Next Article in Journal
Calibration of Contact Parameters for Particulate Materials in Residual Film Mixture after Sieving Based on EDEM
Previous Article in Journal
Assessing the Role of Crop Rotation in Shaping Foliage Characteristics and Leaf Gas Exchange Parameters for Winter Wheat
 
 
Font Type:
Arial Georgia Verdana
Font Size:
Aa Aa Aa
Line Spacing:
Column Width:
Background:
Article

Improving the Selection Efficiency of Breeding Material within Interspecific Brassicaceae Hybrids with Genomic Prediction and Phenotyping

1
Department of Genetics and Plant Breeding, Poznań University of Life Sciences, Dojazd 11, 60-632 Poznań, Poland
2
Department of Mathematical and Statistical Methods, Poznań University of Life Sciences, Wojska Polskiego 28, 60-637 Poznań, Poland
3
Institute of Plant Genetics of the Polish Academy of Sciences, Strzeszyńska 34, 60-479 Poznań, Poland
*
Author to whom correspondence should be addressed.
Agriculture 2023, 13(5), 962; https://doi.org/10.3390/agriculture13050962
Submission received: 20 March 2023 / Revised: 10 April 2023 / Accepted: 24 April 2023 / Published: 26 April 2023
(This article belongs to the Section Crop Genetics, Genomics and Breeding)

Abstract

Various molecular markers can be applied to accelerate the breeding process of Brassicaceae plants. The aim of the present study was to assess the usefulness of available markers connected to blackleg resistance and to screen for markers linked to genes influencing major morphological characteristics, suitable for the further selection of Brassicaceae hybrids. Combining the field and molecular results allowed for the selection of useful SSR markers, including mstg004 and mstg027 markers connected to the color of the flowers and marker mstg038 associated with stem color. The field trails were also conducted to investigate the level of blackleg resistance, which permitted the selection of rapeseed hybrids with B. fruticulosa, B. carinata, and S. alba exhibiting the lowest infestation. Furthermore, the functionality of some of the resistance-linked markers was confirmed. The importance of interspecific hybridization and the use of marker-assisted selection are discussed, and the high utility of presented markers in further studies is highlighted.

1. Introduction

The Brassicaceae family includes more than 3700 species, including annuals, biennials, and herbaceous perennials [1]. Some of the most recognizable members of this large family include Brassica napus (one of the most important sources of edible oil), Brassica carinata (protein and biodiesel crop), Brassica oleracea, and Brassica rapa (vegetables). Furthermore, some Brassicaceae species, such as Brassica juncea and B. oleracea ssp., show considerable medical potential [2]. This demonstrates the great economic importance of the family. Interspecific hybridization is a commonly occurring event in Brassicaceae. For example, rapeseed is an amphidiploid plant (AACC) resulting from a spontaneous hybridization of Brassica rapa (AA) and Brassica oleracea (CC) more than 7000 years ago [3]. B. napus shows significant potential for interspecific hybridization with members of the same family. Moreover, it can cross spontaneously with B. rapa, as proven in field and greenhouse studies [4]. Induced hybridization, often supported by in vitro techniques [5], can be effectively used as a tool to transfer desirable traits from wild and related species to crop plants, including the introgression of resistance to Sclerotinia stem rot [6]. Resistance to Leptosphaeria maculans, the causal agent of blackleg, has been identified and transferred to rapeseed from many Brassica accessions, such as B. rapa subsp. sylvestris [7] and B. juncea [8].
Molecular markers are a powerful tool for tracking important genes, and can be successfully applied to Brassicaceae breeding programs [9]. Available marker systems include the restriction fragment length polymorphism (RFLP), randomly amplified polymorphic DNA (RAPD), simple sequence repeats (SSRs), inter-simple sequence repeats (ISSRs), sequence-tagged sites (STSs), sequence-characterized amplified region (SCAR), and amplified fragment length polymorphism (AFLP).
The regions connected to morphological traits, as well as biotic and abiotic stresses, can be identified via the genetic marker techniques; for example, the winter survival QTL detected with AFLP and RFLP markers [10], the yellow seed color gene flanked by RAPD markers [11], and the quantitative resistance to L. maculans identified with RAPD and RFLP markers [12]. Currently, the selection of L. maculans-resistant genotypes relies mainly on susceptibility screening using differential fungal isolates with known Avr genes [13]. However, this approach has considerable limitations, such as masking the presence of some genes by others. The application of verified markers connected to the desirable genes can undoubtedly accelerate and facilitate the selection of valuable genotypes, without the reliance on environment-dependent and time-consuming phenotyping assessments.
The molecular markers in Brassicaceae can also be implemented to track the genomic origins and phylogenetic relationship of various species [14], or to characterize the genetic diversity of related species [15]. Such studies are crucial for the crop’s improvement, as they help to identify the genetic variability in cultivars and breeding components, which may further lead to the introgression of agronomically important traits into the species’ germplasm [16].
The plant material used in the present study was previously identified as a promising source of resistance to economically significant pests and diseases [17,18,19]. This research focused on assessing the usefulness of available markers connected to blackleg resistance in a diversified group of hybrid individuals, as well as screening for markers linked to genes influencing major morphological characteristics, suitable for the further selection of breeding material.

2. Materials and Methods

2.1. Plant Material

A total of 49 individuals were used as research material: 31 interspecific Brassicaceae hybrids of F9 generation along with 18 parental Brassicaceae species. Interspecific hybrids were obtained at the Department of Genetics and Plant Breeding, Poznań University of Life Sciences. Various cultivars of B. napus (Jet Neuf, Górczański, Lisek, Californium, Zhongshuang9, MS8) were crossed with Brassicaceae species (B. rapa ssp. pekinensis, B. rapa ssp. chinensis, B. rapa Pak Choi, S. alba, B. tournefortii, B. oleracea, B. fruticulosa) in controlled conditions, followed by embryo rescue to assist the successful development of interspecific hybrids. Next, all developed lines were self-pollinated to obtain F9 generation. The complete list of plant material used in this study is available in Supplementary Material File S1.

