Simultaneous Assessment of Water and Nitrogen Use Efficiency in Rain-Fed Chickpea-Durum Wheat Intercropping Systems
Abstract
1. Introduction
2. Materials and Methods
2.1. Site Description and Pedoclimatic Conditions
2.2. Cropping and Field Plot Design
2.3. Plant, Soil Sampling and Measurement
2.4. Calculation
2.4.1. Land Equivalent Ratio (LER) and Nitrogen Nutrition Index (NNI)
2.4.2. Water Use (WU), Water Use Efficiency (WUE), and Nitrogen Use Efficiency (NUE)
2.5. Statistical Analysis
3. Results
3.1. Leaf Area Index (LAI) and Grain Yield (GY) Changes
3.2. Protein Accumulation and Nitrogen Use Efficiency (NUE)
3.3. Water Use (WU) and Water Use Efficiency (WUE)
3.4. Land Equivalent Ratio (LER) and Nitrogen Nutrition Index (NNI)
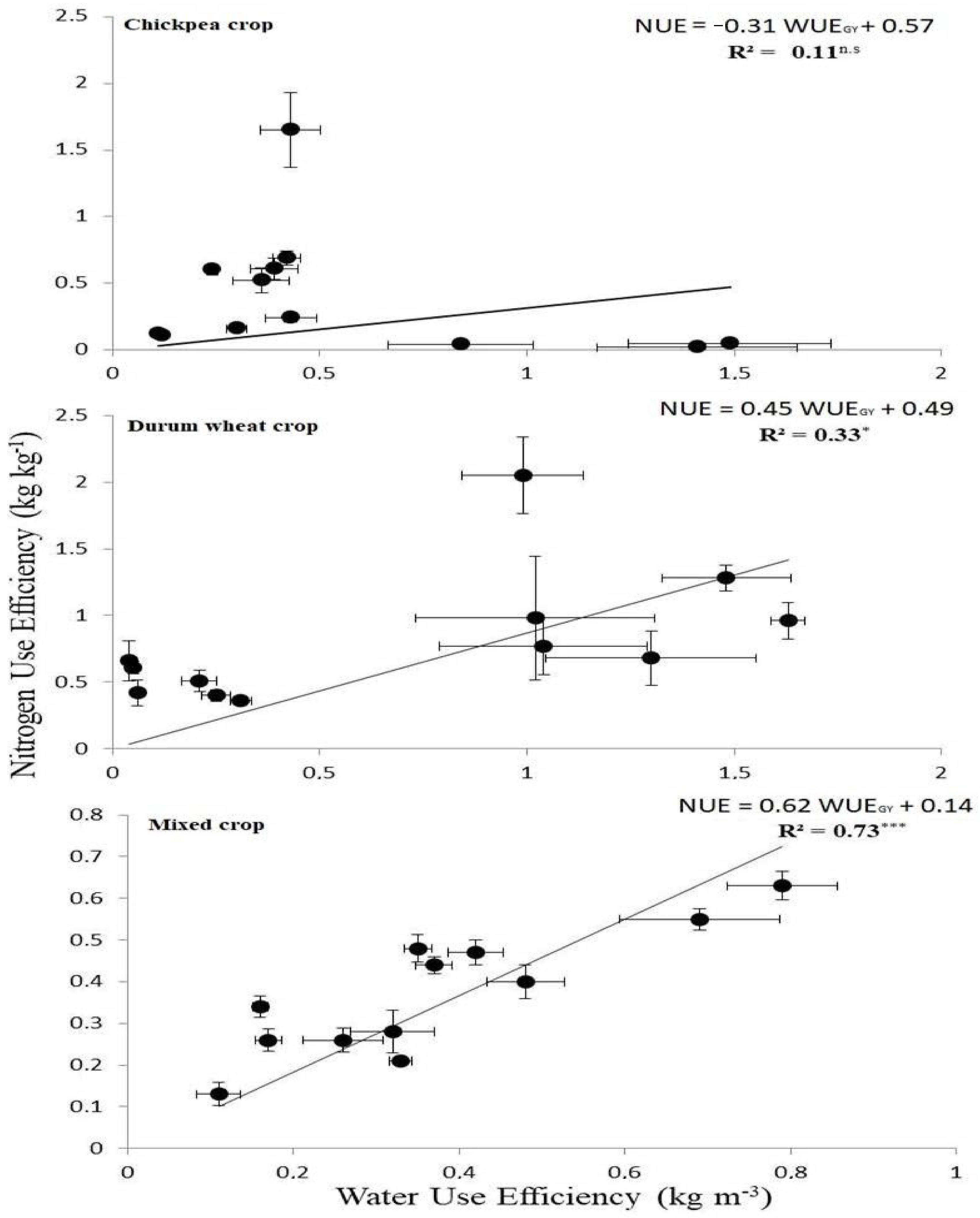
3.5. Relationship between WUE and NUE
4. Discussion
5. Conclusions
Author Contributions
Funding
Conflicts of Interest
References
- Fukase, E.; Martin, W. Economic growth, convergence, and world food demand and supply. World Dev. 2020, 132, 104954. [Google Scholar] [CrossRef]
- Muluneh, A.; Stroosnijder, L.; Keesstra, S.; Biazin, B. Adapting to climate change for food security in the Rift Valley dry lands of Ethiopia: Supplemental irrigation, plant density and sowing date. J. Agric. Sci. 2017, 155, 703–724. [Google Scholar] [CrossRef]
- Mueller, N.D.; Gerber, J.S.; Johnston, M.; Ray, D.K.; Ramankutty, N.; Foley, J.A. Closing yield gaps through nutrient and water management. Nature 2012, 490, 254–257. [Google Scholar] [CrossRef]
- Sigurdarson, J.J.; Svane, S.; Karring, H. The molecular processes of urea hydrolysis in relation to ammonia emissions from agriculture. Rev. Env. Sci. Bio/Technol. 2018, 17, 241–258. [Google Scholar] [CrossRef]
- Wang, D. Water use efficiency and optimal supplemental irrigation in a high yield wheat field. Field Crop Res. 2017, 213, 213–220. [Google Scholar] [CrossRef]
- Plett, D.C.; Holtham, L.R.; Okamoto, M.; Garnett, T.P. Nitrate uptake and its regulation in relation to improving nitrogen use efficiency in cereals. Semin. Cell Dev. Biol. 2018, 74, 97–104. [Google Scholar] [CrossRef] [PubMed]
- Congreves, K.A.; Otchere, O.; Ferland, D.; Farzadfar, S.; Williams, S.; Arcand, M.M. Nitrogen Use Efficiency Definitions of Today and Tomorrow. Front. Plant Sci. 2021, 12, 637108. [Google Scholar] [CrossRef]
- Plett, D.C.; Ranathunge, K.; Melino, V.J.; Kuya, N.; Uga, Y.; Kronzucker, H.J. The intersection of nitrogen nutrition and water use in plants: New paths toward improved crop productivity. J. Exp. Bot. 2020, 71, 4452–4468. [Google Scholar] [CrossRef]
