Abstract
Blockchain technology has brought about profound revolutions in supply chain management. Notably, in the agricultural sector, blockchain-based traceability has become an essential tool to maintain the safety and quality of farm commodities. However, the implementation of blockchain technology in agricultural traceability is not prevalent. In this paper, mathematical modeling and simulation methods were used to investigate the decision making regarding the adoption of blockchain traceability in agriculture, which comprises producers, processors, and governments. This paper provides further analysis of the optimal blockchain-based traceability strategies of the members of the agricultural product supply chain in different scenarios. The results reveal the following: (1) Producers and processors should manage the traceability costs for adopting blockchains to improve their brand image and gain more benefits. (2) The government should encourage supply chain agents to participate in traceability by establishing an effective reward-and-punishment mechanism. In addition, the research will help agricultural supply chain agents to design strategies to implement traceability in agriculture and create a transparent and efficient data-driven agricultural products supply chain. Furthermore, these findings provide guidance to policymakers to develop policies to accelerate the implementation of blockchain-based traceability systems to guarantee fraud-free and sustainable agricultural supply chains.
1. Introduction
Nowadays, food safety and traceability have become a global paradigm as governments and organizations and individuals continue to find solutions to mitigate food safety challenges. Especially in the agriculture sector, agri-foods are prone to spoilage and highly sensitive to the temperature and humidity of the transportation. As a consequence of food contamination and fraud, agricultural supply chains (ASCs) call for real-time information sharing and transparency in the flow of transactions [1]. In this case, agri-food traceability provides improved visibility of processing conditions of supply chain participants, facilitates the monitoring of the environment of agri-food production, and allows participants to trace quality and safety issues, thus eventually improving public health. The introduction of blockchain technology has been applauded for the prospect of addressing the gaps mentioned above [2]. Blockchain technology guarantees supply chain transparency and traceability over conventional radio-frequency identification (RFID) and quick response (QR) code automation technologies [3]. Correspondingly, blockchains with distributed ledgers, untampered records, and smart contracts are unique from others [4].
Although blockchain technology has varying applications, it introduces a novel solution to the ASC management dilemma. However, blockchain technology is complicated and needs all supply chain stakeholders to actively participate in the system. Nevertheless, some stakeholders might have concerns, such as the software integrability costs and employee training costs [5]. As a consequence, most ASC stakeholders tend to adopt a “wait-and-see” strategy of agri-food traceability. The principal reasons for the hesitancy to adopt blockchain traceability are technology accessibility and data migration costs. Producers are hesitant to adopt blockchain traceability as they lack digital skills, and there is limited digital infrastructure. Additionally, migrating the blockchain platform into existing operations constitutes roadblocks in processors’ adoption [6]. Aside from this, government financial rewards encourage the willingness and responsibility of agri-food supply chain participants to accept blockchain traceability [7]. However, from the perspective of the supply chain decision-making behavior of stakeholders, there are few studies on traceability strategy supported by blockchain technology, regardless of its significant implications for establishing agricultural traceability solutions.
Therefore, this paper employed a mathematical modeling approach to evaluate the dynamic process of the traceability decision of agricultural producers, processors and government. Specifically, in a real-world agricultural supply chain, a population of producers producing agricultural products in (e.g., rice, milk, livestock, vegetables and fruits) and deep processing or packaging through a common processor to re-sell these products. Thus, a blockchain-based traceability system is able to record every step of the operation of agricultural products, from initial production to transportation and processing into the system, and if a contamination occurs, it can be identified in time [8]. According to the bounded rationality and population decision characteristics of evolutionary game theory [9], a stakeholder is considered a proxy for a type of population, and the evolving behavior of this population with respect to strategy adoption is examined by studying the interaction behavior of individual agents with their rivals. We study the decision behavior of producers’, processors’ and local governments’ efforts in adopting traceability of agricultural products. In this regard, producers are risk averse in reducing transaction costs by actively engaging in blockchain traceability systems, while processors improve their brand image to attract more consumers in the same way. Local governments encourage other agents in the supply chain to proactively adopt blockchain traceability strategies through strict regulatory incentives and penalties mechanisms, further protecting citizens from potentially harmful practices or products.
In practical terms, producers and processors each determine whether to participate in blockchain traceability and benefit from their respective short-term strategies. However, a producer’s enthusiasm to participate in blockchain traceability can have a long-term impact on a processor’s adoption strategy for blockchain traceability, and vice versa. Therefore, they need to determine the most profitable strategy in the long-term. Since producers and processors are not completely rational, each decision can only be made based on the finite information available to them. This may not be the ideal state of stability because producers incur significant costs in traceability, while processors may not invest enough in traceability. On the other hand, it is also unfavorable for processors to always invest in traceability systems because of the high cost of migration of legacy data and the possible inability to adopt new technologies. Thus, it may cause a dilemma in the traceability of agricultural supply chains. In this context, it requires local governments to intervene and promote active participation of both parties in traceability through strict regulation to subsidize and penalize different decision-making behaviors of producers and processors, thereby enhancing the visibility of the agricultural supply chain for the purpose of food safety.
As mentioned above, implementing an end-to-end traceability system for agricultural products requires the engagement of producers, processors, and government agencies. However, the benefits for each party are dynamically influenced by multiple factors, which may lead to low willingness to participate. In this regard, the premises of bounded rationality and dynamic evolution of evolutionary game theory (EGT) are more consistent with the behavioral rules and decision characteristics of participants or agents. Therefore, EGT is suitable for exploring the behavioral interactions of agents in the blockchain-based traceability of agricultural supply chains, helping participants make rational choices, which is conducive to realizing the interests of all agents. To this end, an analytical model, namely, the “three-party evolutionary game model for agricultural supply chain traceability”, is proposed. The decision process and influencing factors of supply chain traceability participants regarding blockchain traceability are explored through a mathematical model analysis and simulation. The primary purposes of this study are: (a) to analyze and study the long-term decision-making behavior of the main participants (i.e., producers, processors, and governments) in the blockchain traceability of agricultural products; (b) to explore the major influencing factors for establishing a blockchain-based traceability system for agricultural supply chain; and (c) to obtain evolutionary stable strategies (ESS) under different decision-making scenarios.
The contributions of this paper are as follows: (1) We systematically review the application cases of blockchain traceability in different fields, especially the application prospects of blockchain technology in the agricultural products supply chain. (2) We use evolutionary game theory to examine in depth the dynamic decisions of producers processors and governments regarding blockchain traceability. (3) We identify the necessity of incentives and penalties for the advancement of blockchain traceability implementation.