2.2. Methods

2.2.1. Phenotype and Resistance to L. maculans Assessment

Field assessment of various morphological traits and resistance to L. maculans in interspecific hybrids was performed in 2021, in the Poznań University of Life Sciences experimental station located in Dłoń, Greater Poland Voivodeship, Poland. No fungicides or pesticides were used on the plots, and the soil and weather conditions in the testing year were typical for this area of Poland. The farming practices were adjusted for the local environment. The trial was conducted in a completely randomized block design with five replications, with single plot size of 10 m2, 0.30 m distance and, a sowing density of 60 seeds/m2.
During the flowering phase (BBCH 60–69), the following characteristics were evaluated: the percentage of yellow flowers, the percentage of white flowers, the percentage of pale yellow flowers, the percentage of green stems, the percentage of purple stems, leaf color, and the occurrence of protogyny. After harvesting, the length of siliques and the number of seeds in pods were determined. All field and post-harvest assessments were carried out on 10 randomly chosen hybrid individuals, with the exception of flower color assessment, which was conducted on at least 50 individuals per single plot.
In order to identify the resistance to L. maculans, 2 screenings for blackleg symptoms were performed, in BBCH 19 phase (November, term I) and BBCH 70–89 phase (July, term II). All plants were assessed following a 0–9 scale, according to the previous study [17]. Values obtained after field testing were subsequently transformed into percentage values. The average values from 10 replications for each genotype were calculated after the investigation of 10 randomly selected individuals from each hybrid line.

2.2.2. SSR Marker Analysis

A total of 15 SSR markers were selected according to the available literature data [20], and thoroughly tested in terms of their usefulness in assessing the genetic diversity of Brassicaceae hybrids [17]. Polymerase Chain Reaction (PCR) was set up in a total volume of 12.5 µL (6.25 µL OptiTaq Master Mix (EURx), 2 × 0.5 µL primers, 4.25 µL H2O, and 1 µL DNA template). The reaction consisted of initial denaturation at 94 °C, 5 min, followed by 35 amplification cycles (denaturing at 94 °C, 45 s; annealing at a temperature adjusted for each pair of primers for 45 s; extension at 72 °C, 90 s) and final extension at 72 °C, 7 min. The sequences of the primers, as well as their annealing temperatures, are available in Supplementary Material File S1.
Analyses were followed by separation of PCR products in 1.5% agarose gel. Midori Green Advance DNA Stain was used to allow the nucleic acid detection. Visualization of electrophorograms was performed using Transilluminator High Performance UV, and photographed with a Gel Doc system. All of the obtained image data were examined in the same manner: the presence/absence of a band of particular size for each marker was rated as “1” or “0”, accordingly. This approach allowed for the binary data matrix to be created, which was scanned using Peak Scanner Software v1.0 (Applied Biosystems, Waltham, MA, USA).

2.2.3. Statistical Analysis

The Shapiro–Wilk test was used to verify the normality of the distribution of the nine observed traits. The main line effect for each trait was evaluated using ANOVA (one-way analysis of variance). Based on correlation coefficients, relationships between the morphological traits were determined. Euclidean distances and cluster analysis, using the nearest neighbor method, were used to group the lines.
For each pair of the investigated lines, genetic similarity was assessed [21]. Based on these coefficients, the lines were grouped hierarchically using the UPGMA method [22] and presented in the form of a dendrogram. An evaluation of the similarity of the tested lines, using multiple markers, was presented using principal component analysis (PCA).
The effect of molecular markers on the observed traits was assessed by regression analysis [23]:
y i = μ + a · m i + e i ,
where y —mean value of trait, μ —the general mean, a —the regression coefficient for the main effect of the marker m i , m i —the marker genotypes, and e i —error of observations. The markers were assessed as independent variables and examined in independent models. Model parameters were tested at the 0.05 level, resulting from a Bonferroni correction [24]. The accuracy of the model fit was assessed by the coefficient of determination, R 2 . All of the analyses were performed using the GenStat 18.2 edition software and GenAlEx 6.5 software.

2.2.4. Markers Linked to Blackleg Resistance

In order to analyze the presence/absence of regions linked to L. maculans resistance, DNA samples were tested with the use of SSR, SCAR, CAPS, RFLP, InDel, and HRM markers connected to qualitative or quantitative blackleg resistance (Table 1). In addition to the set of hybrid individuals, 18 parental components were also examined. PCR reaction conditions were adjusted to certain markers and annealing temperatures. Analyses were performed in thermocyclers, followed by separation of PCR products. The electrophoresis and visualization protocol remained the same, as in the case of SSR markers analysis.

3. Results

3.1. Morphological Traits

The conducted analyses showed great variation in terms of morphological characteristics between studied genotypes (Supplementary Material File S2). The ANOVA indicated that the main effect of the line was significant for all the traits of the study. During the flowering phase, seven phenotype traits were evaluated directly on the testing field.
A total of 23 out of 31 hybrid lines developed only yellow flowers. For 5 genotypes, pale yellow flowers were observed in addition to yellow flowers: genotypes number 8, 9, 10, 15, and 31 (25%, 25%, 5%, 2%, and 5% of pale yellow flowers, respectively). Moreover, for 4 lines, white flowers were identified in addition to yellow flowers: genotypes number 11, 20, 27, 31 (5%, 2%, 5%, and 5% of white flowers, respectively). Green stems were observed for 28 genotypes, and their percentage, in addition to purple stems, varied between 25–100%. Purple stems were detected in 7 hybrid lines: genotypes number 1, 10, 20, 21, 25, 4, and 5; however, only the latter three genotypes expressed 100% of the purple-colored stems. The vast majority of studied plants had green-colored leaves, as green leaves with purple tips were detected for only 3 genotypes: 4, 6, and 9. The individual cases of protogyny were identified in 4 genotypes: 11, 15, 17, and 28.
After harvesting, two more phenotype characteristics were evaluated. The length of siliques in all genotypes ranged from 49 mm to 97 mm. The lowest mean length of siliques was recorded for genotype 14 (64.9 mm), and the highest mean was reported for genotype 17 (82.2 mm). The number of seeds in siliques varied between 5 and 34, with the lowest mean observed for genotype 14 (13.3) and the highest mean detected for genotype 15 (25).
Correlation analysis indicated that the four pairs of observed traits were significantly correlated (Figure 1). Positive correlations were observed for the occurrence of protogyny and the length of siliques (0.50), as well as the length of siliques and the number of seeds in the silique (0.51). Negative significant relationships were observed between the percentage of yellow flowers and the percentage of pale yellow flowers (−0.97), as well as the percentage of green stems with the percentage of purple stems (−1.00) (Figure 1).
All hybrid lines tested were divided into three groups (Figure 2). The first (I) group comprised two lines, the second (II) group comprised four lines, and group III included all the other lines and was divided into three subgroups: IIIA, IIIB, and IIIC (Figure 2).

3.2. Field Resistance to L. maculans

The results of the field assessment have been previously discussed in detail [17]. Briefly, the studied interspecific hybrids expressed great variation in the resistance level; the genotypes with B. fruticulosa, B. carinata, and S. alba as parental components were selected as being especially valuable, as their infestation level remained low in both terms of assessment. The results of the field inspection are summarized in Figure 3.

