Root, Yield, and Quality of Alfalfa Affected by Soil Salinity in Northwest China
Abstract
1. Introduction
2. Materials and Methods
2.1. Study Site Description and Experimental Design
2.2. Data Collection
2.2.1. Soil Ec and Soil Salt Content
2.2.2. Root Parameters
2.2.3. Plant Height, Stems-to-Leaves Ratio, and Biomass Yield
2.2.4. Quality Characteristics of Alfalfa
2.3. Statistical Analysis
3. Results
3.1. The Temporal Changes of Soil Salt Content over the Growth Period
3.2. Root Parameters
3.3. Plant Height, Stems-to-Leaves Ratio, and Biomass Yield
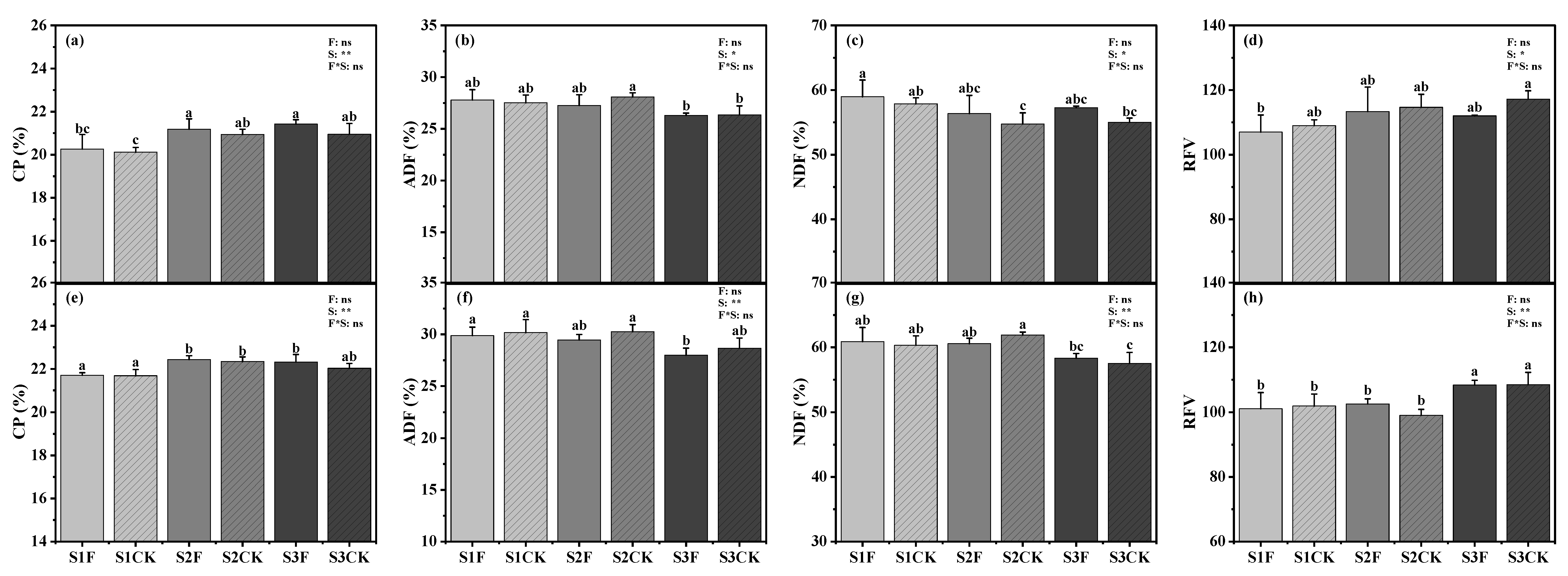
3.4. Alfalfa Quality Parameters
3.5. Relationships between Soil Salt Content, Root, and Aboveground Growth Parameters
3.6. The Relationship between Plant Height Quality Parameters
4. Discussion
5. Conclusions
Author Contributions
Funding
Institutional Review Board Statement
Data Availability Statement
Conflicts of Interest
References
- Rengasamy, P. World salinization with emphasis on Australia. J. Exp. Bot. 2006, 57, 1017–1023. [Google Scholar] [CrossRef] [PubMed]
- Peng, Y.L.; Gao, Z.W.; Gao, Y.; Liu, G.F.; Sheng, L.X.; Wang, D.L. Eco-physiological characteristics of alfalfa seedlings in response to various mixed salt-alkaline stresses. J. Integr. Plant Biol. 2008, 50, 29–39. [Google Scholar] [CrossRef] [PubMed]
- Egamberdieva, D.; Garfurova, I.; Islam, R. Salinity effects on irrigated soil chemical and biological properties in the Aral Sea basin of Uzbekistan. In Climate Change and Errestrial Carbon Sequestration in Central Asia; CRC Press: Boca Raton, FL, USA, 2007; pp. 147–162. [Google Scholar]
- Manchanda, G.; Garg, N. Salinity and its effects on the functional biology of legumes. Acta Physiol. Plant. 2008, 30, 595–618. [Google Scholar] [CrossRef]
- Qadir, M.; Quillerou, E.; Nangia, V.; Murtaza, G.; Singh, M.; Thomas, R.J.; Drechsel, P.; Noble, A.D. Economics of salt-induced land degradation and restoration. Nat. Resour. Forum 2014, 38, 282–295. [Google Scholar] [CrossRef]
- Endo, T.; Kubo-Nakano, Y.; Lopez, R.A.; Serrano, R.R.; Larrinaga, J.A.; Yamamoto, S.; Honna, T. Growth characteristics of kochia (Kochia scoparia L.) and alfalfa (Medicago sativa L.) in saline environments. Grassland Sci. 2014, 60, 225–232. [Google Scholar] [CrossRef]
- Lambin, E.F.; Meyfroidt, P. Global land use change, economic globalization, and the looming land scarcity. Proc. Natl. Acad. Sci. USA 2011, 108, 3465–3472. [Google Scholar] [CrossRef]
