °C. Statistically significant differences, separately for non-stored seeds as well as for each storage period and storage temperature, were marked with: “o”—in relation to untreated seeds (C), “×”—in relation to water control (W), “□”—in relation to fungicide (F).
After 2 months of storage, none of the treatments affected sample I seed germination at the first count. However, after 6 months of storage, mean values of this parameter for seeds treated with AA solutions at the concentrations of 0.25, 0.5 and 1% were significantly higher than those for the untreated seeds, seeds soaked in water and treated with the fungicide. Mean germination at the first count of seeds treated with 0.25, 0.5 and 2% AA solutions, and stored for 12 months, was higher compared to the untreated seeds. None of the applied treatments affected germination at the final count of stored seeds in comparison with the untreated seeds. The reduction in the mean percentage of diseased seedlings, in relation to the untreated seeds, was observed after 2 months’ storage of seeds treated with 2% AA and after 6 months of storage in the case of seeds treated with solutions at the concentrations of 0.5 and 1%. None of the applied treatments affected the percentage of deformed seedlings in sample I after storage (Figure 1, Table 1).
Table 1.
The impact of acetic acid treatments on sample I seed germination and vigour after storage—means for treatments.
Acetic acid treatments did not have a negative effect on a vigour of stored seeds of sample I. MGT of seeds treated with 1 and 2% AA and stored for 6 months at 4 °C, as well as seeds treated with the solutions at the concentrations of 0.25, 0.5 and 1% and stored for 6 months at 20 °C was even lower than the value of this parameter for the untreated seeds. The reduction in MGT was observed also after 0.5 and 1% treatments followed by one year storage at 20 °C (Figure 1, Table 1).
The influence of storage temperature on sample I seed germination at the first count was differentiated. After 6 months mean germination at the first count of seeds stored at 4 °C was lower than that for seeds stored at 20 °C, while after 12 months it was the opposite. Seeds stored for 2 months at 4 °C showed higher mean germination at the final count than seeds stored at 20 °C. After 2 months the mean percentage of diseased seedlings for seeds stored at 20 °C was higher than that for seeds stored at 4 °C, but after 6 months it was opposite. After 2 and 6 months, the average value of MGT of seeds stored at 20 °C was in both samples significantly lower than that of seeds stored at 4 °C (Table 2).
Table 2.
The impact of acetic acid treatments on sample I seed germination and vigour after storage—means for storage temperatures.
Treating seeds of sample II with AA before storage did not affect germination at the first and final counts, the percentage of deformed seedlings and MGT. Acetic acid applied at the concentrations of 0.25 and 0.5% reduced the percentage of diseased seedlings (Figure 2).

Figure 2.
The impact of acetic acid treatments (AA) on sample II seed germination and vigour before and after storage for 2, 6 and 12 months (M) at 4 and 20 °C. Statistically significant differences, separately for non-stored seeds as well as for each storage period and storage temperature, were marked with: “o”—in relation to untreated seeds (C), “×”—in relation to water control (W), “□”—in relation to fungicide (F).
Treating sample II seeds with AA solutions, notwithstanding of the concentration, did not influence germination at the first and final counts after 2 and 12 months of storage in relation to the untreated seeds. Only seeds treated with 0.25% solution showed the increase in germination at the final count after one year storage at 20 °C. However, AA treatments improved both parameters in the case of seeds stored for 6 months. All AA treatments decreased the number of diseased seedlings after 6 months of storage. The significantly lower mean percentage of diseased seedlings was noted also for seeds treated with 0.25% solution and stored for 2 months. None of the applied treatments affected the percentage of deformed seedlings after storage (Figure 2, Table 3).
Table 3.
The impact of acetic acid treatments on sample II seed germination and vigour after storage—means for treatments.
Acetic acid treatments did not have a negative effect on a vigour of stored seeds. In sample II the decrease in MGT was found after treating seeds with 0.5 and 2% AA and storing them for 2 months at 4 °C, after AA treatments, irrespective of the solution’s concentration, followed by 6 months of storage at 20 °C, as well as in the case of seeds treated with 0.25 and 1% solutions and stored for 12 months at 20 °C (Figure 2, Table 3).
