Next Article in Journal
Application of a Quality-Specific Environmental Risk Index for the Location of Hives in Areas with Different Pollution Impacts
Previous Article in Journal
Single-Nucleotide Polymorphisms Identified within Exon 2 of Fertility-Associated Bone Morphogenetic Protein (BMP15) Gene in Three Romanian Sheep Breeds
 
 
Font Type:
Arial Georgia Verdana
Font Size:
Aa Aa Aa
Line Spacing:
Column Width:
Background:
Article

Yield and Yield Components of Winter Poppy (Papaver somniferum L.) Are Affected by Sowing Date and Sowing Rate under Pannonian Climate Conditions

by
Reinhard W. Neugschwandtner
1,*,
Georg Dobos
2,
Helmut Wagentristl
3,
Tomáš Lošák
4,
Agnieszka Klimek-Kopyra
5 and
Hans-Peter Kaul
1
1
Institute of Agronomy, Department of Crop Sciences, University of Natural Resources and Life Sciences Vienna (BOKU), Konrad-Lorenz-Straße 24, 3430 Tulln, Austria
2
Zeno Projekte, Pötzleinsdorfer Straße 10/3, 1180 Wien, Austria
3
Experimental Farm Groß-Enzersdorf, Department of Crop Sciences, University of Natural Resources and Life Sciences Vienna (BOKU), Schloßhofer Straße 31, 2301 Groß-Enzersdorf, Austria
4
Department of Environmentalistics and Natural Resources, Faculty of Regional Development and International Studies, Mendel University in Brno, Zemědělská 1, 61300 Brno, Czech Republic
5
Institute of Crop Production, University of Agriculture of Cracow, Al. Mickiewicza 21, 31-120 Cracow, Poland
*
Author to whom correspondence should be addressed.
Agriculture 2023, 13(5), 997; https://doi.org/10.3390/agriculture13050997
Submission received: 24 February 2023 / Revised: 31 March 2023 / Accepted: 27 April 2023 / Published: 30 April 2023
(This article belongs to the Section Crop Production)

Abstract

Poppy cultivation has a long tradition in Central Europe. Growing winter poppy instead of the commonly grown spring poppy might increase seed yield, especially in the face of changing climatic conditions. However, knowledge regarding optimum sowing date and optimum sowing rate for winter poppy under Pannonian climate conditions in Central Europe is missing. Therefore, a two-year field experiment was performed in Eastern Austria with four sowing dates ranging from early September to mid/end of October and two sowing rates with 50 or 100 mg seeds m−2. Seed yields were considerably higher than values reported for spring poppy throughout all sowing dates, mainly due to a higher number of seeds capsule−1 and, thereby, a higher seed yield capsule−1. The highest seed yields were obtained by sowing in early October, while the earliest and especially the latest sowing date resulted in lower seed yields. Consequently, the optimum sowing date for winter poppy under Pannonian climate conditions in Central Europe is early October but sowing can be performed over a wider range of dates. No seed yield differences were observed between sowing rates. Consequently, the sowing rate can be much lower than the recommended sowing rate for spring poppy.

1. Introduction

The cultivation of poppy (Papaver somniferum L.) has a long tradition in Central Europe. Poppy seeds are used for bakery products. The seeds have a high oil content (45–50%). The oil is nutritionally beneficial due to a high proportion of double unsaturated linoleic acid and is, therefore, used as edible oil, but also in the pharmaceutical industry and for the production of paints and soaps.
In Austria, poppy is almost exclusively grown as a spring crop. The mean area of poppy grown in Austria is just 2145 ha (2008–2017). Seed yields varied in this period between 59.7 and 92.8 g m−2, with a mean yield of 75.0 g m−2 [1]. Climate change will make the cultivation of spring crops much more challenging under Pannonian climate conditions in Central Europe, as it is expected to result in higher temperatures all year round and a lower total annual amount of precipitation, with a change of precipitation distribution to more precipitation in winter and early spring and less precipitation in summer [2].
A lack of winter moisture makes the cultivation of spring poppy risky in arid areas. Should early spring become more wet, that would also be negative due to a delay in cultivation, as poppy should be sown as early as possible in spring due to its relatively long vegetation period. In addition, poppy is a long-day plant with slow early development. Early sowing is, therefore, beneficial for the development of productive crop stands with sufficient leaf area before flowering, as the vegetative phase of poppy takes a relatively long time, and so, poppy starts to bloom very late. Lack of water, especially during the transition from the vegetative to the generative phase, can lead to significant reductions in yield [3,4]. Therefore, a summer drought that starts earlier with climate change would additionally have a negative impact on yield.
An alternative could be growing poppy as a winter crop. Autumn-sowing may result in higher yields under Pannonian climate conditions in Central Europe, as much more time is available for the formation of yield components as shown for facultative wheat (Triticum aestivum L.) [5,6] and facultative triticale (×Triticosecale Witt.) [7]. Autumn-sowing of winter forms of the traditional spring crops faba bean (Vicia faba L.) and pea (Pisum sativum L.) also resulted in higher yields and higher nitrogen uptake [8,9,10,11]. Contrary to Central Europe, in Turkey, poppy is generally sown in autumn in early October. Spring-sowing is also possible [12] but the seed yield of winter poppy is much higher due to a higher number of capsules plant−1, bigger capsules and a higher thousand seed pisweight (TSW) [13].
The first winter poppy variety (ZENO) was registered in 1997 in the European Union. Winter poppy is not a typical winter annual plant but underwent a morphological adaptation as a winter crop during its crop evolution [14]. Two winter poppy varieties grown in the Marchfeld in Eastern Austria outyielded two spring poppy varieties by 50% in a two-year trial [15]. Multi-year and multi-site variety testing results of the Austrian Agency for Health and Food Safety showed an overall mean yield of 158 g m−2 for winter poppy which surpassed that of spring poppy at 121 g m−2 [16]. Autumn-sowing of poppy in Hungary resulted in higher dry matter contents compared to spring-sowing due to extension of the vegetation cycle [17], whereas in a two-year field trial in Slovenia, a similar yield was found for autumn- and spring-sowing of poppy, although winter poppy had a higher single plant yield but a lower plant density due to poor overwintering [18].
There is still a lack of experience for the optimal sowing time of winter poppy under Pannonian climate conditions in Central Europe. The question arises, if sowing shall be carried out as early as oilseed rape (allowing for a good stand establishment before winter) or later, like winter wheat (promising better winter hardiness). Winter hardiness correlates negatively with the rosette size, i.e., a plant with a smaller rosette is less sensitive to winter kill [16]. Optimizing the sowing date in autumn will be of high importance under conditions of climate change in Eastern Austria, as simulation results for winter wheat have shown [19]. For different sowing times of winter poppy in Central Europe, however, we are only aware of a one-year trial in Germany, where no yield differences occurred between sowing at the end of September or mid-October [20]. The sowing rate recommended for spring poppy of 100 to 150 mg m−2 [3] might be also not ideal for winter poppy which develops larger plants and, thereby, a higher intraspecific competition between single plant occurs. Therefore, the aim of this study was to assess yields and yield formation of winter poppy as affected by different sowing dates and sowing rates in autumn.