- Stéphanie-Swarbreck, M.; Wang, M.; Wang, Y.; Kindred, D.; Sylvester-Bradley, R.; Shi, W.; Singh, V.; Bentley, A.R.; Griffiths, H. A Roadmap for Lowering Crop Nitrogen Requirement. Trends Plant Sci. 2019, 24, 892–904. [Google Scholar] [CrossRef]
- Sinclair, T.R.; Rufty, T.W. Nitrogen and water resources commonly limit crop yield increases, not necessarily plant genetics. Glob. Food Secur. 2012, 1, 94–98. [Google Scholar] [CrossRef]
- Houassine, D.; Latati, M.; Rebouh, N.Y.; Gérard, F. Phosphorus acquisition processes in the field: Study of faba bean cultivated on calcareous soils in Algeria. Arch. Agron. Soil Sci. 2019, 65, 168–181. [Google Scholar] [CrossRef]
- Kherif, O.; Seghouani, M.; Justes, E.; Plaza-Bonilla, D.; Bouhenache, A.; Zemmouri, B.; Dokukin, P.; Latati, M. The first calibration and evaluation of the STICS soil-crop model on chickpea-based intercropping system under Mediterranean conditions. Eur. J. Agron. 2022, 133, 126449. [Google Scholar] [CrossRef]
- Latati, M.; Blavet, D.; Alkama, N.; Laoufi, H.; Drevon, J.J.; Gérard, F.; Pansu, M.; Ounane, S.M. The intercropping cowpea-maize improves soil phosphorus availability and maize yields in an alkaline soil. Plant Soil 2014, 85, 181–191. [Google Scholar] [CrossRef]
- Wang, L.; Palta, J.A.; Chen, W.; Chen, Y.; Deng, X. Nitrogen fertilization improved water-use efficiency of winter wheat through increasing water use during vegetative rather than grain filling. Agric. Water Manag. 2018, 197, 41–53. [Google Scholar] [CrossRef]
- Hatfield, J.L.; Dold, C. Water-Use Efficiency: Advances and Challenges in a Changing Climate. Front. Plant Sci. 2019, 19, 103. [Google Scholar] [CrossRef]
- Latati, M.; Bargaz, A.; Belarbi, B.; Lazali, M.; Benlahrech, S.; Tellah, S.; Ounane, S.M. The intercropping common bean with maize improves the rhizobial efficiency, resource use and grain yield under low phosphorus availability. Eur. J. Agron. 2016, 72, 80–90. [Google Scholar] [CrossRef]
- Cordeiro, M.C.R.; Martinez, J.M.; Peña-Luque, S. Automatic water detection from multidimensional hierarchical clustering for Sentinel-2 images and a comparison with Level 2A processors. Remote Sens. Environ. 2021, 253, 112209. [Google Scholar] [CrossRef]
- Gabriel, J.L.; Quemada, M. Replacing bare fallow with cover crops in a maize cropping system: Yield, N uptake and fertilizer fate. Eur. J. Agron. 2011, 34, 133–143. [Google Scholar] [CrossRef]
- Huang, T.; Yang, H.; Huang, C.; Ju, X. Effect of fertilizer N rates and straw management on yield-scaled nitrous oxide emissions in a maize-wheat double cropping system. Field Crops Res. 2017, 204, 1–11. [Google Scholar] [CrossRef]
- Munz, S.; Graeff-Hönninger, S.; Lizaso, J.I.; Chen, Q.; Claupein, W. Modeling light availability for a subordinate crop within a strip-intercropping system. Field Crops Res. 2014, 155, 77–89. [Google Scholar] [CrossRef]