After 6 months’ mean germination, at the first and final counts of seeds stored at 4 °C was lower than those for seeds stored at 20 °C, while after 12 months it was the opposite. After 6 months, the mean percentage of diseased seedlings for seeds stored at 20 °C was lower than that for seeds stored at 4 °C. After 12 months, the mean percentage of deformed seedlings for seeds stored at 4 °C was lower than for seeds stored at 20 °C. After 2 and 6 months, the average value of MGT of seeds stored at 20 °C was in both samples significantly lower than that of seeds stored at 4 °C. However, after 12 months of storage it was the opposite (Table 4).
Table 4.
The impact of acetic acid treatments on sample II seed germination and vigour after storage—means for storage temperatures.
3.2. Seed Health
Numerous fungi were identified on untreated seeds of both samples; however, Alternaria alternata (Fr.) Keissler, Botrytis cinerea Pers, Cladosporium spp., Penicillium spp. and Stemphylium botryosum Wallr. were detected the most often. Seed infestation with A. alternata in sample I was considerably higher than in sample II, while sample II seeds were infested with Penicillium spp. and S. botryosum to a greater extent. Treating seeds with AA solutions, notwithstanding of the concentration, decreased significantly the incidence of A. alternata, Cladosporium spp. and S. botryosum in both samples in comparison with the untreated seeds, seeds dipped in water and the fungicide control, and reduced the occurrence of B. cinerea in relation to the untreated seeds. Sample II seeds treated with AA solutions at the concentrations of 0.25 and 0.5% showed higher infestation with Penicillium spp. than seeds in all control treatments, whereas the application of 2% solution decreased the incidence of these fungi in relation to the untreated seeds and water control. Acetic acid treatments, irrespective of the solution’s concentration, increased the percentage of seeds free of fungi in relation to the untreated seeds and seeds dipped in water. In sample I, all AA treatments and the highest concentration of AA in the case of sample II, increased the number of these seeds also in relation to the fungicide control (Figure 3 and Figure 4).

Figure 3.
The impact of acetic acid treatments (AA) on sample I seed infestation with fungi and the percentage of seeds free of fungi before and after storage for 2, 6 and 12 months (M) at 4 and 20 °C. Statistically significant differences, separately for non-stored seeds as well as for each storage period and storage temperature, were marked with: “o”—in relation to untreated seeds (C), “×”—in relation to water control (W), “□”—in relation to fungicide (F).

Figure 4.
The impact of acetic acid treatments (AA) on sample II seed infestation with fungi and the percentage of seeds free of fungi before and after storage for 2, 6 and 12 months (M) at 4 and 20 °C. Statistically significant differences, separately for non-stored seeds as well as for each storage period and storage temperature, were marked with: “o”—in relation to untreated seeds (C), “×”—in relation to water control (W), “□”—in relation to fungicide (F).
Infestation of untreated sample I seeds with A. alternata and Cladosporium spp. decreased during storage. Mean percentages of seed infested with these fungi after 2 months of storage were higher than after 12 months. It was opposite in the case of Penicillium spp. All AA treatments decreased infestation of stored onion seeds with Alternaria alternata and generally were more effective than the fungicide. The application of AA solutions at the concentrations of 1 and 2% eradicated A. alternata in seeds stored at 4 and 20 °C for 6 and 12 months. This fungus was also not detected after 6 and 12 months of storage at 20 °C on seeds treated with AA solutions at the concentrations of 0.25 and 0.5%. Fungicide treatment eradicated Botrytis cinerea in stored onion seeds. This pathogen was not observed on sample I seeds treated with AA solutions at the concentrations of 0.5, 1 and 2% after storage for 2, 6 and 12 months (except 0.5% treatment and storage for 6 months at 4 °C) and on seeds treated with 0.25% solution and stored for 6 and 12 months. The increase in seed infestation with B. cinerea, compared with the untreated seeds and the fungicide control, was noted only after 0.25% AA treatment and storage for 2 months. Acetic acid treatments significantly decreased infestation of stored seeds with Cladosporium spp. Fungi of this genus infested 66% of seeds before storage but were not detected on seeds treated with AA solutions at the concentrations of 1 and 2% and stored at 20 °C for 2 months, and at 4 and 20 °C for 6 and 12 months. These treatments were as effective as the fungicide. Cladosporium spp. were not observed either on seeds treated with AA solutions at the lower concentrations and stored at 20 °C for 6 months and at both temperatures for 12 months. Treating seeds of sample I with AA solutions, irrespective of the concentration, reduced their infestation with Penicillium spp. after 6 months of storage at 20 °C compared to the untreated seeds, and after 12 months of storage at 4 °C in relation to all controls. Generally, the fungi were not observed after one year storage at 20 °C. Acetic acid at the highest concentration also decreased the incidence of Penicillium spp. after 2 and 6 months of seed storage at 4 °C. The application of AA solutions, especially at the higher concentrations, reduced the incidence of Stemphylium botryosum in stored seeds. The fungus was not observed after storage on seeds treated with AA at the concentrations of 1 and 2%. The higher seed infestation with S. botryosum, in comparison with the untreated seeds, was found only in the case of seeds treated with 0.25% AA and stored for 2 months at 4 °C (Figure 3, Table 5).