2. Materials and Methods

2.1. Environmental Conditions

The experiment was carried out in 2014/15 and 2015/16 on fields of the Experimental Farm Groß-Enzersdorf of the University of Natural Resources and Life Sciences Vienna (BOKU) in Raasdorf (48°14′ N, 16°33′ E; altitude: 153 m a.s.l.). Raasdorf is located east of Vienna on the edge of the Marchfeld plain which belongs to the Pannonian Basin. The soil is a silty loam chernozem of alluvial origin and rich in calcareous sediments.
The mean annual temperature is 10.7 °C and the mean annual precipitation is 568 mm (1995–2020) [21]. The long-term average monthly temperature and precipitation from October to June and the deviations during the two growing seasons are summarized in Table 1.
The mean temperature and precipitation in the vegetative period of winter poppy from October to June were 8.1 °C and 361 mm. Mean values were 9.0 °C and 287 mm in 2014/15 and 9.0 °C and 449 mm in 2015/16. The mean temperature was above the long-term average in both experimental years, with a warmer winter but a slightly colder late spring in both years. The rainfall was lower than the long-term average in 2014/15 in all months except for December and January, whereas rainfall was above the long-term average in the 2015/16 season in all months except for December and January.

2.2. Experimental Setup and Treatments

The experiment was performed in a split-plot design with two factors and four replications: Sowing date was assigned to the main plots and sowing rate to the subplots. The subplots had a size of 10 × 1.5 m.
The winter poppy variety ZENO2002 was sown on four sowing dates (SD) from early September to the middle or end of October about every second week, with a short delay of the 3rd SD and a longer delay of the 4th SD in the second experimental year due to weather conditions: SD 1 = 8 September 2014 or 8 September 2015, SD 2 = 22 September 2014 or 22 September 2015, SD 3 = 2 October 2014 or 6 October 2015, SD 4 = 13 October 2014 or 27 October 2015. Sowing was carried out with 50 or 100 mg germinable seeds m−2.
The preceding crops were spring barley in 2014/15 and spring durum wheat in 2015/16. Seedbed preparation was performed with a tine cultivator to a depth of 20 cm. Sowing of six rows per plot with a row spacing of 23 cm was performed with a plot drill Plotseed XL from Wintersteiger AG (Ried im Innkreis, Austria). Weed control was performed manually throughout the experiment. Plants were sprayed against pests, when necessary, with deltamethrin Decis® at 7.5 g a.i. ha−1. No fertilization was applied.

2.3. Experimental Setup and Treatments

Digital color pictures (one per plot) were taken up to mid-May and used for image analysis to assess percentage of soil cover of crops according to Richardson et al. [22] and Karcher and Richardson [23] using SigmaScan Pro5 software.
Plants were harvested manually by cutting plants in rows representing 2 m² per plot at the soil surface at full ripeness on 7 July 2015 or 5 July 2016. Capsules were picked from plants and crashed to get seeds manually. After sieving, seeds were dried at 40 °C for 3 d and crop residues (consisting of stems, leaves and capsule walls) at 105 °C for 1 d.

2.4. Statistics

Statistical analyses were performed using SAS version 9.2. Analysis of variance with subsequent multiple comparisons of means was performed with PROC ANOVA. Means were separated by least significant differences (LSD), when the F-test indicated factorial effects on the significance level of p < 0.05. Based on statistical results, data are presented for the main factor sowing rate and interactions of sowing date × year. Pearson correlation coefficients were calculated for yields and yield components.

3. Results

3.1. Soil Coverage

The soil coverage of winter poppy in 2014/15 was ranked among sowing dates as follows: 1 > 2 > 3, 4. Winter poppy entered winter with a soil coverage of 50.3% (SD 1), 25.4% (SD 2), 7.2% (SD 3) or 2.2% (SD 4) (Figure 1A). In March and mid-April, the soil coverage was ranked as follows: 1 > 2 > 3, 4. At the beginning of May, the soil coverage of all sowing dates reached over 90% and did not differ between sowing dates anymore (Figure 1B). The higher sowing rate resulted in higher soil coverage before winter and in mid-March, while from end of March on, soil coverage did not differ between sowing rates (Figure 1C,D).
The soil coverage of winter poppy in 2015/16 was ranked among sowing dates as follows: 1 > 2 > 3 > 4. Winter poppy entered winter with a soil coverage of 5.4% (SD 1), 4.1% (SD 2), 2.1% (SD 3) or 0.4% (SD 4) (Figure 1E). Soil coverage was ranked among sowing dates in early April as follows 1, 2 > 3 > 4, and in early May as follows: 1, 2 > 4, 3. Soil coverage of all sowing dates was >85% in early May (Figure 1F). The higher sowing rate resulted in higher soil coverage before winter and in early April, but no differences between sowing rates were observed in early May (Figure 1G,H).

