Evaluation of Lactic Acid Bacteria Isolated from Piglets Tract and Encapsulation of Selected Probiotic Cells
Abstract
1. Introduction
2. Materials and Methods
2.1. Ethical Statement
2.2. Reagents and Materials
2.3. LAB Isolation, Culture Conditions, and Phenotypic Identification
2.4. Biochemical Identification
2.5. Molecular Strains Identification
2.6. Conservation and Bacterial Strains Viability
2.7. Low pH Resistance
2.8. Bile Salts Resistance
2.9. Safety Evaluation
2.10. Susceptibility Antibiotic Test
2.11. Bioreactor Batch and Fermentation Process
2.12. Spray Drying Process and Cell Viability
2.13. Powder Stability during Storage
2.13.1. Storage of Powders
2.13.2. Lab Powder Enumeration
2.13.3. Total Coliform Count
2.14. Statistical Analysis
3. Results
3.1. Lactic Acid Bacteria Isolation, Culture Conditions, and Phenotypic Identification
3.2. Biochemical Identification
3.3. Molecular Strains Identification
3.4. Conservation and Bacterial Strains Viability
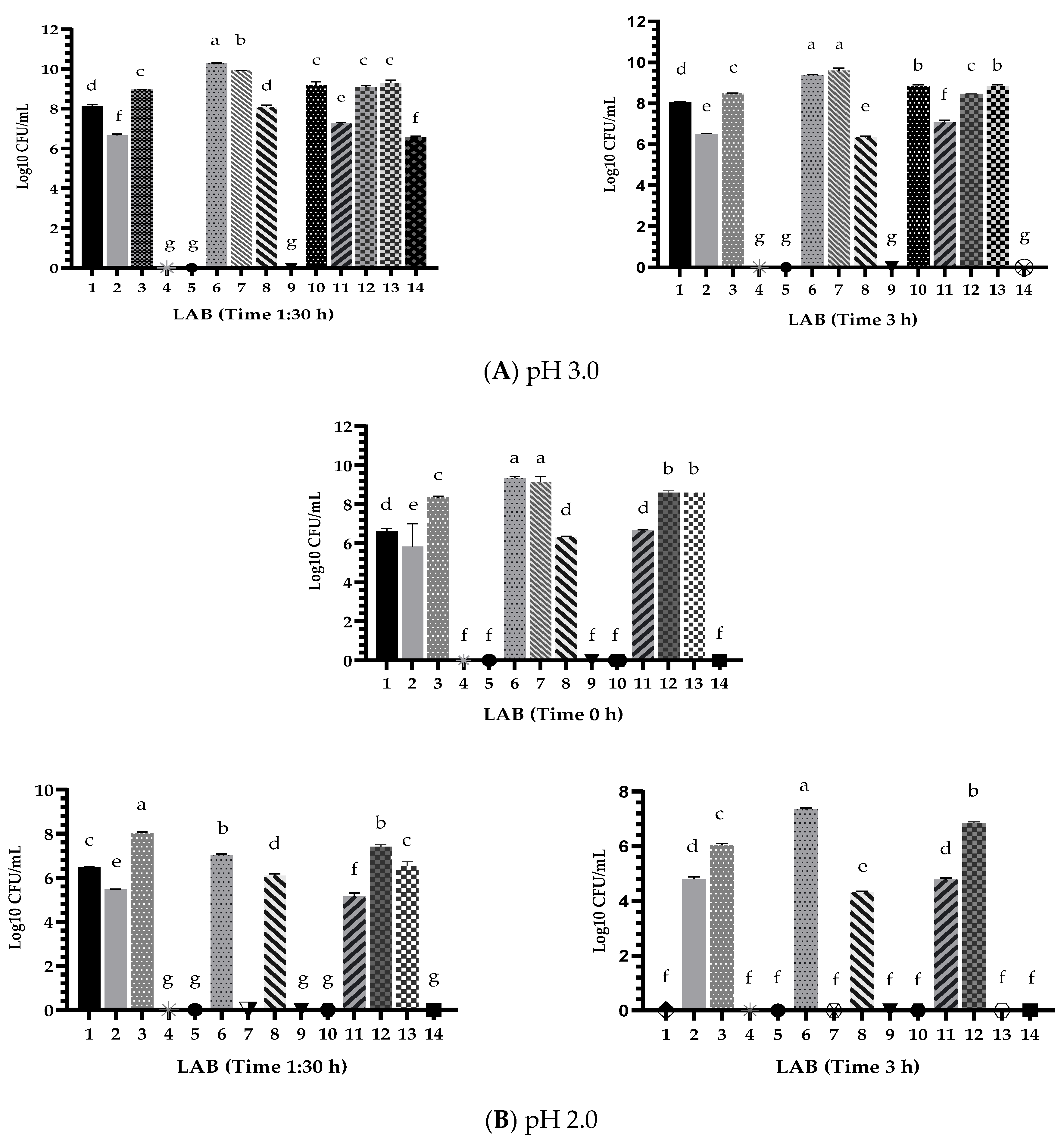
3.5. Low pH Resistance
3.6. Bile Salts Resistance
3.7. Safety Evaluation
3.8. Susceptibility Antibiotic Test
3.9. Bioreactor Batch and Fermentation Process
3.10. Spray Drying Technique and Cell Viability
3.11. Powders Stability during Storage
3.12. Total Coliform Count
4. Discussion
4.1. Lactic Acid Bacteria Isolation, Culture Conditions, and Phenotypic Identification
4.2. Biochemical Identification
4.3. Molecular Strains Identification
4.4. Conservation and Bacterial Strains Viability
4.5. Low pH Resistance
4.6. Bile Salts Resistance
4.7. Safety Evaluation
4.8. Susceptibility Antibiotic Test
4.9. Bioreactor Batch and Fermentation Process
4.10. Spray Drying Technique and Cell Viability
4.11. Powder Stability during Storage
4.12. Total Coliforms Count
5. Conclusions
Supplementary Materials
Author Contributions
Funding
Institutional Review Board Statement
Data Availability Statement
Conflicts of Interest
References
- Tulumoğlu, Ş.; Kaya, H.I.; Şimşek, Ö. Probiotic characteristics of Lactobacillus fermentum strains isolated from tulum cheese. Anaerobe 2014, 30, 120–125. [Google Scholar] [CrossRef] [PubMed]
- Halder, D.; Mandal, M.; Chatterjee, S.S.; Pal, N.K.; Mandal, S. Indigenous probiotic Lactobacillus isolates presenting antibiotic like activity against human pathogenic bacteria. Biomedicines 2017, 5, 31. [Google Scholar] [CrossRef] [PubMed]
- Colombo, M.; Castilho, N.; Todorov, S.D.; Nero, L.A. Beneficial properties of lactic acid bacteria naturally present in dairy production. BMC Microbiol. 2018, 18, 219. [Google Scholar] [CrossRef]
- Dumitru, M.; Habeanu, M.; Lefter, N.A.; Gheorghe, A. The effect of Bacillus licheniformis as direct-fed microbial product on growth performance, gastrointestinal disorders and microflora population in weaning piglets. Rom. Biotechnol. Lett. 2020, 25, 2060–2069. [Google Scholar] [CrossRef]
- Sorescu, I.; Dumitru, M.; Habeanu, M.; Costin, S. Lactobacillus Spp. strains isolation, identification, preservation and quantitative determinations from the intestinal content and faeces of weaned piglets. Arch. Zootech. 2020, 23, 84–100. [Google Scholar] [CrossRef]
- Samedi, L.; Charles, A.L. Isolation and characterization of potential probiotic Lactobacilli from leaves of food plants for possible additives in pellet feeding. Ann. Agric. Sci. 2019, 64, 55–62. [Google Scholar] [CrossRef]
- Holzapfel, W.; Arini, A.; Aeschbacher, M.; Coppolecchia, R.; Pot, B. Enterococcus faecium SF68 as a model for efficacy and safety evaluation of pharmaceutical probiotics. Benef. Microbes 2018, 9, 375–388. [Google Scholar] [CrossRef]
