1. Introduction
Environmental pollution of heavy metals (HMs) and metalloids caused by the rapid development of industry and agriculture as well as various human activities has raised concerns about environmental quality and public health [
1,
2,
3], especially concerning continued HM contamination of agricultural soils in China [
4,
5]. The 2014 National Soil Pollution Survey Bulletin issued by the Ministry of Environmental Protection and the Ministry of Land and Resources reported that HM concentrations exceeded standards at 16.1% of soil-monitoring sites and exceeded standards for cultivated land by up to 19.4%. The main HM pollutants were identified as cadmium (Cd), arsenic (As), lead (Pb), and chromium (Cr), which exceeded standards by 7.0%, 2.7%, 1.5%, and 4.31%, respectively [
6]. HMs are non-biodegradable and tend to accumulate in the environment [
7,
8]. Cd, as one of the most toxic and extensively distributed HMs, is characterized by high mobility and chemical/biological activity and tends to accumulate in the food chain [
9,
10]. As is classified as a human carcinogen by the United States Environmental Protection Agency. Pb is widely present in soil and highly toxic to biological systems [
11]. Cr, a toxic elements pollutant, can hinder plant growth and act as a carcinogen, causing irreversible damage to human organs via the food chain [
11,
12,
13]. Addressing the remediation of HMs pollution in agriculture soil and ensuring the safe utilization of contaminated farmed are urgent issues [
14].
Unlike organic pollutants, soil contamination by HMs and metalloids is insidious, persistent, and irreversible [
14]. Many chemical, physical, and biological technologies have been applied for the remediation of soils contaminated with HMs and metalloids. Of these, phytoremediation is a cost-effective and environmentally friendly technology for management of contaminated soils [
15]. Maize is a widely cultivated crop and reported to be an optimum cereal for phytoremediation of soil contaminated with HMs [
16,
17,
18] due to its high growth rate and yield. In addition, maize has also been used for phytoremediation of soil contaminated with Cd, as a means to generate alternative income [
19,
20]. However, HM contamination of agricultural land in China is a complex problem, as there is no exact correlation between the contents of HMs in soil and the safety of maize grains. The specific genotypes of maize have been linked to the capacity to absorb HMs, although this capacity differs among varieties of maize and types of HMs [
4,
21]. Therefore, it is an effective method to cultivate maize varieties of low HMs accumulation for utilization of contaminated farmland.
Jiande is a country-level city in Zhejiang Province, China, with a total stone coal reserve of about 47.1 million tons. Transportation of stone coal, in particular, has become an important industry for the nearby villages. However, failure to effectively treat the wastewater, dust, and the large amount of tailings produced during the mining process has resulted in severe environmental damage. Moreover, sewage with high sulfur contents produced by the stone coal mining process causes soil slabbing, which has resulted in the destruction of approximately 1000 mu (0.667 km2) of previously viable land, thus threatening the ecosystem and human health. In this study, 11 varieties of maize, which are mainly farmed in Zhejiang Province, were selected for in situ testing of the transport and distribution of Pb, Cd, Pb, and As in different maize parts (roots, stems, leaf, and grains) to clarify the relationship between grain uptake and accumulation and to evaluate the potential health risk (HR) of different maize. The results and findings of this work provide theoretical guidance for the screening of low accumulation maize varieties suitable for planting in mining areas for the remediation of farmland contaminated with HMs.
2. Materials and Methods
2.1. Experimental Location
The site of the experiments (Wangyan village, Qiantan district, Jiande City, Zhejiang, Province, China) (29°39′25″ N, 119°35′38″ E) is located in a subtropical region with four distinct seasons, with an average annual rainfall and sunshine of 1600 mm and 1760 h, respectively. Soil samples previously passed through 2-mm each mesh for analysis of various physicochemical properties. The physical and chemical parameters of the soil samples were as follows: pH value of 5.46 ± 0.15, the organic matter content of 23.81 ± 0.87 g·kg−1, total nitrogen of 0.48 ± 0.07 g·kg−1, total phosphorus of 0.57 ± 0.03 g·kg−1, total potassium of 34.42 ± 1.87 g·kg−1, available N of 48.31 ± 5.78 mg·kg−1, P of 53.10 ± 7.93 mg·kg−1, K of 1385.24 ± 16.78 mg·kg−1, Cd of 4.57 ± 0.65 mg·kg−1, As of 31.53 ± 1.15 mg·kg−1, Pb of 41.91 ± 1.15 mg·kg−1, Cr of 135.93 ± 9.87 mg·kg−1, and Zn of 176.98 ± 0.65 mg·kg−1. The contents of Cd, As, Pb, and Cr in the soils were 7.62, 1.26, 0.30, and 0.45-fold greater than the standards for soil environmental quality agricultural land pollution risk control (GB15618-2018), respectively.