2. Literature Review and Theoretical Framework
2.1. The Mechanisms of Blockchains
Blockchain, well known as a decentralized ledger, has been regarded as a highly significant technology that could drastically change the global economy via the principle of a decentralized digital database of transactions [10]. It is an open distributed ledger capable of efficiently recording transactions by bundling transactions in cryptographically connected blocks in a verifiable and tamper-evident manner [11]. There are three technological innovations involved in blockchain technology, i.e., cryptography, consensus mechanisms and smart contracts [12]. Blockchain technology uses a shared, secured, distributed and permissioned database of transactions to handle issues that ensured a variety of merits within its application. Such merits include security, transparency [13], traceability [14] and interoperability [15]. Hence, it has inevitably gained traction and yielded a larger number of applications and implementations across multiple industries [16]. Table 1 summarizes some representative studies on blockchains which have been applied in various sectors.
The most recent revolution in blockchain technology is the smart contract built on blockchain technology, which is basically a computer program that automatically executes [17]. Smart contracts replace traditional contracts by writing the terms of agreements directly into program codes, thus increasing the efficiency of transactions and also making them more secure to conduct due to the immutable nature of data storage [18]. Thus, blockchain technology improves supply chain efficiency by allowing companies to complete transactions directly and without third parties [19].
Table 1.
Summary of blockchain applications in different fields.
Table 1.
Summary of blockchain applications in different fields.
| Authors | Fields | Highlights | Methods |
|---|---|---|---|
| Walsh et al. [20] | Financial services | Examined managers’ resistance to the adoption of blockchain-based systems in financial services | Qualitative study |
| Wang and Su [21] | Energy | Analyzed the application of blockchain in energy sectors to promote trust between entities | Bibliometric analysis |
| Tanwar, Parekh and Evans [4] | Healthcare | Built a healthcare record sharing system with blockchain for efficiency and security | Experimental analysis |
| Kayikci et al. [22] | Food supply chain | Investigated blockchain technology resolving traceability, trust, and accountability in the food industry | Systematic literature review and case interviews |
| Centobelli et al. [23] | Sustainability | Incorporated a closed-loop recovery framework into blockchain platforms | Case study |
| Kittipanya-ngam and Tan [24] | Agriculture | Discussed the practice of blockchain in digitalization for agri-food supply chains | Interviews |
| Liu and Li [25] | E-commerce | Presented a general framework for product traceability in cross-border e-commerce supply chains based on blockchain | Experimental analysis |
2.2. Blockchain-Based Traceability in Agri-Food Supply Chain
Traceability is determined to have the ability to retrieve information and to identify records of commodities along supply chains bi-directionally through a record-keeping system. In general supply chain traceability, manufacturers should bear more of the cost of applying technology than suppliers and retailers to maximize the profits of the supply chain [26]. More specifically, downstream retailers take more responsibility for agri-food traceability than upstream suppliers in the agricultural supply chain, because customers often accuse sellers of dishonesty when food fraud occurs [27]. Several modern traceability technologies have been deployed in the agricultural field, including radio-frequency identification (RFID) and the Internet of Things (IoT) [28]. For example, RFID technology has been employed to track commodities information through the supply chain to guarantee food safety [29]. However, the above techniques cannot verify the authenticity of the information, which requires new traceable mechanisms for quality and information exchange from upstream to downstream the supply chain [30].
Agricultural products need to flow through multiple channels and actors from seed selection to final sale to consumers [31], with features such as long production cycles, susceptibility to spoilage and strict transportation conditions. Therefore, a more secure, transparent and decentralized traceability technology is required to record and maintain all information and data from the production to the distribution of agricultural products [32]. It is widely accepted that blockchain technology is crucial to improving the resilience of agricultural supply chains, by enabling all participants to have the ability to communicate real-time information within decision making. Consequently, scholars have conducted extensive research on blockchain-based agricultural traceability [33]: (1) In the soybean supply chain, blockchains with smart contracts are utilized to perform business transactions could elevate the soybean supply chain to a heightened level of integrity, reliability, and security [34]. (2) A modified consensus algorithm based on blockchain technology can optimize the regulation process of rice supply and provide a feasible solution for food and oil quality regulation [35]. (3) The implementation of blockchains for traceability strategies in fresh food supply chains involving suppliers, 3PLs and e-tailers not only provides verifiable traceability information, but also helps companies to monitor product quality [36]. (4) A blockchain-based trust model can increase transparency in the distribution of organic products and improve the tamper-resistant performance of organic agricultural [37]. Previous research has also proposed solutions for the case of olive oil supply chains using IoT and multi-sensor tracking systems in blockchain smart contracts [11]. Among the many solutions for blockchain technology in the agri-supply chain, government agencies monitor and verify companies’ compliance with regulatory and market requirements in agri-food traceability and monitor and evaluate blockchain implementation in the agri-food industry. Thus, in blockchain traceability in the agri-food sector supply chain, government agencies play a leading, monitoring, and policy-making role. Furthermore, for policymakers, promoting blockchain in the agricultural industry will ease regulatory and certification norms, while traceability details facilitate regulatory and certification norms, and traceability particulars will improve quality and safety [38], thus contributing to maintaining quality control throughout the agricultural supply chain [39].
2.3. Evolutionary Game Theory
Evolutionary game theory is a mathematical methodology designed to investigate and anticipate social interactions. It presupposes that participants are bounded by rationality and then analyses stakeholder strategy selection [40]. In analogy to the Nash equilibrium in classical game theory, an evolutionary stable state (ESS) also exists. A state is referred to as a stable status when it can be preserved under mild disturbances caused by a dynamic system. Apart from the concept of evolutionary stable strategies, evolutionary game theory also considers replicator dynamics. Trends in individual strategy choice of populations can be better predicted based on replicator dynamics models [41].
Several scholars have examined the incentives for blockchain technology applications with the concept of games. Xuan et al. [42] presents a model for data sharing based on game theory, in which blockchain smart contracts can manipulate the incentive parameters and consistently stimulate users to share data. In addition, scholars have used evolutionary game theory to model the evolution of participant behavior in relation to reward-and-punishment mechanisms and found that punitive measures were observed to have a core effect in maintaining the integrity of the blockchain [43].
The literature review analysis reveals that the existing studies mainly focus on the characteristics of blockchain technology, solutions for different types of supply chains, and the advantages and challenges of blockchain traceability, but they pay less attention to the game behavior among some subjects in the agricultural products supply chain. Thus, there are some research gaps: First, most of the existing literature focuses on the participating actors in the agricultural supply chain, while ignoring the policy regulation and supervisory role of the government in agricultural blockchain traceability. Moreover, although some scholars use the evolutionary game approach to analyze the behavioral decision of technology adoption, they rarely consider “free-rider” behavior. How to avoid opportunistic behavior of agricultural supply chain members in blockchain-based traceability has become a difficult problem to be solved. Therefore, to address the above research shortcomings, this study was conducted. The process of the paper is shown in Figure 1.
Figure 1.
The tripartite decision framework for traceability in agricultural supply chains.