- Sorescu, I.; Dumitru, M.; Ciurescu, G. Lactobacillus spp. and Enterococcus faecium strains isolation, identification, preservation and quantitative determinations from turkey gut content. Rom. Biotechnol. Lett. 2019, 24, 41–49. [Google Scholar] [CrossRef]
- Long, S.F.; Xu, Y.T.; Pan, L.; Wang, Q.Q.; Wang, C.L.; Wu, J.Y.; Wu, Y.Y.; Han, Y.M.; Yun, C.H.; Piao, X.S. Mixed organic acids as antibiotic substitutes improve performance, serum immunity, intestinal morphology and microbiota for weaned piglets. Anim. Feed Sci. Technol. 2018, 235, 23–32. [Google Scholar] [CrossRef]
- Betancur, C.; Martínez, Y.; Tellez-Isaias, G.; Avellaneda, C.; Velázquez-Martí, B. In Vitro Characterization of indigenous probiotic strains isolated from Colombian creole pigs. Animals 2020, 10, 1204. [Google Scholar] [CrossRef]
- FAO/WHO. Guidelines for the Evaluation of Probiotic in Food. 2002. Available online: https://www.researchgate.net/figure/FAO-WHO-Guidelines-for-the-evaluation-of-probiotics-for-food-use_fig1_233533011 (accessed on 5 December 2022).
- Dumitru, M.; Vodnar, D.C.; Elemer, S.; Ciurescu, G.; Habeanu, M.; Sorescu, I.; Georgescu, S.E.; Dudu, A. Evaluation of non-encapsulated and microencapsulated lactic acid bacteria. Appl. Sci. 2021, 11, 9867. [Google Scholar] [CrossRef]
- Huang, J.; Zhang, W.; Hu, Z.; Liu, Z.; Du, T.; Dai, Y.; Xiong, T. Isolation, characterization and selection of potential probiotic lactic acid bacteria from feces of wild boar, native pig and commercial pig. Livest. Sci. 2020, 237, 104036. [Google Scholar] [CrossRef]
- Casarotti, S.N.; Carneiro, B.M.; Todorov, S.D.; Nero, L.A.; Rahal, P.; Penna, A.L.B. In vitro assessment of safety and probiotic potential characteristics of Lactobacillus strains isolated from water buffalo mozzarella cheese. Ann. Microbiol. 2017, 67, 289–301. [Google Scholar] [CrossRef]
- Azam, M.; Saeed, M.; Pasha, I.; Shahid, M. A prebiotic-based biopolymeric encapsulation system for improved survival of Lactobacillus rhamnosus. Food Biosci. 2020, 37, 100679. [Google Scholar] [CrossRef]
- Rascón, M.P.; Huerta-Vera, K.; Pascual-Pineda, L.A.; Contreras-Oliva, A.; Flores-Andrade, E.; Castillo-Morales, M.; Bonilla, E.; González-Morales, I. Osmotic dehydration assisted impregnation of Lactobacillus rhamnosus in banana and effect of water activity on the storage stability of probiotic in the freeze-dried product. LWT 2018, 92, 490–496. [Google Scholar] [CrossRef]
- Guo, Q.; Li, S.; Tang, J.; Chang, S.; Qiang, L.; Du, G.; Yue, T.; Yuan, Y. Microencapsulation of Lactobacillus plantarum by spray drying: Protective effects during simulated food processing, gastrointestinal conditions, and in kefir. Int. J. Biol. Macromol. 2022, 194, 539–545. [Google Scholar] [CrossRef] [PubMed]
- Mohammed, N.K.; Tan, C.P.; Manap, Y.A.; Alhelli, A.M.; Hussin, A.S.M. Process conditions of spray drying microencapsulation of Nigella sativa oil. Powder Technol. 2017, 315, 1–14. [Google Scholar] [CrossRef]
- Watson, M.A.; Lea, J.M.; Bett-Garber, K.L. Spray drying of pomegranate juice using maltodextrin/cyclodextrin blends as the wall material. Food Sci. Nutr. 2017, 5, 820–826. [Google Scholar] [CrossRef] [PubMed]
- Chew, S.C.; Tan, C.H.; Pui, L.P.; Chong, P.N.; Gunasekaran, B.; Lin, N.K. Encapsulation technologies: A tool for functional foods development. Int. J. Innov. Technol. Explor. Eng. 2019, 8, 154–160. [Google Scholar]
- Khem, S.; Woo, M.W.; Small, D.M.; Chen, X.D.; May, B.K. Agent selection and protective effects during single droplet drying of bacteria. Food Chem. 2015, 166, 206–214. [Google Scholar] [CrossRef]