3.2. Yield and Yield Components

The mean values over all sowing dates, sowing rates and years were: 932.1 g m−2, seed yield: 205.8 g m−2, residue yield: 726.2 g m−2, harvest index: 22.1%, plant density: 42.9 plants m−2, capsule density: 71.5 capsules m−2, capsules plant−1: 1.84, thousand seed weight (TSW): 420 mg, seed density: 492,118 seeds m−2, seeds plant−1: 13,207, seeds capsule−1: 6961, AGDM plant−1: 24.55 g, seed yield plant−1: 5.49 g, seed yield capsule−1: 2.10 g.
All yields and yield component parameters were higher with a sowing rate of 50 mg m−2 than with 100 mg m−2, except for the capsule density which did not differ between sowing rates (Table 2). The increase with 50 compared to 100 mg m−2 was as follows: above-ground dry matter: +13.2%, seed yield: +12.2%, residue yield: +11.8%, harvest index: +4.3%, plant density: +21.9%, capsule density: +5.6% (not significant), capsules plant−1: +31.2%, TSW: +2.6%, seed density: +15.1%, seeds plant−1: +38.7%, seeds capsule−1: +8.0%, AGDM plant−1: +37.0%, seed yield plant−1: +43.0%, seed yield capsule−1: +10.0%.
AGDM was higher in 2015/16 than in 2014/15 and ranked among sowing dates as follows: 3 ≥ 2 ≥ 1 > 4 (Figure 2A). Seed yield was ranked as follows: 3 ≥ 2, 4 > 1 in 2014/15, and as follows 3 > 2, 1, 4 in 2015/16. Seed yield was higher for SD 2 in 2015/16 compared to 2014/15 (Figure 2B). Residue yield was higher in 2015/16 than in 2014/15 and ranked among sowing dates as follows: 3, 2, 1 > 4 (Figure 2C). The harvest index was ranked as follows: 4, 3 > 2, 1 in 2014/15, and 3 ≥ 4 ≥ 2 ≥ 1 in 2015/16. The harvest index was higher for SD 2 in 2015/16 compared to 2014/15 (Figure 2D).
Plant density was ranked as follows: 2 ≥ 1 ≥ 4, 3 in 2014/15, and 4 > 1, 2, 3 in 2015/16. Plant density was higher for SD 1, 2 and 3 in 2014/15 compared to 2015/16 (Figure 2E). Capsule density was higher in 2014/15 than in 2015/16 and ranked among sowing dates as follows: 3, 2, 1 > 4 (Figure 2F). The number of capsules plant−1 was higher in 2015/16 than in 2014/15 and ranked among sowing dates as follows: 3 > 2, 1 > 4 (Figure 2G). TSW was higher in 2014/15 than in 2015/16 and ranked among sowing dates as follows: 2 ≥ 3 ≥ 1 ≥ 4 (Figure 2H).
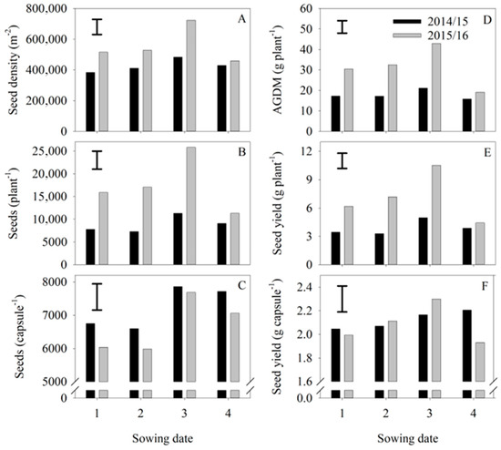
Seed density was ranked as follows: 3 ≥ 4, 2 ≥ 1 in 2014/15, and 3 > 1, 2, 4 in 2015/16. Seed density was higher for SD 1, 2 and 3 in 2015/16 compared to 2014/15 (Figure 3A). The number of seeds plant−1 did not differ between sowing dates in 2014/15 and was ranked in 2015/16 as follows: 3 > 2, 1 > 4. The number of seeds plant−1 was higher for SD 1, 2 and 3 in 2015/16 compared to 2014/15 (Figure 3B). The number of seeds capsule−1 was ranked as follows: 4, 3 > 1, 2 in 2014/15, and 3 > 4, 2, 1 in 2015/16. The number of seeds capsule−1 was higher for SD 1, 2 and 3 in 2015/16 compared to 2014/15 (Figure 3C).
AGDM plant−1 did not differ between sowing dates in 2014/15, and was ranked as follows: 3 > 2, 1 > 4 in 2015/16. AGDM plant−1 was higher for SD 1, 2 and 3 in 2015/16 compared to 2014/15 (Figure 3D). Seed yield plant−1 was ranked as follows: 3 ≥ 4, 1 ≥ 2 in 2014/15, and 3 > 2, 1 > 4 in 2015/16. Seed yield plant−1 was higher for SD 1, 2 and 3 in 2015/16 compared to 2014/15 (Figure 3E). Seed yield capsule−1 did not differ between sowing dates in 2014/15 and was as follows 3 ≥ 2 ≥ 1 ≥ 4 in 2015/16. Seed yield capsule−1 was higher for SD 4 in 2014/15 compared to 2015/16 (Figure 3F).

3.3. Correlation among Yield and Yield Components

The Pearson correlation coefficients for yield and yield parameters are shown in Table 3. AGDM, seed yield and residue yield correlated positively with each other and with all other parameters except plant density, where a negative correlation was observed, and TSW, where no correlation was observed. The harvest index correlated negatively with plant density and did not correlate with TSW but correlated positively with all other parameters. Plant density further correlated negatively with capsules plant−1, seed density, seeds plant−1, seeds capsule−1, AGDM plant−1, seed yield plant−1 and seed yield capsule−1, but positively with TSW and no correlation was observed with capsule density. Capule density was positively correlated with all parameters except for harvest index, capsules plant−1, TSW and AGDM plant−1, where no correlation was observed. Capsules plant−1 were positively correlated with all parameters except for harvest index and TSW, where no correlation was observed. TSW correlated positively with plant density, but negatively with seeds plant−1 and seeds capsule−1. Seed density, seeds plant−1, seeds capsule−1, AGDM plant−1, seed yield plant−1 and seed yield capsule−1 correlated positively with each other. The seed yield capsule−1 was reduced with increasing plant density but was not affected by capsule density, capsules plant−1 and TSW.