3. Materials and Methods
3.1. Model Assumption
Producers. Producers are stakeholders responsible for growing or harvesting the agri-food commodities [44]. It is assumed that whether producers choose the traceability strategy depends predominantly on the gross benefits that can be achieved by different strategies, while producers make decisions with the goal of maximizing benefits.
Benefits are for producers choosing the traceability strategy for agricultural quality and safety, and the benefits are for choosing the “not traceability” strategy.
The cost for producers to choose an agricultural quality and safety traceability strategy is .
Producers who adopt agricultural quality and safety traceability behavior receive subsidies, .
Producers who choose not to implement traceability are punished by government strict regulation, .
When producers choose “not traceability” and processors take “traceability”, producers will receive “free-riding” benefits, .
Processors. In this research, processor refers to agricultural product-processing enterprises, which are responsible for connecting agricultural products producers, establishing agricultural products sales network and directly connecting with the market [45]. We assume that processors also have two strategies, choosing either “traceability” or “not traceability”.
Benefits are for processors choosing the traceability strategy for agricultural quality and safety, and the benefits are for choosing the “not traceability” strategy.
The cost for processors to choose an agricultural quality and safety traceability strategy is .
Processors who adopt agricultural quality and safety traceability behavior receive subsidies, .
Processors who choose “not traceability” are punished by government strict regulation, .
When processors choose “not traceability” and producers take “traceability”, processors will receive “free-riding” benefits, .
Government. The governments should engage with agricultural supply chain participants to ensure the smooth functioning of blockchain-based traceability system [46]. For example, the government will primarily have a policy and regulatory function. Subsidies and other penalties will also be provided to change the behavior of producers and processors.
The government receives utility when producers adopt a strict regulation strategy, and it receives utility if the government adopts a passive regulation strategy. According to the actual situation in China, in this case, it is assumed that .
An additional benefit is achieved when the government strictly regulates and the cost of strict regulation is . In reality, the government plays a leading role in food safety traceability, and thus, in this study, it is supposed that .
When negative government regulation leads producers and processors to choose “not traceability” behavior, there are negative benefits .
3.2. Replicator Dynamic
After determining the game strategy of the three subjects, the probability that a producer chooses a traceability strategy is , and the probability of a producer not choosing traceability is ; the probability of processor choosing traceability is ; the probability of processor choosing “not traceability” is ; the probability of strict regulation for the government is ; and the probability of passive regulation is . The tripartite game payoffs of the three parties of producers, processors, and the government under different behavioral strategies are shown in Figure 2.
Figure 2.
The game tree and payoffs of government, producers and processors.
3.2.1. Expected Payoffs and Strategy Stability Analysis of Producers
According to Figure 2, the expected payoffs of producers when they choose traceability or “not traceability” can be calculated, respectively. Then, the average expected payoffs of agri-producers was denoted as .
According to Equations (1)–(3), the replicator dynamic for producers adopting traceability were determined as:
Let then it can be simplified as .
When , and at this point . Thus, no matter what the initial ratio of “traceability” and “not traceability” is, the ratio will not change with time.
Based on the stability theorem for differential equations, the evolutionary stabilization strategy satisfies: and . As , when , , and , so is evolutionary stability strategy(ESS). Similarly, when , , and , means is evolutionary stability strategy (ESS).
3.2.2. Expected Payoffs and Strategy Stability Analysis of Processors
Then, the expected payoffs of processors when they choose to “traceability” or “not traceability” can be calculated, respectively. Thus the average expected payoffs of processors was derived as .
Based on Equations (5)–(7), the replicator dynamic for processors’ traceability was determined as:
Let then
When , and at this point .
As , when , , and , so is ESS; when , , , , and thus, is ESS.
3.2.3. Expected Payoffs and Strategy Stability Analysis of Local Governments
Subsequently, the expected payoffs of the government when they choose to strict regulation or can be obtained, respectively. So, average expected payoffs of the government were derived as .
Based on Equations (9)–(11), the replicator dynamic for local governments strict regulation were denoted as:
Let , then it can be rewritten as .
When , , and at this point, . Thus, no matter what the initial ratio of “ strict regulation” and “do “ is, the ratio will not change with time.
Since , when , , and , which means is evolutionary stability strategy (ESS); when , , and , so is evolutionary stability strategy (ESS).
3.3. Analysis of ESS
On the basis of the stability analysis of the strategies of agricultural producers, agricultural processors and local governments, the overall analysis of the tripartite system is conducted.
When , from Equation (13), the equilibrium points of system can be obtained: , , , , , , and . Additionally, mixed-strategy equilibrium points can be obtained as follows:
However, if the equilibrium is asymptotically stable for an unsymmetric game, it must be consistent with strict Nash equilibrium and is a pure strategic equilibrium [47]. Therefore, in order to discuss the asymptotic stability of the equilibrium points of the replication dynamic equation, it is merely necessary to discuss the equilibrium points of the replication dynamic equation with pure strategies. The equilibrium points that satisfy the condition include . According to the Lyapunov system stability criterion, equilibrium point is asymptotically stable when all the eigenvalues of the Jacobi matrix ; if there is one or more , then the equilibrium is unstable [48]. Jacobian matrix is as shown in Equation (14).
The eigenvalues of points are shown in Table 2.
Table 2.
Eigenvalue of Jacobian matrix.
By observing, we can see that the eigenvalues of the , , and are positive under the assumption . Hence, these equilibria are not asymptotically stable points, so only , , and should be investigated; the stability conditions are shown in Table 3.
Table 3.
Equilibrium stability conditions of the system.
According to the three-stage model of innovation implementation for new technology, we divide the implementation process for blockchain-based traceability into three phases, namely, initiation, adoptive decision and deployment.
In the initiation stage, governments are under great pressure to endanger public health with inferior agricultural commodities on the market. The government will take action in supervision, while agricultural producers and processors are often reluctant to improve the quality of commodities, due to the burden of traceability costs. Accordingly, this stage corresponds to . From Table 3, we can see there are two inequalities that need to be met at the same time. To the first inequalities , when the difference between the benefit of an agricultural producer not choosing traceability and the penalty of strict government regulation at this point is greater than the government subsidy when the producer chooses traceability, he will not choose traceability. For the second inequalities , equally, agricultural processors will choose not to traceability when the difference between their benefits and the penalties of strict government regulation is greater than the subsidy for traceability. When agricultural producers and processors do not have traceability, it will weaken the market competitiveness of the products and cause food quality and safety problems, which will affect the local economic development negatively in the long run, so local governments tend to adopt stabilization strategy of strict regulation.
