Mitigating Methane Emission from the Rice Ecosystem through Organic Amendments
Abstract
1. Introduction
2. Materials and Methods
2.1. Site Details
2.2. Treatment Details and Design
2.3. Cultivation Details
2.4. Soil and Water Temperature
2.5. Redox Potential and Dissolved Oxygen Concentration
2.6. Gas Sampling
2.7. CH4 Estimation
2.8. Yield Attributes and Yield
2.9. Statistical Analysis
3. Results
3.1. Soil and Water Temperature
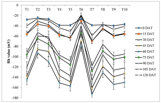
3.2. Redox Potential
3.3. Dissolved Oxygen Concentration
3.4. CH4 Emission
3.5. Rice Productivity
3.6. Correlation between the Studied Parameters
4. Discussion
4.1. Organic Manure vs. Soil and Water Temperature
4.2. Organic Manure vs. Soil Redox Potential
4.3. Organic Manure vs. Dissolved Oxygen Concentration
4.4. Organic Manure vs. CH4 Emission
4.5. Organic Manure vs. Yield
4.6. Methane Emission vs. Rice Growth Stages
4.7. Relationship between Methane Emission and Other Soil Properties
5. Conclusions
Author Contributions
Funding
Institutional Review Board Statement
Informed Consent Statement
Data Availability Statement
Acknowledgments
Conflicts of Interest
References
- Lu, Y.; Yi, S.; Zeng, N.; Liu, Y.; Zhang, Y. Identification of rice diseases using deep convolutional neural networks. Neurocomputing 2017, 267, 378–384. [Google Scholar] [CrossRef]
- Mbanjo, E.G.N.; Kretzschmar, T.; Jones, H.; Ereful, N.; Blanchard, C.; Boyd, L.A.; Sreenivasulu, N. The genetic basis and nutritional benefits of pigmented rice grain. Front. Genet. 2020, 11, 229. [Google Scholar] [CrossRef]
- SRD. Area of Cultivation of Rice in India (2013–2018); Ministry of Statistics and Planning, Government of India: Puram, India, 2020.
- IPCC. Special Report on Climate Change Desertification, Land Degradation, Sustainable Land Management, Food Security, and Greenhouse Gas Fluxes in Terrestrial Ecosystems: Summary for Policymakers; IPCC: Geneva, Switzerland, 2019. [Google Scholar]
- FAO. FAOSTATS—Agricultural Emissions; FAO: Rome, Italy, 2017. [Google Scholar]
- Chakraborty, D.; Ladha, J.K.; Rana, D.S. A global analysis of alternative tillage and crop establishment practices for economically and environmentally efficient rice production. Sci. Rep. 2017, 7, 9342. [Google Scholar] [CrossRef] [PubMed]
- IPCC. Climate Change: The Physical Science Basis; Intergovernmental Panel for Climate Change (IPCC): Geneve, Switzerland, 2013. [Google Scholar]
- Ciais, P.; Sabine, C.; Bala, G.; Bopp, L.; Brovkin, V.; Canadell, J.; Thornton, P. Carbon and other biogeochemical cycles. In Climate Change 2013: The Physical Science Basis. Contribution of Working Group I to the Fifth Assessment Report of the Intergovernmental Panel on Climate Change; Cambridge University Press: Cambridge, UK, 2014; pp. 465–570. [Google Scholar]