- Bargaz, A.; Noyce, G.L.; Fulthorpe, R.; Carlsson, G.; Furze, J.R.; Jensen, E.S.; Dhiba, D.; Isaac, M.E. Species interactions enhance root allocation, microbial diversity and P acquisition in intercropped wheat and soybean under P deficiency. Appl. Soil Ecol. 2017, 120, 179–188. [Google Scholar] [CrossRef]
- Chen, G.; Kong, X.; Gan, Y.; Zhang, R.; Feng, F.; Yu, A.; Zhao, C.; Wan, S.; Chai, Q. Enhancing the systems productivity and water use efficiency through coordinated soil water sharing and compensation in strip-intercropping. Sci. Rep. 2018, 8, 10494. [Google Scholar] [CrossRef] [PubMed]
- Hu, F.; Gan, Y.; Cui, H.; Zhao, C.; Feng, F.; Yin, W.; Chai, Q. Intercropping maize and wheat with conservation agriculture principles improves water harvesting and reduces carbon emissions in dry areas. Eur. J. Agron. 2016, 74, 9–17. [Google Scholar] [CrossRef]
- Burgess, A.J.; Correa Cano, M.E.; Parkes, B. The deployment of intercropping and agroforestry as adaptation to climate change. Crop Environ. 2022, 1, 145–160. [Google Scholar] [CrossRef]
- Jensen, E.S.; Carlsson, G.; Hauggaard-Nielsen, H. Intercropping of grain legumes and cereals improves the use of soil N resources and reduces the requirement for synthetic fertilizer N: A global-scale analysis. Agronomy for. Sustain. Dev. 2020, 40, 5. [Google Scholar] [CrossRef]
- Quernada, M.; Gabriel, J.L. Approaches for increasing nitrogen and water use efficiency simultaneously. Glob. Food Secur. 2016, 9, 29–35. [Google Scholar] [CrossRef]
- Latati, M.; Aouiche, A.; Rebou, Y.N.; Laouar, M. Modeling the functional role of the microorganisms in the daily exchanges of carbon and nitrogen in intercropping system under Mediterranean conditions. Agron. Res. 2019, 17, 559–573. [Google Scholar] [CrossRef]
- Latati, M.; Dokukin, P.; Aouiche, A.; Rebouh, N.Y.; Takouachet, R.; Hafnaoui, E.; Hamdani, F.Z.; Bacha, F.; Ounane, S.M. Species interactions improve above-ground biomass and land use efficiency in intercropped wheat and chickpea under low soil inputs. Agronomy 2019, 9, 765. [Google Scholar] [CrossRef]
- Bargaz, A.; Isaac, M.E.; Jensen, E.S.; Carlsson, G. Nodulation and root growth increase in lower soil layers of water-limited faba bean intercropped with wheat. J. Plant Nutr. Soil Sci. 2016, 179, 537–546. [Google Scholar] [CrossRef]
- Arlauskienė, A.; Gecaitė, V.; Toleikienė, M.; Šarūnaitė, L.; Kadžiulienė, Ž. Soil nitrate nitrogen content and grain yields of organically grown cereals as affected by a strip tillage and forage legume intercropping. Plants 2021, 10, 1453. [Google Scholar] [CrossRef]