- Scasta, J.D.; Trostle, C.; Foster, M. Evaluating Alfalfa (Medicago sativa L.) Cultivars for Salt Tolerance Using Laboratory, Greenhouse and Field Methods. J. Agric. Sci. 2012, 4, 90. [Google Scholar] [CrossRef]
- Ferreira, J.F.S.; Cornacchione, M.V.; Liu, X.; Suarez, D.L. Nutrient Composition, Forage Parameters, and Antioxidant Capacity of Alfalfa (Medicago sativa L.) in Response to Saline Irrigation Water. Agriculture 2015, 5, 577–597. [Google Scholar] [CrossRef]
- Bao, A.K.; Du, B.Q.; Touil, L.; Kang, P.; Wang, Q.L.; Wang, S.M. Co-expression of tonoplast Cation/H+ antiporter and H+-pyrophosphatase from xerophyte Zygophyllum xanthoxylum improves alfalfa plant growth under salinity, drought and field conditions. Plant Biotechnol. J. 2016, 14, 964–975. [Google Scholar] [CrossRef]
- Cornacchione, M.V.; Suarez, D.L. Evaluation of Alfalfa (Medicago sativa L.) Populations’ Response to Salinity Stress. Crop Sci. 2017, 57, 137–150. [Google Scholar] [CrossRef]
- Monirifar, H. Tolerance of Five Azarbaijan Alfalfa Ecotypes to Salinity. In Proceedings of the International Meeting on Soil Fertility Land Management and Agroclimatology, Kusdasi, Turkey, 29–31 October 2008; pp. 709–713. [Google Scholar]
- Torabi, M.; Halim, M.R.A. Variation of root and shoot growth and free proline accumulation in Iranian alfalfa ecotypes under salt stress. J. Food Agric. Environ. 2010, 8, 323–327. [Google Scholar]
- Qiu, Y.; Fan, Y.Q.; Chen, Y.; Hao, X.M.; Li, S.E.; Kang, S.Z. Response of dry matter and water use efficiency of alfalfa to water and salinity stress in arid and semiarid regions of Northwest China. Agric. Water Manag. 2021, 254, 106934. [Google Scholar] [CrossRef]
- Suyama, H.; Benes, S.E.; Robinson, P.H.; Grattan, S.R.; Grieve, C.M.; Getachew, G. Forage yield and quality under irrigation with saline-sodic drainage water: Greenhouse evaluation. Agric. Water Manag. 2007, 88, 159–172. [Google Scholar] [CrossRef]
- Arshad, M.; Gruber, M.Y.; Wall, K.; Hannoufa, A. An Insight into microRNA156 Role in Salinity Stress Responses of Alfalfa. Front. Plant Sci. 2017, 8, 356. [Google Scholar] [CrossRef]
- Robinson, P.H.; Grattan, S.R.; Getachew, G.; Grieve, C.M.; Poss, J.A.; Suarez, D.L.; Benes, S.E. Biomass accumulation and potential nutritive value of some forages irrigated with saline-sodic drainage water. Anim. Feed Sci. Technol. 2004, 111, 175–189. [Google Scholar] [CrossRef]
- Acosta-Motos, J.R.; Ortuno, M.F.; Bernal-Vicente, A.; Diaz-Vivancos, P.; Sanchez-Blanco, M.J.; Hernandez, J.A. Plant Responses to Salt Stress: Adaptive Mechanisms. Agronomy 2017, 7, 38. [Google Scholar] [CrossRef]