Table 5.
The impact of acetic acid treatments on sample I seed infestation with fungi (%) and the percentage of seeds free of fungi after storage—means for treatments.
In sample I all AA treatments increased the percentage of seeds free of fungi after storage in relation to the untreated seeds and water control. The growth in the number of these seeds in relation to the fungicide control was found in the case of seeds treated with 2% AA and stored for 6 months at 4 °C, seeds treated with all AA solutions and stored for 6 months at 20 °C, as well as after 0.5 and 1% AA treatments followed by storage at 4 °C for 12 months (Figure 3, Table 5).
Mean percentage of sample I seeds infested with B. cinerea after storage at 20 °C for 6 months was lower than after storage at 4 °C. Moreover, the pathogen was not detected on seeds stored at 20 °C for 6 and 12 months. Mean percentages seeds infested with A. alternata, Cladosporium spp., Penicillium spp. and S. botryosum after storage at 20 °C were lower than after storage at 4 °C. Mean percentage of seeds free of fungi after storage at 20 °C was higher than after storage at 4 °C (Table 6).
Table 6.
The impact of acetic acid treatments on sample I seed infestation with fungi (%) and the percentage of seeds free of fungi after storage—means for storage temperatures.
Infestation of sample II seeds with B. cinerea, Cladosporium spp., Penicillium spp. and S. botryosum decreased during storage. Mean percentages of seed infested with these fungi after 2 months of storage were higher than after 12 months. All AA treatments decreased infestation of stored onion seeds with Alternaria alternata. The application of AA solutions at the concentrations of 1 and 2% eradicated this fungus in seeds stored at 4 and 20 °C for 6 and 12 months. Alternaria alternata was not detected either after 6 or 12 months of storage at 20 °C on seeds treated with 0.5% AA. Fungicide treatment eliminated Botrytis cinerea in stored seeds. Acetic acid treatments, irrespective of the solution’s concentration, also significantly decreased the incidence of this fungus in the seeds. In most cases the pathogen was eradicated, especially when the higher concentrations of the solutions were used. The increase in seed infestation was observed only after 0.25% treatment and storage at 4 °C for 6 and 12 months. Acetic acid treatments diminished infestation of stored seeds with Cladosporium spp. Only seeds treated with 0.5% AA showed higher infestation with these fungi after two months’ storage at 20 °C, compared to the untreated seeds. Treating seeds of with AA solutions, regardless of the concentration, reduced their infestation with Penicillium spp. after 6 and 12 months of storage at 20 °C in comparison with the untreated seeds. Acetic acid at the highest concentration also decreased the incidence of Penicillium spp. after 6 and 12 months of storage 4 °C. On the other hand, the application of 2% AA resulted in the increase in seed infestation with these fungi after 2 months of storage at 4 °C compared to all controls. The application of AA solutions, especially at the higher concentrations, also reduced incidence of S. botryosum in stored onion seeds. Seeds treated with AA at the higher concentrations were generally free of S. botryosum after 6 and 12 months of storage (Figure 4, Table 7).
Table 7.
The impact of acetic acid treatments on sample II seed infestation with fungi (%) and the percentage of seeds free of fungi after storage—means for treatments.
In sample II the increase in the percentage of seeds free of fungi, in relation to the untreated seeds, was observed when seeds were treated with 1 and 2% AA and stored for 2 months at 4 °C and after 0.25% treatment and storage for 2 months at 20 °C. Moreover, the higher number of these seeds was noted after treating seeds with AA solutions at the concentrations of 0.25, 0.5 and 2% and 6 months of storage at 20 °C, after 2% treatment followed by 12 months of storage at 4 °C, as well as in the case of seeds treated with all AA solutions and stored for 12 months at 20 °C. However, the fungicide was predominantly more effective than AA treatments (Figure 4, Table 7).