In the adoption decision stage, with the development of blockchains, when the benefit–cost () plus the government incentive of the agricultural producer adopting traceability strategy is greater than the benefit when not choosing traceability minus the penalty under strict government regulation conditions, the agricultural producer will choose the traceability strategy (), so agricultural producer will choose the traceability strategy. When the sum of the benefit and the free-rider benefit when the processor chooses the no-traceability strategy minus the penalty is greater than the government strictly regulates than the reward when choosing the traceability strategy (), the processor will not choose the traceability strategy. At this point, is the evolutionary stabilization strategy. Similarly, when the sum of the benefit and the free-rider benefit when the agricultural producer chooses the no-traceability strategy minus the penalty is greater than the strictly regulated government reward when choosing the traceability strategy (), agricultural producers will not choose the traceability strategy; when the benefit–cost () plus the government incentive of the processor choosing the traceability strategy is greater than the benefit when not choosing traceability minus the penalty under strict government regulation conditions, the processor will choose the traceability strategy (), then is the evolutionary stabilization strategy.
In the deployment stage, when blockchain technology and agricultural quality and safety traceability systems tend to mature, the agricultural product traceability development enters a stable phase. The system has a stable evolutionary strategy , whereby agricultural producers choose to produce high-quality agricultural products, processors choose the traceability strategy, and governments choose strict regulation. To achieve this state, two inequalities should be satisfied. From analyzing inequality , it is clear that agricultural producers tend to choose traceability strategy when the overall benefits of choosing a traceability strategy is greater than the total benefit of choosing “not traceability” under strict regulation conditions. Likewise, to the inequality , processors tend to adopt the traceability strategy when the overall benefits of choosing a traceability strategy is greater than the total benefit of choosing “not traceability” under strict regulation conditions.
4. Numerical Simulation
In order to visualize the dynamic evolution process of three participants in different scenarios, this paper uses MATLAB software to perform simulations of the above four ESSs. To further evaluate the sensitivity of major parameters on the decisions of agricultural producers, processors, and government after the blockchain traceability system was executed, we compared evolutionary trajectory diagrams under different values of primary parameters.
4.1. Results of Analysis
Scenario I. When and , after the implementation of agricultural product quality and safety traceability, the incentives that agricultural producers and processors receive from the “traceability” strategy can hardly compensate for the cost burden of traceability, resulting in the benefits of producers and processors choosing the “not traceability” strategy exceeding the benefits of traceability. The eigenvalues of the equilibrium points are all below zero, so is the evolutionary stability point. At this moment, the evolutionary stable strategies of producers, processors and government are {not traceability, not traceability, strict regulation}. It is known that when the above conditions are satisfied, the government regulation is invalid, as indicated by the results of the tripartite evolutionary game.
Without loss of generality, in the initial moment of the simulation experiment, we set the probability of the strategy of producer traceability, processor traceability and strict government regulation to 0.5. In order to set the primitive parameters appropriately, the parameters of the model must meet economic hypotheses and empirical determinations. Based on the realistic implications of the model parameters and the experience of former research, the referential values of the parameters are displayed in Table 3, and the parameters are set in Table 4. The parameter values of case 1 ensure the stability scenario I, and the evolution path is presented in Figure 3.
Table 4.
Simulation values in four cases.
Figure 3.
The evolutionary path of case 1.
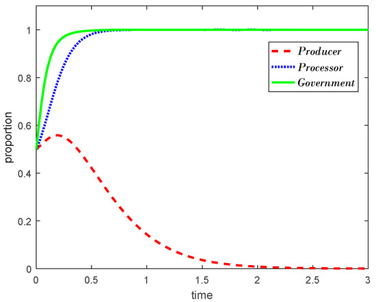
Scenario II. When and , the eigenvalues and to the equilibrium points are all lower than zero. From the first inequality , it can be found that when the revenue obtained by adopting the “traceability” strategy is greater than the gain when “no traceability” is applied, the producer will adopt the “ traceability” behavior. From the second inequality , we can see that the processor will not adopt the “traceability” behavior when the benefit from the “no traceability” strategy is greater than the reward from the “traceability” behavior.
Moreover, the total utility of strict government regulation is always greater than the total utility of passive regulation, and the government will continue to exercise strict regulation on agricultural quality and safety. In this case, the corresponding stable evolutionary strategies of producers, processors and the government are {traceability, not traceability, strict regulation}. In this case, the parameter’s value are showed in case 2 in Table 4, which guarantees the local stability scenario II, and the evolutionary path is illustrated in Figure 4.
Figure 4.
The evolutionary path of case 2.
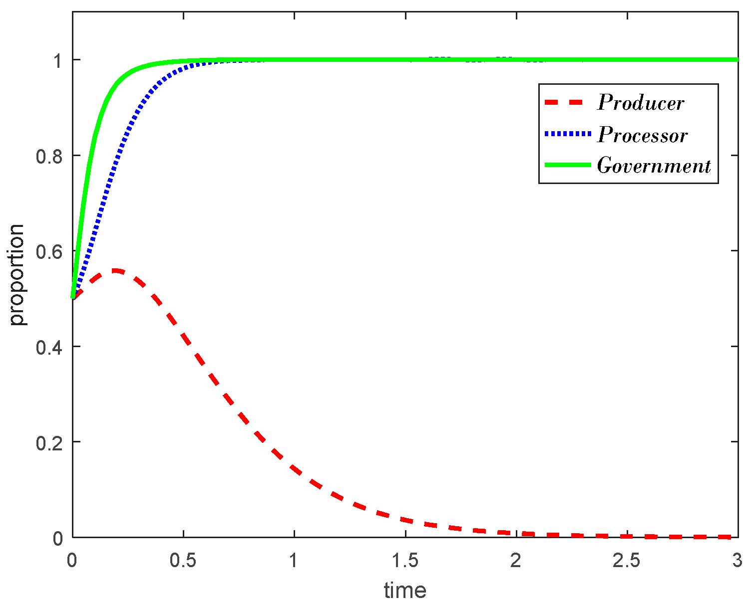
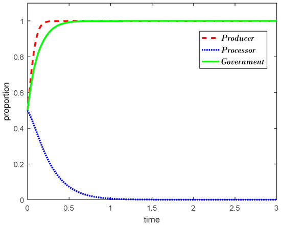
Scenario III. When and , the eigenvalues and to the equilibrium points are all lower than zero. After introducing the blockchain technology traceability system, the stable evolutionary strategies of producers, processors and the government are {not traceability, traceability, strict regulation}. From the first inequality , we can find that the total benefit of free-riding behavior by producers under strict government regulation is higher than the total benefit of “traceability” behavior, so producers choose the “not traceability” strategy. The second inequality also shows that the total benefits obtained by the processor after adopting “traceability” are higher than the benefits of non-traceability minus the penalty, so the processor chooses the “traceability” strategy. In line with scenario 2, losses caused by permissive government regulation are higher than the sum of the incentives and regulatory costs, so the government maintains a strict regulatory strategy.
The values in case 3 (in Table 4) meet the local stability scenario 3, and the evolution trajectory is illustrated in Figure 5.