2.2. Maize Varieties
Eleven maize varieties that are widely cultivated by the residents in Zhejiang Province were selected in the present work, including Huziheinuo (HZHN), Jinyunuo9 (JYN9), Lvyunuo9 (LYN9), Jingnuo20 (JN20), Tianzi23 (TZ23), Qianjiangnuo3 (QJN3), Hangnuoyu21 (HNY21), Sukenuo11 (SKN11), Qianjiangnuo1 (QJN1), Lvsechaoren (LSCR), and Fotian10 (FT10).
2.3. Culture of Maize Varieties
A field test was conducted in Wangyan village on 12 March 2022. A total of 60 plots, measuring 5 m × 3 m, were used for the field test and 55 were randomly planted with 11 maize varieties (5 replicates/variety), while 5 were not planted to serve as controls. The plants were spaced on a grid pattern with columns and rows at 50 and 65 cm, respectively. Three maize seeds were sown in each planting hole, and two rows of maize were set up around the experiment site as protection rows to eliminate the marginal effect. Field management was conducted in accordance with normal field practice.
2.4. Sample Collection and Analysis
The plants were harvested after 102 days of sowing and the relevant soil samples (depth, 0–20 cm) were collected on 14 July 2022. The maize samples were collected at five different sites of each plot and combined into a sample mixture. Measurement of the plant height was conducted in the field, and the collection of the relevant soil samples was also performed at the same time. The maize plants were washed with running water, ethylene diaminetetracetic acid disodium, and deionized water. Afterwards, the plants were divided into four parts (i.e., root, stem, leaves, and grains), which were dried inside an oven 105 °C for 30 min, followed by 48 h at 75 °C. The dried weights of the four different plant parts were measured with a balance (Setra Systems Inc., Boxborough, MA, USA). The plant height, thousand grain weight, spike length, and yield were recorded at the harvesting stage. To ensure the uniformity, the soil samples were air-dried for 7 days, followed by sieving with a sieve (mesh size of 2 mm). During the entire growth period, the application rates of N fertilizer, P2O5, and K2O were 225, 120, and 150 kg·hm−2, respectively. The application rates of N fertilizer were distributed as follows: 50% during transplantation, 20% at the jointing stage, and 30% during the trumpet stage. The application rates of P2O5 and N fertilizer were both applied as base fertilizer. The proportion of K2O application was 60% at the transplanting stage and 40% at the early heading stage. Urea, superphosphate, and potassium sulfate served as the tested N, P, and K fertilizer, respectively. Soil water content was maintained at 60% to 70% of the maximum field water capacity. Normal field cultivation management practices were followed, with timely drainage and deworming efforts.
2.5. Analysis Method of Soil and Plant
The samples (0.5 g) were dissolved in 8 mL of HNO3 and 2 mL of HClO4 in 50-mL conical flask with 2–3 glass beads. The chemicals and reagents used in this study are of analytical grade, which are supplied by Sigma-Aldrich Corporation (St. Louis, MO, USA) or Merck KGaA (Darmstadt, Germany). The samples were heated for about 8–12 h at 220 °C until the solution became clarified and then cooled to room temperature. The concentrations of the HMs (including Cd, Pb, As and Cr) were measured by atomic absorption spectrometry (AAs).
Graphite Furnace Atomic Absorption Spectrometry (GFAAS) was utilized to determine concentrations of Pb, Cd, and Cr elements with reference to the standards GB5009.12-2017 and GB5009.15-2014, and GB 5009.123-2014, respectively. Double-channel hydride generation Flame Atomic Absorption Spectrometry (FAAS) was used for As element determination with reference to the standard GB 5009.11-2014. The operating conditions of the instrument are presented in
Table 1,
Table 2 and
Table 3, respectively.