Mean percentage of sample II seeds infested with B. cinerea after storage at 20 °C for 6 months was lower than after storage at 4 °C, and the pathogen was not detected on seeds stored at 20 °C for 6 and 12 months. Mean percentages of seeds infested with A. alternata, Cladosporium spp., Penicillium spp. and S. botryosum after storage at 20 °C were lower than after storage at 4 °C. Mean percentage of seeds free of fungi after storage at 20 °C was higher than after storage at 4 °C (Table 8).
Table 8.
The impact of acetic acid treatments on sample II seed infestation with fungi (%) and the percentage of seeds free of fungi after storage—means for storage temperatures.
4. Discussion
Numerous fungi were detected on stored onion seeds. Pathogenic Botrytis cinerea, and Stemphylium botryosum, and saprotrophic Alternaria alternata, Cladosporium spp., and Penicillium spp. were dominant. Fungi of the genus Penicillium belong to storage fungi, which invade and destroy seeds, especially when they are stored under unfavourable conditions [30,31]. Infestation of seeds with these fungi may result in seed deterioration, i.e., loss of germination capacity and vigour, biochemical changes and accumulation of toxins [14,30]. Fungi of the genus Penicillium produce several mycotoxins, such as citrinin, cyclopiazonic acid, ochratoxin A, patulin, penicillic acid, penitrem A, roquefortine, frequentin, palitantin, mycophenolic acid, viomellein, gliotoxin, citreoviridin and rubratoxin B. These toxins may cause inhibition of protein, RNA and DNA synthesis, induce oxidative cell damage, affect negatively seeds and seedlings respiration and inhibit enzymes activity [32]. Botrytis spp. and Penicillium spp. have been also observed on onion seeds stored for 6 and 12 months in our earlier studies [33].
Treating onion seeds with acetic acid solutions, especially at the concentrations of 1 and 2%, reduced their infestation with A. alternata, B. cinerea, Cladosporium spp., Penicillium spp. and S. botryosum before and after storage for 2, 6 and 12 months at 4 and 20 °C. Moreover, the acetic acid treatments did not have any negative effect on germination and vigour of stored onion seeds. In some cases, the increase in germination at the first and final counts and the improvement in mean germination time were observed. The treatment did not affect the percentage of deformed seedlings.
Our previous studies demonstrated the positive influence of acetic acid treatments on the quality of stored carrot and lettuce seeds. Treating carrot seeds with acetic acid solutions at the concentrations of 0.5 and 1% reduced their infestation with A. alternata and A. radicina after 5 and 12 months’ storage at 4 and 20 °C. Furthermore, treated seeds showed higher germination capacity than the untreated ones [34]. Soaking lettuce seeds in 0.5% acetic acid controlled the incidence of A. alternata and S. botryosum before storage and after 18 months of storage at 4 and 20 °C, without negative effects on seed germination [35]. El-Saidy and El-Hai [36] applied acetic acid vapours to treat sunflower seeds. They observed the reduction in seed infestation with fungi of the genera Alternaria, Aspergillus, Fusarium, Penicillium, Rhizoctonia, Rhizopus, Stemphylium, Trichothecium and Verticillium, as well as the improvement of seed germination and vigour, before and after 6 months of storage. Treating soybean seeds with 5% acetic acid for 2 min reduced the incidence of Alternaria spp., Diaporthe spp., Fusarium spp., Cladosporium cladosporioides, Penicillium citrinum and Phoma sp. without any adverse influence on seed germination [37]. Szopińska [21] reported that acetic acid treatments at the concentrations of 1, 2.5 and 5% reduced the incidence of Alternaria spp., Cladosporium spp., Fusarium spp. and Melanospora simplex on zinnia seeds, but they had an adverse effect on seed germination and vigour. Ruiz-Moyano et al. [38] found that acetic acid inhibited Botrytis cinerea growth under in vitro conditions. Alawlaqi and Alharbi [39] showed that acetic acid, applied at eight concentrations (from 0.025 to 0.2%), considerably reduced the growth of A. alternata and B. cinerea on PDA medium. The reduction in the fungal growth rose with the increase in acetic acid concentration. The authors also observed the decrease in the mycelium growth of both fungi after fumigation with acetic acid vapour. Soaking tomato fruits in acetic acid solutions at different concentrations for 3 min controlled significantly the infection caused by A. alternata and B. cinerea. Mun et al. [40] observed antimicrobial activity of acetic acid against Aspergillus flavus, A. fumigatus, A. ochraceus, A. nidulans, Penicillium expansum and Vibrio parahaemolyticus, but it did not affect the growth of Penicillium roqueforti.