4. Discussion

Early sowing of winter poppy resulted in the first experimental year in much higher soil coverage compared to values reported for winter faba bean, winter pea, winter triticale and winter wheat at the same location, but all these crops also attained soil coverage >90% at about the same time (end of April) as winter poppy [5,7,8]. Fast coverage by plants is important for radiation interception and soil protection against erosion processes [24]. Soil coverage is affected by variety, seed size, sowing rate, row spacing and year [25,26]. Klima and Wiśniowska-Kielian [24] reported that soil protection against erosion of triticale and faba bean started at 15% or 30% soil cover, respectively. Both values can already be surpassed in late autumn by winter poppy. Therefore, winter poppy can be regarded as beneficial for soil protection in late autumn, winter and early spring.
Seed yields of winter poppy were almost three times higher than average yield levels of mainly spring poppy in Austria [1]. These much higher yields are not just explainable by the in autumn-sowing but also by the better growing conditions in the Marchfeld plain where our experiment was conducted to other regions in Austria where poppy is cultivated. High seed yields with winter poppy of 150 g m−2 were also reported under good conditions in Switzerland [27]. Yield stability might also be increased, as that of spring crops tend to be lower due to a shorter growing period and higher dependence on water availability during spring [28]. A water deficit for poppy was reported to result in lower biomass production but in a higher harvest index [29]. The harvest index in our experiment did not negatively correlate with AGDM production.
Sowing time also affects the incidence of fungal diseases [30] and the abundance of pests and weeds [31]. However, no specific studies are available for winter poppy versus spring poppy.
Common values of yield components reported for spring poppy are 60–70 plants m−2 and about 100 capsules m−2 [32], 2000–3000 [3] or 2500–4000 seeds capsule−1 [33] and a TSW of 0.3–0.6 g [34] or 0.3–0.7 g [33]. Compared to these values, the mean plant and capsule density in the present study were about one third lower, with the number of seeds capsule−1 about two to three-fold higher and the TSW in the same range. Consequently, higher yields of winter poppy compared to spring poppy are a result of the higher number of seeds capsule−1 and, thereby, the higher seed yield capsule−1. Capsule size and number of capsules plant−1 can also be increased by nitrogen fertilization [35] and seed yield capsule−1 also with irrigation [36]. Additionally, potassium and magnesium fertilization can increase the seed yield of poppy [37].
The higher sowing rate resulted in lower yields as the number of capsules plant−1 was strongly reduced and also the number of seeds capsule−1 and TSW were lower with the higher sowing rate. As the number of capsules plant−1 is formed earlier than the other parameters, this indicates that intraspecific competition between poppy plants already strongly occurred during capsule formation, but also later during seed set and seed development. The size and weight of the capsule increased rapidly after flowering [38]. Sowing rate influences canopy development, radiation absorption and dry matter production and its partitioning [39]. Crop management practices such as shading that limit carbohydrate availability during floral initiation reduce final capsule size and the number of seeds capsule−1 [40].
Early formed yield components are strongly affected by competition, which was also shown for other field crops grown in Austria. Doubling the sowing rate of soybean (Glycine max (L.) Merrill) also resulted in no seed yield differences as the number of pods plant−1 was reduced by about half, whereas the number of seeds pod−1 and TSW were not affected [26]. Competition between oat (Aventa sativa L.) and pea in intercrops considerably affected seed yield and seed density of both crops, whereas TSW was less affected [41]. Both autumn and spring sown faba bean had a lower number of pods plant−1 at a higher sowing rate, but the reduction was not as strong in spring faba bean, where less AGDM was produced and, thereby, also less competition occurred. However, in both sowing dates, seeding rate did not affect seeds pod−1 and TSW [11].
Results indicate that the sowing rate of winter poppy can be much lower than the recommended sowing rate of spring poppy. However, either a too high or a too low plant density can reduce yield. From a field trial in Tasmania comparing plant densities from 10–200 poppy plants m−2, the optimum plant density was reported with 70 plants m−2 [42].
The AGDM and seed yield was high over all sowing dates but highest values were found with SD 3 followed by SD 2. Consequently, neither very early nor very late sowing seems to be optimal for winter poppy under Pannonian climate conditions in Central Europe. Similar to our observation, Amalfitano et al. [43] also reported for winter faba bean, grown in Italy at five sowing dates ranging from late September to late November, the highest yields not with the earlier sowing dates but with sowing in early November.
High seed yields were obtained due to a higher number of capsules plant−1 and, thereby, a higher capsule density, and a higher TSW; the combination of both resulted in a high seed yield capsule−1. Similar observations were made in Poland with spring poppy, where delayed sowing resulted in lower yields as the number of capsules plant−1 and, thereby, the capsule density decreased [44]. Late sowing of poppy in autumn also resulted in the lowest seed yield of poppy in India [45] and Turkey, where the lowest seed yields were also associated with the lowest number of capsules plant−1 [46]. Additionally, for other crops, lower yields with late sowing in autumn were explained mainly due to a reduction in seed heads. Late sowing of winter faba bean in Australia reduced the number of pods and TSW, as the duration of pod development was shorter, but had no effect on seeds pod−1 [47]. Late sowing of oilseed rape in England considerably reduced pod density but increased the number of seeds pod−1 and resulted in lower and more variable yields [48].
Correlation analysis showed that higher plant density due to a higher sowing rate reduced all yield parameters and yield components except capsule density and TSW. For the seed yield of winter poppy, Dobos [49] observed a positive correlation with the number of capsules plant−1 but a negative correlation with capsule size, arguing that plants can develop either large or numerous capsules. Similar to that observation, we found a positive correlation of seed yield with the number of capsules plant−1 but also a positive correlation of seed yield with the seed yield capsule−1. It has to be noted that Kara and Baydar [50] reported a negative correlation between seed yield capsule−1 and oil content.