The multi-element standard solution was prepared by the step-by-step dilution method using 0.5% nitric acid (HNO3) solution to 50.00 μg·L−1 of multi-element intermediate solution. A certain amount of multi-element intermediate solution was accurately aspirated with 0.5% HNO3 solution to prepare standards solution of Pb at concentrations of 0.00, 4.00, 8.00, 12.00, 16.00, and 20.00 μg·L−1; Cd at 0.00, 1.00, 2.00, 3.00, 4.00, and 5.00 μg·L−1; and Cr at 0.00, 2.50, 5.00, 10.00, and 20.00 μg·L−1. A certain amount of multi-element intermediate solution was accurately aspirated with 0.5% hydrochloric acid (HCl) solution to prepare standards solution of As at 0.00, 2.50, 5.00, 10.00, and 20.00 μg·L−1.
The Pb standard solution and the solution to be measured were put into the GFAAS autosampler, and 0.5% HNO3 solution was used as the carrier fluid to adjust the instrument to the best condition, and the standard curve and sample determination were drawn by automatic injection. The same method was used to determine Cd and Cr. The As standard solution and the solution to be measured were put into the dual-channel hydride generation atomic fluorescence instrument autosampler. We used 5% HCl solution as a carrier fluid and 2% potassium borohydride solution as a reducing agen, adjusted the instrument to the best condition, and automatically injected the standard curve and sample determination.
Range and linear detection limit of the studied elements were determined as follows: Using GFAAS, the regression equation for Pb concentration ranging from 0 to 20.0 μg·L−1 and Cd concentration ranging from 0 to 5.0 μg·L−1 was found to be y = 0.0267x + 0.11188, with an R2 value of 0.9997 for Pb. For Cd concentration within the same range, the regression equation was determined to be y = 0.01771x + 0.04733, with an R2 value of 0.9991. The concentration of As ranging from 0 to 200.0 μg·L−1 was determined by FAAS, and the corresponding regression equation was found to be y = 30.2391x + 88.0891, with R2 value of 0.9984. The regression equation for Cr concentration within the range of 0 to 20 μg·L−1 was found to be y = 0.0237x + 0.0045, with R2 value of 0.9997. The spiked recoveries of the four HMs and metalloids ranged from 86.5% to 108.0% with RSD < 7.0%, indicating good accuracy and precision of the analytical method.
2.6. Data Analysis
The accumulation and the distribution of the HMs in different varieties of maize, as well as the uptake characteristics of different HMs, were compared. The bioconcentration factors (BFs) and translocation factor (TF) for different maize parts were calculated as follows:
BFs = the content of HMs in the maize part/the contents of HMs in the soil;
Stem-leaf TF = (HM content in stem × stem biomass + HM content in leaf × leaf biomass)/HM content in root × root biomass.
The health risks of HMs (Cd, As, Cr) and (Pb) were assessed using internationally accepted models [
22]. A human health risk assessment of the carcinogenic chemicals (Cd, As, and Cr) was conducted with the equation below, (1):
wherein R
i is defined as the annual risk value of ingested HM
i (a
−1); ADD
i represents the daily exposure dose of HM
i on average; and SF
i represents the carcinogenic intensity factor of HM
i, kg·d·mg
−1 [
23].
The average daily exposure to HMi is calculated by (2):
wherein ADD represents the average daily contaminants intake via corn [mg·(kg·d)
−1]; where C
i represents the concentration of HM
i in a crop samples [mg·kg
−1]; I represents the human daily corn intake (kg·d
−1); EF represents the annual exposure days to HMs (d·a
−1); ED represents the average exposure period (a), 12 a, 45 a, and 78 a for children, young adults, and elderly, respectively; and BW represents the average weight of human body weight (kg), 24, 60, and 59 kg for children, young adults, and elderly, respectively. AT represents the life expectancy (d), which is EF × ED. IR represents the consumption each day per person, 0.223, 0.355, and 0.366 kg/d for children, young adults, and elderly, respectively. The parameters in the model of the human health risk (HR) are listed in
Table 4. At R
i < 1 × 10
−6 a
−1, risk is insignificant; at 1 × 10
−6 < R
i <1 × 10
−4 a
−1, risk is within an acceptable range; and at R
i > 1 × 10
−4 a
−1, risk is remarkable.
Pb is not a chemical carcinogen, so the chemical non-carcinogen risk evaluation model was selected; the individuals non-carcinogenic annual risk is calculated by Equation (3):
In Formula (3), H represents the individuals annual non-carcinogenic annual risk originating from non-carcinogens, a
−1; ADD
i represents the average daily exposure dose of chemical non-carcinogens on average, mg/(kg·d
−1); RfD is the reference dose of l non-carcinogens chemical, mg/(kg·d
−1); and the value for Pb is 0.0035 [
21,
22]. The grading was based on the following criteria: H ≤ 1 means no health hazard with the intake of crop products; 1 < H ≤ 10 suggests a high risk of health hazard; whereas H > 10 indicates a chronic poisoning risk.