Figure 5.
The evolutionary path of case 3.
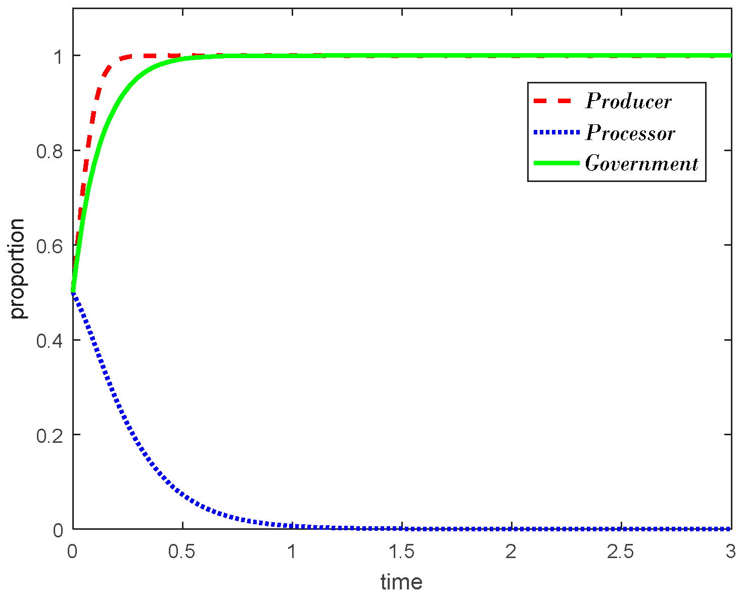
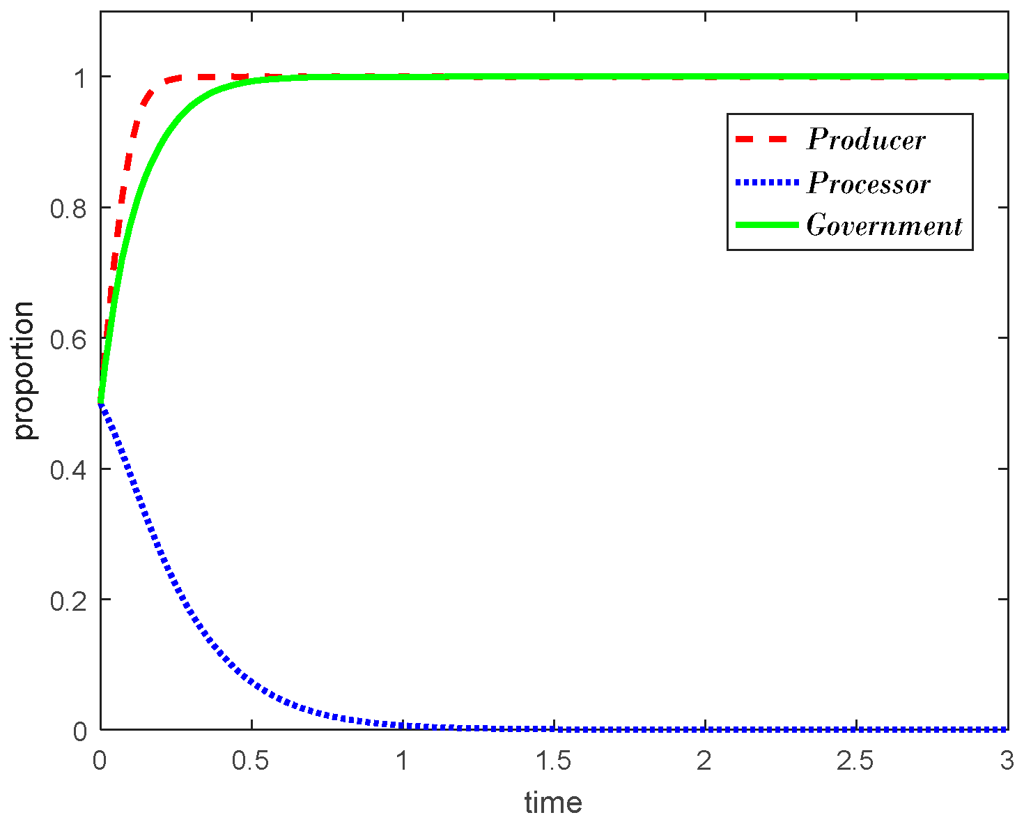
Scenario IV. When and , the eigenvalues and to the equilibrium points are all lower than zero. At this moment, the stable evolutionary strategies of producers, processors and the government are {traceability, traceability, strict regulation}. From the first inequality, found that producers choose the “traceability” strategy when the total benefit of choosing the “traceability” behavior is higher than the total benefit of choosing the “not traceability” behavior. Similarly, processors choose the “traceability” strategy when the total benefits of traceability are higher than the gross benefits of “not traceability”.
The values in case 4 (in Table 4) meet the local stability scenario 4, and the evolution trajectory is shown in Figure 6. According to the evolutionary trajectory, it is clear that government regulation is the most effective, and thus, scenario 4 is also the ideal state.
Figure 6.
The evolutionary path of case 4.