3.3. Genetic Similarity

A total of 100 alleles (2 monomorphic and 98 polymorphic alleles) detected by 15 SSR markers were used to analyze the relationships among 31 interspecific hybrid lines. The number of polymorphic alleles per marker varied from 2 to 15, with an average of 6.533. The highest genetic similarity (0.958) was detected between lines B. napus cv. Górczański × B. rapa ssp. pekinensis 08.007569 and B. napus cv. Californium × B. rapa ssp. pekinensis 08 007574 (Supplementary Material File S3). The lowest genetic similarity was recorded for B. napus cv. Jet Neuf × S. alba cv. Bamberka and B. napus cv. Lisek × B. carinata Dodola as well as the former with B. napus cv. Jet Neuf × B. carinata—PI 649096 (0.311). (Supplementary Material File S3). Four main groups were formed as a result of the genotypic investigation (Figure 4).
The first (I) group comprised three lines; the second (II) group comprised only one line—B. napus cv. Lisek × B. fruticulosa—PI649099. Group III included two lines, and group IV included all remaining lines and was divided into three subgroups: IVA (five lines), IVC (three lines), and IVB, which included all the other lines (Figure 4).
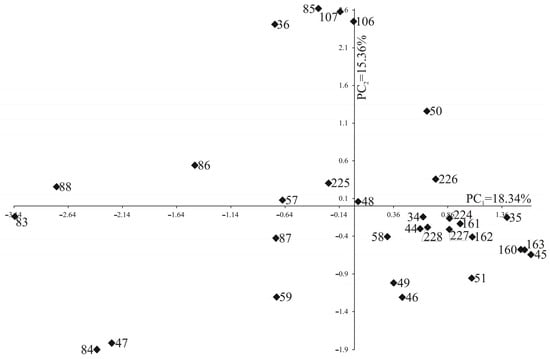
Relationship determination between genotypes, on the basis of applied SSR markers, was defined using PCA (Figure 5). The values for the first 2 principal components were statistically significant and explained 33.70% of the whole variation (Figure 5).

3.4. Association Analysis for Phenotypic Traits

Twenty-two alleles were linked with at least one of nine studied traits (Table 2). The greatest number of detected alleles was associated with the number of seeds in silique (11). The fewest markers were linked with the percentage of green stems and the percentage of purple stems (1). The occurrence of protogyny was determined by two alleles; the percentage of yellow flowers, the percentage of white flowers, the percentage of pale yellow flowers and leaf color were determined by three alleles. However, the length of siliques was associated with four markers: mstg012, mstg038, mstg039, mstg055. The R2 varied from 9.9% (markers mstg012, mstg038, mstg055 for the length of siliques) to 44.5% (mstg004 and mstg027 for the percentage of pale yellow flowers) with an average of 21.13%. The association values sign indicates that the marker correlates with a decreasing or increasing effect of a studied trait.
Marker mstg027 was associated with three traits: the percentage of yellow flowers (−6.2, R2 = 19.4%), the percentage of white flowers (1.545, R2 = 21.7%), and the percentage of pale yellow flowers (4.65, R2 = 10.0%). Eight alleles (from markers mstg004, mstg012, mstg038, mstg055, and mstg027) were associated with two traits.

3.5. Markers Linked to Blackleg Resistance

For five of the analyzed markers (Xbrms075, Fad8, B5-1520, B5Rlm6_1, and Bol021435), the desired PCR products could not be obtained. Therefore, attempts were made to optimize the reaction by adjusting the primer attachment temperature and changing the denaturation and elongation time during amplification. Despite this, no specific bands were observed during electrophoretic separation. However, the use of 12 of the 17 primer pairs analyzed provided the expected PCR reaction products, making it possible to determine the presence or absence of genome fragments associated with resistance to L. maculans.
Markers ScJ14 and CB10449 enabled the identification of quantitative trait loci (QTL) associated with resistance to blackleg. For the ScJ14 marker, a 700 bp product was observed in 39 genotypes (Figure 6), while for the CB10449 marker, specific bands of an approximate size of 280 bp appeared in 38 tested individuals (Figure 6).
For the pRP1513 marker, a PCR reaction product of 83 bp, or 2 products of 83 bp and 150 bp, indicate the presence of a resistance gene, located in the B genome. Such a result was obtained for 18 genotypes. The presence of a single band located at 150 bp, on the other hand, indicates the absence of the resistance gene, which was confirmed in 2 individuals (Figure 6)
Markers Bol023847, Bol040029, Bol040038, Bol040045, Bol040099, and BLRC InDel are associated with a region of the A genome containing, among others, the Rlm1 gene. Specific products for marker Bol023847 were obtained for 32 genotypes (789 bp); for marker Bol040038 there were 20 genotypes (899 bp); for marker Bol040099 there were 27 genotypes (1145 bp); and for marker Bol040045 there were 27 genotypes (960 bp). Additionally, for the latter marker, a polymorphism was observed in the band pattern—for one genotype (No. 49) a reaction product of 750 bp was obtained instead of the expected one. The marker, Bol040029, allowed us to distinguish between resistant (1213 bp) and susceptible (about 1300 bp) genotypes (6 and 7 individuals, respectively) (Figure 6). A double band pattern (resistant/susceptible) was observed for 14 genotypes. The use of primers designed for the BLRC InDel marker also allows detection of the resistance gene (305 bp) or its absence (433 bp). In this way, 26 resistant genotypes were identified (Figure 6).
The SSR markers, Xol12-e03 and Xna12-a02a, are located near the Rlm1 gene, so the use of primers flanking these regions can enable the identification of the resistance gene. For Xol12-e03, for resistant varieties the predicted PCR reaction product is 214 bp, while for susceptible varieties it is 128 bp and 177 bp. For 39 genotypes, 128 bp and 214 bp size bands were observed, for 8 individuals a 128 bp band was observed, and for only 1 combination an amplification product of 177 bp in size was detected (Figure 6). For the Xna12-a02a marker, the Rlm1 gene can be identified by the presence of PCR products of size 193 bp (or 191 bp and 162 bp), and their nonappearance (or the presence of 158 bp and 172 bp products) indicates the absence of the gene. The obtained results do not allow the precise distinction of the bands on the electrophorograms, nevertheless they are within the expected size range (Figure 6).
The LepR3 gene was identified using the Ind10-12 marker—a 506 bp PCR reaction product indicating its presence was observed in 32 combinations—while the absence of the gene (794 bp) was confirmed in 4 genotypes.