- Kherif, O.; Seghouani, M.; Zemmouri, B.; Bouhenache, A.; Keskes, M.I.; Yacer-Nazih, R.; Latati, M. Understanding the response of wheat-chickpea intercropping to nitrogen fertilization using agro-ecological competitive indices under contrasting pedoclimatic conditions. Agronomy 2021, 11, 1225. [Google Scholar] [CrossRef]
- Messaoudi, H.; G’erard, F.; Dokukin, P.; Djamai, H.; Rebouh, N.Y.; Latati, M. Effects of intercropping on field-scale phosphorus acquisition processes in a calcareous soil. Plant Soil 2020, 449, 331–334. [Google Scholar] [CrossRef]
- El-Madany, T.S.; Reichstein, M.; Carrara, A.; Martín, M.P.; Moreno, G.; Gonzalez-Cascon, R.; Peñuelas, J.; Ellsworth, D.S.; Burchard-Levine, V.; Hammer, T.W.; et al. Data for “How nitrogen and phosphorus availability change water use efficiency in a Mediterranean savanna ecosystem”. J. Geophys. Res. Biogeosci. 2021, 126, e2020JG006005. [Google Scholar] [CrossRef]
- Lynch, J.M.; Barbano, D.M. Kjeldahl nitrogen analysis as a reference method for protein determination in dairy products. J. AOAC Int. 1999, 82, 1389–1398. [Google Scholar] [CrossRef] [PubMed]
- Shen, A.L.; Li, X.Y.; Kanamori, T.; Arao, T. Effect of long-term application of compost on some chemical properties of wheat rhizosphere and non-rhizosphere soils. Pedosphere 1996, 6, 355–363. [Google Scholar]
- Valizadeh, G.R.; Rengel, Z.; Rate, A.W. Response of wheat genotypes efficient in P utilisation and genotypes responsive to P fertilisation to different P banding depths and watering. Aust. J. Agric Res. 2003, 54, 59–65. [Google Scholar] [CrossRef]
- McBratney, A.B.; Odeh, I.O.A.; Bishop, T.F.A.; Dunbar, M.S.; Shatar, T.M. An overview of pedometric techniques for use in soil survey. Geoderma 2000, 97, 293–327. [Google Scholar] [CrossRef]
- Leo, M.W.M. Determination of soil carbonates by a rapidegasometric method. J. Agric. Food Chem. 1963, 11, 452–455. [Google Scholar] [CrossRef]
- Watson, D.J. Comparative physiological studies in the growth of field crops. I. Variation in net assimilation rate and leaf area between species and varieties, and within and between years. Ann. Bot. 1947, 11, 41–76. [Google Scholar] [CrossRef]
- Rharrabti, Y.; Villegas, D.; Garcia del Moral, L.F.; Aparicio, N.; Elhani, S.; Royo, C. Environmental and genetic determination of protein content and grain yield in durum wheat under Mediterranean conditions. Plant Breed. 2008, 120, 381–388. [Google Scholar] [CrossRef]
- Plénet, D.; Lemaire, G. Relationships between dynamics of nitrogen uptake and dry matter accumulation in maize crops. Determ. Crit. N Concentration. Plant Soil 1999, 216, 65–82. [Google Scholar] [CrossRef]
- Mead, R.; Willey, R.W. The concept of a ‘land equivalent ratio’ and advantages in yields from intercropping. Exp. Agric. 1980, 16, 217–228. [Google Scholar] [CrossRef]