5. Conclusions

The optimum sowing date for winter poppy under Pannonian climate conditions in Central Europe is early October but sowing can be performed over a wider range of dates. Sowing rate can be much lower than the recommended sowing rate for spring poppy.

Author Contributions

Conceptualization, R.W.N., G.D., H.W. and H.-P.K.; methodology, R.W.N., H.W. and H.-P.K.; software, R.W.N.; validation, R.W.N.; formal analysis, R.W.N.; investigation, R.W.N.; resources, H.W. and H.-P.K.; data curation, R.W.N.; writing—original draft preparation, R.W.N.; writing—review and editing, G.D., T.L., A.K.-K., H.W. and H.-P.K.; visualization, R.W.N.; supervision, H.W. and H.-P.K.; project administration, R.W.N. All authors have read and agreed to the published version of the manuscript.

Funding

This research received no external funding.

Data Availability Statement

The data presented in this study are available on request from the corresponding author.

Conflicts of Interest

The authors declare no conflict of interest.

References

  1. FAOSTAT. Crops and Livestock Products. Available online: https://www.fao.org/faostat/en/#data (accessed on 7 December 2021).
  2. Trnka, M.; Eitzinger, J.; Semerádová, D.; Hlavinka, P.; Balek, J.; Dubrovský, M.; Kubu, G.; Štěpánek, P.; Thaler, S.; Možný, M.; et al. Expected changes in agroclimatic conditions in Central Europe. Clim. Chang. 2011, 108, 261–289. [Google Scholar] [CrossRef]
  3. Fischbeck, G.; Heyland, K.-U.; Knauer, N. Spezieller Pflanzenbau; Eugen Ulmer: Stuttgart, Germany, 1975. [Google Scholar]
  4. Honermeier, B. Mohn. In Handbuch es Pflanzenbaues 4, Ölfrüchte, Faserpflanzen, Arzneipflanzen und Sonderkulturen; Heyland, K.-U., Hanus, H., Keller, E., Eds.; Eugen Ulmer: Stuttgart, Germany, 2006. [Google Scholar]
  5. Neugschwandtner, R.W.; Böhm, K.; Hall, R.M.; Kaul, H.P. Development, growth and nitrogen use of autumn and spring-sown facultative wheat. Acta Agric. Scand. B Soil Plant Sci. 2015, 65, 6–13. [Google Scholar] [CrossRef]
  6. Koppensteiner, L.J.; Kaul, H.-P.; Piepho, H.-P.; Barta, N.; Euteneuer, P.; Bernas, J.; Klimek-Kopyra, A.; Gronauer, A.; Neugschwandtner, R.W. Yield and yield components of facultative wheat are affected by sowing time, nitrogen fertilization and environment. Eur. J. Agron. 2022, 140, 126591. [Google Scholar] [CrossRef]
  7. Koppensteiner, L.J.; Obermayer-Böhm, K.; Hall, R.M.; Kaul, H.-P.; Wagentristl, H.; Neugschwandtner, R.W. Autumn sowing of facultative triticale results in higher biomass production and nitrogen uptake compared to spring sowing. Acta Agric. Scand. B Soil Plant Sci. 2021, 71, 806–814. [Google Scholar] [CrossRef]
  8. Neugschwandtner, R.W.; Bernhuber, A.; Kammlander, S.; Wagentristl, H.; Klimek-Kopyra, A.; Kaul, H.-P. Agronomic potential of winter grain legumes for Central Europe: Development, soil coverage and yields. Field Crops Res. 2019, 241, 107576. [Google Scholar] [CrossRef]
  9. Neugschwandtner, R.W.; Bernhuber, A.; Kammlander, S.; Wagentristl, H.; Klimek-Kopyra, A.; Kaul, H.-P. Yield structure components of autumn- and spring-sown pea (Pisum sativum L.). Acta Agric. Scand. B Soil Plant Sci. 2020, 70, 109–116. [Google Scholar] [CrossRef]
  10. Neugschwandtner, R.W.; Bernhuber, A.; Kammlander, S.; Wagentristl, H.; Klimek-Kopyra, A.; Lošák, T.; Zholamanov, K.K.; Kaul, H.-P. Nitrogen yields and biological nitrogen fixation of winter grain legumes. Agronomy 2021, 11, 681. [Google Scholar] [CrossRef]
  11. Neugschwandtner, R.W.; Bernhuber, A.; Kammlander, S.; Wagentristl, H.; Klimek-Kopyra, A.; Bernas, J.; Kaul, H.-P. Effect of two seeding rates on yield and yield components of winter and spring faba bean. Acta Agric. Scand. B Soil Plant Sci. 2022, 72, 496–505. [Google Scholar] [CrossRef]
  12. Yazici, L.; Yilmaz, G. Determination of alkaloids and oil rates of some poppy (Papaver somniferum L.) varieties cultivated as winter and summer. Int. J. Second. Metab. 2017, 4, 359–362. [Google Scholar] [CrossRef]
  13. Kara, N. The effects of autumn and spring sowing on yield, oil and morphine contents in the Turkish poppy (Papaver somniferum L.) cultivars. Turk. J. Field Crops 2017, 22, 39–46. [Google Scholar] [CrossRef]
  14. Dobos, G.; Kurch, R.; Börner, A.; Lohwasser, U. Untersuchungen zur Winterfestigkeit von Schlafmohn (Papaver somniferum L.) der Genbank in Gatersleben. Z. Arznei-Gewurzpfla. 2011, 16, 151–155. [Google Scholar]
  15. Chizolla, R.; Dobos, G. Ertrag und Nährstoffentzug von Winter- und Sommermohnsorten (Papaver somniferum L.). Z. Arznei-Gewurzpfla. 2007, 12, 30–36. [Google Scholar]
  16. Dobos, G. Wintermohn—Anpassung und agronomische Aspekte. In Proceedings of the Bericht über die 56. Tagung 2005 der Vereinigung der Pflanzenzüchter und Saatgutkaufleute Österreichs, HBLFA Raumberg—Gumpenstein, Irdning, Austria, 22–24 November 2005; pp. 53–55. [Google Scholar]
  17. Bernath, J.; Tetenyi, P. Production characteristics of Papaver somniferum L. cultivars of different origin and vegetation cycles. Bull. Narc. 1982, 34, 113–127. [Google Scholar]
  18. Ograjšek, S.; Kastelec, D.; Kocjan, D.A. The impact of the period of sowing and fertilization on morphological characteristics and seed yield of Garden poppy (Papaver somniferum L.). Acta Agric. Slov. 2016, 107, 219–228. [Google Scholar] [CrossRef]
  19. Ebrahimi, E.; Manschadi, A.M.; Neugschwandtner, R.W.; Eitzinger, J.; Thaler, S.; Kaul, H.-P. Assessing the impact of climate change on crop management in winter wheat—A case study for Eastern Austria. J. Agric. Sci. 2016, 154, 1153–1170. [Google Scholar] [CrossRef]
  20. Luhmer, K.; Blum, H.; Berg, M.; Pude, R.; Wember, L. Optimierung von Saatzeitpunkt und Nährstoffversorgung von Wintermohn. In Innovatives Denken für Eine Nachhaltige Land- und Ernährungswirtschaft. Beiträge zur 15. Wissenschaftstagung Ökologischer Landbau; Mühlrath, D., Ed.; Dr. Köster: Berlin, Germany, 2019. [Google Scholar]