- Diệp Huy Vũ, P.; Rodklongtan, A.; Chitprasert, P. Whey protein isolate-lignin complexes as encapsulating agents for enhanced survival during spray drying, storage, and in vitro gastrointestinal passage of Lactobacillus reuteri KUB-AC5. LWT 2021, 148, 111725. [Google Scholar] [CrossRef]
- Wang, N.; Fu, N.; Chen, X.D. The extent and mechanism of the effect of protectant material in the production of active lactic acid bacteria powder using spray drying: A review. Curr. Opin. Food Sci. 2022, 44, 100807. [Google Scholar] [CrossRef]
- Fenster, K.; Freeburg, B.; Hollard, C.; Wong, C.; Laursen, R.R.; Ouwehand, A.C. The production and delivery of probiotics: A review of a practical approach. Microorganisms 2019, 7, 83. [Google Scholar] [CrossRef] [PubMed]
- Huang, S. Spray Drying of Probiotic Bacteria: From Molecular Mechanism to Pilot-Scale Production. Doctoral Dissertation, Agrocampus Ouest, Rennes, France, 2017. [Google Scholar]
- Yonekura, L.; Sun, H.; Soukoulis, C.; Fisk, I. Microencapsulation of Lactobacillus acidophilus NCIMB 701748 in matrices containing soluble fibre by spray drying: Technological characterization, storage stability and survival after in vitro digestion. J. Funct. Foods 2014, 6, 205–214. [Google Scholar] [CrossRef]
- Dumitru, M.; Tabuc, C.; Jurcoane, Ș. Obtaining a feed additive based of Lactobacillus plantarum strain. Agron. Ser. Sci. Res./Lucr. Stiintifice Ser. Agron. 2018, 61, 61115–61122. [Google Scholar]
- Vanhoutte, T.; Huys, G.; De Brandt, E.; Swings, J. Temporal stability analysis of the microbiota in human feces by denaturing gradient gel electrophoresis using universal and group-specific 16S rRNA gene primers. FEMS Microbiol. Ecol. 2004, 48, 437–446. [Google Scholar] [CrossRef]
- Charan, J.; Kantharia, N.D. How to calculate sample size in animal studies? J. Pharmacol. Pharmacother. 2013, 4, 303–306. [Google Scholar] [CrossRef]
- Prasad, J.; Gill, H.; Smart, J.; Gopal, P.K. Selection and characterisation of Lactobacillus and Bifidobacterium strains for use as probiotics. Int. Dairy J. 1998, 8, 993–1002. [Google Scholar] [CrossRef]
- Mangia, N.P.; Saliba, L.; Deiana, P. Functional and safety characterization of autochthonous Lactobacillus paracasei FS103 isolated from sheep cheese and its survival in sheep and cow fermented milks during cold storage. Ann. Microbiol. 2019, 69, 161–170. [Google Scholar] [CrossRef]
- Zhang, B.; Wang, Y.; Tan, Z.; Li, Z.; Jiao, Z.; Huang, Q. Screening of probiotic activities of lactobacilli strains iolated from traditional tibetan qula, a raw yak milk cheese. Asian Australas, J. Anim. Sci. 2016, 29, 1490–1499. [Google Scholar] [CrossRef]
- Bhagwat, A.; Bhushette, P.; Annapure, U.S. Spray drying studies of probiotic Enterococcus strains encapsulated with whey protein and maltodextrin. Beni-Suef Univ. J. Basic Appl. Sci. 2020, 9, 33. [Google Scholar] [CrossRef]
- Salman, A.M.A.; Hamad, M. Enumeration and identification of coliform bacteria from raw milk in Khartoum State. Sudan. J. Cell Anim. Biol. 2011, 5, 121–128. [Google Scholar]
- Feng, Y.; Qiao, L.; Liu, R.; Yao, H.; Gao, C. Potential probiotic properties of lactic acid bacteria isolated from the intestinal mucosa of healthy piglets. Ann. Microbiol. 2017, 67, 239–253. [Google Scholar] [CrossRef]
- Saarela, M.; Mogensen, G.; Fonden, R.; Mättö, J.; Mattila-Sandholm, T. Probiotic bacteria: Safety, functional and technological properties. J. Biotechnol. 2000, 84, 197–215. [Google Scholar] [CrossRef]
- Dowarah, R.; Verma, A.K.; Agarwal, N.; Singh, P.; Singh, B.R. Selection and characterization of probiotic lactic acid bacteria and its impact on growth, nutrient digestibility, health and antioxidant status in weaned piglets. PLoS ONE 2018, 13, e0192978. [Google Scholar] [CrossRef]