- Fuller, D.Q.; Van Etten, J.; Manning, K. The contribution of rice agriculture and livestock pastoralism to prehistoric methane levels: An archaeological assessment. Holocene 2011, 21, 743–759. [Google Scholar] [CrossRef]
- Zhang, H.; Zhang, P.; Ye, J.; Wu, Y.; Fang, W.; Gou, X.; Zeng, G. Improvement of methane production from rice straw with rumen fluid pretreatment: A feasibility study. Int. Biodeterior. Biodegrad. 2016, 113, 9–16. [Google Scholar] [CrossRef]
- Epa, V.C.; Burden, F.R.; Tassa, C.; Weissleder, R.; Shaw, S.; Winkler, D.A. Modeling biological activities of nanoparticles. Nano Lett. 2012, 12, 5808–5812. [Google Scholar] [CrossRef]
- Keppler, F.; Ernst, L.; Steinfeld, B.; Thomas, K.; Grimm, D.; Bischofs, I. Non-enzymatic methane formation by aerobic organisms. Res. Sq. 2021, 1–17. [Google Scholar] [CrossRef]
- Ernst, L.; Steinfeld, B.; Barayeu, U.; Klintzsch, T.; Kurth, M.; Grimm, D.; Keppler, F. Methane formation driven by reactive oxygen species across all living organisms. Nature 2022, 603, 482–487. [Google Scholar] [CrossRef] [PubMed]
- Neue, H.U.; Sass, R.L. Trace gas emissions from rice fields. Glob. Atmos. Biosph. Chem. 1994, 48, 119–147. [Google Scholar]
- Ali, M.A.; Hoque, M.A.; Kim, P.J. Mitigating global warming potentials of methane and nitrous oxide gases from rice paddies under different irrigation regimes. Ambio 2013, 42, 357–368. [Google Scholar] [CrossRef]
- Gorh, D.; Baruah, K.K. Estimation of methane and nitrous oxide emission from wetland rice paddies with reference to global warming potential. Environ. Sci. Pollut. Res. 2019, 26, 16331–16344. [Google Scholar] [CrossRef]
- Costa, C.; Wironen, M.; Racette, K.; Wollenberg, E.K. Global Warming Potential* (GWP*): Understanding the implications for mitigating methane emissions in agriculture. In CCAFS Info Note; Agriculture and Food Security (CCAFS): Cape Canaveral, FL, USA, 2021. [Google Scholar]
- Yang, S.; Peng, S.; Xu, J.; Luo, Y.; Li, D. Methane and nitrous oxide emissions from paddy field as affected by water-saving irrigation. Phys. Chem. Earth 2012, 53, 30–37. [Google Scholar] [CrossRef]
- Malyan, S.K.; Bhatia, A.; Kumar, A.; Gupta, D.K.; Singh, R.; Kumar, S.S.; Tomer, R.; Kumar, O.; Jain, N. Methane production, oxidation and mitigation: A mechanistic understanding and comprehensive evaluation of influencing factors. Sci. Total Environ. 2016, 572, 874–896. [Google Scholar] [CrossRef]
- Kumar, A.; Nayak, A.K.; Mohanty, S.; Das, B.S. Greenhouse gas emission from direct seeded paddy fields under different soil water potentials in Eastern India. Agric. Ecosyst. Environ. 2016, 228, 111–123. [Google Scholar] [CrossRef]
- Dijkstra, F.A.; Prior, S.A.; Runion, G.B.; Torbert, H.A.; Tian, H.; Lu, C.; Venterea, R.T. Effects of elevated carbon dioxide and increased temperature on methane and nitrous oxide fluxes: Evidence from field experiments. Front. Ecol. Evol. 2012, 10, 520–527. [Google Scholar] [CrossRef]