4.2. Influence of Traceability Benefits
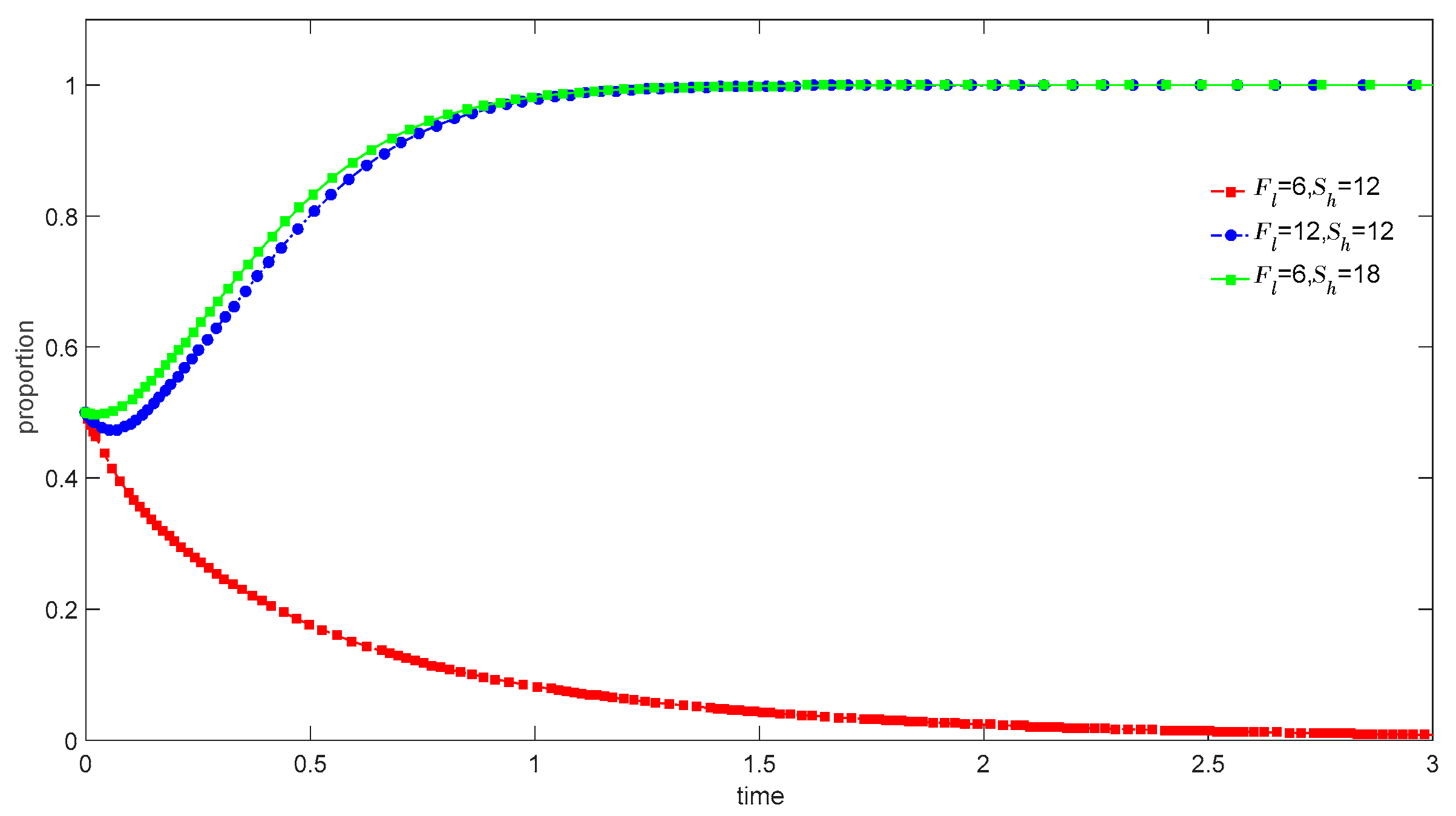
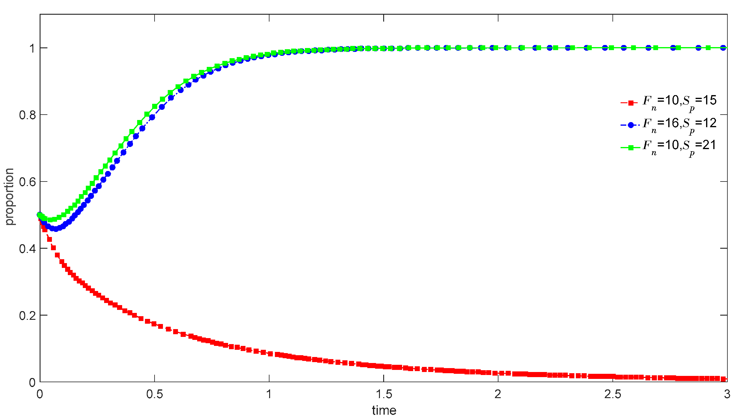
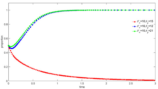
At first, we examined the sensitivity to traceability benefits by changing and to make evolutionary trajectory simulations for both producers and processors, as shown in Figure 7 and Figure 8.
Figure 7.
Simulation of evolutionary strategies of producers under different traceability benefits.
Figure 8.
Simulation of evolutionary strategies of processors under different traceability benefits.
In the initial state, the probability that a producer chooses a traceability strategy is low when the agricultural producer chooses a traceability strategy with a gain of 20, but then the probability shows an increasing trend, though at a slow speed. As the traceability benefit increases, the producer rapidly reaches equilibrium, as shown in Figure 7. Compared with the agricultural producers, the processors’ evolutionary trajectory is even more sensitive to the effect of the traceability benefits. As the traceability benefits of processors gradually increase, processors change from the initial “not traceability” strategy to the “traceability” strategy, and the more traceability benefits processors have, the faster it is to reach stability, as shown in Figure 8. If there is fraud and inadequate agricultural products, it will make the public doubt the effectiveness of government regulation. Moreover, it will negatively affect the reputation of the government in the long run, but since the price is much higher than the cost of strict regulation, government departments will choose the strategy of strict regulation. It is indicated that the amount of revenue generated after traceability is the main driving force for agricultural producers and processors to choose the “traceability” strategy.
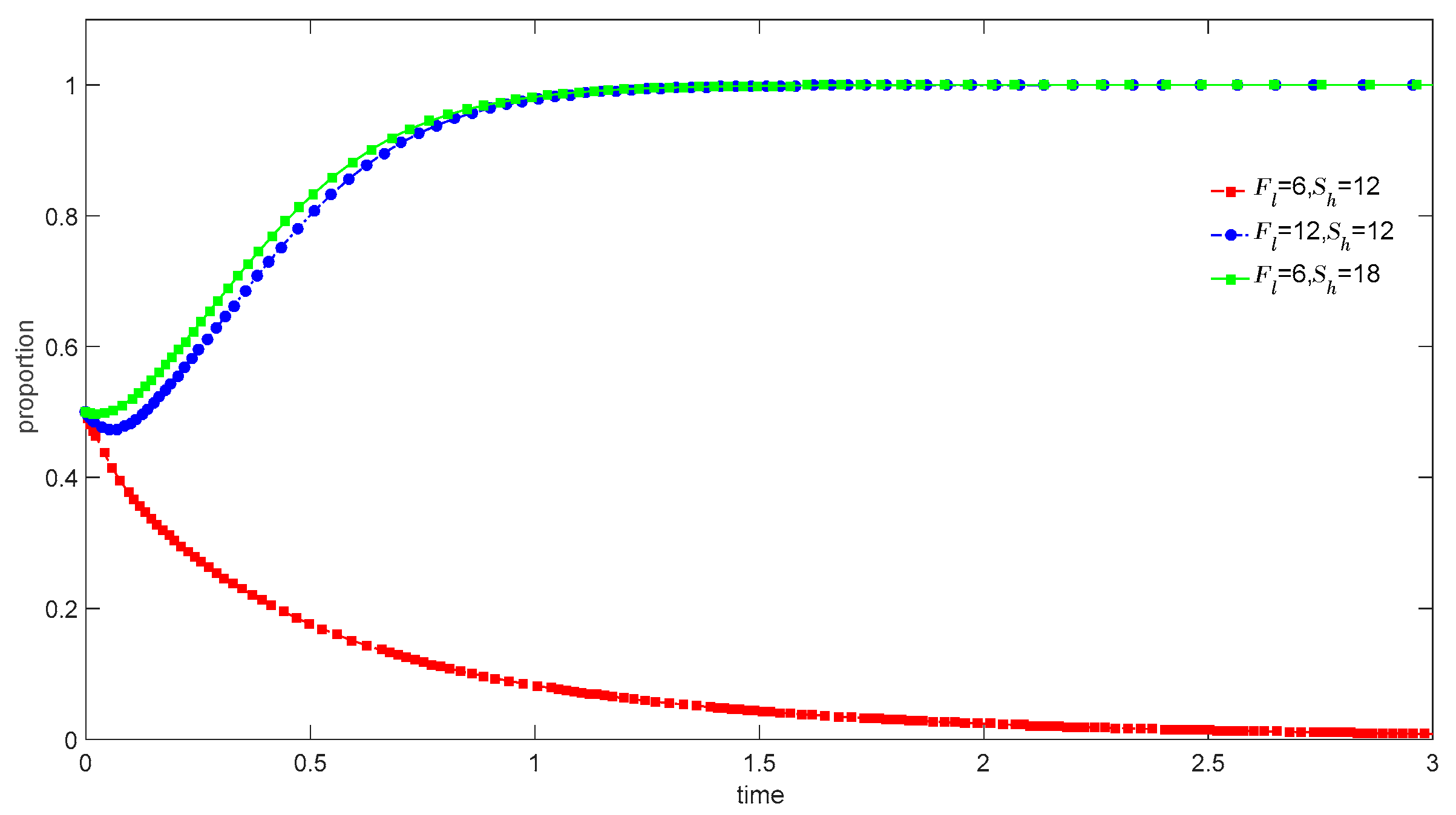
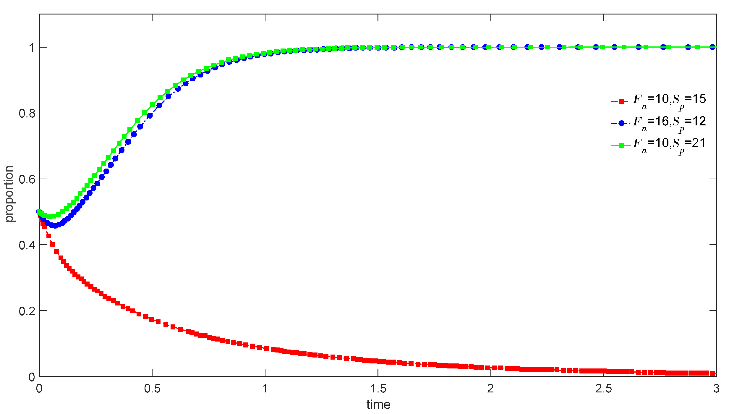
4.3. Influence of Traceability Costs
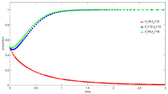
The cost of traceability is a critical factor hindering producers and processors from choosing the “traceability” strategy, as shown in Figure 9 and Figure 10.
Figure 9.
Simulation of evolutionary strategies of producers under different traceability costs.
Figure 10.
Simulation of evolutionary strategies of processors under different traceability costs.
With other conditions unchanged, when the traceability costs to producers and processors are 20 and 30, respectively, both producers and processors eventually choose the “no traceability” strategy. However, when the traceability cost decreases to a certain threshold, producers and processors change their behavioral strategies and choose the “traceability” strategy, respectively. Moreover, it is easy to find that the less the traceability cost is, the shorter the time it takes for each agent to evolve to a stable state.
At the original stage where blockchain technology is applied to the traceability of agricultural products, agricultural producers and processors who choose the “traceability” strategy need to purchase terminal RFID devices and related system software updates, and they will incur high costs. Therefore, in the initial stage, due to the high cost of traceability, agricultural products producers and processors often choose the “no traceability” strategy. However, due to the government’s strict regulatory actions and subsidies for active “traceability”, the cost to producers and processors has been reduced to a certain extent, and with the decrease in traceability cost, they will gradually change their strategies and choose traceability.
4.4. Influence of Free-Riding Benefits