4. Discussion

The plant morphological traits may be an indicator of quantitative/qualitative characteristics. For example, the increased plant height may lead to the increase in seed yield, oil yield, and protein yield, as well as the number of siliques on the main stem and the siliques’ length. Furthermore, the silique length has been reported to be positively and significantly correlated with oil yield, protein yield, and seed yield [32]. The morphological characteristics might also be useful in revealing the genetic distances [33]. Therefore, it seems important to control and observe the morphology of Brassicaceae plants, as it might help to partially predict the yield outcome.
The performed correlation analysis between traits confirmed that the four pairs of observed traits were significantly correlated, from which three pairs were predictable (the length of siliques and the number of seeds; the percentage of yellow flowers and the percentage of pale yellow flowers; and the percentage of green stems and the percentage of purple stems). However, the strong positive correlation between the occurrence of protogyny and the length of siliques is unexpected. The protogyny is a mechanism of stigma maturation before the pollen release [34] and is associated with self-compatibility, as it is an effective outcrossing mechanism in many plants [35]. The connection between this mechanism and silique morphology has not been reported before.
The studied SSR marker set was developed from B. rapa using the ISSR-suppression-PCR method by Tamura et al. [20]. However, the aforementioned authors have proposed that these markers may be applicable to a larger group of Brassica species, which was further confirmed in our recent research [17]. As the genetic relationship of the hybrids was thoroughly analyzed before, it will not be discussed in this paper. Here, we mainly focused on correlating the molecular markers with phenotype attributes, in order to further inspect the MAS utility for the selection and characterization of Brassicaceae hybrids.
Out of 100 alleles detected via the use of microsatellites, 22 were recognized to be associated with morphological traits. Both mstg004 and mstg027 markers explained over 40% of white and yellow flower occurrence. A few genes controlling flower color have been discovered, although the complete mechanisms of the different colors’ formation are not fully recognized. The white flower trait in B. rapa is controlled by two separate loci and is recessive to yellow flowers [36]. On the other hand, in B. carinata, the single gene has incomplete dominance over the yellow flower trait [37]. It could be assumed that the aforementioned markers are linked to one or more of the flower-color-controlling genes. Still, it is impossible to specify beyond doubt which gene/region was detected using the microsatellites.
Another marker, mstg038, is linked to the color of the stems. The purple color of the stems is a result of anthocyanin pigmentation, and is controlled by one major and four minor QTL in B.rapa (A genome) [38] and by a single BoDFR gene in B. carinata (C genome) [39]. The studied marker might be in a close position to one of the regions.
Morphological traits might be controlled by monogenic or polygenic mechanisms with complex inheritance patterns, and are partially dependent on environmental conditions [40,41,42]. The SSR markers used in this study might become a valuable tool for tracking the phenotype traits and might eventually help to further unveil the genetic background of the morphological attributes of Brassicaceae.
The conducted field assessment confirmed the presence of functional blackleg resistance in the studied interspecific hybrids. All of the studied genotypes showed moderate to high resistance, which denotes their high utility for breeding programs. The interspecific hybridization within the U triangle as well as between the six Brassica crops and their cenospecies has been previously recognized as an excellent technique with which to enrich the primary gene pool of various species [43]. For instance, the resynthetization of B. napus, by crossing two progenitor species (B. rapa and B. oleracea), resulted in individuals with high resistance to Verticillium longisporum [44]. As an additional example, the cross between B. carinata and B. oleracea, supported by embryo rescue, allowed for the attainment of powdery-mildew-resistant hybrids [5]. Furthermore, many species, such as B. maurorum [45], Sinapis alba [46], and Sinapis arvensis [47], are recognized as the source of resistance to causal agents of major diseases. Our studies fully confirm these previous findings and indicate the importance of developing interspecific hybrids instead of relying solely on the narrowing gene pool of rapeseed.
The markers linked to blackleg resistance were applied to the hybrid genotypes with confirmed field resistance. This approach allowed us to test and validate the molecular markers on verified individuals. We aimed to correlate the field resistance with the molecular analysis; however, the uncertainty of some of the obtained results discouraged the authors from drawing such far-reaching conclusions. Instead, the results of marker-related analyses are considered as primary tests, simply to validate the markers’ usefulness for the interspecific hybrids.
Markers ScJ14 and CB10449 are associated with the QTL region of race-nonspecific resistance to blackleg. The occurrence of PCR products on the electrophorograms may indicate the presence of a region containing quantitative resistance genes in some genotypes, but additional studies with reference genotypes would be necessary to fully confirm this assumption. Unfortunately, QTL regions are still poorly identified and none have been cloned to date, making correct identification much more difficult [26].
The pRP1513 marker allowed the identification of a region associated with resistance to L. maculans for some individuals, but the electrophorograms show additional multiple bands whose pattern is not related to the presence of marker-specific bands. This is most likely due to insufficient specificity of the primers, which joined at more than one site of the genome.
As mentioned earlier, the markers Bol023847, Bol040029, Bol040038, Bol040045, and Bol040099 are associated with the region of the A genome, containing many blackleg resistance genes. In the study by Ferdous et al. [29], the use of four of the aforementioned markers (Bol023847, Bol040038, Bol040045, and Bol040099) failed to reveal polymorphisms in the amplified DNA region. However, during the course of the present analyses, a reaction product of a different size than expected was observed for the marker Bol040045. A band size of approximately 750bp occurred in Sinapis alba, but did not appear in any of the hybrid plants resulting from crosses with this species. The change in product size may be due to differences in the sequence of the amplified part of the genome. As this is a region rich in genes for resistance to L. maculans, it is assumed that the bands’ polymorphism is related to the plant’s response to this pathogen.
In the case of the marker Bol040029, its suitability for detecting polymorphisms between resistant and susceptible genotypes to blackleg was confirmed. Another tested marker, BLRC InDel, was designed on its basis. According to Ferdous et al. [29], it allows the detection of plants containing the resistance gene, which was partially confirmed, as resistant genotypes were detected, but expected products did not appear in all of the analyzed samples.
The markers Xol12-e03 and Xna12-a02a are located in the vicinity of the Rlm1 gene, making their detection possible [30]. However, the analyses performed cannot unambiguously confirm their effectiveness. Although the sizes of the PCR reaction products are as expected, they form band patterns that do not match the literature data. Such a discrepancy may be due to the fact that the primers were previously tested on a population of doubled haploids of selected oilseed rape cultivars. It is likely that their usefulness for studying the highly diverse plant material, based on many species and hybrids, is insufficient.
The Ind10-12 marker was used to identify the LepR3 gene. In the vast majority of genotypes, this marker was able to distinguish between resistant and susceptible individuals, but non-specific bands of approximately 450bp were observed. As in the case of the previous marker, this phenomenon may be related to the use of very different test material in the present study, as in the work of Larkan et al. [31], the marker was tested on BC1 and BC3 generations, resulting from the crossing of two oilseed rape varieties.
The results obtained for most markers allow us to partially confirm their effectiveness in identifying genotypes containing selected resistance genes or QTL. Some uncertainty regarding the actual presence of resistance-linked regions may arise from the fact that the markers were previously applied to more homogenous plant material (e.g., DH lines). Here, we made an attempt to verify their utility for a more diversified group of genotypes. Some of the results were in line with expectations; however, we have also encountered unexpected band patterns, which can be explained by the multi-genome origin of the studied material. However, the research should be further extended and combined with plant tests using L. maculans isolates with known avirulence genes. This approach could also help to verify whether results obtained by using the markers are reliable for interspecific hybrid studies.
Unfortunately, due to the complex structure of the Brassica genome, the development of functional molecular markers remains a challenge for researchers [48]. The high sequence similarity of homologous genes between the A and C genomes often prevents location determination and correct identification. The discrimination of susceptible and resistant alleles may be even more complicated, as the known resistance genes have been identified as the alleles at the same locus. One of the possible solutions to the problem is the Kompetitive Allele-Specific PCR (KASP), which allows for the detection of deletions and insertions, as well as SNPs [49]. This high-throughput system has been tested to identify the Rlm2, LepR3, Rlm9, Rlm4, and Rlm7 genes in the B. napus genome.
In conclusion, the interspecific hybridization of Brassicaceae species is a verified and promising approach for broadening the gene pool of rapeseed. To ensure that the hybrid individuals are genetically distinct and carry significant genes, the developed genotypes should be constantly verified in terms of morphological and agronomically important traits, which can be achieved by the use of molecular markers. Our studies allowed for the selection of several high-utility SSR markers linked to the flower, stem, and leaf color, which could be implemented in further studies. As mentioned, resistance-linked markers such as BLRC InDel and Ind10-12 were verified as a useful tool for rapid gene detection, however the uncertainties regarding nonspecific PCR products must be resolved to ensure the complete and reliable distinction of breeding material.