- Yvon-Durocher, G.; Allen, A.P.; Bastviken, D.; Conrad, R.; Gudasz, C.; St-Pierre, A.; Del Giorgio, P.A. Methane fluxes show consistent temperature dependence across microbial to ecosystem scales. Nature 2014, 507, 488–491. [Google Scholar] [CrossRef]
- Ghatak, M.D.; Mahanata, P. Effect of temperature on biogas production from rice straw and rice husk. IOP Conf. Ser. Mater. Sci. Eng. 2018, 377, 012146. [Google Scholar] [CrossRef]
- Qian, H.; Zhang, N.; Chen, J.; Chen, C.; Hungate, B.A.; Ruan, J.; Jiang, Y. Unexpected parabolic temperature dependency of CH4 emissions from rice paddies. Environ. Sci. Technol. 2022, 56, 4871–4881. [Google Scholar] [CrossRef] [PubMed]
- Khosa, M.K.; Sidhu, B.S.; Benbi, D.K. Methane emission from rice fields in relation to management of irrigation water. J. Environ. Biol. 2011, 32, 169–172. [Google Scholar] [PubMed]
- Singh, S.K.; Bharadwaj, V.; Thakur, T.C.; Pachauri, P.C.; Singh, P.P.; Mishra, A.K. Influence of crop establishment methods on methane emission from rice fields. Curr. Sci. 2009, 97, 84–89. [Google Scholar]
- Lakshmanan, A.; Geethalakshmi, V.; Nagothu, U.S. Azolla and cyanobacterial systems in supplementing nitrogen to rice besides minimizing methane flux. Climarice Tech. Brief 2010, 2. [Google Scholar]
- Sass, R.L.; Cicerone, R.J. Photosynthate allocations in rice plants: Food production or atmospheric methane? Proc. Natl. Acad. Sci. USA 2002, 99, 11993–11995. [Google Scholar] [CrossRef]
- Satpathy, S.N. Factors Affecting Methane Emission in Tropical Rice Soil. Ph.D. Thesis, Utkal University, Bhubaneswar, India, 1997. [Google Scholar]
- Ali, M.A.; Lee, C.H.; Kim, P.J. Effects of silicate fertilizer on reducing methane emission during rice cultivation. Biol. Fertil. Soils 2008, 44, 597–604. [Google Scholar] [CrossRef]
- Lantin, R.S.; Aduna, J.B.; Javellana, A.M.J. Methane measurements in rice fields. In Instruction Manual and Methodologies, Maintenance and Troubleshooting Guide; A Joint Undertaking by International Rice Research Institute (IRRI), United State Environmental Protection Agency (US-EPA) and United Nation Development Program (UNDP): New York, NY, USA, 1995; pp. 12–15. [Google Scholar]
- Yoshida, S.; Parao, F.T. Climatic influence on yield and yield components of lowland rice in the tropics. International Rice Research Institute. Clim. Rice 1976, 20, 471–494. [Google Scholar]
- Gardner, F.P.; Pearce, R.B.; Mitchell, R.L. Physiology of Crop Plants; Iowa State University: Ames, LA, USA, 1985; p. 327. [Google Scholar]
- Pabby, A.; Prasanna, R.; Singh, P.K. Biological significance of Azolla and its utilization in agriculture. Proc. Indian Natl. Sci. Acad. Part B Biol. Sci. 2004, 70, 299–333. [Google Scholar]
- Hosono, T.; Nouchi, I. The dependence of methane transport in rice plants on the root zone temperature. Plant Soil 1997, 191, 233–240. [Google Scholar] [CrossRef]