The effectiveness of organic acids is pH dependent. Acetic acid shows higher antifungal activity at low pH, because there is more undissociated forms present that can migrate through the cytoplasmic membrane. Undissociated forms of organic acids are characterized by higher inhibitory activity than dissociated ones. The growth of fungi is prevented by acidification of cell cytoplasm [41,42]. Acetic acid can affect cell membrane function [38]. Abdalla et al. [22] observed significant structural changes in Erwinia carotovora cells after the acetic acid treatment, i.e., deep surface cracks and complete damage of the organized structure.
Storage conditions are the most important factors affecting viability of seed-associated fungi. Low temperature used to prolong seed viability during storage usually favour the survival of seed-borne microorganisms [31]. It has been found in the present study that onion seeds stored at 20 °C showed lower infestation with fungi than seeds stored at 4 °C. It was related to the greater percentage of seeds free of fungi at higher temperatures. These findings confirm our earlier observations concerning stored carrot, lettuce and onion seeds [33,34,35].
Longevity of seed-borne fungi is differentiated [43]. Despite of storage conditions, survival of the pathogens on seeds depends on the host genotype, amount of inoculum, location in the seeds and the type of propagules. Necrotrophic fungi, such as Alternaria spp., Botrytis spp. and Stemphylium spp. are usually located as spores and mycelium on the seed surface or penetrate seed coat or pericarp tissues. Deeper location is rare and appears mostly in the case of early and severe plant infection [30,31]. Location on the seed surface enhances the removal of these fungi during treatment. Fungi with thin-walled conidia, such as B. cinerea, are usually short-lived, whereas fungi with strong pigmentation and thick conidial wall, such as A. alternata, can survive for longer. Botrytis cinerea usually do not survive on stored seeds longer than 3 years, but A. alternata may be viable more than 10 years [44]. In this study B. cinerea was not observed on seeds after 6 months of storage at 20 °C, while A. alternata infested high number of seeds even after 12 months of storage, especially at 4 °C.
In our experiment, seeds soaked in distilled water were used as a control to treatments with aqueous acetic acid solutions. Before storage, soaking seeds in water decreased to some extent the incidence of A. alternata, B. cinerea and Cladosporium spp. on tested seeds. This phenomenon was also observed in several cases after seed storage, especially in relation to higher temperature. Our previous studies showed that soaking seeds in distilled water may have various effects on the occurrence of fungi on seeds. It can increase or decrease seed infestation, depending on the fungal species and their location in seeds [45,46]. Considering that A. alternata or Cladosporium spp. are frequently associated with seeds as spores contaminating their surface, soaking in water may easily remove them. Despite of this fact, acetic acid treatments reduced the incidence of fungi to the greater degree than water control.
5. Conclusions
Treating onion seeds with acetic acid at concentrations of 1 and 2% reduced their infestation with Alternaria alternata, Botrytis cinerea, Cladosporium spp., Penicillium spp. and Stemphylium botryosum after 2, 6 and 12 months of storage at 4 and 20 °C. Seeds stored at 20 °C showed lower infestation with fungi than seeds stored at 4 °C. The treatments did not have any adverse effect on germination and vigour of stored onion seeds. In some cases, the increase in germination at the first and final counts was observed. Since, applied treatments efficiently controlled fungi during seed storage under laboratory conditions; however, further experiments on a larger scale, followed by field trails, are necessary to recommend this method for seed industry.
Author Contributions
Conceptualization, H.D., A.R. and D.S.; methodology and formal analysis, H.D., A.R. and D.S.; investigation and data curation, H.D. and A.R.; writing—original draft preparation H.D., A.R. and D.S.; writing—review and editing, H.D., A.R. and D.S. All authors have read and agreed to the published version of the manuscript.
Funding
The publication was co-financed within the framework of the Polish Ministry of Science and Higher Education program: “Regional Excellence Initiative” in the years 2019–2023 (No. 005/RID/2018/19), financing amount: 12,000,000.00 PLN.