- Ding, S.; Yan, W.; Ma, Y.; Fang, J. The impact of probiotics on gut health via alternation of immune status of monogastric animals. Anim. Nutr. 2021, 7, 24–30. [Google Scholar] [CrossRef]
- Dumitru, M.; Hăbeanu, M.; Sorescu, I.; Tabuc, C. Effects of Bacillus spp. as a supplemental probiotic in diets for weaned piglets. S. Afr. J. Anim. Sci. 2021, 51, 578–586. [Google Scholar] [CrossRef]
- Divisekera, D.M.W.D.; Samarasekera, J.K.R.R.; Hettiarachchi, C.; Gooneratne, J.; Choudhary, M.I.; Gopalakrishnan, S.; Wahab, A.T. Lactic acid bacteria isolated from fermented flour of finger millet, its probiotic attributes and bioactive properties. Ann. Microbiol. 2019, 69, 79–92. [Google Scholar] [CrossRef]
- Boontun, C.; Vatanyoopaisarn, S.; Hankla, S.; Kuraya, E.; Tamaki, Y. Modification of media using food-grade components for the fermentation of Bifidobacterium and Lactobacillus strains in large-scale bioreactors. Prep. Biochem. Biotechnol. 2021, 1–11. [Google Scholar] [CrossRef]
- Mohseni, J.; Fazeli, M.; Lavasani, A.S. Effect of Various parameters of carbon and nitrogen sources and environmental conditions on the growth of Lactobacillus casei in the production of lactic acid. Glob. J. Med. Res. 2016, 16, 67–73. [Google Scholar]
- De Melo Pereira, G.V.; De Oliveira Coelho, B.; Magalhães Júnior, A.I.; Thomaz-Soccol, V.; Soccol, C.R. How to select a probiotic? A review and update of methods and criteria. Biotechnol. Adv. 2018, 36, 2060–2076. [Google Scholar] [CrossRef] [PubMed]
- Marchwińska, K.; Gwiazdowska, D. Isolation and probiotic potential of lactic acid bacteria from swine feces for feed additive composition. Arch. Microbiol. 2022, 204, 61. [Google Scholar] [CrossRef] [PubMed]
- Ansari, J.M.; Colasacco, C.; Emmanouil, E.; Kohlhepp, S.; Harriott, O. Strain-level diversity of commercial probiotic isolates of Bacillus, Lactobacillus, and Saccharomyces species illustrated by molecular identification and phenotypic profiling. PLoS ONE 2019, 14, e0213841. [Google Scholar] [CrossRef]
- Skotniczny, M.; Satora, P. Molecular Detection and Identification of Plant-Associated Lactiplantibacillus plantarum. Int. J. Mol. Sci. 2023, 24, 4853. [Google Scholar] [CrossRef]
- Huang, S.; Vignolles, M.L.; Chen, X.D.; Le Loir, Y.; Jan, G.; Schuck, P.; Jeantet, R. Spray drying of probiotics and other food-grade bacteria: A review. Trends Food Sci. Technol. 2018, 63, 1–17. [Google Scholar] [CrossRef]
- Ranadheera, C.S.; Evans, C.A.; Baines, S.K.; Balthazar, C.F.; Cruz, A.G.; Esmerino, E.A.; Freitas, M.Q.; Pimentel, T.C.; Wittwer, A.E.; Naumovski, N.; et al. Probiotics in goat milk products: Delivery capacity and ability to improve sensory attributes. Compr. Rev. Food Sci. Food Saf. 2019, 18, 867–882. [Google Scholar] [CrossRef] [PubMed]
- Rasika, D.M.D.; Vidanarachchi, J.K.; Luiz, S.F.; Azeredo, D.R.P.; Cruz, A.G.; Ranadheera, C.S. Probiotic delivery through non-dairy plant-based food matrices. Agriculture 2021, 11, 599. [Google Scholar] [CrossRef]
- Trabelsi, I.; Bejar, W.; Ayadi, D.; Chouayekh, H.; Kammoun, R.; Bejar, S.; Salah, R.B. Encapsulation in alginate and alginate coated-chitosan improved the survival of newly probiotic in oxgall and gastric juice. Int. J. Biol. Macromol. 2013, 61, 36–42. [Google Scholar] [CrossRef]
- FAO/WHO. Report on Joint FAO/WHO Expert Consultation on Evaluation of Health and Nutritional Properties of Probiotics in Food Including Powder Milk with Live Lactic Acid Bacteria. 2001. Available online: https://scirp.org/reference/referencespapers.aspx?referenceid=1456307 (accessed on 10 December 2022).