Supplementary Materials

The following supporting information can be downloaded at: https://www.mdpi.com/article/10.3390/agriculture13050962/s1, Supplementary Material Files S1–S3.

Author Contributions

Conceptualization, J.N. and J.S.; methodology, J.S., J.N., J.B. and J.K.; software, J.B.; validation, J.S. and J.N.; formal analysis, J.B.; investigation, J.S., J.K., M.Z.D. and A.N.; resources, J.N., J.S. and J.B.; data curation, J.N., J.S. and J.B.; writing—original draft preparation, J.S., J.N. and J.B.; writing—review and editing, J.S. and J.N.; visualization, J.B.; supervision, J.N.; project administration, J.N.; funding acquisition, J.N. All authors have read and agreed to the published version of the manuscript.

Funding

This research was funded by the Polish Ministry of Agriculture and Rural Development, project number 27.

Institutional Review Board Statement

Not applicable.

Data Availability Statement

The additional data presented in this study are available in Supplementary Materials.

Conflicts of Interest

The authors declare no conflict of interest.

References

  1. Raza, A.; Hafeez, M.B.; Zahra, N.; Shaukat, K.; Umbreen, S.; Tabassum, J.; Charagh, S.; Khan, R.S.A.; Hasanuzzaman, M. The Plant Family Brassicaceae: Introduction, Biology, and Importance. In The Plant Family Brassicaceae: Biology and Physiological Responses to Environmental Stresses; Hasanuzzaman, M., Ed.; Springer: Singapore, 2020; pp. 1–43. ISBN 9789811563454. [Google Scholar]
  2. Wang, L.I.; Giovannucci, E.L.; Hunter, D.; Neuberg, D.; Su, L.; Christiani, D.C. Dietary Intake of Cruciferous Vegetables, Glutathione S-Transferase (GST) Polymorphisms and Lung Cancer Risk in a Caucasian Population. Cancer Causes Control 2004, 15, 977–985. [Google Scholar] [CrossRef] [PubMed]
  3. Chalhoub, B.; Denoeud, F.; Liu, S.; Parkin, I.A.P.; Tang, H.; Wang, X.; Chiquet, J.; Belcram, H.; Tong, C.; Samans, B.; et al. Early Allopolyploid Evolution in the Post-Neolithic Brassica napus Oilseed Genome. Science 2014, 345, 950–953. [Google Scholar] [CrossRef]
  4. Sohn, S.-I.; Thamilarasan, S.K.; Pandian, S.; Oh, Y.-J.; Ryu, T.-H.; Lee, G.-S.; Shin, E.-K. Interspecific Hybridization of Transgenic Brassica napus and Brassica rapa—An Overview. Genes 2022, 13, 1442. [Google Scholar] [CrossRef] [PubMed]
  5. Tonguç, M.; Griffiths, P.D. Transfer of Powdery Mildew Resistance from Brassica carinata to Brassica oleracea through Embryo Rescue. Plant Breed. 2004, 123, 587–589. [Google Scholar] [CrossRef]
  6. You, M.P.; Uloth, M.B.; Li, X.X.; Banga, S.S.; Banga, S.K.; Barbetti, M.J. Valuable New Resistances Ensure Improved Management of Sclerotinia Stem Rot (Sclerotinia sclerotiorum) in Horticultural and Oilseed Brassica Species. J. Phytopathol. 2016, 164, 291–299. [Google Scholar] [CrossRef]
  7. Yu, F.; Gugel, R.K.; Kutcher, H.R.; Peng, G.; Rimmer, S.R. Identification and Mapping of a Novel Blackleg Resistance Locus LepR4 in the Progenies from Brassica napus × B. Rapa Subsp. sylvestris. Theor. Appl. Genet. 2013, 126, 307–315. [Google Scholar] [CrossRef]
  8. Roy, N.N. Interspecific Transfer of Brassica juncea-Type High Blackleg Resistance to Brassica napus. Euphytica 1984, 33, 295–303. [Google Scholar] [CrossRef]
  9. Snowdon, R.J.; Friedt, W. Molecular Markers in Brassica Oilseed Breeding: Current Status and Future Possibilities. Plant Breed. 2004, 123, 1–8. [Google Scholar] [CrossRef]
  10. Kole, C.; Thormann, C.E.; Karlsson, B.H.; Palta, J.P.; Gaffney, P.; Yandell, B.; Osborn, T.C. Comparative Mapping of Loci Controlling Winter Survival and Related Traits in Oilseed Brassica rapa and B. napus. Mol. Breed. 2002, 9, 201–210. [Google Scholar] [CrossRef]
  11. Somers, D.J.; Rakow, G.; Prabhu, V.K.; Friesen, K.R. Identification of a Major Gene and RAPD Markers for Yellow Seed Coat Colour in Brassica napus. Genome 2001, 44, 1077–1082. [Google Scholar] [CrossRef] [PubMed]
  12. Pilet, M.L.; Duplan, G.; Archipiano, M.; Barret, P.; Baron, C.; Horvais, R.; Tanguy, X.; Lucas, M.O.; Renard, M.; Delourme, R. Stability of QTL for Field Resistance to Blackleg across Two Genetic Backgrounds in Oilseed Rape. Crop Sci. 2001, 41, 197–205. [Google Scholar] [CrossRef]
  13. Zhang, X.; Fernando, W.G.D.; Zhang, X.; Fernando, W.G.D. Insights into Fighting against Blackleg Disease of Brassica napus in Canada. Crop Pasture Sci. 2017, 69, 40–47. [Google Scholar] [CrossRef]
  14. Allender, C.J.; King, G.J. Origins of the Amphiploid Species Brassica napus L. Investigated by Chloroplast and Nuclear Molecular Markers. BMC Plant Biol. 2010, 10, 54. [Google Scholar] [CrossRef]
  15. Abbas, S.; Farhatullah, D.; Marwat, K.; Khan, I.; Munir, I. Molecular Analysis of Genetic Diversity in Brassica Species. Pak. J. Bot. 2009, 41, 167–176. [Google Scholar]
  16. Thompson, J.A.; Nelson, R.L.; Vodkin, L.O. Identification of Diverse Soybean Germplasm Using RAPD Markers. Crop Sci. 1998, 38, 1348–1355. [Google Scholar] [CrossRef]
  17. Szwarc, J.; Niemann, J.; Kaczmarek, J.; Bocianowski, J.; Weigt, D. Genetic Relationship of Brassicaceae Hybrids with Various Resistance to Blackleg Is Disclosed by the Use of Molecular Markers. Curr. Issues Mol. Biol. 2022, 44, 4290–4302. [Google Scholar] [CrossRef]
  18. Szwarc, J.; Niemann, J.; Bocianowski, J.; Jakubus, M.; Mrówczyński, M. Connection between Nutrient Content and Resistance to Selected Pests Analyzed in Brassicaceae Hybrids. Agriculture 2021, 11, 94. [Google Scholar] [CrossRef]
  19. Niemann, J.; Szwarc, J.; Bocianowski, J.; Weigt, D.; Mrówczyński, M. In-Field Screening for Host Plant Resistance to Delia radicum and Brevicoryne brassicae within Selected Rapeseed Cultivars and New Interspecific Hybrids. Open Life Sci. 2020, 15, 711–720. [Google Scholar] [CrossRef]