Institutional Review Board Statement
Not applicable.
Data Availability Statement
Not applicable.
Conflicts of Interest
The authors declare no conflict of interest. The funders had no role in the design of the study; in the collection, analyses, or interpretation of data; in the writing of the manuscript, or in the decision to publish the results.
References
- Ellis, R.H.; Hong, T.D.; Astley, D.; Pinnegar, A.E.; Kraak, H.L. Survival of dry and ultra-dry seeds of carrot, groundnut, lettuce, oilseed rape, and onion during five years’ hermetic storage at two temperatures. Seed Sci. Technol. 1996, 24, 347–358. [Google Scholar]
- Thirusendura Selvi, D.; Saraswathy, S. Seed viability, seed deterioration and seed quality improvements in stored onion seeds: A review. J. Hortic. Sci. Biotechnol. 2018, 93, 1–7. [Google Scholar] [CrossRef]
- Elias, S.G.; Copeland, L.O. The effect of storage conditions on canola Brassica napus L. seed quality. J. Seed Technol. 1994, 181, 21–29. [Google Scholar]
- Pehlivan, F.E. Free radicals and antioxidant system in seed biology. In Advances in Seed Biology; Jimenez-Lopez, J.C., Ed.; InTech: London, UK, 2017. [Google Scholar] [CrossRef]
- Farooq, M.A.; Zhang, X.; Zafar, M.M.; Ma, W.; Zhao, J. Roles of reactive oxygen species and mitochondria in seed germination. Front. Plant Sci. 2021, 12, 781734. [Google Scholar] [CrossRef] [PubMed]
- Małecka, A.; Ciszewska, L.; Staszak, A.; Ratajczak, E. Relationship between mitochondrial changes and seed aging as a limitation of viability for the storage of beech seed (Fagus sylvatica L.). PeerJ 2021, 9, e10569. [Google Scholar] [CrossRef]
- Groot, S.P.C.; Surki, A.A.; de Vos, R.C.; Kodde, J. Seed storage at elevated partial pressure of oxygen, a fast method for analysing seed ageing under dry conditions. Ann. Bot. 2012, 110, 1149–1159. [Google Scholar] [CrossRef]
- Finch-Savage, W.E.; Bassel, G.W. Seed vigor and crop establishment: Extending performance beyond adaptation. J. Exp. Bot. 2016, 67, 567–591. [Google Scholar] [CrossRef]
- Richardson, M.J. An Annotated List of Seed-Borne Diseases; International Seed Testing Association: Zurich, Switzerland, 1990. [Google Scholar]
- Tylkowska, K.; Dorna, H. The relationship between the health status of onion (Allium cepa L.) seeds and their viability and vigor. Phytopathol. Pol. 1996, 12, 63–77. [Google Scholar]
- Tylkowska, K.; Dorna, H. Onion (Allium cepa L.) seed and plant health with special reference to Botrytis allii Munn. Phytopathol. Pol. 2001, 21, 55–68. [Google Scholar]
- Dorna, H.; Tylkowska, K.; Yahong, W.; Marcinek, R. Germination and health of onion (Allium cepa L.) seeds after priming combined with chemical or biological treatments. Phytopathol. Pol. 2005, 37, 69–81. [Google Scholar]
- Mobius, N.; Hertweck, C. Fungal phytotoxins as mediators of virulence. Curr. Opin. Plant Biol. 2009, 12, 390–398. [Google Scholar] [CrossRef] [PubMed]
- Khan, A.A.; Sarker, K.U.; Hossain, M.F.; Haque, M.M.; Mian, I.H. Pre-storage fungicidal treatment effects on prevalence of seed-borne fungi and quality of onion (Allium cepa L.) seed. Agriculturists 2017, 15, 52–58. [Google Scholar] [CrossRef]
- Hassan, R.; El-Kadi, S.; Sand, M. Effect of some organic acids on some fungal growth and their toxins production. Int. J. Adv. Biol. 2015, 2, 1–11. Available online: https://airccse.com/ijab/papers/2115ijab01.pdf (accessed on 25 June 2023). [CrossRef]
- Guimarães, A.; Venancio, A.; Abrunhosa, L. Antifungal effect of organic acids from lactic acid bacteria on Penicillium nordicum. Food Addit. Contam. 2018, 35, 1809–1818. [Google Scholar] [CrossRef]
- Ho, C.W.; Lazim, A.M.; Fazry, S.; Kalsum, U.; Zaki, H.H.; Lim, S.J. Varieties, production, composition and health benefits of vinegars: A review. Food Chem. 2017, 221, 1621–1630. [Google Scholar] [CrossRef] [PubMed]
- Borgen, A.; Nielsen, B. Effect of seed treatment with acetic acids in control of seed borne diseases. In Proceedings of the BCPC Symposium No. 76:“Seed Treatment: Challenges & Opportunities”, North Warwickshire, UK, 26–27 February 2001; Biddle, A.J., Ed.; BCPC: Farnham, UK, 2001; pp. 135–140. Available online: https://orgprints.org/1116/1/acidBCPC.htm (accessed on 31 March 2023).