- Arepally, D.; Reddy, R.S.; Goswami, T.K. Retracted: Studies on survivability, storage stability of encapsulated spray dried probiotic powder. Curr. Res. Food Sci. 2020, 3, 235–242. [Google Scholar] [CrossRef]
- Soltani Lak, A.; Marhamatizadeh, M.H.; Fattahi, H. Stability of encapsulated Lactobacillus reuteri during harsh conditions, storage period, and simulated in vitro conditions. J. Food Qual. 2021, 2021, 3872190. [Google Scholar] [CrossRef]
- Lefter, N.A.; Habeanu, M.; Gheorghe, A.; Dumitru, M.; Gal, C.; Vlaicu, P.A. Effects of microencapsulated probiotics on performance, organ development, diarrhoea incidences, blood parameters, intestinal histomorphology and microflora in weaning piglets. Agriculture 2023, 13, 39. [Google Scholar] [CrossRef]
- Zeashan, M.; Afzaal, M.; Saeed, F.; Ahmed, A.; Tufail, T.; Ahmed, A.; Anjum, F.M. Survival and behavior of free and encapsulated probiotic bacteria under simulated human gastrointestinal and technological conditions. Food Sci. Nutr. 2020, 8, 2419–2426. [Google Scholar] [CrossRef] [PubMed]
- Akweya, B.A.; Mghalu, J.M.; Yusuf, R.U.M.; Bitange, T. Probiotic potential of lactic acid bacteria isolated from traditionally fermented legume products of Western Kenya. Afr. J. Food Sci. 2020, 14, 373–377. [Google Scholar] [CrossRef]
- Venema, K.; Verhoeven, J.; Verbruggen, S.; Espinosa, L.; Courau, S. Probiotic survival during a multi-layered tablet development as tested in a dynamic, computer-controlled in vitro model of the stomach and small intestine (TIM-1). Lett. Appl. Microbiol. 2019, 69, 325–332. [Google Scholar] [CrossRef]
- Topçu, K.C.; Kaya, M.; Kaban, G. Probiotic properties of lactic acid bacteria strains isolated from pastırma. LWT 2020, 134, 110216. [Google Scholar] [CrossRef]
- Cele, N.; Nyide, B.; Khoza, T. In vitro characterisation of potential probiotic bacteria isolated from a naturally fermented carrot and ginger brine. Fermentation 2022, 8, 534. [Google Scholar] [CrossRef]
- Galli, V.; Venturi, M.; Mari, E.; Guerrini, S.; Granchi, L. Selection of yeast and lactic acid bacteria strains, isolated from spontaneous raw milk fermentation, for the production of a potential probiotic fermented milk. Fermentation 2022, 8, 407. [Google Scholar] [CrossRef]
- Sanhueza, E.; Paredes-Osses, E.; González, C.L.; García, A. Effect of pH in the survival of Lactobacillus salivarius strain UCO_979C wild type and the pH acid acclimated variant. Electron. J. Biotechnol. 2015, 18, 343–346. [Google Scholar] [CrossRef]
- Kaushik, J.K.; Kumar, A.; Duary, R.K.; Mohanty, A.K.; Grover, S.; Batish, V.K. Functional and probiotic attributes of an indigenous isolate of Lactobacillus plantarum. PLoS ONE 2009, 12, e8099. [Google Scholar] [CrossRef]
- Sayan, H.; Assavacheep, P.; Angkanaporn, K.; Assavacheep, A. Effect of Lactobacillus salivarius on growth performance, diarrhea incidence, fecal bacterial population and intestinal morphology of suckling pigs challenged with F4+ enterotoxigenic Escherichia coli. Asian-Australas. J. Anim. Sci. 2018, 31, 1308–1314. [Google Scholar] [CrossRef]
- Bujnakova, D.; Strakova, E.; Kmet, V. In vitro evaluation of the safety and probiotic properties of Lactobacilli isolated from chicken and calves. Anaerobe 2014, 29, 118–127. [Google Scholar] [CrossRef] [PubMed]
- Dixit, G.; Samarth, D.; Tale, V.; Bhadekar, R. Comparative studies on potential probiotic characteristics of Lactobacillus acidophilus strains. EurAsian J. Biosci. 2013, 7, 1–9. [Google Scholar] [CrossRef]
- Hacin, B.; Rogelj, I.; Matijasic, B.B. Lactobacillus isolates from weaned piglets’ mucosa with inhibitory activity against common porcine pathogens. Folia Microbiol. 2008, 53, 569–576. [Google Scholar] [CrossRef]
- Wang, J.; Ji, H.; Zhang, D.; Liu, H.; Wang, S.; Shan, D.; Wang, Y. Assessment of probiotic properties of Lactobacillus plantarum ZLP001 isolated from gastrointestinal tract of weaning pigs. Afr. J. Biotechnol. 2011, 10, 11303–11308. [Google Scholar]
- Sahadeva, R.P.K.; Leong, S.F.; Chua, K.H.; Tan, C.H.; Chan, H.Y.; Tong, E.V.; Wong, S.Y.W.; Chan, H.K. Survival of commercial probiotic strains to pH and bile. Int. Food Res. J. 2011, 18, 1515–1522. [Google Scholar]
- Guzior, D.V.; Quinn, R.A. Review: Microbial transformations of human bile acids. Microbiome 2021, 9, 140. [Google Scholar] [CrossRef] [PubMed]
- Yeo, S.; Lee, S.; Park, H.; Shin, H.; Holzapfel, W. Development of putative probiotics as feed additives: Validation in a porcine-specific gastrointestinal tract model. Appl. Microbiol. Biotechnol. 2016, 100, 10043–10054. [Google Scholar] [CrossRef]