All data were processed using the Excel 2016 spreadsheet application (Microsoft Corporation, Redmond, WA, USA). The statistical analyses (one-way of variance (ANOVA)) and cluster analyses were conducted with IBM SPSS statistics for Windows, version 21.0 (IBM Corporation, Armonk, NY, USA). The graphs were prepared by using Origin 2019 Data analysis for Windows, version 21.0. The data are presented as the mean value ± the standard deviation.
3. Results
3.1. Influnces of Cd, As, Pb, and Cr in Soils on the Growth of the Maize Varieties
Plant growth is inhibited to some extent by exposure to HMs and metalloids; thus, plant height, thousand grain weight, spike length, yield and biomass per acre could be deemed as the tolerance indicators of maize in response to stress caused by Cd, As, Pb, and Cr. As shown in
Table 5, variety TZ23 exhibited the greatest height, thousand grain weight, dry weight of roots, and spike height, while varieties LSCR and JN20 had the lowest measurements. Meanwhile, varieties HZHN, FT10, and QJN3 exhibited the greatest dry weights of grains, leaves, and stems, respectively. Variety FT10 had the lowest spike height and variety HZHN had the highest yield per m
2. Moreover, variety JYN9 had the lowest yield and dry weight of roots, while variety HZHN had the lowest dry weight of leaves and stems. One-way ANOVA showed that the height, thousand grain weight, spike length, and root biomass were highest for variety of TZ23 (
p < 0.05). The yield and gains biomass of variety HZHN, leaf biomass of variety FT10, and stem biomass of variety QJN3 were significantly higher than other maize varieties.
3.2. Concentrations of Cd, As, Pb, and Cr in the Different Tissues of the Maize Varieties
It can be seen in
Figure 1 that the concentrations of Cd, As, Pb, and Cr of the 11 tested maize varieties were 0.083–2.720, 0.042–0.074, 0.035–0.474, and 1.506–2.905 mg·kg
−1, respectively. The varieties with the lowest concentrations of Cd, As, Pb, and Cr were QJN1, JN20, QJN1, and LSCR respectively, while the varieties with the highest contents were QJN3, QJN1, JN20, and QJN3. Moreover, Cd concentrations of grains of varieties HNY21, TZ23, FT10, HZHN, and SKN11 exceeded the National Food Safety Standard (NFSSs). In addition, the Cd concentration of grains of varieties SKN11, QJN1, and FT10 exceeded the National Feed Hygiene Standard (NFHSs). In regard to the non-edible parts, variety FT10 had the highest concentrations of Cd in roots, stems, and leaves, while varieties JN20, JYN9, and TZ23 had the lowest.
Varieties JN20 and QJN1 had the lowest and highest As concentrations in the grains, respectively. The grain As concentration in all varieties met the NFSSs. In regard to the non-edible parts, varieties TZ23, QJN1, and JN20 had the highest As concentrations in roots, stems, and leaves, respectively, while varieties LSCR, HZHN, and LYN9 had the lowest.
Varieties LSCR and JN20 had the lowest and highest concentrations of Pb in the grains, respectively. The grain Pb concentration of varieties JN20, FT10, SKN11, HZHN, and QJN3 exceeded the NFSSs. All of the tested varieties met the NFHSs. In regard to the non-edible parts, variety TZ23 had the highest Pb concentration in roots, while variety FT10 had the highest Pb concentration in the stems and leaves. Varieties LSCR, HNY21, and QJN1 had the lowest concentrations of Pb in the roots, stems, and leaves, respectively.
Varieties HNY21 and QJN3 had the lowest and highest grain concentrations of Cr, respectively. Notably, the grain concentration of Cr of all tested varieties exceeded the NFHSs. In regard to the non-edible parts, varieties QJN3, SKN11, and JYN9 had the highest Cr concentrations in roots, stems, and leaves, respectively.
Statistical analysis revealed significant differences in the contents of Cd, As, Pb, and Cr in the grains, roots, stems, and leaves among the tested varieties (p < 0.05), indicating a trend as follows: roots > leaves > stems > grains. Each of the tested maize grains met the NFHSs requirement with respect to the concentrations of Pb, Cd, and As, while varieties LYN9 and JYN9 met the NFSSs.