- Neue, H.U. Methane emission from rice fields. Bioscience 1993, 43, 466–475. [Google Scholar] [CrossRef]
- Bharati, K.; Mohanty, S.R. Influence of incorporation or dual cropping of Azolla on methane emission from a flooded alluvial soil planted to rice in eastern India. Agric. Ecosyst. Environ. 2000, 79, 73–83. [Google Scholar] [CrossRef]
- Sethunathan, N.; Kumaraswami, S.; Rath, A.K.; Ramakrishnan, B.; Satpathy, S.N.; Adhya, T.K.; Rao, V.R. Methane production, oxidation and emission from rice soils. Nutr. Cycl. Agroecosyst. 2000, 58, 377–388. [Google Scholar] [CrossRef]
- Purkait, M.K.; Das Gupta, S.; De, S. Synthesis and characterization of porous polyurethaneurea membranes for pervaporative separation of 4-nitrophenol from aqueous solution. J. Coll. Interf. Sci. 2005, 285, 395. [Google Scholar] [CrossRef]
- Win, E.P.; Win, K.K.; Bellingrath-Kimura, S.D.; Oo, A.Z. Correction: Influence of rice varieties, organic manure and water management on greenhouse gas emissions from paddy rice soils. PLoS ONE 2022, 17, e0263554. [Google Scholar] [CrossRef] [PubMed]
- Davamani, V.; Parameswari, E.; Arulmani, S. Mitigation of methane gas emissions in flooded paddy soil through the utilization of methanotrophs. Sci. Total Environ. 2020, 726, 138570. [Google Scholar] [CrossRef] [PubMed]
- Nouchi, I. Mechanisms of methane transport through rice plants. In CH4 and N2O: Global Emissions and Control from Rice Fields and Other Agricultural and Industrial Sources; Minami, K., Moiser, A., Sass, R., Eds.; National Institute of Agro-Environmental Sciences: Tsukuba, Japan, 1994; pp. 87–104. [Google Scholar]
- Ali, M.A.; Kim, P.J.; Inubushi, K. Mitigating yield-scaled greenhouse gas emissions through combined application of soil amendments: A comparative study between temperate and subtropical rice paddy soils. Sci. Total Environ. 2015, 529, 140–148. [Google Scholar] [CrossRef] [PubMed]
- Denier van der Gon, H.A.C.; Neue, H.U. Influence of organic matter incorporation on the methane emission from a wetland rice field. Glob. Biogeochem. 1995, 9, 11–22. [Google Scholar] [CrossRef]
- Plaza, C.; Senesi, N. The effect of organic matter amendment on native soil humic substances. In Senesi PM, Huang XB Author, Biophysico-Chemical Processes Involving Natural Nonliving Organic Matter in Environmental System; Wiley & Sons: Hoboken, NJ, USA, 2009; pp. 147–181. [Google Scholar]
- Pandey, A.; Mai, V.T.; Vu, D.Q.; Bui, T.P.L.; Mai, T.L.A.; Jensen, L.S.; de Neergaard, A. Organic matter and water management strategies to reduce methane and nitrous oxide emissions from rice paddies in Vietnam. Agric. Ecosyst. Environ. 2014, 196, 137–146. [Google Scholar] [CrossRef]
- Khosa, M.K.; Sidhu, B.S.; Benbi, D.K. Effect of organic materials and rice cultivars on methane emission from rice field. J. Environ. Biol. 2010, 31, 281–285. [Google Scholar] [PubMed]