- Neves, G.Y.S.; Marchiosi, R.; Ferrarese, M.L.L.; Siqueira-Soares, R.C.; Ferrarese, O. Root Growth Inhibition and Lignification Induced by Salt Stress in Soybean. J. Agron. Crop Sci. 2010, 196, 467–473. [Google Scholar] [CrossRef]
- Yang, Y.Q.; Guo, Y. Elucidating the molecular mechanisms mediating plant salt-stress responses. New Phytol. 2018, 217, 523–539. [Google Scholar] [CrossRef]
- Mao, P.L.; Zhang, Y.J.; Cao, B.H.; Guo, L.M.; Shao, H.B.; Cao, Z.Y.; Jiang, Q.K.; Wang, X. Effects of salt stress on eco-physiological characteristics in Robinia pseudoacacia based on salt-soil rhizosphere. Sci. Total Environ. 2016, 568, 118–123. [Google Scholar] [CrossRef]
- Alvarez, S.; Sanchez-Blanco, M.J. Long-term effect of salinity on plant quality, water relations, photosynthetic parameters and ion distribution in Callistemon citrinus. Plant Biol. 2014, 16, 757–764. [Google Scholar] [CrossRef]
- Xiong, X.; Liu, N.; Wei, Y.Q.; Bi, Y.X.; Luo, J.C.; Xu, R.X.; Zhou, J.Q.; Zhang, Y.J. Effects of non-uniform root zone salinity on growth, ion regulation, and antioxidant defense system in two alfalfa cultivars. Plant Physiol. Biochem. 2018, 132, 434–444. [Google Scholar] [CrossRef] [PubMed]
- Wang, X.; Chen, W.; Zhou, Y.; Han, J.; Zhao, J.; Shi, D.; Yang, C. Comparison of adaptive strategies of alfalfa (Medicago sativa L.) to salt and alkali stresses. Aust. J. Crop Sci. 2012, 6, 309–315. [Google Scholar]
- Feng, X.H.; An, P.; Guo, K.; Li, X.G.; Liu, X.J.; Zhang, X.M. Growth, root compensation and ion distribution in Lycium chinense under heterogeneous salinity stress. Sci. Hortic. 2017, 226, 24–32. [Google Scholar] [CrossRef]
- Jiang, J.; Huo, Z.L.; Feng, S.Y.; Zhang, C.B. Effect of irrigation amount and water salinity on water consumption and water productivity of spring wheat in Northwest China. Field Crops Res. 2012, 137, 78–88. [Google Scholar] [CrossRef]
- Hu, Y.Z.; Kang, S.Z.; Ding, R.S.; Du, T.S.; Tong, L.; Li, S.E. The Dynamic Yield Response Factor of Alfalfa Improves the Accuracy of Dual Crop Coefficient Approach under Water and Salt Stress. Water 2020, 12, 1224. [Google Scholar] [CrossRef]
- Putnam, D.; Robinson, P.; DePeters, E. Forage quality and testing. In Irrigated Alfalfa Management in Mediterranean and Desert Zones; University of California, Division of Agriculture and Natural Resources Publication: Davis, CA, USA, 2008; p. 25. [Google Scholar]
- Bazihizina, N.; Barrett-Lennard, E.G.; Colmer, T.D. Plant responses to heterogeneous salinity: Growth of the halophyte Atriplex nummularia is determined by the root-weighted mean salinity of the root zone. J. Exp. Bot. 2012, 63, 6347–6358. [Google Scholar] [CrossRef]