- Mojgani, N.; Hussaini, F.; Vaseji, N. Characterization of indigenous Lactobacillus strains for probiotic properties. Jundishapur J. Microbiol. 2015, 8, e17523. [Google Scholar] [CrossRef]
- Toscano, M.; De Vecchi, E.; Gabrieli, A.; Zuccotti, G.V.; Drago, L. Probiotic characteristics and in vitro compatibility of a combination of Bifidobacterium breve M-16 V, Bifidobacterium longum subsp. infantis M-63 and Bifidobacterium longum subsp. longum BB536. Ann. Microbiol. 2015, 65, 1079–1086. [Google Scholar] [CrossRef]
- Shobharani, P.; Halami, P.M. In vitro evaluation of the cholesterol reducing ability of a potential probiotic Bacillus spp. Ann. Microbiol. 2016, 66, 643–651. [Google Scholar] [CrossRef]
- Balasingham, K.; Valli, C.; Radhakrishnan, L.; Balasuramanyam, D. Probiotic characterization of lactic acid bacteria isolated from swine intestine. Vet. World 2017, 10, 825–829. [Google Scholar] [CrossRef] [PubMed]
- Patel, H.M.; Pandiella, S.S.; Wang, R.H.; Webb, C. Influence of malt, wheat, and barley extracts on the bile tolerance of selected strains of lactobacilli. Food Microbiol. 2004, 21, 83–89. [Google Scholar] [CrossRef]
- Ranadheera, C.S.; Vidanarachchi, J.K.; Rocha, R.S.; Cruz, A.G.; Ajlouni, S. Probiotic delivery through fermentation: Dairy vs. non-dairy beverages. Fermentation 2017, 3, 67. [Google Scholar] [CrossRef]
- Vasiljevic, T.; Shah, N.P. Probiotics—From Metchnikoff to bioactives. Int. Dairy J. 2008, 18, 714–728. [Google Scholar] [CrossRef]
- Dos Santos, D.X.; Casazza, A.A.; Aliakbarian, B.; Bedani, R.; Saad, S.M.I.; Perego, P. Improved probiotic survival to in vitro gastrointestinal stress in a mousse containing Lactobacillus acidophilus La-5 microencapsulated with inulin by spray drying. LWT 2019, 99, 404–410. [Google Scholar] [CrossRef]
- Georgieva, R.; Yocheva, L.; Tserovska, L.; Zhelezova, G.; Stefanova, N.; Atanasova, A.; Danguleva, A.; Ivanova, G.; Karapetkov, N.; Rumyan, N.; et al. Antimicrobial activity and antibiotic susceptibility of Lactobacillus and Bifidobacterium spp. intended for use as starter and probiotic cultures. Biotechnol. Biotechnol. Equip. 2015, 29, 84–91. [Google Scholar] [CrossRef]
- Gunyakti, A.; Asan-Ozusaglam, M. Lactobacillus gasseri from human milk with probiotic potential and some technological properties. LWT 2019, 109, 261–269. [Google Scholar] [CrossRef]
- Rajab, S.; Tabandeh, F.; Shahraky, M.K.; Alahyaribeik, S. The effect of Lactobacillus cell size on its probiotic characteristics. Anaerobe 2020, 62, 102103. [Google Scholar] [CrossRef]
- Jin, Y.; Luo, B.; Cai, J.; Yang, B.; Zhang, Y.; Tian, F.; Ni, Y. Evaluation of indigenous lactic acid bacteria of raw mare milk from pastoral areas in Xinjiang, China, for potential use in probiotic fermented dairy products. J. Dairy Sci. 2021, 104, 5166–5184. [Google Scholar] [CrossRef]
- Zhang, W.; Lai, S.; Zhou, Z.; Yang, J.; Liu, H.; Zhong, Z.; Fu, H.; Ren, Z.; Shen, L.; Cao, S.; et al. Screening and evaluation of lactic acid bacteria with probiotic potential from local Holstein raw milk. Front. Microbiol. 2022, 13, 918774. [Google Scholar] [CrossRef]
- Zheng, M.; Zhang, R.; Tian, X.; Zhou, X.; Pan, X.; Wong, A. Assessing the risk of probiotic dietary supplements in the context of antibiotic resistance. Front. Microbiol. 2017, 8, 908. [Google Scholar] [CrossRef]
- EFSA. Technical Guidance—Update of the criteria used in the assessment of bacterial resistance to antibiotics of human or veterinary importance. EFSA J. 2008, 6, 732. [Google Scholar]
- Haghshenas, B.; Abdullah, N.; Nami, Y.; Radiah, D.; Rosli, R.; Khosroushahi, A.Y. Different effects of two newly-isolated probiotic Lactobacillus plantarum 15HN and Lactococcus lactis subsp. Lactis 44Lac strains from traditional dairy products on cancer cell lines. Anaerobe 2014, 30, 51–59. [Google Scholar] [CrossRef]
- Islam, M.Z.; Uddin, M.E.; Rahman, M.T.; Islam, M.A.; Harun-ur-Rashid, M. Isolation and characterization of dominant lactic acid bacteria from raw goat milk: Assessment of probiotic potential and technological properties. Small Rum. Res. 2021, 205, 106532. [Google Scholar] [CrossRef]
- Kang, C.H.; Gu, T.; So, J.S. Possible probiotic lactic acid bacteria isolated from Oysters (Crassostrea gigas). Probiotics Antimicrob. Proteins 2018, 10, 728–739. [Google Scholar] [CrossRef]