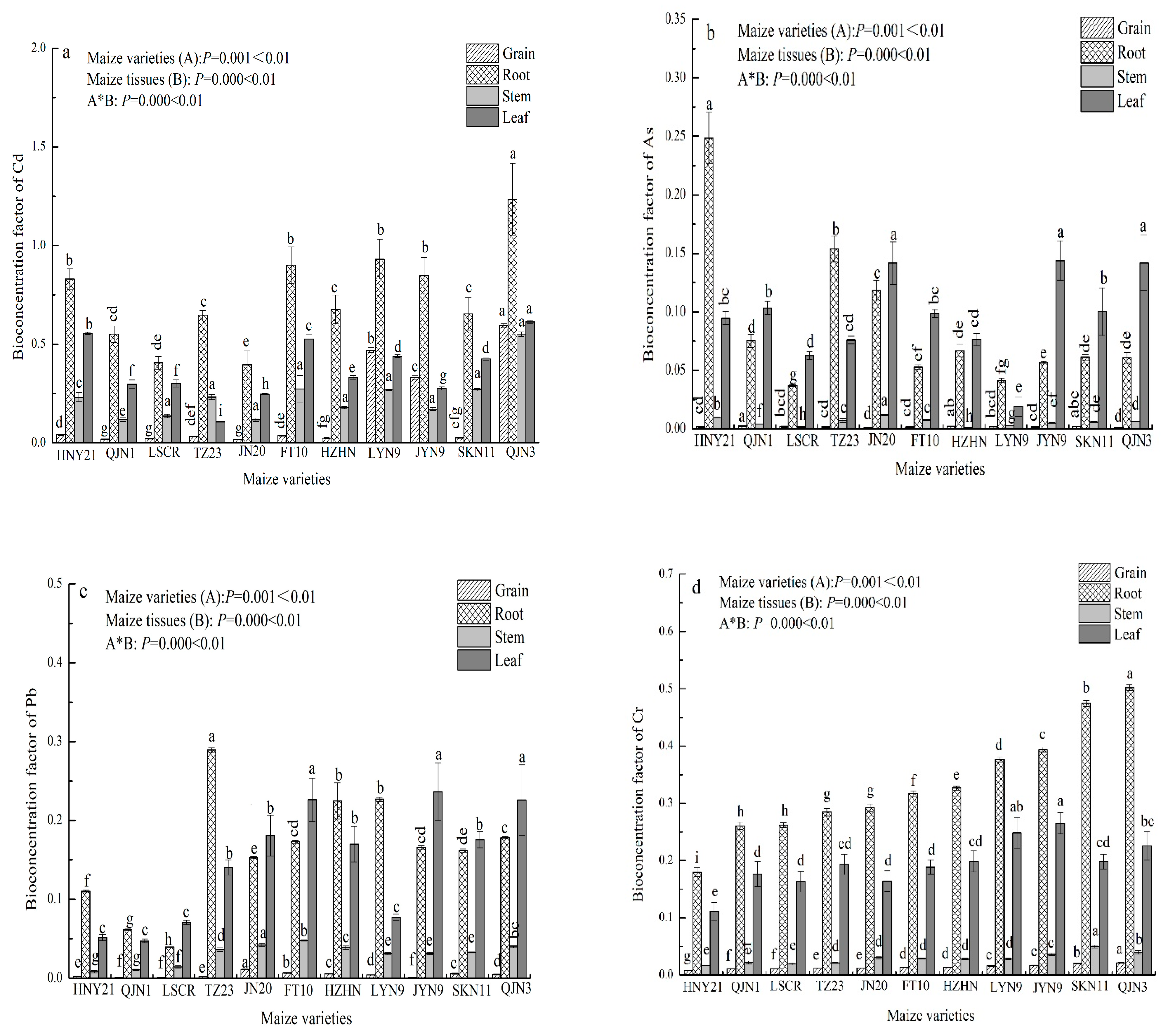
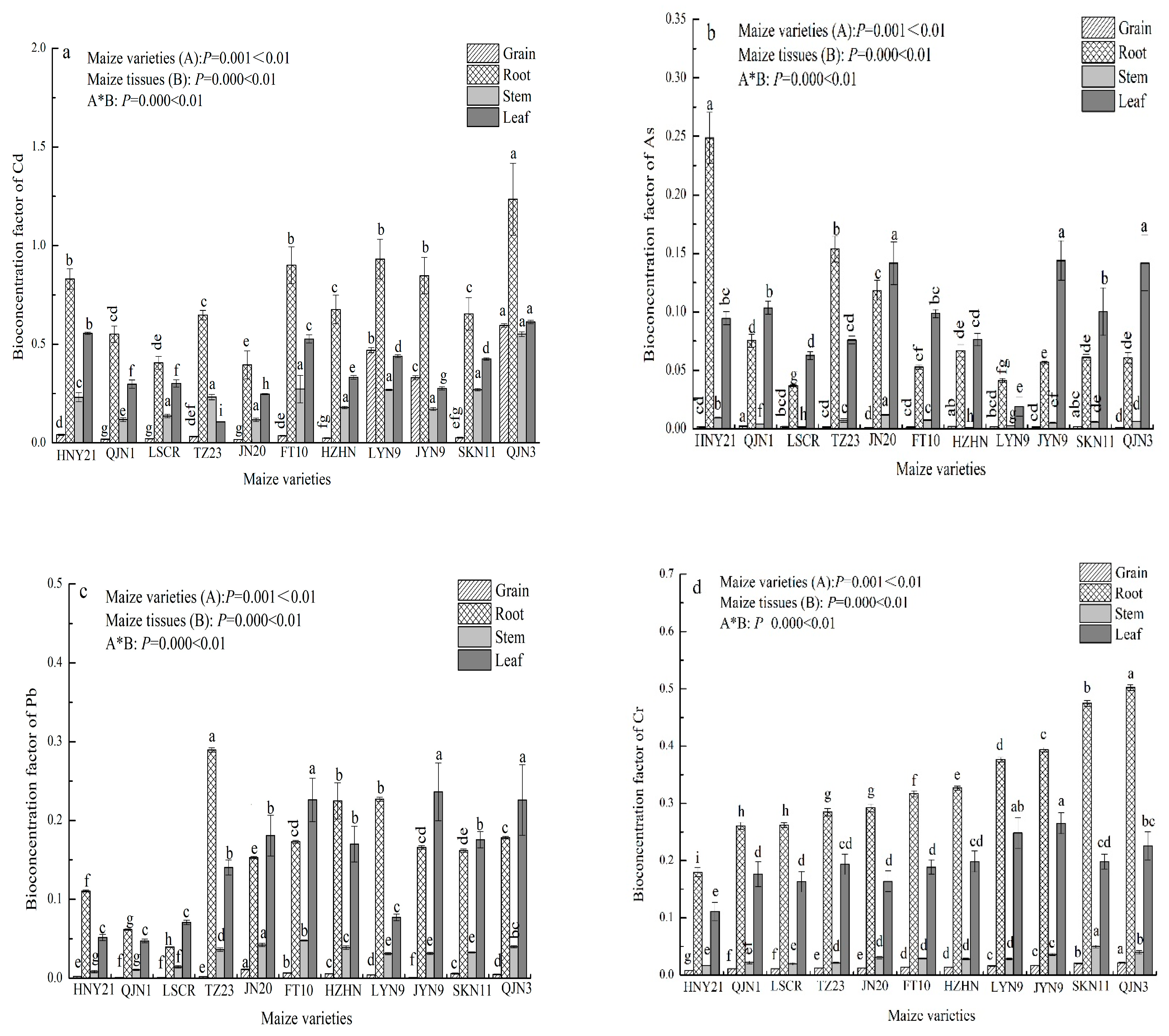
3.3. Bioconcentration of Cd, As, Pb, and Cr in the Maize Varieties
The BFs are a direct measure of the HMs and metalloids uptake and accumulation capacity of various plant parts. Significant differences (
p < 0.05) in the BFs were observed for Cd, As, Pb, and Cr in the same parts among the 11 maize varieties. As shown in
Figure 2, the BFs of Cd in the grains, roots, stems, as well as leaves of the 11 maize varieties ranged from 0.116 (JN20) to 0.595 (QJN3), 0.395 (JN20) to 1.235 (QJN3), 0.116 (JN20) to 0.551 (QJN3), and 0.107 (TZ23) to 0.613 (QJN3), respectively. The BFs of Cd in the grains, roots, stems, and leaves of the 11 maize varieties ranged from 0.016 (JN20) to 0.595 (QJN3). Varieties LSCR and JN20 had the lowest grain Cd BFs, while variety FT10 had the highest.
The BFs of As in the grains, roots, stems, and leaves of the 11 maize varieties ranged from 0.001 (JN20) to 0.002 (QJN1), 0.041 (LSCR) to 0.249 (HYN21), 0.001 (HZHN) to 0.009 (HYN21), and 0.019 (LYN9) to 0.142 (QJN3), respectively. The BFs of As in the grain ranged from 0.001 (JN20) to 0.002 (QJN1). Varieties JN20, QJN3, TZ23, and FT10 had the lowest As BFs in the grain.