- Fernandez-Garcia, N.; Olmos, E.; Bardisi, E.; Garcia-De la Garma, J.; Lopez-Berenguer, C.; Rubio-Asensio, J.S. Intrinsic water use efficiency controls the adaptation to high salinity in a semi-arid adapted plant, henna (Lawsonia inermis L.). J. Plant Physiol. 2014, 171, 64–75. [Google Scholar] [CrossRef]
- Bertrand, A.; Gatzke, C.; Bipfubusa, M.; Levesque, V.; Chalifour, F.P.; Claessens, A.; Rocher, S.; Tremblay, G.F.; Beauchamp, C.J. Physiological and Biochemical Responses to Salt Stress of Alfalfa Populations Selected for Salinity Tolerance and Grown in Symbiosis with Salt-Tolerant Rhizobium. Agronomy 2020, 10, 569. [Google Scholar] [CrossRef]
- Guo, P.; Jin, H.; Wei, H.X.; Li, L.L.; Bao, Y.J. Fine root growth and water use efficiency in alfalfa (Medicago sativa L. cv. Gongong No. 1) planted along a salinity gradient in coastal area of Dalian, Northeast China. Soil Sci. Plant Nutr. 2016, 62, 164–172. [Google Scholar] [CrossRef]
- Huang, Z.; Liu, Y.; Cui, Z.; Fang, Y.; He, H.H.; Liu, B.R.; Wu, G.L. Soil water storage deficit of alfalfa (Medicago sativa) grasslands along ages in arid area (China). Field Crops Res. 2018, 221, 1–6. [Google Scholar] [CrossRef]
- Peralta-Videa, J.R.; de la Rosa, G.; Gonzalez, J.H.; Gardea-Torresdey, J.L. Effects of the growth stage on the heavy metal tolerance of alfalfa plants. Adv. Environ. Res. 2004, 8, 679–685. [Google Scholar] [CrossRef]
- Cornacchione, M.V.; Suarez, D.L. Emergence, Forage Production, and Ion Relations of Alfalfa in Response to Saline Waters. Crop Sci. 2015, 55, 444–457. [Google Scholar] [CrossRef]
- Su, J.H.; Bai, T.H.; Wang, F.; Bao, A.K. Overexpression of Arabidopsis H+-pyrophosphatase improves the growth of alfalfa under long-term salinity, drought conditions and phosphate deficiency. Czech J. Genet. Plant Breed. 2019, 55, 156–161. [Google Scholar] [CrossRef]
- Wang, Y.D.; Liu, C.; Cui, P.F.; Su, D.R. Effects of partial root-zone drying on alfalfa growth, yield and quality under subsurface drip irrigation. Agric. Water Manag. 2021, 245, 106608. [Google Scholar] [CrossRef]
- Farissi, M.; Mouradi, M.; Farssi, O.; Bouizgaren, A.; Ghoulam, C. Variations in leaf gas exchange, chlorophyll fluorescence and membrane potential of Medicago sativa root cortex cells exposed to increased salinity: The role of the antioxidant potential in salt tolerance. Arch. Biol. Sci. 2018, 70, 413–423. [Google Scholar] [CrossRef]