- Borgen, A.; Klaedtke, S.; Fehér, J.; Thüringber, A.; Pectu, V.; Boffin, L.; Rey, F. Vinegar seed treatment to control common bunt in wheat. EUCARPIA Breeding and Seed Sector Innovations for Organic Food Systems, 8–10 March 2021, AREI. p. 33. Available online: https://orgprints.org/id/eprint/39688/1/PDFsam_merge__Vinegar.pdf (accessed on 25 June 2023).
- Sholberg, P.L.; Gaunce, A.P. Fumigation of high moisture seed with acetic acid to control storage mold. Can. J. Plant Sci. 1996, 76, 551–555. [Google Scholar] [CrossRef]
- Szopińska, D. The effects of organic acids treatment on germination, vigor and health of zinnia (Zinnia elegans Jacq.) seeds. Acta Sci. Pol. Hortorum Cultus 2013, 12, 17–29. Available online: https://www.researchgate.net/publication/293486525_The_effects_of_organic_acids_treatment_on_germination_vigour_and_health_of_zinnia_Zinnia_elegans_Jacq_seeds (accessed on 25 June 2023).
- Abdalla, M.E.; Seadh, S.E.; Hamza, S. Inhibitory effect and morphological changes by organic acids to bacterial strains causing sugar beet soft root rot in vitro. J. Plant Prot. Pathol. 2019, 10, 187–193. [Google Scholar] [CrossRef]
- D’Agate, D.M.; Lake, M.W. Presoaking seeds with vinegar improves seed development and drought tolerance in maize plants. J. Emerg. Investig. 2020, 2, 1–4. Available online: https://emerginginvestigators.org/articles/presoaking-seeds-with-vinegar-improves-seed-development-and-drought-tolerance-in-maize-plants-ecc0efbf-524c-4a32-85c0-3d593827b8f9/pdf (accessed on 25 June 2023).
- Gonzales, L.M.R. Germination response of eggplant (Solanum melongena L.) seeds to different vinegar concentration as seed priming agents. Int. J. Sci. Res. Publ. 2015, 5, 2250–3153. [Google Scholar]
- International Seed Testing Association (ISTA). International Rules for Seed Testing; International Seed Testing Association (ISTA): Bassersdorf, Switzerland, 2012. [Google Scholar]
- Hong, T.D.; Linington, S.; Ellis, R.H. Compendium of Information on Seed Storage Behaviour; Royal Botanic Gardens: Kew, UK, 1998. [Google Scholar]
- Machado, J.C.; Langerak, C.J.; Jaccoud-Filho, D.S. Seed-Borne Fungi: A Contribution to Routine Seed Health Analysis; International Seed Testing Association: Bassersdorf, Switzerland, 2002. [Google Scholar]
- Mathur, S.B.; Kongsdal, O. Common Laboratory Seed Health Testing Methods for Detecting Fungi; International Seed Testing Association: Bassersdorf, Switzerland, 2003. [Google Scholar]
- Jalink, H.; Van der Schoor, R. Seed Calculator 2.1; License Number: 100200122; Plant Research International: Wageningen, The Netherlands, 1999. [Google Scholar]
- Maude, R.B. Seedborne Diseases and Their Control. Principles and Practice; CAB International: Wallingford, UK, 1996. [Google Scholar]
- Martín, I.; Gálvez, L.; Guasch, L.; Palmero, D. Fungal pathogens and seed storage in the dry state. Plants 2022, 11, 3167. [Google Scholar] [CrossRef] [PubMed]
- Ismaiel, A.A.; Papenbrock, J. Mycotoxins: Producing Fungi and Mechanisms of Phytotoxicity. Agriculture 2015, 5, 492–537. [Google Scholar] [CrossRef]
- Dorna, H.; Jarosz, M.; Szopińska, D.; Szulc, I.; Rosińska, A. Germination, vigor and health of primed Allium cepa L. seeds after storage. Acta Sci. Pol. Hortorum Cultus 2013, 12, 43–58. [Google Scholar]