- Sha, C.; Mitsch, W.J.; Mander, U.; Lu, J.; Batson, J.; Zhang, L.; He, W. Methane emissions from freshwater riverine wetlands. Ecol. Eng. 2011, 37, 16–24. [Google Scholar] [CrossRef]
- Datta, A.; Yeluripati, J.B.; Nayak, D.R.; Mahata, K.R.; Santra, S.C.; Adhya, T.K. Seasonal variation of methane flux from coastal saline rice field with the application of different organic manures. Atmos. Environ. 2013, 66, 114–122. [Google Scholar] [CrossRef]
- Bhattacharyya, P.; Roy, K.S.; Neogi, S.; Chakravorti, S.P.; Behera, K.S.; Das, K.M.; Rao, K.S. Effect of long-term application of organic amendment on C storage in relation to global warming potential and biological activities in tropical flooded soil planted to rice. Nutr. Cycl. Agroecosyst. 2012, 94, 2–3. [Google Scholar] [CrossRef]
- Ramesh, S.; Vayapuri, V. Yield potential and economic efficiency of rice (Oryza sativa) as influenced by organic nutrition under Cauvery Delta region of Tamilnadu. Plant Arch. 2008, 8, 621–622. [Google Scholar]
- Sass, R.L.; Fisher, F.M.; Harcombe, P.A.; Turner, F.T. Mitigation of methane emissions from rice fieldsPossible adverse effects of incorporated rice straw. Glob. Biogeochem. Cycles 1991, 5, 275–287. [Google Scholar] [CrossRef]
- Kludze, H.K.; DeLaune, R.D.; Patrick, W.H. Aerenchyma formation and methane and oxygen exchange in rice. Soil Sci. Soc. Am. J. 1993, 57, 386–391. [Google Scholar] [CrossRef]
- Tyler, S.C.; Bilek, R.S.; Sass, R.L.; Fisher, F.M. Methane oxidation and pathways of production in a Texas paddy field deduced from measurements of flux, delta-C-13, and delta-D of CH4. Glob. Biogeochem. Cycles 1997, 11, 323–348. [Google Scholar] [CrossRef]
- Chidthaisong, A.; Obata, H.; Watanabe, I. Methane formation and substrate utilization in anaerobic rice soils as affected by fertilization. Soil Biol. Biochem. 1999, 31, 135–143. [Google Scholar] [CrossRef]
- Inubushi, K.; Cheng, W.; Aonuma, S.; Hoque, M.M.; Kobayashi, K.; Miura, S.; Kim, H.Y.; Okada, M. Effects of free-air CO2 enrichment (FACE) on CH4 emission from a rice paddy field. Glob. Chang. Biol. 2003, 9, 1458–1464. [Google Scholar] [CrossRef]
- Mariko, S.; Harazano, Y.; Owa, N.; Nouchi, I. Methane in flooded soil water and the emission through rice plants to atmosphere. Environ. Exp. Bot. 1991, 31, 343–350. [Google Scholar] [CrossRef]
- Ding, W.X.; Cai, Z.C.; Tsuruta, H. Cultivation, nitrogen fertilization, and setaside effects on methane uptake in a drained marsh soil in Northeast China. Glob. Chang. Biol. 2004, 10, 1801–1809. [Google Scholar] [CrossRef]
- Malyan, S.K.; Bhatia, A.; Tomer, R.; Harit, R.C.; Jain, N.; Bhowmik, A.; Kaushik, R. Mitigation of yield-scaled greenhouse gas emissions from irrigated rice through Azolla, Blue-green algae, and plant growth–promoting bacteria. Environ. Sci. Pollut. Res. 2021, 28, 51425–51439. [Google Scholar] [CrossRef]