  21. ZAMG. Zentralanstalt für Meteorologie und Geodynamik—Klimaübersichten. Available online: http://www.zamg.ac.at/cms/de/klima/klimauebersichten/jahrbuch (accessed on 13 October 2021).
  22. Richardson, M.D.; Karcher, D.E.; Purcell, L.C. Quantifying turfgrass cover using digital image analysis. Crop Sci. 2001, 41, 1884–1888. [Google Scholar] [CrossRef]
  23. Karcher, D.E.; Richardson, M.D. Batch analysis of digital images to evaluate turfgrass characteristics. Crop Sci. 2005, 45, 1536–1539. [Google Scholar] [CrossRef]
  24. Klima, K.; Wiśniowska-Kielian, B.; Lepiarczyk, A. The interdependence between the leaf area index value and soil-protecting effectiveness of selected plants. Plant Soil Environ. 2016, 62, 151–156. [Google Scholar] [CrossRef]
  25. Neugschwandtner, R.W.; Papst, S.; Kemetter, J.; Wagentristl, H.; Sedlář, O.; Kaul, H.-P. Effect of seed size on soil cover, yield, yield components and nitrogen uptake of two-row malting barley. Bodenkultur 2019, 70, 89–98. [Google Scholar] [CrossRef]
  26. Neugschwandtner, R.W.; Winkler, J.; Bernhart, M.; Pucher, M.A.; Klug, M.; Werni, C.; Adam, E.; Kaul, H.-P. Effect of row spacing, seeding rate and nitrogen fertilization on yield and yield components of soybean. Bodenkultur 2019, 70, 221–236. [Google Scholar] [CrossRef]
  27. Hiltbrunner, J.; Herzog, C.; Luginbühl, C.; Hebeisen, T. Sorten- und Anbauversuche mit winterhartem Mohn. Agrar. Schweiz 2014, 5, 280–285. [Google Scholar]
  28. Döring, T.F.; Reckling, M. Detecting global trends of cereal yield stability by adjusting the coefficient of variation. Eur. J. Agron. 2018, 99, 30–36. [Google Scholar] [CrossRef]
  29. Mahdavi-Damghani, A.; Kamkar, B.; Al-Ahmadi, M.J.; Testi, L.; Muñoz-Ledesma, F.J.; Villalobos, F.J. Water stress effects on growth, development and yield of opium poppy (Papaver somniferum L.). Agric. Water Manag. 2010, 97, 1582–1590. [Google Scholar] [CrossRef]
  30. McDonald, G.K.; Peck, D. Effects of crop rotation, residue retention and sowing time on the incidence and survival of ascochyta blight and its effect on grain yield of field peas (Pisum sativum L.). Field Crops Res. 2009, 111, 11–21. [Google Scholar] [CrossRef]
  31. Huusela-Veistola, E.; Jalli, H.; Salonen, J.; Pahkala, K.; Laine, A. Sowing time affects the abundance of pests and weeds in winter rye. Agric. Food Sci. 2006, 15, 43–60. [Google Scholar] [CrossRef]
  32. Novák, J.; Vašák, J.; Zukalová, H. Biologie máku, požadavky na prostředí, ideotyp, alkaloidy. In Mak Praca Zbiorowa; Vašák, J., Ed.; Powerprint: Praha, Czech Republic, 2010; pp. 33–64. [Google Scholar]
  33. Frick, C.; Hebeisen, T. Mohn als alternative Ölpflanze. AGRARForschung 2005, 12, 4–9. [Google Scholar]
  34. Geisler, G. Farbatlas Landwirtschaftliche Kulturpflanzen; Eugen Ulmer: Stuttgart, Germany, 1991. [Google Scholar]
  35. Lošák, T.; Richter, R. Split nitrogen doses and their efficiency in poppy (Papaver somniferum L.) nutrition. Plant Soil Environ. 2004, 50, 484–488. [Google Scholar] [CrossRef]
  36. Chung, B. The effect of irrigation on the growth and yield components of poppies (Papaver somniferum L.). J. Agric. Sci. 1987, 108, 389–394. [Google Scholar] [CrossRef]
  37. Lošák, T.; Elbl, J.; Kintl, A.; Varga, L.; Ducsay, L.; Árvay, J.; Neugschwandtner, R.W.; Vollmann, J.; Gondek, K.; Mierzwa-Hersztek, M.; et al. Effect of poppy (Papaver somniferum L.) fertilization with potassium and magnesium on the seed yield and its quality. Acta Fytotechn. Zootechny. 2022, 25, 242–246. [Google Scholar] [CrossRef]
  38. Bunting, E.S. Changes in the capsule of Papaver somniferum between flowering and maturity. Ann. Appl. Biol. 1963, 51, 459–471. [Google Scholar] [CrossRef]
  39. Loss, S.P.; Siddique, K.H.M.; Martin, L.D.; Crombie, A. Responses of faba bean (Vicia faba L.) to sowing rate in south-western Australia II. Canopy development, radiation absorption and dry matter partitioning. Aust. J. Agric. Res. 1998, 49, 999–1008. [Google Scholar]
  40. Hope, E.; Carins-Murphy, M.R.; Hudson, C.; Baxter, L.; Gracie, A. Opium poppy capsule growth and alkaloid production is constrained by shade during early floral development. Ann. Appl. Biol. 2000, 176, 296–307. [Google Scholar] [CrossRef]
  41. Neugschwandtner, R.W.; Kaul, H.-P. Sowing ratio and N fertilization affect yield and yield components of oat and pea in intercrops. Field Crops Res. 2014, 155, 159–163. [Google Scholar] [CrossRef]
  42. Chung, B. Effects of plant population density and rectangularity on the growth and yield of poppies (Papaver somniferum). J. Agric. Sci. 1990, 115, 239–245. [Google Scholar] [CrossRef]
  43. Amalfitano, C.; Agrelli, D.; Borrelli, C.; Cuciniello, A.; Morano, G.; Caruso, G. Production system effects on growth, pod yield and seed quality of organic faba bean in southern Italy. Folia Hortic. 2018, 30, 375–385. [Google Scholar] [CrossRef]
  44. Zając, T.; Oleksy, A.; Klimek-Kopyra, A. Comparison of growth and productivity of the low morphine poppy Papaver somniferum L. cv. Mieszko depending on sowing date. Acta Agrobot. 2011, 64, 67–78. [Google Scholar] [CrossRef]
  45. Yadav, R.L.; Mohan, R.; Singh, R.; Gupta, M.M. Effect of sowing date, population density and row spacing on growth and yield of opium poppy in north central subtropical. India. J. Agric. Sci. 1983, 101, 163–167. [Google Scholar] [CrossRef]
  46. Kara, N.; Baydar, H. The influence of sowing and planting seedlings at different dates in autumn on the yield and quality of the opium poppy (Papaver somniferum L.). J. Appl. Res. Med. Aromat. Plants 2021, 21, 100290. [Google Scholar] [CrossRef]
  47. Adisarwanto, T.; Knight, R. Effect of sowing date and plant density on yield and yield components in the faba bean. Aust. J. Agric. Res. 1997, 48, 1161–1168. [Google Scholar] [CrossRef]
  48. Mendham, N.J.; Shipway, P.A.; Scott, R.K. The effects of delayed sowing and weather on growth, development and yield of winter oilseed rape (Brassica napus). J. Agric. Sci. 1981, 96, 389–416. [Google Scholar] [CrossRef]