- Devirgiliis, C.; Barile, S.; Perozzi, G. Antibiotic resistance determinants in the interplay between food and gut microbiota. Genes Nutr. 2011, 6, 275–284. [Google Scholar] [CrossRef]
- Stefańska, I.; Kwiecień, E.; ´Jóźwiak-Piasecka, K.; Garbowska, M.; Binek, M.; Rzewuska, M. Antimicrobial susceptibility of lactic acid bacteria strains of potential use as feed additives—the basic safety and usefulness criterion. Front. Vet. Sci. 2021, 8, 687071. [Google Scholar] [CrossRef] [PubMed]
- EFSA Panel on Additives and Products or Substances used in Animal Feed (FEEDAP); Rychen, G.; Aquilina, G.; Azimonti, G.; Bampidis, V.; de Lourdes Bastos, M.; Bories, G.; Chesson, A.; Cocconcelli, P.S.; Flachowsky, G.; et al. Panel on additives and products or substances used in animal feed (FEEDAP). Guidance on the characterization of microorganisms used as feed additives or s production organisms. EFSA J. 2018, 6, 5206. [Google Scholar] [CrossRef]
- Lipan, L.; Rusu, B.; Sendra, E.; Hernández, F.; Vázquez-Araújo, L.; Vodnar, D.C.; Carbonell-Barrachina, Á.A. Spray drying and storage of probiotic-enriched almond milk: Probiotic survival and physicochemical properties. J. Sci. Food Agric. 2020, 100, 3697–3708. [Google Scholar] [CrossRef] [PubMed]
- Cai, Y.Z.; Corke, H. Production and properties of spray-dried Amaranthus Betacyanin pigments. J. Food Sci. 2000, 65, 1248–1252. [Google Scholar] [CrossRef]
- Hojjati, M.; Razavi, S.H.; Rezaei, K.; Gilani, K. Stabilization of canthaxanthin produced by Dietzia natronolimnaea HS-1 with spray drying microencapsulation. J. Food Sci. Technol. 2012, 51, 2134–2140. [Google Scholar] [CrossRef] [PubMed]
- Bernat, N.; Cháfera, M.; Chiralt, A.; González-Martínez, C. Probiotic fermented almond milk as an alternative to cow-milk yoghurt. Int. J. Food Stud. 2015, 4, 201–211. [Google Scholar] [CrossRef]
- FAO Food Nutrition. Report of a Joint FAO/WHO Expert consultation on evaluation of health and nutritional properties of probiotics in food including powder milk with live. In Health and Nutrition Properties of Probiotics in Food including Powder Milk with Live Lactic Acid Bacteria; FAO: Rome, Italy, 2006. [Google Scholar]
- Pluske, J.R.; Turpin, D.L.; Kim, J.C. Gastrointestinal tract (gut) health in the young pig. Anim. Nutr. 2018, 4, 187–196. [Google Scholar] [CrossRef] [PubMed]
- Puttarat, N.; Thangrongthong, S.; Kasemwong, K.; Kerdsup, P.; Taweechotipatr, M. Spray-drying microencapsulation using whey protein isolate and nano-crystalline starch for enhancing the survivability and stability of Lactobacillus reuteri TF-7. Food Sci. Biotechnol. 2021, 30, 245–256. [Google Scholar] [CrossRef]
- Yee, W.L.; Yee, C.L.; Lin, N.K.; Phing, P.L. Microencapsulation of Lactobacillus acidophilus NCFM incorporated with mannitol and its storage stability in mulberry tea. Ciência Agrotecnol. 2019, 43, 1–11. [Google Scholar] [CrossRef]
- Al-Qureshi, Z.S.Z.; Al-Hussainy, K.S.; Al-Imara, E.A. Effect of lactic acid bacteria in improving microbial properties of fermented sausage under refrigeration storage. Iran. J. Ichthyol. 2022, 9, 474–482. [Google Scholar]
- Gurtler, J.B.; Doyle, M.P.; Kornacki, J.L. The Microbiological Safety of Low Water Activity Foods and Spices; Springer: New York, NY, USA, 2014; pp. 3–13. [Google Scholar] [CrossRef]
- Boor, K.; Brown, D.; Murphy, S.; Kozlowski, S.; Bandler, D. Microbiological and chemical quality of raw milk in New York State. J. Dairy Sci. 1998, 81, 1743–1748. [Google Scholar] [CrossRef]
- Khider, M.; Nasr, N.M.; Atallah, K.M.; Metry, W.A. Functional UF-low and full-fat Labneh supplemented with Oats (Avena sativa L.) powder and probiotic bacteria. J. Umm Al-Qura Univ. Appl. Sci. 2022, 8, 21–32. [Google Scholar] [CrossRef]






| Strains/IBNA Code | Source/Area of Isolation and Piglet Age |
|---|---|
| L. fermentum biotype 1, IBNA | |
| 71 75 78 85 90 95 | Cecum, 81 days old Ileum, 81 days old Cecum, 107 days old Ileum, 107 days old Feces, 30 days old Feces, 30 days old |
| L. acidophilus, IBNA | |
| 76 81 94 64 70 | Ileum, 81 days old Ileum, 81 days old Feces, 30 days old Ileum, 45 days old Cecum, 81 days old |
| L. delbrueckii, IBNA 77 | Cecum, 81 days old |
| L. plantarum group, IBNA 84 | Ileum, 107 days old |
| L. salivarius, IBNA 87 | Feces, 30 days old |
| Total Isolates | Technique Identification | ||
|---|---|---|---|
| API 50 CHL Biomerieux | 16S rRNA Gene Sequencing (Primers Lac1F/Lac1R) | 16S rRNA Gene Sequencing (Primer 27 F/1492R) | |