  20. Tamura, K.; Nishioka, M.; Hayashi, M.; Zhang, Z.; Lian, C.; Hougetsu, T.; Harada, K. Development of Microsatellite Markers by ISSR-Suppression-PCR Method in Brassica rapa. Breed. Sci. 2005, 55, 247–252. [Google Scholar] [CrossRef]
  21. Nei, M.; Li, W.H. Mathematical Model for Studying Genetic Variation in Terms of Restriction Endonucleases. Proc. Natl. Acad. Sci. USA 1979, 76, 5269–5273. [Google Scholar] [CrossRef]
  22. Starzycka-Korbas, E.; Weber, Z.; Matuszczak, M.; Bocianowski, J.; Budzianowski, G.; Stefanowicz, M.; Starzycki, M. The Diversity of Sclerotinia sclerotiorum (Lib.) de Bary Isolates from Western Poland. J. Plant Pathol. 2021, 103, 185–195. [Google Scholar] [CrossRef]
  23. Bocianowski, J.; Kozak, M.; Liersch, A.; Bartkowiak-Broda, I. A Heuristic Method of Searching for Interesting Markers in Terms of Quantitative Traits. Euphytica 2011, 181, 89–100. [Google Scholar] [CrossRef]
  24. Bocianowski, J.; Seidler-Łożykowska, K. The Relationship between RAPD Markers and Quantitative Traits of Caraway (Carum carvi L.). Ind. Crops Prod. 2012, 36, 135–139. [Google Scholar] [CrossRef]
  25. Raman, R.; Taylor, B.; Marcroft, S.; Stiller, J.; Eckermann, P.; Coombes, N.; Rehman, A.; Lindbeck, K.; Luckett, D.; Wratten, N.; et al. Molecular Mapping of Qualitative and Quantitative Loci for Resistance to Leptosphaeria Maculans Causing Blackleg Disease in Canola (Brassica napus L.). Theor. Appl. Genet. 2012, 125, 405–418. [Google Scholar] [CrossRef]
  26. Huang, Y.J.; Jestin, C.; Welham, S.J.; King, G.J.; Manzanares-Dauleux, M.J.; Fitt, B.D.L.; Delourme, R. Identification of Environmentally Stable QTL for Resistance against Leptosphaeria maculans in Oilseed Rape (Brassica napus). Theor. Appl. Genet. 2016, 129, 169–180. [Google Scholar] [CrossRef]
  27. Rashid, M.H.; Zou, Z.; Fernando, W.G.D. Development of Molecular Markers Linked to the Leptosphaeria maculans Resistance Gene Rlm6 and Inheritance of SCAR and CAPS Markers in Brassica napus × Brassica juncea Interspecific Hybrids. Plant Breed. 2018, 137, 402–411. [Google Scholar] [CrossRef]
  28. Plieske, J.; Struss, D. STS Markers Linked to Phoma Resistance Genes of the Brassica B-Genome Revealed Sequence Homology between Brassica nigra and Brassica napus. Theor. Appl. Genet. 2001, 102, 483–488. [Google Scholar] [CrossRef]
  29. Ferdous, M.J.; Hossain, M.R.; Park, J.-I.; Robin, A.H.K.; Jesse, D.M.I.; Jung, H.-J.; Kim, H.-T.; Nou, I.-S. Inheritance Pattern and Molecular Markers for Resistance to Blackleg Disease in Cabbage. Plants 2019, 8, 583. [Google Scholar] [CrossRef]
  30. Raman, R.; Taylor, B.; Lindbeck, K.; Coombes, N.; Barbulescu, D.; Salisbury, P.; Raman, H.; Raman, R.; Taylor, B.; Lindbeck, K.; et al. Molecular Mapping and Validation of Rlm1 Gene for Resistance to Leptosphaeria Maculans in Canola (Brassica napus L.). Crop Pasture Sci. 2012, 63, 1007–1017. [Google Scholar] [CrossRef]
  31. Larkan, N.J.; Lydiate, D.J.; Parkin, I.A.P.; Nelson, M.N.; Epp, D.J.; Cowling, W.A.; Rimmer, S.R.; Borhan, M.H. The Brassica napus Blackleg Resistance Gene LepR3 Encodes a Receptor-like Protein Triggered by the Leptosphaeria maculans Effector AVRLM1. New Phytol. 2013, 197, 595–605. [Google Scholar] [CrossRef]
  32. Aytaç, Z.; Kınacı, G. Genetic Variability and Association Studies of Some Quantitative Characters in Winter Rapeseed (Brassica napus L.). Afr. J. Biotechnol. 2009, 8, 61849. [Google Scholar] [CrossRef]
  33. Yu, C.Y.; Hu, S.W.; Zhao, H.X.; Guo, A.G.; Sun, G.L. Genetic Distances Revealed by Morphological Characters, Isozymes, Proteins and RAPD Markers and Their Relationships with Hybrid Performance in Oilseed Rape (Brassica napus L.). Theor. Appl. Genet. 2005, 110, 511–518. [Google Scholar] [CrossRef] [PubMed]
  34. Al-Shehbaz, I.A. Protogyny in the Cruciferae. Syst. Bot. 1977, 2, 327–333. [Google Scholar] [CrossRef]
  35. Friedman, J.; Barrett, S.C.H. The Consequences of Monoecy and Protogyny for Mating in Wind-Pollinated Carex. New Phytol. 2009, 181, 489–497. [Google Scholar] [CrossRef]
  36. Zhang, N.; Chen, L.; Ma, S.; Wang, R.; He, Q.; Tian, M.; Zhang, L. Fine Mapping and Candidate Gene Analysis of the White Flower Gene Brwf in Chinese Cabbage (Brassica rapa L.). Sci. Rep. 2020, 10, 6080. [Google Scholar] [CrossRef]
  37. Zhang, X.; Li, R.; Chen, L.; Niu, S.; Chen, L.; Gao, J.; Wen, J.; Yi, B.; Ma, C.; Tu, J.; et al. Fine-Mapping and Candidate Gene Analysis of the Brassica Juncea White-Flowered Mutant Bjpc2 Using the Whole-Genome Resequencing. Mol. Genet. Genom. 2018, 293, 359–370. [Google Scholar] [CrossRef] [PubMed]
  38. Li, G.-H.; Chen, H.-C.; Liu, J.-L.; Luo, W.-L.; Xie, D.-S.; Luo, S.-B.; Wu, T.-Q.; Akram, W.; Zhong, Y.-J. A High-Density Genetic Map Developed by Specific-Locus Amplified Fragment (SLAF) Sequencing and Identification of a Locus Controlling Anthocyanin Pigmentation in Stalk of Zicaitai (Brassica rapa L. ssp. chinensis var. purpurea). BMC Genom. 2019, 20, 343. [Google Scholar] [CrossRef] [PubMed]
  39. Tang, Q.; Tian, M.; An, G.; Zhang, W.; Chen, J.; Yan, C. Rapid Identification of the Purple Stem (Ps) Gene of Chinese Kale (Brassica oleracea var. alboglabra) in a Segregation Distortion Population by Bulked Segregant Analysis and RNA Sequencing. Mol. Breed. 2017, 37, 153. [Google Scholar] [CrossRef]
  40. Khalid, M.; Farhatullah, D.; Khan, N.U.; Din, R.; Khan, M.; Akmal, M.; Ali, N. Linkage of Morphological Markers in Brassica. Pak. J. Bot. 2010, 42, 2995–3000. [Google Scholar]
  41. Song, K.; Slocum, M.K.; Osborn, T.C. Molecular Marker Analysis of Genes Controlling Morphological Variation in Brassica Rapa (Syn. Campestris). Theor. Appl. Genet. 1995, 90, 1–10. [Google Scholar] [CrossRef]
  42. El-Soda, M.; Boer, M.P.; Bagheri, H.; Hanhart, C.J.; Koornneef, M.; Aarts, M.G.M. Genotype–Environment Interactions Affecting Preflowering Physiological and Morphological Traits of Brassica rapa Grown in Two Watering Regimes. J. Exp. Bot. 2014, 65, 697–708. [Google Scholar] [CrossRef] [PubMed]