- Chen, H.; Qin, A.; Chai, Q.; Gan, Y.; Liu, Z. Quantification of soil water competition and compensation using soil water differences between strips of intercropping. Agric. Res. 2014, 3, 321–330. [Google Scholar] [CrossRef]
- Martinez-Feria, R.A.; Castellano, M.J.; Dietzel, R.N.; Helmers, M.J.; Liebman, M.; Huber, I.; Archontoulis, S.V. Linking crop- and soil-based approaches to evaluate system nitrogen-use efficiency and tradeoffs. Agric. Ecosyst. Environ. 2018, 256, 131–143. [Google Scholar] [CrossRef]
- Qin, W.; Wang, D.; Guo, X.; Yang, T.; Oenema, O. Productivity and sustainability of rainfed wheat-soybean system in the North China Plain: Results from a long-term experiment and crop modelling. Sci. Rep. 2015, 5, 17514. [Google Scholar] [CrossRef]
- Raseduzzaman, M.D.; Jensen, D. Does intercropping enhance yield stability in arable crop production? A meta-analysis. Eur. J. Agron. 2017, 91, 25–33. [Google Scholar] [CrossRef]
- Betencourt, E.; Duputel, M.; Colomb, B.; Desclaux, D.; Hinsinger, P. Intercropping promotes the ability of durum wheat and chickpea to increaserhizosphere phosphorus availability in low P soil. Soil Biol. Biochem. 2012, 46, 21–33. [Google Scholar] [CrossRef]
- Bouras, F.Z.; Hadjout, S.; Haddad, B.; Malek, A.; Aitmoumene, S.; Gueboub, F.; Metrah, L.; Zemmouri, B.; Kherif, O.; Rebouh, N.Y.; et al. The Effect of Nitrogen Supply on Water and Nitrogen Use Efficiency by Wheat–Chickpea Intercropping System under Rain-Fed Mediterranean Conditions. Agriculture 2023, 13, 338. [Google Scholar] [CrossRef]
- Bedoussac, L.; Justes, E. The efficiency of a durum wheat-winter pea intercrop to improve yield and wheat grain protein concentration depends on N availability during early growth. Plant Soil 2010, 330, 19–35. [Google Scholar] [CrossRef]
- Varol, I.S.; Kardes, Y.M.; Irik, H.A.; Kirnak, H.; Kaplan, M. Supplementary irrigations at different physiological growth stages of chickpea (Cicer arietinum L.) change grain nutritional composition. Food Chem. 2020, 303, 125402. [Google Scholar] [CrossRef]
- Zhang, H.; Shi, W.; Ali, S.; Chang, S.; Jia, Q.; Hou, F. Legume/Maize Intercropping and N Application for Improved Yield, Quality, Water and N Utilization for Forage Production. Agronomy 2022, 12, 1777. [Google Scholar] [CrossRef]
- Qin, W.; Chi, B.; Oenema, O. Long-term monitoring of rain-fed wheat yield and soil water at the Loess Plateau reveals low water use efficiency. PLoS ONE 2013, 8, e78828. [Google Scholar] [CrossRef] [PubMed]
- Xie, J.; Wang, L.; Li, L.; Anwar, S.; Luo, Z.; Fudjoe, S.K.; Meng, H. Optimal Nitrogen Rate Increases Water and Nitrogen Use Efficiencies of Maize under Fully Mulched Ridge–Furrow System on the Loess Plateau. Agriculture 2022, 12, 1799. [Google Scholar] [CrossRef]