- Chadwick, D.R.; John, F.; Pain, B.F.; Chambers, B.J.; Williams, J. Plant uptake ofnitrogen from the organic nitrogen fraction of animal manures: A laboratory experiment. J. Agric. Sci. 2000, 134, 159–168. [Google Scholar] [CrossRef]










| Parameters | Value |
|---|---|
| Field capacity (%) | 42.85 |
| Permanent wilting point (%) | 31.95 |
| Available soil moisture (%) | 9.94 |
| Bulk density (mg m−3) | 1.30 |
| Clay (%) | 29.0 |
| Silt (%) | 13.1 |
| Sand (%) | 57.5 |
| Textural class | Sandy clay loam |
| pH (1:2 of soil:water) | 8.9 |
| Electrical conductivity (dS m−1) | 0.30 |
| Organic carbon (%) | 0.42 |
| Available nitrogen (kg ha−1) | 188.5 |
| Available phosphorus (kg ha−1) | 25.5 |
| Available potassium (kg ha−1) | 242.0 |
| Treatments | Grain Yield (kg ha−1) | Straw Yield (kg ha−1) | Harvest Indexns | MST (°C) ns | MWT (°C) ns | MDO (mg L−1) | MRP (mV) | Mean CH4 Emission (mg m−2 day−1) |
|---|---|---|---|---|---|---|---|---|
| T1 | 3040 ± 69.1 d | 4668 ± 11.7 f | 39.4 ± 0.75 | 28.5 ± 0.16 | 30.8 ± 0.18 | 1.54 ± 0.03 d | −86 ± 0.88 e | 48.81 ± 0.17 c |
| T2 | 3646 ± 43.6 b | 5307 ± 13.8 c | 40.7 ± 0.89 | 28.2 ± 0.25 | 30.2 ± 0.31 | 2.05 ± 0.03 b | −53 ± 1.02 b | 35.92 ± 0.34 e |
| T3 | 3287 ± 49.6 c | 5172 ± 94.2 cde | 38.9 ± 0.75 | 28.0 ± 0.60 | 30.1 ± 0.74 | 2.03 ± 0.01 b | −60 ± 0.97 c | 34.35 ± 0.88 e |
| T4 | 3255 ± 52.5 c | 5099 ± 47.8 de | 39.0 ± 0.59 | 28.4 ± 0.61 | 30.7 ± 0.77 | 1.39 ± 0.01 e | −90 ± 1.64 ef | 50.08 ± 0.39 c |
| T5 | 3188 ± 71.2 c | 5013 ± 91.3 e | 38.9 ± 0.32 | 28.4 ± 0.28 | 30.8 ± 0.02 | 1.31 ± 0.02 f | −98 ± 1.84 g | 53.49 ± 1.14 b |
| T6 | 3685 ± 88.2 b | 5551 ± 90.2 b | 39.9 ± 0.83 | 28.1 ± 0.37 | 30.3 ± 0.60 | 2.20 ± 0.01 a | −43 ± 0.29 a | 30.03 ± 0.36 f |
| T7 | 3581 ± 28.0 b | 5250 ± 41.0 cd | 40.5 ± 0.86 | 28.5 ± 0.03 | 30.8 ± 0.59 | 1.31 ± 0.02 ef | −107 ± 1.84 h | 58.54 ± 0.67 a |
| T8 | 3847 ± 2.0 a | 5778 ± 99.2 a | 40 ± 0.71 | 28.3 ± 0.53 | 30.5 ± 0.65 | 1.75 ± 0.01 c | −75 ± 1.21 d | 46.37 ± 0.46 d |
| T9 | 3250 ± 16.9 c | 5090 ± 7.9 de | 38.0 ± 0.32 | 28.3 ±0.25 | 30.5 ± 0.63 | 1.36 ± 0.01 ef | −92.1 ± 0.86 f | 50.10 ± 0.86 c |
| T10 | 3250 ± 45.7 c | 5095 ± 29.2 de | 38.5 ± 0.90 | 28.5 ± 0.27 | 30.6 ± 0.18 | 1.36 ± 0.03 ef | −87.7 ± 1.73 e | 50.00 ± 0.42 c |
| Treatments | Productive Tillers/m2 | Length of Panicle (cm) | Panicle Weight (g) | Filled Grains/Hill | Ill-Filled Grains/Hill | Test Weight (g) ns |
|---|---|---|---|---|---|---|
| T1 | 379 ± 2.032 bc | 23.0 ± 0.530 d | 5.47 ± 0.116 e | 163 ± 3.792 e | 16 ± 0.194 a | 24.25 ± 0.101 |
| T2 | 382 ± 9.741 b | 24.2 ± 0.013 bc | 5.85 ± 0.052 bcd | 179 ± 2.888 b | 13 ± 0.189 d | 24.33 ± 0.393 |
| T3 | 361 ± 7.891 cde | 23.9 ± 0.224 bcd | 5.72 ± 0.137 cde | 168 ± 0.787 de | 15 ± 0.031 b | 24.25 ± 0.290 |
| T4 | 353 ± 3.858 de | 23.7 ± 0.123 cd | 5.51 ± 0.100 e | 165 ± 0.515 e | 13 ± 0.264 d | 24.15 ± 0.214 |
| T5 | 348 ± 4.347 e | 23.5 ± 0.489 cd | 5.58 ± 0.139 e | 171 ± 4.183 cd | 14 ± 0.350 c | 24.25 ± 0.480 |