  43. Katche, E.; Quezada-Martinez, D.; Katche, E.I.; Vasquez-Teuber, P.; Mason, A.S. Interspecific Hybridization for Brassica Crop Improvement. Crop Breed. Genet. Genom. 2019, 1, 190007. [Google Scholar] [CrossRef]
  44. Rygulla, W.; Snowdon, R.J.; Eynck, C.; Koopmann, B.; von Tiedemann, A.; Lühs, W.; Friedt, W. Broadening the Genetic Basis of Verticillium longisporum Resistance in Brassica napus by Interspecific Hybridization. Phytopathology 2007, 97, 1391–1396. [Google Scholar] [CrossRef] [PubMed]
  45. Chrungu, B.; Verma, N.; Mohanty, A.; Pradhan, A.; Shivanna, K.R. Production and Characterization of Interspecific Hybrids between Brassica maurorum and Crop Brassicas. Theor. Appl. Genet. 1999, 98, 608–613. [Google Scholar] [CrossRef]
  46. Siemens, J. Interspecific Hybridisation between Wild Relatives and Brassica napus to Introduce New Resistance Traits into the Oilseed Rape Gene Pool. Czech J. Genet. Plant Breed. 2002, 38, 155–157. [Google Scholar] [CrossRef]
  47. Snowdon, R.J.; Winter, H.; Diestel, A.; Sacristán, M.D. Development and Characterisation of Brassica napus-Sinapis arvensis Addition Lines Exhibiting Resistance to Leptosphaeria maculans. Theor. Appl. Genet. 2000, 101, 1008–1014. [Google Scholar] [CrossRef]
  48. Mayerhofer, R.; Wilde, K.; Mayerhofer, M.; Lydiate, D.; Bansal, V.K.; Good, A.G.; Parkin, I.A.P. Complexities of Chromosome Landing in a Highly Duplicated Genome: Toward Map-Based Cloning of a Gene Controlling Blackleg Resistance in Brassica napus. Genetics 2005, 171, 1977–1988. [Google Scholar] [CrossRef]
  49. Van de Wouw, A.P.; Zhang, Y.; Mohd Saad, N.S.; Yang, H.; Sheedy, E.; Elliott, C.E.; Batley, J. Molecular Markers for Identifying Resistance Genes in Brassica napus. Agronomy 2022, 12, 985. [Google Scholar] [CrossRef]
Figure 1. Heatmap for correlation coefficients between observed traits of Brassicaceae hybrids (** p < 0.01; *** p < 0.001).
Figure 1. Heatmap for correlation coefficients between observed traits of Brassicaceae hybrids (** p < 0.01; *** p < 0.001).
Agriculture 13 00962 g001
Figure 2. Dendrogram of the nearest neighbor cluster grouping of Brassicaceae hybrids on the basis of Euclidean distances for nine traits.
Figure 2. Dendrogram of the nearest neighbor cluster grouping of Brassicaceae hybrids on the basis of Euclidean distances for nine traits.
Agriculture 13 00962 g002
Figure 3. The L. maculans infestation level of Brassicaceae hybrids. Numbers according to Supplementary Material File S1.
Figure 3. The L. maculans infestation level of Brassicaceae hybrids. Numbers according to Supplementary Material File S1.
Agriculture 13 00962 g003
Figure 4. Genetic similarity dendrogram for Brassicaceae hybrids, based on 15 SSR markers.
Figure 4. Genetic similarity dendrogram for Brassicaceae hybrids, based on 15 SSR markers.
Agriculture 13 00962 g004
Figure 5. Genotypes’ distribution in the space of two first principal components, based on SSR markers. PC1—first principal component; PC2—second principal component.
Figure 5. Genotypes’ distribution in the space of two first principal components, based on SSR markers. PC1—first principal component; PC2—second principal component.
Agriculture 13 00962 g005
Figure 6. Examples of electrophorograms for selected markers: (a) CB10449, (b) pRP1513, (c) Bol040045, (d) Bol040029, (e) BLRC InDel, (f) ScJ14, (g) Xol12-e03, and (h) Xna12-a02a. Numbers of genotypes according to Supplementary Material File S1.
Figure 6. Examples of electrophorograms for selected markers: (a) CB10449, (b) pRP1513, (c) Bol040045, (d) Bol040029, (e) BLRC InDel, (f) ScJ14, (g) Xol12-e03, and (h) Xna12-a02a. Numbers of genotypes according to Supplementary Material File S1.
Agriculture 13 00962 g006
Table 1. Markers used for the detection of blackleg resistance genes.
Table 1. Markers used for the detection of blackleg resistance genes.
MarkerReference
Xbrms075[25]
ScJ14[26]
Fad8[26]
CB10449[26]
B5-1520[27]
B5Rlm6_1[27]
pRP1513[28]
Bol023847[29]
Bol021435[29]
Bol040029[29]
Bol040038[29]
Bol040045[29]
Bol040099[29]
BLRC InDel[29]
Xol12-e03[30]
Xna12-a02a[30]
Ind10-12 InDel[31]
Table 2. Effects of regression coefficients (coefficients of determinations R2) of SSR markers associated with observed traits.
Table 2. Effects of regression coefficients (coefficients of determinations R2) of SSR markers associated with observed traits.
MarkerPercentage of Yellow FlowersPercentage of White FlowersPercentage of Pale Yellow FlowersPercentage of Green StemsPercentage of Purple StemsLeaf ColorOccurence of ProtogynyLenght of SiliquesNumber of Seeds in Silique
mstg004 (300 bp)23.2
(40.3%)
−23.77
(44.5%)
mstg004 (350 bp) 2.97
(10.6%)
mstg008 (200 bp) −0.933
(28.7%)
mstg012 (600 bp) −9.31
(9.9%)
−7.59
(15.0%)
mstg016 (250 bp) 1.788
(24.7%)
mstg016 (190 bp) 2.88
(11.4%)
mstg025 (300 bp) 0.9
(19.8%)
mstg038 (280 bp) −4.63
(21.3%)
mstg038 (250 bp) −54.2
(37.8%)
54.2
(37.8%)
mstg038 (1200 bp) −9.31
(9.9%)
−7.59
(15.0%)
mstg038 (1300 bp) 0.333
(23.6%)
−2.52
(10.0%)
mstg039 (310 bp) −0.387
(20.6%)
mstg039 (810 bp) 4.16
(15.2%)
mstg052 (130 bp) −4.86
(17.7%)
mstg052 (150 bp) −4.86
(17.7%)
mstg055 (250 bp) −0.25
(14.1%)
mstg055 (190 bp) −9.31
(9.9%)
−7.59
(15.0%)
mstg055 (750 bp) −9.31
(9.9%)
−7.59
(15.0%)
mstg001 (250 bp) −4.86
(17.7%)
mstg027 (700 bp)−6.2
(19.4%)
1.545
(21.7%)
4.65
(10.0%)
mstg027 (500 bp)−23.2
(40.3%)
23.77
(44.5%)
mstg027 (900 bp) 4.6
(27.0%)
Disclaimer/Publisher’s Note: The statements, opinions and data contained in all publications are solely those of the individual author(s) and contributor(s) and not of MDPI and/or the editor(s). MDPI and/or the editor(s) disclaim responsibility for any injury to people or property resulting from any ideas, methods, instructions or products referred to in the content.