| Soil Physico-Chemical Properties | Experimental Site |
|---|---|
| (0–30 cm) | |
| Clay (%) | 43 |
| Loam (%) | 35 |
| Sand (%) | 22 |
| CaCO3 (%) | 22 |
| Soil organic matter (%) | 1.25 |
| Total nitrogen (g kg−1) | 1.33 |
| Total phosphorus (mg kg−1) | 264 |
| Available N (mg kg−1) | 22 |
| Available P (mg kg−1) | 9.24 |
| pH | 8.41 |
| Bulk density (g cm−3) | 1.39 |
| Soil water content at wilting point (m3 m−3) | 0.15 |
| Soil water content at field capacity (m3 m−3) | 0.24 |
| Climate characteristics | |
| Mean of cumulated rainfall during cropping seasons (1981–2020) | 315 |
| Annual mean temperature (1981–2020) | 14.93 |
| Cumulated rainfall during the 2018/2019 cropping season | 257.22 |
| Cumulated rainfall during the 2019/2020 cropping season | 259.55 |
| Cumulated rainfall during the 2020/2021 cropping season | 272.25 |
| Cumulated rainfall during the 2021/2022 cropping season | 274.20 |
| Annual mean temperature during the 2018/2019 cropping season | 14.27 |
| Annual mean temperature during the 2019/2020 cropping season | 13.15 |
| Annual mean temperature during the 2020/2021 cropping season | 12.72 |
| Annual mean temperature during the 2021/2022 cropping season | 16.64 |
| LAI | GY (t ha−1) | ||||||||
|---|---|---|---|---|---|---|---|---|---|
| Cropping system | N-level | 2022 | 2021 | 2020 | 2019 | 2022 | 2021 | 2020 | 2019 |
| Chickpea | N-30 | 0.56 d | 0.20 c | 0.43 d | 0.42 d | 0.12 c | 1.84 a | 0.70 d | 0.39 d |
| Chickpea | N-60 | 0.90 c | 0.44 c | 0.59 d | 0.44 d | 0.17 bc | 1.64 ab | 1.27 c | 0.99 c |
| Chickpea | N-100 | 1.03 bc | 0.25 c | 0.68 cd | 0.88 c | 0.18 bc | 1.60 ab | 0.34 d | 1.42 c |
| Wheat | N-30 | 2.26 ab | 1.84 b | 2.58 b | 1.16 c | 2.68 b | 0.89 bc | 3.05 b | 3.30 b |
| Wheat | N-60 | 1.59 b | 2.74 a | 4.01 a | 1.08 c | 4.64 a | 1.04 b | 4.62 a | 3.42 b |
| Wheat | N-100 | 1.65 b | 3.20 a | 4.31 a | 1.30 b | 4.25 a | 1.37 b | 5.02 a | 4.21 a |
| Mixed crop | N-30 | 2.40 a | 1.62 b | 1.51 c | 1.45 b | 1.04 c | 0.59 c | 1.03 c | 0.88 c |
| Mixed crop | N-60 | 1.39 bc | 1.01 bc | 0.93 cd | 1.49 b | 1.85 bc | 0.83 bc | 1.25 c | 1.62 c |
| Mixed crop | N-100 | 2.01 ab | 1.41 b | 0.78 cd | 2.22 a | 2.08 bc | 0.50 c | 2.74 bc | 1.16 c |
| p value | Cropping | ≤0.001 | ≤0.001 | ≤0.001 | ≤0.001 | ≤0.001 | ≤0.001 | ≤0.001 | ≤0.01 |
| N-level | 0.02 | ≤0.001 | ≤0.001 | ≤0.001 | 0.03 | 0.99 | ≤0.01 | 0.51 | |
| Crop × N-level | ≤0.01 | ≤0.001 | ≤0.001 | ≤0.001 | 0.16 | 0.26 | ≤0.001 | 0.96 |
| Protein Yield (kg ha−1) | NUE (kg kg−1) | ||||||||
|---|---|---|---|---|---|---|---|---|---|