- Dorna, H.; Rosińska, A.; Szopińska, D. The effect of acetic acid treatments on the quality of stored carrot (Daucus carota L.) seeds. Agronomy 2021, 11, 1176. [Google Scholar] [CrossRef]
- Rosińska, A. Effect of acetic acid treatments and storage on the quality of lettuce (Lactuca sativa L.) seeds. Not. Bot. Horti Agrobot. Cluj-Napoca 2022, 50, 12631. [Google Scholar] [CrossRef]
- El-Saidy, A.E.A.; El-Hai, A.K.M. Effect of some evaporation matters on storability of sunflower (Helianthus annuus L.) seed. Pak. J. Biol. Sci. 2016, 19, 239–249. [Google Scholar] [CrossRef]
- Escamilla, D.; Rosso, M.L.; Zhang, B. Identification of fungi associated with soybeans and effective seed disinfection treatments. Food Sci. Nutr. 2019, 7, 3194–3205. [Google Scholar] [CrossRef]
- Ruiz-Moyano, S.; Hernandez, A.; Galvan, A.I.; Cordoba, M.G.; Casquete, R.; Serradilla, M.J.; Martin, A. Selection and application of antifungal VOCs-producing yeasts as biocontrol agents of grey mould in fruits. Food Microbiol. 2020, 92, 103556. [Google Scholar] [CrossRef]
- Alawlaqi, M.M.; Alharbi Asmaa, A. Impact of acetic acid on controlling tomato fruit decay. Life Sci. J. 2014, 11, 114–119. [Google Scholar] [CrossRef]
- Mun, S.Y.; Kim, S.K.; Woo, E.R.; Chang, H.C. Purification and characterization of an antimicrobial compound produced by Lactobacillus plantarum EM showing both antifungal and antibacterial activities. LWT—Food Sci. Technol. 2019, 114, 108403. [Google Scholar] [CrossRef]
- Lambert, R.; Stratford, M. Weak-acid preservatives: Modelling microbial inhibition and response. J. Appl. Microbiol. 1999, 86, 157–164. [Google Scholar] [CrossRef]
- Theron, M.M.; Lues, J.F.R. Mechanisms of microbial inhibition. In Organic Acids and Food Preservation; Theron, M.M., Lues, J.F.R., Eds.; CRC Press: Boca Raton, FL, USA, 2010; pp. 117–150. [Google Scholar]
- Hewett, P.D. Pathogen viability on seed in deep freeze storage. Seed Sci. Technol. 1987, 15, 73–77. [Google Scholar]
- Agarwal, V.K.; Sinclair, J.B. Principles of Seed Pathology; CRC Press, Inc.: Boca Raton, FL, USA, 1987. [Google Scholar]
- Szopińska, D.; Jarosz, M.; Sławińska, B. The effect of hydrogen peroxide on seed quality and emergence of carrot (Daucus carota L.). Acta Sci. Pol. Hortorum Cultus 2017, 16, 21–33. Available online: https://www.cabdirect.org/cabdirect/FullTextPDF/2017/20173363504.pdf (accessed on 31 March 2023).
- Szopińska, D. Effects of hydrogen peroxide treatment on the germination, vigor and health of Zinnia elegans seeds. Folia Hort. 2014, 26, 19–29. [Google Scholar] [CrossRef]
Disclaimer/Publisher’s Note: The statements, opinions and data contained in all publications are solely those of the individual author(s) and contributor(s) and not of MDPI and/or the editor(s). MDPI and/or the editor(s) disclaim responsibility for any injury to people or property resulting from any ideas, methods, instructions or products referred to in the content. |
© 2023 by the authors. Licensee MDPI, Basel, Switzerland. This article is an open access article distributed under the terms and conditions of the Creative Commons Attribution (CC BY) license (https://creativecommons.org/licenses/by/4.0/).