Similarly to traceability costs, free-riding benefits can deter producers and processors from choosing a “traceability” strategy, as shown in Figure 11 and Figure 12.
Figure 11.
Simulation of evolutionary strategies of producers under different free-riding benefits.
Figure 12.
Simulation of evolutionary strategies of processors under different free-riding benefits.
In an agricultural supply chain that contains producers and processors, when only one of them chooses the “traceability” strategy, it will actively affect the general benefits of the supply chain, so the other obtains a corresponding “free-rider” benefit. However, when one of the two parties gains substantial “free-rider” benefits because the other party chooses the “traceability” strategy, the producer or processor will tend to avoid the “traceability” strategy. Only when the “free-rider” benefit is less than a certain threshold, i.e., the “free-rider” benefit is less than the profit-cost of choosing the “traceability” strategy, will the subject choose the “traceability” strategy.
In general, whether producers and processors choose a “traceability” strategy is influenced not only by the cost–benefit balance, but also by the “free-riding” benefits when they choose a “no traceability” strategy. The impact is not only affected by the cost–benefit balance but also by the “free-rider” benefit when choosing the “no traceability” strategy. Therefore, in order to make the whole system reach the ideal state in a short time after the implementation of a blockchain-based agricultural traceability system, it is not enough to rely on enterprises to improve digital technology and reduce costs, but also requires government intervention and regulation to avoid free-riding behavior.
4.5. Analysis of the Effectiveness of Government Subsidies and Penalties
To explore the extent of the impact of subsidies and penalties on the traceability of agricultural products, we increase the values of and separately for sensitivity analysis under the parameter setting conditions of scenario 1. Their evolutionary trajectories are shown in Figure 13.
Figure 13.
The sensitivity of subsidies and penalties for producer.
It can be seen that agricultural producers eventually choose the “no traceability” strategy in the initial state (), and yet, as the value of subsidies or penalties increases, agricultural producers will change their strategies to choose traceability. In the meantime, when government subsidies and penalties are increased by the same value, respectively, the final evolution of agricultural producers converges faster to 1 when subsidies are increased, so agricultural producers are more sensitive to changes in subsidies. In other words, increasing the subsidy for the traceability of agricultural products is more effective in motivating agricultural producers to choose the “traceability” strategy than increasing the penalty of the same volume.
Likewise, as shown in Figure 14, processors eventually choose the “no traceability” strategy in the initial state (); when the value of subsidies or penalties increases, processors will change their strategies to choose traceability. In addition, when government subsidies and penalties are increased by the same value, respectively, the evolutionary trajectories of processors converges faster to 1 when subsidies are increased, indicating that processors are more sensitive to changes in subsidies. Moreover, increasing the subsidy for traceability of agricultural products is more conducive to encouraging processors to choose the “traceability” strategy compared to adding the penalty of the same volume.
Figure 14.