  49. Dobos, G. Winter-poppy—A new genotype for seed production. Beiträge Zur Züchtungsforschung 1996, 2, 37–40. [Google Scholar]
  50. Kara, N.; Baydar, H. Examining of relationships among traits using correlation, path and principal components analysis methods in Turkish opium poppy (Papaver somniferum L.) cultivars. Tarim Bilim. Derg. 2018, 24, 286–295. [Google Scholar] [CrossRef]
Figure 1. Soil coverage of winter poppy flower as affected by sowing date (sowing dates 1–4, ranging from early September to mid/end of October) and sowing rate in (AD) 2014/15 and (EH) 2015/16. Error bars are LSD (p < 0.05).
Figure 1. Soil coverage of winter poppy flower as affected by sowing date (sowing dates 1–4, ranging from early September to mid/end of October) and sowing rate in (AD) 2014/15 and (EH) 2015/16. Error bars are LSD (p < 0.05).
Agriculture 13 00997 g001
Figure 2. (A) Above-ground dry matter yield (AGDM), (B) seed yield, (C) residue yield, (D) harvest index, (E) plant density, (F) capsule density, (G) capsules plant−1 and (H) thousand seed weight (TSW) of winter poppy as affected by sowing date (ranging from early September to mid/end of October) and sowing rate in 2014/15 and 2015/16. SD = sowing date, Y = year. Significant effects at p < 0.05 (*), p < 0.01 (**) and p < 0.001 (***), n. s. = not significant. Error bars are LSD (p < 0.05). Different letters show significant differences between sowing dates (main effects).
Figure 2. (A) Above-ground dry matter yield (AGDM), (B) seed yield, (C) residue yield, (D) harvest index, (E) plant density, (F) capsule density, (G) capsules plant−1 and (H) thousand seed weight (TSW) of winter poppy as affected by sowing date (ranging from early September to mid/end of October) and sowing rate in 2014/15 and 2015/16. SD = sowing date, Y = year. Significant effects at p < 0.05 (*), p < 0.01 (**) and p < 0.001 (***), n. s. = not significant. Error bars are LSD (p < 0.05). Different letters show significant differences between sowing dates (main effects).
Agriculture 13 00997 g002
Figure 3. (A) Seed density, (B) seeds plant−1, (C) seeds capsule−1, (D) above-ground dry matter (AGDM) plant−1 (g), (E) seed yield plant−1 and (F) seed yield capsule−1 of winter poppy as affected by sowing date (ranging from early September to mid/end of October) and sowing rate in 2014/15 and 2015/16. SD = sowing date, Y = year. Error bars are LSD (p < 0.05).
Figure 3. (A) Seed density, (B) seeds plant−1, (C) seeds capsule−1, (D) above-ground dry matter (AGDM) plant−1 (g), (E) seed yield plant−1 and (F) seed yield capsule−1 of winter poppy as affected by sowing date (ranging from early September to mid/end of October) and sowing rate in 2014/15 and 2015/16. SD = sowing date, Y = year. Error bars are LSD (p < 0.05).
Agriculture 13 00997 g003
Table 1. Long-term average monthly temperature and precipitation (1995–2020) and deviations during the 2014/15 and 2015/16 growing seasons.
Table 1. Long-term average monthly temperature and precipitation (1995–2020) and deviations during the 2014/15 and 2015/16 growing seasons.
Temperature (°C) Precipitation (mm)
Mean2014/152015/16Mean2014/152015/16
(1995–2020)(±)(±)(1995–2020)(±)(±)
October10.51.5−0.839.9−9.038.0
November5.92.01.932.8−7.0−13.0
December1.32.42.230.88.0−15.0
January0.42.6−0.326.416.015.0
February2.2−0.14.421.4−6.027.0
March5.90.20.434.2−6.016.0
April11.2−0.3−0.439.2−11.03.0
May15.8−0.5−0.165.4−20.040.0
June19.70.10.671.0−38.010.0
Table 2. Yield and yield components of winter poppy as affected by sowing rate. Values are means over years and sowing dates.
Table 2. Yield and yield components of winter poppy as affected by sowing rate. Values are means over years and sowing dates.
Parameter Sowing Rate (mg m−2)p-Value
50100
Above-ground dry matter(g m−2)990875**
Seed yield(g m−2)223189**
Residue yield(g m−2)767686*
Harvest index(%)22.621.6*
Plant density (m−2)38.647.1***
Capsule density(m−2)73.469.6n. s.
Capsules(plant−1)2.081.59***
Thousand seed weight(mg)425414**
Seed density(m−2)526,750457,486**
Seeds(plant−1)15,34711,066***
Seeds(capsule−1)72306692**
Above-ground dry matter(g plant−1)28.3920.72***
Seed yield(g plant−1)6.464.52***
Seed yield(g capsule−1)2.202.00***
Significance level: n. s. = not significant, p < 0.05 (*), p < 0.01 (**), p < 0.001 (***).
Table 3. Pearson correlation coefficients for yield and yield components in both years (n = 64).
Table 3. Pearson correlation coefficients for yield and yield components in both years (n = 64).
Seed YieldResidue YieldHarvest IndexPlant DensityCapsule DensityCapsules Plant−1TSWSeed DensitySeeds Plant−1Seeds Capsule−1AGDM Plant−1Seed Yield Plant−1Seed Yield Capule−1
AGDM0.87 ***0.99 ***−0.01−0.45 ***0.76 ***0.77 ***0.190.82 ***0.71 ***0.27 *0.81 ***0.75 ***0.43 ***
Seed yield 0.78 ***0.47 ***−0.53 ***0.65 ***0.79 ***0.070.97 ***0.84 ***0.54 ***0.82 ***0.87 ***0.50 ***
Residue yield −0.17−0.40 ***0.75 ***0.72 ***0.220.73 ***0.63 ***0.160.76 ***0.67 **0.38 **
Harvest index −0.27 *−0.010.21−0.150.49 ***0.39 **0.58 ***0.190.39 **0.26 *
Plant density −0.03−0.76 ***0.35 **−0.60 **−0.82 ***−0.66 ***−0.82 ***−0.80 ***−0.36 **
Capsule density 0.60 ***0.41 ***0.54 ***0.37 **−0.24 *0.47 ***0.42 ***0.00
Capsules plant−1 −0.050.79 ***0.92 ***0.36 **0.96 ***0.93 ***0.20
TSW −0.17−0.24 *−0.56 ***−0.11−0.140.22
Seed density 0.89 ***0.66 ***0.85 ***0.89 ***0.43 ***
Seeds plant−1 0.67 ***0.96 ***0.99 ***0.35 **
Seeds capsule−1 0.54 ***0.63 ***0.51 ***
AGDM plant−1 0.97 ***0.35 **
Seed yield plant−1 0.39 **
AGDM = Above ground-dry matter, TSW = Thousand seed weight. Significant effects at p < 0.05 (*), p < 0.01 (**) and p < 0.001 (***).
Disclaimer/Publisher’s Note: The statements, opinions and data contained in all publications are solely those of the individual author(s) and contributor(s) and not of MDPI and/or the editor(s). MDPI and/or the editor(s) disclaim responsibility for any injury to people or property resulting from any ideas, methods, instructions or products referred to in the content.