- Ashrafi, E.; Razmjoo, J.; Zahedi, M.; Pessarakli, M. Selecting Alfalfa Cultivars for Salt Tolerance Based on Some Physiochemical Traits. Agron. J. 2014, 106, 1758–1764. [Google Scholar] [CrossRef]
- Xiong, J.B.; Sun, Y.; Yang, Q.C.; Tian, H.; Zhang, H.S.; Liu, Y.; Chen, M.X. Proteomic analysis of early salt stress responsive proteins in alfalfa roots and shoots. Proteome Sci. 2017, 15, 19. [Google Scholar] [CrossRef]
- Radanielson, A.M.; Angeles, O.; Li, T.; Ismail, A.M.; Gaydon, D.S. Describing the physiological responses of different rice genotypes to salt stress using sigmoid and piecewise linear functions. Field Crop. Res. 2018, 220, 46–56. [Google Scholar] [CrossRef]
- Sheaffer, C.C.; Peterson, P.R.; Hall, M.H.; Stordahl, J.B. Drought Effects on Yield and Quality of Perennial Grasses in the North Central United-States. J. Prod. Agric. 1992, 5, 556–561. [Google Scholar] [CrossRef]
- Hu, Y.Z.; Kang, S.Z.; Ding, R.S.; Zhao, Q. A crude protein and fiber model of alfalfa incorporating growth age under water and salt stress. Agric. Water Manag. 2021, 255, 107037. [Google Scholar] [CrossRef]
- Fan, J.W.; Du, Y.L.; Wang, B.R.; Turner, N.C.; Wang, T.; Abbott, L.K.; Stefanova, K.; Siddique, K.H.M.; Li, F.M. Forage yield, soil water depletion, shoot nitrogen and phosphorus uptake and concentration, of young and old stands of alfalfa in response to nitrogen and phosphorus fertilisation in a semiarid environment. Field Crops Res. 2016, 198, 247–257. [Google Scholar] [CrossRef]
- Ashrafi, E.; Razmjoo, J.; Zahedi, M. Effect of salt stress on Growth and Ion accumulation of alfalfa (Medicago sativa L.) cultivars. J. Plant Nutr. 2018, 41, 818–831. [Google Scholar] [CrossRef]
- Lemaire, G.; Belanger, G. Allometries in Plants as Drivers of Forage Nutritive Value: A Review. Agriculture 2020, 10, 5. [Google Scholar] [CrossRef]
- Hintz, R.W.; Albrecht, K.A. Prediction of Alfalfa Chemical-Composition from Maturity and Plant Morphology. Crop Sci. 1991, 31, 1561–1565. [Google Scholar] [CrossRef]
- Parsons, D.; Cherney, J.H.; Peterson, P.R. Preharvest Neutral Detergent Fiber Concentration of Alfalfa as Influenced by Stubble Height. Agron. J. 2009, 101, 769–774. [Google Scholar] [CrossRef]







| Year | Cut | Harvest Date (D/M) | Regrowth Duration (Days) |
|---|---|---|---|
| 1 | 4/July | 28 | |
| 2018 | 2 | 5/August | 31 |
| 3 | 10/September | 35 | |
| 1 | 28/May | 50 | |
| 2 | 29/June | 31 | |
| 2019 | 3 | 30/July | 30 |
| 4 | 29/August | 30 | |
| 5 | 8/October | 39 |
| Treatment § | 2018 | 2019 | ||||||||
|---|---|---|---|---|---|---|---|---|---|---|