| T6 | 390 ± 4.262 b | 25.0 ± 0.052 ab | 6.15 ± 0.016 ab | 188 ± 3.816 a | 12 ± 0.244 e | 24.63 ± 0.526 |
| T7 | 372 ± 1.936 bcd | 24.0 ± 0.487 bcd | 6.00 ± 0.041 abc | 175 ± 3.370 bc | 14 ± 0.167 c | 24.18 ± 0.340 |
| T8 | 420 ± 6.776 a | 25.5 ± 0.411 a | 6.23 ± 0.042 a | 191 ± 4.871 a | 12 ± 0.075 e | 24.85 ± 0.556 |
| T9 | 349 ± 2.543 e | 23.4 ± 0.146 cd | 5.69 ± 0.098 de | 168 ± 1.399 de | 14 ± 0.219 c | 24.28 ± 0.114 |
| T10 | 350 ± 3.643 e | 23.1 ± 0.361 cd | 5.63 ± 0.094 de | 165 ± 3.005 e | 13 ± 0.298 d | 24.45 ± 0.547 |
| CH4 flux | HI | MST | MWT | MDO | MRP | |
|---|---|---|---|---|---|---|
| CH4 flux | 1 | 0.396 | 0.880 ** | 0.888 ** | −0.963 ** | −0.987 ** |
| HI | 1 | 0.126 | 0.292 | −0.491 | −0.494 | |
| MST | 1 | 0.918 ** | −0.852 ** | −0.828 ** | ||
| MWT | 1 | −0.857 ** | −0.863 ** | |||
| MDO | 1 | 0.975 ** | ||||
| MRP | 1 |
Disclaimer/Publisher’s Note: The statements, opinions and data contained in all publications are solely those of the individual author(s) and contributor(s) and not of MDPI and/or the editor(s). MDPI and/or the editor(s) disclaim responsibility for any injury to people or property resulting from any ideas, methods, instructions or products referred to in the content. |
© 2023 by the authors. Licensee MDPI, Basel, Switzerland. This article is an open access article distributed under the terms and conditions of the Creative Commons Attribution (CC BY) license (https://creativecommons.org/licenses/by/4.0/).
Share and Cite
Senthilraja, K.; Venkatesan, S.; Udhaya Nandhini, D.; Dhasarathan, M.; Prabha, B.; Boomiraj, K.; Mohan Kumar, S.; Bhuvaneswari, K.; Raveendran, M.; Geethalakshmi, V. Mitigating Methane Emission from the Rice Ecosystem through Organic Amendments. Agriculture 2023, 13, 1037. https://doi.org/10.3390/agriculture13051037
Senthilraja K, Venkatesan S, Udhaya Nandhini D, Dhasarathan M, Prabha B, Boomiraj K, Mohan Kumar S, Bhuvaneswari K, Raveendran M, Geethalakshmi V. Mitigating Methane Emission from the Rice Ecosystem through Organic Amendments. Agriculture. 2023; 13(5):1037. https://doi.org/10.3390/agriculture13051037
Chicago/Turabian StyleSenthilraja, Kandasamy, Subramanian Venkatesan, Dhandayuthapani Udhaya Nandhini, Manickam Dhasarathan, Balasubramaniam Prabha, Kovilpillai Boomiraj, Shanmugam Mohan Kumar, Kulanthaivel Bhuvaneswari, Muthurajan Raveendran, and Vellingiri Geethalakshmi. 2023. "Mitigating Methane Emission from the Rice Ecosystem through Organic Amendments" Agriculture 13, no. 5: 1037. https://doi.org/10.3390/agriculture13051037
APA StyleSenthilraja, K., Venkatesan, S., Udhaya Nandhini, D., Dhasarathan, M., Prabha, B., Boomiraj, K., Mohan Kumar, S., Bhuvaneswari, K., Raveendran, M., & Geethalakshmi, V. (2023). Mitigating Methane Emission from the Rice Ecosystem through Organic Amendments. Agriculture, 13(5), 1037. https://doi.org/10.3390/agriculture13051037