The BFs of Pb in the grains, roots, stems, and leaves of 11 maize varieties ranged from 0.0008 (QJN1) to 0.011 (JN20), 0.03 (LSCR) to 0.290 (TZ23), 0.008 (HNY21) to 0.048 (FT10), and 0.047 (QJN1) to 0.236 (FT10), respectively. The As BFs in the grain ranged from 0.0008 (LSCR) to 0.011 (JN20). Varieties QJN1, LSCR, and JYN9 had the lowest Pb BFs in the grain. The BFs of Cr in the roots, stems, and leaves of the 11 maize varieties ranged from 0.180 (HNY21) to 0.502 (QJN3), 0.016 (LYN9) to 0.050 (JYN9), and 0.111 (HNY21) to 0.265 (JYN9), respectively.
The BFs of Cr in the grains, roots, stems, and leaves of the 11 maize varieties ranged from 0.007 (HNY21) to 0.022 (QJN3), 0.180 (HNY21) to 0.502 (QJN3), 0.016 (HNY21) to 0.050 (SKN11), and 0.111 (HNY21) to 0.265 (LYN9), respectively. The results of two-way ANOVA indicated that maize tissues, maize varieties, and their interaction significantly effect on the enrichment factors of Cd, As, Pb, and Cr (p < 0.01).
3.4. Translocation of Cd, As, Pb, and Cr in the Maize Varieties
The TF content ratio of HMs in stems or leaves to the roots is defined as TF (
Table 6). The grain and stem/leaf TF of Cd of the 11 maize varieties ranged from 0.113 (QJN3) to 2.862 (JYN9) and 0.234 (TZ23) to 1.483 (QJN1), respectively. Significant differences (
p < 0.05) in the TF were observed for the 11 different varieties of maize. The TF of grain Cd of varieties LYN9, JYN9, and JN3 was greater than 1, indicating strong transport of Cd from the stems and leaves to the grains. The TF of grain Cd of the other eight varieties was less than 1, indicating weak translocation capacity of Cd from the stems and leaves to the grains. The lowest TF of Cd from the stems and leaves to the grains was the lowest was found for the variety HNY21 (
p < 0.05). The TF of As for the grains and stems/leaves among the 11 maize varieties ranged from 0.031 (JN20) to 0.457 (LYN9) and 0.408 (HNY21) to 5.958 (JYN9), respectively. Among the different maize varieties, obvious discrepancies (
p < 0.05) in TF of As were observed. The TF of gains As from the roots to stems/leaves was less than 1 for varieties HNY21, TZ23, TZ23, and LYN9, indicating weak translocation of As. The TF of As in the grains was lowest for varieties JN20, QJN3, and LYN9. The TF of Pb in the grains and stems/leaves among the 11 maize varieties ranged from 0.016 (JYN9) to 0.224 (HNY21) and 0.489 (LYN9) to 3.363 (JYN9), respectively, with significant differences among these varieties. The TF of Pb in the stems/leaves was less than 1 for varieties HNY21, TZ23, and LYN9, indicating weak Pb translocation from the roots to the stems and leaves. It was also found that the TF of Pb in the grains was the lowest for varieties LSCR and TZ23. The TF of Cr for the grains and stems/leaves among the 11 maize varieties ranged from 0.222(JN20) to 0.417(HZHN) and 0.662(HNY21) to 1.837(QJN1), respectively, with significant differences among these varieties. The TF of Pb for the stems/leaves was less than 1 for varieties HNY21, TZ23, JN20, LYN9, SKM11, and QJN3, indicating weak translocation of Cr from the roots to the stems/leaves. The TF of Cr in the grains was lowest for varieties JN20, LSCR, and QJN1. The TF of Cd, As, Pb, and Cr in the stems/leaves was less than 1 for varieties HNY21, TZ23, and LYN9, indicating weak translocation of Cd, As, Pb, and Cr from roots to stems and leaves.
3.5. Cluster Analysis of Grain Bioconcentration Factors in the Maize Varieties
The grain BFs of all 11 maize varieties were assessed using the cluster analysis (
Figure 3). According to the contents of Cd, As, Pb and Cr in maize grains, 11 maize varieties were divided into three categories by cluster analysis method (
Figure 3): Class I (low accumulate ability of HMs and metalloids); Class II (medium accumulate ability of HMs and metalloids); and Class III (high accumulate ability of HMs and metalloids).