| 14 | L. fermentum biotype 1 IBNA 71 75 78 85 90 95 | identified as: | |
| L. fermentum L. fermentum L. fermentum L. fermentum L. fermentum L. fermentum | L. fermentum L. fermentum L. fermentum L. fermentum L. fermentum L. fermentum | ||
| L. acidophilus IBNA 76 81 94 64 70 | identified as: | ||
| L. acidophilus L. acidophilus L. acidophilus L. acidophilus L. acidophilus | L. acidophilus L. acidophilus L. acidophilus L. acidophilus L. acidophilus | ||
| L. delbrueckii IBNA 77 | identified as: | ||
| Lactobacillus spp. | Lactobacillus spp. | ||
| L. plantarum IBNA 84 | identified as: | ||
| L. plantarum | L. plantarum | ||
| L. salivarius IBNA 87 | identified as: | ||
| Lactobacillus spp. | Lactobacillus spp. | ||
| Inhibition Diameter (mm) | ||||||||||||||||
|---|---|---|---|---|---|---|---|---|---|---|---|---|---|---|---|---|
| Strains | AMX | GN | K | MY | TE | P | VA | CT | DA | E | AK | C | OT | ENR | S | TIL |
| 1 | ≤6.0 | ≤6.0 | ≤6.0 | 18.0 | 14.0 | 24.3 | 13.3 | ≤6.0 | 17.3 | 12.3 | 10.0 | 8.3 | 15.0 | ≤6.0 | ≤6.0 | ≤6.0 |
| 2 | 30.0 | ≤6.0 | ≤6.0 | ≤6.0 | 26.0 | 40.0 | 10.0 | ≤6.0 | 9.0 | 14.6 | 10.0 | 23.6 | 21.6 | 7.0 | ≤6.0 | ≤6.0 |
| 3 | ≤6.0 | ≤6.0 | ≤6.0 | ≤6.0 | 6.5 | 11.6 | 22.0 | 7.0 | 16.0 | ≤6.0 | 20.0 | 20.0 | ≤6.0 | ≤6.0 | 10.0 | 11.0 |
| 4 | 30.0 | ≤6.0 | ≤6.0 | 20.0 | 22.3 | 31.3 | 16.0 | 12.3 | 15.0 | 14.0 | 10.0 | 24.6 | ≤6.0 | ≤6.0 | 7.1 | 9.0 |
| 5 | 14.0 | ≤6.0 | ≤6.0 | ≤6.0 | ≤6.0 | 14.0 | 19.0 | ≤6.0 | 7.0 | 16.3 | ≤6.0 | 23.6 | 11.3 | ≤6.0 | 7.0 | 10.0 |
| 6 | 31.0 | ≤6.0 | ≤6.0 | ≤6.0 | 16.0 | 29.0 | 14.0 | ≤6.0 | 9.0 | 14.6 | ≤6.0 | 24.0 | 20.0 | ≤6.0 | ≤6.0 | ≤6.0 |
| 7 | ≤6.0 | ≤6.0 | 30.0 | ≤6.0 | 14.0 | 33.6 | 15.0 | ≤6.0 | 13.0 | 19.0 | 24.0 | 17.0 | ≤6.0 | ≤6.0 | ≤6.0 | ≤6.0 |
| 8 | 32.0 | ≤6.0 | ≤6.0 | 30.0 | ≤6.0 | 29.0 | 12.3 | ≤6.0 | 24.0 | 17.3 | ≤6.0 | 25.0 | 21.0 | ≤6.0 | ≤6.0 | ≤6.0 |
| 9 | 24.3 | ≤6.0 | ≤6.0 | 7.3 | ≤6.0 | 31.0 | 15.0 | ≤6.0 | 15.3 | 20.0 | ≤6.0 | 30.0 | 16.0 | ≤6.0 | 10.0 | 7.0 |
| 10 | 26.6 | ≤6.0 | ≤6.0 | 21.3 | 7.0 | 9.6 | 10.0 | ≤6.0 | 22.0 | 15.0 | ≤6.0 | 21.0 | 13.0 | ≤6.0 | ≤6.0 | ≤6.0 |
| 11 | 15.6 | ≤6.0 | ≤6.0 | 9.0 | ≤6.0 | 29.3 | 15.0 | ≤6.0 | 10.0 | 19.0 | ≤6.0 | 17.3 | 8.3 | ≤6.0 | ≤6.0 | 8.0 |
| 12 | 25.6 | ≤6.0 | ≤6.0 | 8.6 | ≤6.0 | 31.3 | 17.0 | ≤6.0 | 14.3 | 21.3 | ≤6.0 | 34.6 | 8.3 | ≤6.0 | 6.6 | 11.6 |
| 13 | 31.0 | ≤6.0 | ≤6.0 | 30.0 | 16.6 | 35.3 | 11.3 | ≤6.0 | 24.0 | 17.6 | ≤6.0 | 23.0 | 20.0 | ≤6.0 | ≤6.0 | ≤6.0 |
| 14 | 20.0 | ≤6.0 | ≤6.0 | 11.6 | 19.6 | 25.0 | 10.6 | ≤6.0 | 10.0 | 12.0 | ≤6.0 | ≤6.0 | 17.3 | 13.6 | ≤6.0 | ≤6.0 |
Disclaimer/Publisher’s Note: The statements, opinions and data contained in all publications are solely those of the individual author(s) and contributor(s) and not of MDPI and/or the editor(s). MDPI and/or the editor(s) disclaim responsibility for any injury to people or property resulting from any ideas, methods, instructions or products referred to in the content. |
© 2023 by the authors. Licensee MDPI, Basel, Switzerland. This article is an open access article distributed under the terms and conditions of the Creative Commons Attribution (CC BY) license (https://creativecommons.org/licenses/by/4.0/).
Share and Cite
Dumitru, M.; Lefter, N.A.; Habeanu, M.; Ciurescu, G.; Vodnar, D.C.; Elemer, S.; Sorescu, I.; Georgescu, S.E.; Dudu, A. Evaluation of Lactic Acid Bacteria Isolated from Piglets Tract and Encapsulation of Selected Probiotic Cells. Agriculture 2023, 13, 1098. https://doi.org/10.3390/agriculture13051098
Dumitru M, Lefter NA, Habeanu M, Ciurescu G, Vodnar DC, Elemer S, Sorescu I, Georgescu SE, Dudu A. Evaluation of Lactic Acid Bacteria Isolated from Piglets Tract and Encapsulation of Selected Probiotic Cells. Agriculture. 2023; 13(5):1098. https://doi.org/10.3390/agriculture13051098
Chicago/Turabian StyleDumitru, Mihaela, Nicoleta Aurelia Lefter, Mihaela Habeanu, Georgeta Ciurescu, Dan C. Vodnar, Simon Elemer, Ionut Sorescu, Sergiu Emil Georgescu, and Andreea Dudu. 2023. "Evaluation of Lactic Acid Bacteria Isolated from Piglets Tract and Encapsulation of Selected Probiotic Cells" Agriculture 13, no. 5: 1098. https://doi.org/10.3390/agriculture13051098
APA StyleDumitru, M., Lefter, N. A., Habeanu, M., Ciurescu, G., Vodnar, D. C., Elemer, S., Sorescu, I., Georgescu, S. E., & Dudu, A. (2023). Evaluation of Lactic Acid Bacteria Isolated from Piglets Tract and Encapsulation of Selected Probiotic Cells. Agriculture, 13(5), 1098. https://doi.org/10.3390/agriculture13051098