Share and Cite

MDPI and ACS Style

Szwarc, J.; Niemann, J.; Bocianowski, J.; Kaczmarek, J.; Doğu, M.Z.; Nowicka, A. Improving the Selection Efficiency of Breeding Material within Interspecific Brassicaceae Hybrids with Genomic Prediction and Phenotyping. Agriculture 2023, 13, 962. https://doi.org/10.3390/agriculture13050962

AMA Style

Szwarc J, Niemann J, Bocianowski J, Kaczmarek J, Doğu MZ, Nowicka A. Improving the Selection Efficiency of Breeding Material within Interspecific Brassicaceae Hybrids with Genomic Prediction and Phenotyping. Agriculture. 2023; 13(5):962. https://doi.org/10.3390/agriculture13050962

Chicago/Turabian Style

Szwarc, Justyna, Janetta Niemann, Jan Bocianowski, Joanna Kaczmarek, Mehmet Zafer Doğu, and Alicja Nowicka. 2023. "Improving the Selection Efficiency of Breeding Material within Interspecific Brassicaceae Hybrids with Genomic Prediction and Phenotyping" Agriculture 13, no. 5: 962. https://doi.org/10.3390/agriculture13050962

APA Style

Szwarc, J., Niemann, J., Bocianowski, J., Kaczmarek, J., Doğu, M. Z., & Nowicka, A. (2023). Improving the Selection Efficiency of Breeding Material within Interspecific Brassicaceae Hybrids with Genomic Prediction and Phenotyping. Agriculture, 13(5), 962. https://doi.org/10.3390/agriculture13050962

Note that from the first issue of 2016, this journal uses article numbers instead of page numbers. See further details here.

Article Metrics

Back to TopTop