The BFs of Cd among the 11 maize varieties were classified into three types (
Figure 3a): low (QJN1, JN20, LSCR, HZHN, SKN11, TZ23, FT10, and HNY21); medium (JYN9); and high (LYN9 and QJN3).
The grain BFs of As among the 11 maize varieties were also classified into three groups (
Figure 3b): low (JN20, QJN3, TZ23, JYN9, FT10, and HNY21); medium (LSCR, LYN9, and SKN11); and high (QJN1 and HZHN).
Likewise, the grain BFs of Pb among the 11 maize varieties were classified into three groups (
Figure 3c): low group (QJN1, LSCR, JYN9, HNY21, and TZ23); medium (LYN9, QJN3, HZHN, SKN11, and FT10); and high (JN20).
In addition, the grain BFs of Cr among the 11 maize varieties could also be classified into three groups (
Figure 3d): low (HNY21); medium (QJN1, LSCR, TZ23, JN20, FT10, HZHN, LYN9 and JYN9); high (SKN11 and QJN3).
Obvious differences (p < 0.05) were observed for the HM concentrations in the maize grains. Cluster analyses on the grain BFs reveal that variety QJN1 had the lowest Cd and Pb BFs. In the grains, variety QJN3 had the highest BFs of Cd and As, while variety HNY21 had the lowest BFs of Cd, Pb, Cr, and As, and variety JYN9 had a medium BFs of Cd and Cr. Varieties LYN9 and SKN11 had the highest BFs of Cd and Pb in the grains, respectively, while varieties QJN1 and HZHN had the highest BFs of As.
3.6. Health Risks of Heavy Metals in Maize Varieties
Assessments of HMs and metalloids intake and the HR of maize grains showed that the average daily intake (ADD
i) of Pb and As in the maize grains was less than the reference dose (RfD) for children, middle-aged adults, and the elderly, while the ADDi of Cd in the grains of varieties QJN1, LSCR, and JN20 was less than the RfD (
Table 7). Variety QJN3 had the highest ADD of Cd in grains. The ADD of Cr in maize grains for the different age groups was greater than the RfD, indicating that Cd and Cr pose significant health risks regardless of age. The single HR indices for As and Pb in maize grains of different genotypes were less than 1, indicating that neither of these HMs shows a significant HR for children. However, both Cd and Cr exhibit a significant HR for children. In addition, the single HR indices for children were all higher than that for adults, which indicates that the health risk of HMs ingested via maize are significantly higher for children than adults, possibly due to underdeveloped metabolic organs of children, such as the liver and kidney, and weaker detoxification and excretion functions for toxic and harmful substances, rendering children more sensitive to environmental pollutants.
The HR indices of HMs and metalloids compounds were greater than 1 for different age groups, with an overall trend of children > the elderly > young adults. In terms of the extent of the HRs according to the maize genotype, the HR of variety QJN3 was 10.45-fold greater than that of variety LSCR. Assessments of the HR of maize consumption were consistent with these results. The contamination indices of Cd, Pb, and As were all less than 1 for varieties QJN1, LSCR, and JN20. The contamination indices of Cr for maize grains of different genotypes were greater than 1, and the compound HR to the different age groups was also greater than 1. Notably, variety QJN3 poses a threat to human health regardless of age due to chronic toxicity.
5. Conclusions
The 11 maize varieties were grown on farmland contaminated with HMs and exhibited significant differences in plant height, thousand grain weight, stem height, yield, and biomass. The growth of variety TZ23 was least affected by HMs and metalloids contamination. There were also obvious discrepancies in the capacities of the maize varieties to accumulate and translocate HMs and metalloids to different parts of the plant, which generally followed a general order of roots > leaves > stems > grains. The grain TFs of As, Pb, and Cr were less than 0.5 for all 11 maize varieties, indicating weak translocation from the stems and leaf parts to the grains, while the grain TFs of Cd were greater than 0.5 for most of the maize varieties, with the exception of LYN9, indicating a strong translocation capability of Cd from the stems/leaves to the grains. Cluster analysis showed that varieties QJN1 and HNY21, but not varieties LYN9 and QJN3, are suitable for planting around mining areas. The hazard indices of the different age groups demonstrated that Cd and Cr pose the greatest health risks of maize intake. The compound HR index of HMs for different age groups was greater than 1, with an overall trend of children > the elderly > young adults.