| RL (cm) | RSA (cm2) | AD (mm) | RV (cm3) | RDM (g) | RL (cm) | RSA (cm2) | AD (mm) | RV (cm3) | RDM (g) | |
| S1F | 1803 ± 396 a † | 780 ± 112 a | 1.4 ± 0.2 ab | 27.2 ± 5.0 a | 12.9 ± 2.1 a | 1463 ± 225 a | 789 ± 26 a | 1.7 ± 0.2 a | 34.3 ± 4.62 a | 12.6 ± 1.4 a |
| S1CK | 1675 ± 480 a | 697 ± 45 ab | 1.4 ± 0.3 ab | 23.8 ± 3.9 a | 11.1 ± 2.2 abc | 1385 ± 202 a | 742 ± 101 a | 1.7 ± 0.0 ab | 31.7 ± 4.0 ab | 14.3 ± 2.4 a |
| S2F | 1779 ± 104 a | 683 ± 123 ab | 1.2 ± 0.2 abc | 21.1 ± 6.2 ab | 10 ± 1.1 bcd | 1526 ± 196 a | 701 ± 120 a | 1.5 ± 0.1 b | 25.7 ± 5.5 ab | 12.2 ± 0.8 a |
| S2CK | 1439 ± 233 a | 649 ± 27 ab | 1.5 ± 0.2 a | 23.5 ± 1.7 a | 12.3 ± 1.0 ab | 1291 ± 214 a | 676 ± 79 a | 1.7 ± 0.2 ab | 28.4 ± 4.3 ab | 12.9 ± 2.4 a |
| S3F | 1402 ± 157 a | 438 ± 47 c | 1.0 ± 0.1 c | 10.9 ± 1.6 c | 8.2 ± 0.3 d | 1234 ± 85 a | 667 ± 69 a | 1.7 ± 0.1 a | 28.8 ± 4.1 ab | 11.3 ± 1.6 a |
| S3CK | 1650 ± 206 a | 571 ± 98 bc | 1.1 ± 0.1 bc | 15.8 ± 3.7 bc | 9.2 ± 0.5 cd | 1317 ± 236 a | 629 ± 114 a | 1.5 ± 0.0 ab | 23.9 ± 4.4 b | 12.4 ± 1.5 a |
| ANOVA test | RL | RSA | AD | RV | RDM | RL | RSA | AD | RV | RDM |
| F | ns ‡ | ns | ns | ns | ns | ns | ns | ns | ns | ns |
| S | ns | *** | * | *** | * | ns | ns | ns | * | ns |
| F∗S | ns | ns | ns | ns | ns | ns | ns | ns | ns | ns |
| Variables § | Sc | RL | RSA | AD | RV | RDM | PH | SLR | DM |
|---|---|---|---|---|---|---|---|---|---|
| Sc | 1 | −0.34 | −0.75 ** | −0.59 * | −0.76 ** | −0.62 ** | −0.93 ** | −0.73 ** | −0.92 ** |
| RL | −0.34 | 1 | 0.64 ** | −0.27 | 0.22 | −0.06 | 0.27 | 0.33 | 0.25 |
| RSA | −0.75 **† | 0.64 ** | 1 | 0.55 * | 0.89 ** | 0.66 ** | 0.74 ** | 0.64 ** | 0.73 ** |
| AD | −0.59 * | −0.27 | 0.55 * | 1 | 0.87 ** | 0.89 ** | 0.64 ** | 0.50 * | 0.70 ** |
| RV | −0.76 ** | 0.22 | 0.89 ** | 0.87 ** | 1 | 0.89 ** | 0.78 ** | 0.62 ** | 0.79 ** |
| RDM | −0.62 ** | −0.06 | 0.66 ** | 0.89 ** | 0.89 ** | 1 | 0.69 ** | 0.48 * | 0.69 ** |
| PH | −0.93 ** | 0.27 | 0.74 ** | 0.64 ** | 0.78 ** | 0.69 ** | 1 | 0.76 ** | 0.88 * |
| SLR | −0.73 ** | 0.33 | 0.64 ** | 0.50 * | 0.62 ** | 0.48 * | 0.76 ** | 1 | 0.73 ** |
| DM | −0.92 ** | 0.25 | 0.73 ** | 0.70 ** | 0.79 ** | 0.69 ** | 0.88 ** | 0.73 ** | 1 |
| CP | 0.79 ** | −0.31 | −0.61 ** | −0.44 | −0.61 * | −0.51 * | −0.71 ** | −0.57 * | −0.67 ** |
| ADF | −0.55 * | 0.36 | 0.44 | 0.21 | 0.35 | 0.32 | 0.55 * | 0.37 | 0.69 ** |
| NDF | −0.45 | 0.35 | 0.22 | −0.11 | 0.09 | 0.01 | 0.44 | 0.23 | 0.31 |
| RFV | 0.54 * | −0.33 | −0.28 | 0 | −0.17 | −0.13 | −0.53 * | −0.26 | −0.46 |
| Variables § | Sc | RL | RSA | AD | RV | RDM | PH | SLR | DM |