Share and Cite

MDPI and ACS Style

Neugschwandtner, R.W.; Dobos, G.; Wagentristl, H.; Lošák, T.; Klimek-Kopyra, A.; Kaul, H.-P. Yield and Yield Components of Winter Poppy (Papaver somniferum L.) Are Affected by Sowing Date and Sowing Rate under Pannonian Climate Conditions. Agriculture 2023, 13, 997. https://doi.org/10.3390/agriculture13050997

AMA Style

Neugschwandtner RW, Dobos G, Wagentristl H, Lošák T, Klimek-Kopyra A, Kaul H-P. Yield and Yield Components of Winter Poppy (Papaver somniferum L.) Are Affected by Sowing Date and Sowing Rate under Pannonian Climate Conditions. Agriculture. 2023; 13(5):997. https://doi.org/10.3390/agriculture13050997

Chicago/Turabian Style

Neugschwandtner, Reinhard W., Georg Dobos, Helmut Wagentristl, Tomáš Lošák, Agnieszka Klimek-Kopyra, and Hans-Peter Kaul. 2023. "Yield and Yield Components of Winter Poppy (Papaver somniferum L.) Are Affected by Sowing Date and Sowing Rate under Pannonian Climate Conditions" Agriculture 13, no. 5: 997. https://doi.org/10.3390/agriculture13050997

APA Style

Neugschwandtner, R. W., Dobos, G., Wagentristl, H., Lošák, T., Klimek-Kopyra, A., & Kaul, H.-P. (2023). Yield and Yield Components of Winter Poppy (Papaver somniferum L.) Are Affected by Sowing Date and Sowing Rate under Pannonian Climate Conditions. Agriculture, 13(5), 997. https://doi.org/10.3390/agriculture13050997

Note that from the first issue of 2016, this journal uses article numbers instead of page numbers. See further details here.

Article Metrics

Back to TopTop