| Cropping system | N-level | 2022 | 2021 | 2020 | 2019 | 2022 | 2021 | 2020 | 2019 |
| Chickpea | N-30 | 15.12 c | 438.47 a | 120.85 cd | 68.05 a | 0.04 c | 1.65 a | 0.60 c | 0.11 a |
| Chickpea | N-60 | 28.83 c | 276.25 ab | 267.90 c | 133.84 a | 0.05 c | 0.61 b | 0.69 bc | 0.16 a |
| Chickpea | N-100 | 17.94 c | 359.94 a | 67.20 d | 253.13 a | 0.02 c | 0.52 b | 0.12 d | 0.24 a |
| Wheat | N-30 | 243.49 ab | 138.2 bc | 408.85 b | 619.54 a | 0.66 a | 0.51 b | 2.05 a | 0.98 a |
| Wheat | N-60 | 340.62 a | 181.61 b | 495.34 b | 630.26 a | 0.61 a | 0.40 b | 1.28 b | 0.77 a |
| Wheat | N-100 | 338.80 a | 256.18 b | 610.50 a | 731.31 a | 0.42 b | 0.36 b | 0.96 b | 0.68 a |
| Mixed crop | N-30 | 104.6 bc | 144.66 bc | 155.04 cd | 164.16 a | 0.28 bc | 0.34 b | 0.48 c | 0.26 a |
| Mixed crop | N-60 | 141.22 b | 128.70 bc | 169.18 cd | 308.76 a | 0.40 b | 0.26 bc | 0.44 c | 0.47 a |
| Mixed crop | N-100 | 161.65 b | 91.04 c | 288.05 c | 221.90 a | 0.57 a | 0.13 c | 0.63 bc | 0.21 a |
| p value | Cropping | ≤0.001 | ≤0.001 | ≤0.001 | ≤0.001 | ≤0.001 | ≤0.001 | ≤0.001 | ≤0.001 |
| N-level | 0.05 | 0.23 | 0.02 | 0.56 | 0.12 | ≤0.001 | ≤0.001 | 0.87 | |
| Crop × N-level | 0.59 | 0.04 | 0.03 | 0.93 | 0.04 | ≤0.01 | ≤0.01 | 0.76 | |
| WU (m3 ha−1) | WUEGY (kg m−3) | ||||||||
|---|---|---|---|---|---|---|---|---|---|
| Cropping system | N-level | 2022 | 2021 | 2020 | 2019 | 2022 | 2021 | 2020 | 2019 |
| Chickpea | N-30 | 3197.04 a | 4190.34 a | 2981.84 b | 3307.30 b | 0.04 c | 0.43 a | 0.24 d | 0.12 c |
| Chickpea | N-60 | 3106.66 ab | 4199.88 a | 3007.83 b | 3325.92 ab | 0.05 c | 0.39 ab | 0.42 c | 0.30 b |
| Chickpea | N-100 | 3023.24 b | 4340.05 a | 3043.97 ab | 3292.01 b | 0.06 c | 0.36 ab | 0.11 d | 0.43 b |
| Wheat | N-30 | 3231.84 a | 4232.43 a | 3076.84 ab | 3364.21 a | 0.84 b | 0.21 bc | 0.99 b | 1.02 a |
| Wheat | N-60 | 3125.38 ab | 4185.35 a | 3123.34 a | 3312.01 ab | 1.49 a | 0.25 bc | 1.48 a | 1.04 a |
| Wheat | N-100 | 2906.51 c | 4325.37 a | 3089.14 ab | 3217.23 c | 1.41 a | 0.31 b | 1.63 a | 1.30 a |
| Mixed crop | N-30 | 3244.64 a | 4191.54 a | 3095.65 ab | 3355.61 a | 0.32 bc | 0.16 c | 0.35 d | 0.26 b |
| Mixed crop | N-60 | 3048.16 b | 4211.84 a | 2997.36 b | 3381.01 a | 0.48 bc | 0.17 c | 0.37 d | 0.42 b |
| Mixed crop | N-100 | 3013.01 b | 4321.84 a | 3083.33 ab | 3479.09 a | 0.69 b | 0.11 d | 0.79 bc | 0.33 b |
| p value | Cropping | 0.67 | 0.97 | ≤0.01 | 0.01 | ≤0.001 | ≤0.001 | ≤0.001 | ≤0.001 |
| N-level | ≤0.001 | ≤0.01 | 0.19 | 0.90 | 0.01 | 0.98 | ≤0.001 | 0.49 | |
| Crop×N-level | 0.03 | 0.79 | 0.02 | 0.03 | 0.05 | 0.28 | ≤0.001 | 0.95 | |
| Cropping Season | N-Level | LERGY | LERNY | LERTB | LERNB |
|---|---|---|---|---|---|
| Season: 2019 | N-30 | 0.88 ab | 1.01 b | 1.20 b | 1.56 ab |