|---|---|---|---|---|---|---|---|---|---|
| Sc | 1 | −0.21 | −0.42 | −0.28 | −0.45 | −0.37 | −0.92 ** | −0.83 ** | −0.78 ** |
| RL | −0.21 | 1 | 0.77 ** | −0.42 | 0.33 | 0.18 | 0.21 | 0.36 | 0 |
| RSA | −0.42 | 0.77 ** | 1 | 0.25 | 0.85 ** | 0.3 | 0.4 | 0.43 | 0.18 |
| AD | −0.28 | −0.42 | 0.25 | 1 | 0.72 ** | 0.16 | 0.24 | 0.10 | 0.26 |
| RV | −0.45 | 0.33 | 0.85 ** | 0.72 ** | 1 | 0.29 | 0.43 | 0.35 | 0.27 |
| RDM | −0.37 | 0.18 | 0.30 | 0.16 | 0.29 | 1 | 0.35 | 0.44 | 0.32 |
| PH | −0.92 **† | 0.21 | 0.40 | 0.24 | 0.43 | 0.35 | 1 | 0.82 ** | 0.83 ** |
| SLR | −0.83 ** | 0.36 | 0.43 | 0.10 | 0.35 | 0.44 | 0.82 ** | 1 | 0.76 ** |
| DM | −0.78 ** | 0 | 0.18 | 0.26 | 0.27 | 0.32 | 0.83 ** | 0.76 ** | 1 |
| CP | 0.58 * | −0.02 | −0.23 | −0.29 | −0.33 | −0.19 | −0.62 ** | −0.62 ** | −0.49 * |
| ADF | −0.51 * | 0.37 | 0.36 | −0.03 | 0.25 | 0.46 | 0.63 ** | 0.68 ** | 0.55 * |
| NDF | −0.43 | 0.46 | 0.48 * | 0.04 | 0.35 | 0.35 | 0.50 * | 0.59 ** | 0.48 * |
| RFV | 0.48 * | −0.45 | −0.47 * | −0.03 | −0.34 | −0.38 | −0.58 * | −0.66 ** | −0.54 * |
Disclaimer/Publisher’s Note: The statements, opinions and data contained in all publications are solely those of the individual author(s) and contributor(s) and not of MDPI and/or the editor(s). MDPI and/or the editor(s) disclaim responsibility for any injury to people or property resulting from any ideas, methods, instructions or products referred to in the content. |
© 2023 by the authors. Licensee MDPI, Basel, Switzerland. This article is an open access article distributed under the terms and conditions of the Creative Commons Attribution (CC BY) license (https://creativecommons.org/licenses/by/4.0/).
Share and Cite
Qiu, Y.; Wang, Y.; Fan, Y.; Hao, X.; Li, S.; Kang, S. Root, Yield, and Quality of Alfalfa Affected by Soil Salinity in Northwest China. Agriculture 2023, 13, 750. https://doi.org/10.3390/agriculture13040750
Qiu Y, Wang Y, Fan Y, Hao X, Li S, Kang S. Root, Yield, and Quality of Alfalfa Affected by Soil Salinity in Northwest China. Agriculture. 2023; 13(4):750. https://doi.org/10.3390/agriculture13040750
Chicago/Turabian StyleQiu, Yuan, Yamin Wang, Yaqiong Fan, Xinmei Hao, Sien Li, and Shaozhong Kang. 2023. "Root, Yield, and Quality of Alfalfa Affected by Soil Salinity in Northwest China" Agriculture 13, no. 4: 750. https://doi.org/10.3390/agriculture13040750
APA StyleQiu, Y., Wang, Y., Fan, Y., Hao, X., Li, S., & Kang, S. (2023). Root, Yield, and Quality of Alfalfa Affected by Soil Salinity in Northwest China. Agriculture, 13(4), 750. https://doi.org/10.3390/agriculture13040750