| N-60 | 1.22 a | 1.65 a | 1.44 a | 1.91 a | |
| N-100 | 0.45 c | 0.50 cd | 0.86 b | 0.78 c | |
| Season: 2020 | N-30 | 0.48 c | 0.49 cd | 0.48 d | 0.44 d |
| N-60 | 0.36 c | 0.39 d | 0.26 d | 0.22 d | |
| N-100 | 0.80 b | 0.75 bc | 0.31 d | 0.28 d | |
| Season: 2021 | N-30 | 0.57 bc | 0.60 cd | 1.19 b | 1.71 ab |
| N-60 | 0.57 bc | 0.51 cd | 1.01 b | 1.25 b | |
| N-100 | 0.35 c | 0.31 d | 1.12 b | 1.39 b | |
| Season: 2022 | N-30 | 0.55 bc | 0.55 cd | 1.05 b | 1.02 c |
| N-60 | 0.62 bc | 0.67 c | 0.69 c | 0.59 c | |
| N-100 | 0.62 bc | 0.65 c | 0.69 c | 0.61 c | |
| p value | Season | ≤0.001 | ≤0.001 | ≤0.001 | ≤0.001 |
| N-level | 0.10 | ≤0.001 | 0.04 | 0.01 | |
| S × N-level | ≤0.001 | ≤0.001 | 0.05 | 0.01 |
Disclaimer/Publisher’s Note: The statements, opinions and data contained in all publications are solely those of the individual author(s) and contributor(s) and not of MDPI and/or the editor(s). MDPI and/or the editor(s) disclaim responsibility for any injury to people or property resulting from any ideas, methods, instructions or products referred to in the content. |
© 2023 by the authors. Licensee MDPI, Basel, Switzerland. This article is an open access article distributed under the terms and conditions of the Creative Commons Attribution (CC BY) license (https://creativecommons.org/licenses/by/4.0/).
Share and Cite
Kherif, O.; Haddad, B.; Bouras, F.-Z.; Seghouani, M.; Zemmouri, B.; Gamouh, R.; Hamzaoui, N.; Larbi, A.; Rebouh, N.-Y.; Latati, M. Simultaneous Assessment of Water and Nitrogen Use Efficiency in Rain-Fed Chickpea-Durum Wheat Intercropping Systems. Agriculture 2023, 13, 947. https://doi.org/10.3390/agriculture13050947
Kherif O, Haddad B, Bouras F-Z, Seghouani M, Zemmouri B, Gamouh R, Hamzaoui N, Larbi A, Rebouh N-Y, Latati M. Simultaneous Assessment of Water and Nitrogen Use Efficiency in Rain-Fed Chickpea-Durum Wheat Intercropping Systems. Agriculture. 2023; 13(5):947. https://doi.org/10.3390/agriculture13050947
Chicago/Turabian StyleKherif, Omar, Benalia Haddad, Fatma-Zohra Bouras, Mounir Seghouani, Bahia Zemmouri, Ramzi Gamouh, Nadia Hamzaoui, Amira Larbi, Nazih-Yacer Rebouh, and Mourad Latati. 2023. "Simultaneous Assessment of Water and Nitrogen Use Efficiency in Rain-Fed Chickpea-Durum Wheat Intercropping Systems" Agriculture 13, no. 5: 947. https://doi.org/10.3390/agriculture13050947
APA StyleKherif, O., Haddad, B., Bouras, F.-Z., Seghouani, M., Zemmouri, B., Gamouh, R., Hamzaoui, N., Larbi, A., Rebouh, N.-Y., & Latati, M. (2023). Simultaneous Assessment of Water and Nitrogen Use Efficiency in Rain-Fed Chickpea-Durum Wheat Intercropping Systems. Agriculture, 13(5), 947. https://doi.org/10.3390/agriculture13050947