The sensitivity of subsidies and penalties for processor.
5. Conclusions and Implications
5.1. Conclusions
Blockchain-enabled traceability for agricultural supply chains immensely eases the identification and recall of fraudulent, substandard quality batches in the supply chain, significantly reducing the costs associated with the loss of distribution and harm to human health. Additionally, implementing a blockchain-enabled traceability system requires the engagement of all participants in the supply chain—producers, processors and governments. In order to assess the diverse motivations for all stakeholders to participate in a system that promotes visibility, a tripartite game model of producers, processors and the government was constructed. By exploring the game payoffs under different strategic choices among multiple agents, we analyze the long-term evolutionary behavior and strategic adaption mechanisms of producers, processors and governments, and probe the impact of changes in key factors on the evolutionary trajectory of the game agents’ strategic choices. The following main conclusions were obtained.
(1) Government agencies act as the initiator for introducing agricultural traceability systems when the social benefits of their strict regulatory actions to preclude the occurrence of agricultural commodities fraud and safety issues outweigh the costs of strict government regulation. Therefore, government agencies will consistently adopt a strict regulatory strategy to guide producers and processors to gradually adopt “traceability” with incentives and penalties.
(2) In the long term, there are three stages to implementing a blockchain-enabled traceability for agricultural products. First, despite the government’s strict regulatory strategy as an advocate, both producers and processors are hesitant to adopt a “traceability” strategy due to factors such as the limited digital technology infrastructure for producers and the high cost for processors to integrate blockchain-enabled traceability platforms into their existing operations. Second, during the development stage, the government’s strict regulations via reward-and-punishment mechanisms are gradually becoming effective, and to some extent, they prompt producers or processors to adjust their strategies and choose “traceability”. It is noteworthy that in this stage, producers and processors may adopt free-riding behavior, which hinders the emergence of “traceability”. For producers, the higher the benefits of free-riding, the lower the probability that they will adopt a “traceability” strategy, and when the benefits of free-riding are beyond a certain threshold, the producer will eventually evolve a stable strategy that converges to zero, i.e., choosing a “no retrospective” strategy. Similarly, for processors, the higher the free-riding benefits when adopting the “not traceability” strategy, the lower their desire to adopt the blockchain traceability strategy. Third, as the incentives and penalties of strict government regulation continue to advance, the benefits under the “traceability” strategy to producers and processors at this time exceed the costs, so the evolutionary trajectories both converge to 1; meanwhile, the three-dimensional dynamical system reaches a stable status where the evolutionary equilibrium point is .
(3) There are differences in the extent to which governments adopt subsidies or penalties to encourage blockchain-enabled traceability. By giving the same level of subsidies and penalties to producers and processors, and by comparing the evolutionary trajectories under different conditions, it can be seen that the subsidies have a stronger effect on the “traceability” behavior of the participants than the penalties. In other words, the subsidy mechanism is more effective than the penalty mechanism for “traceability” behavior.
5.2. Policy Implications
Based on the above conclusions, the following policy suggestions are put forward:
(1) In the case of the government, to enhance transparency and traceability in the agricultural supply chain, the government should play a supporting role in blockchain-enabled traceability through grants, subsidies and support services. Subsidies should be provided to participants who actively join a system of agricultural commodities traceability, while penalties should be increased for subjects who do not join the agricultural commodities traceability system as required; this will urge the subjects involved in the agricultural supply chain to actively participate in agricultural commodities traceability and improve supply chain transparency and traceability, so that consumers can fully understand the origin of products. For producers, the government can improve the education, training and publicity of cultural and digital technologies for the population in rural areas. In addition, the government can strengthen the digital network coverage and other digital infrastructure in remote rural areas. For processors, the government can provide consultancy services, providing a blockchain technology incubation hub for processors with blockchain solutions to quickly complete technology upgrades and data migration.
(2) In the case of the producers, firstly, producers should strengthen their own learning and master the use of smart devices to improve the scientific management of agricultural products, from breeding and cultivation to harvesting, thereby reducing the risk of loss. Secondly, producers should pay attention to the improvement of their own cultural background and actively participate in digital technology training courses to improve their basic digital technology mastery. Finally, producers will be able to expand their markets by participating in blockchain projects and establish direct connections with consumers to reduce transaction costs.
(3) In the case of the processors, firstly, they should take care to integrate existing operations into the blockchain platform and invest some costs to ensure that existing data can be migrated to the blockchain platform smoothly. In addition, processors could be able to improve their brand image and attract those conscious consumers through blockchain traceability.
In this paper, the strategy choice of the game players is mainly influenced by factors such as the expected benefit–cost balance, retrospective subsidy and “free-riding” effect. However, the trustiness of each player in the blockchain traceability is also an important variable influencing strategy selection, which needs to be further explored in subsequent studies. Although decision making for blockchain traceability projects is a complex systemic problem, other stakeholders in the agricultural supply chain are not considered in the model. Hence, further development of the game model will be the focus of future research.
The above results could provide inspiration for small-scale producers in agricultural traceability systems to gain access to global markets and connect directly with consumers, processors to enhance their brand image, and governments to formulate policies for agricultural quality and safety regulation. However, there are still some constraints: the agricultural supply chain involves many agents and complicated processes, and this paper only examines the behavioral decision-making relationships among producers, processors and the government, while the adoption and implementation of blockchain traceability in the agricultural product supply chain combined with more actual cases may be the future research direction.
Author Contributions
Y.Z. is mainly responsible for writing the original draft and constructing the models. Y.X. is mainly responsible for the methodology and software, and the improvement of the language and grammar. Z.Q. is mainly responsible for writing—review and editing. All authors have read and agreed to the published version of the manuscript.
Funding
This work was supported by Heilongjiang Provincial Natural Science Foundation of China, grant number LH2021F035.
Institutional Review Board Statement
Not applicable.
Data Availability Statement
Not applicable.
Conflicts of Interest
The authors declare no conflict of interest.
References
- Saurabh, S.; Dey, K. Blockchain technology adoption, architecture, and sustainable agri-food supply chains. J. Clean. Prod. 2021, 284, 124731. [Google Scholar] [CrossRef]
- Khan, H.H.; Malik, M.N.; Konecna, Z.; Chofreh, A.G.; Goni, F.A.; Klemes, J.J. Blockchain technology for agricultural supply chains during the COVID-19 pandemic: Benefits and cleaner solutions. J. Clean. Prod. 2022, 347, 131268. [Google Scholar] [CrossRef] [PubMed]
- Rudoy, D.; Bingzhang, L.; Zirianov, V.; Olshevskaya, A.; Ugrekhelidze, N. Blockchain in agricultural supply chain management. E3S Web Conf. 2021, 273, 08029. [Google Scholar] [CrossRef]
- Tanwar, S.; Parekh, K.; Evans, R. Blockchain-based electronic healthcare record system for healthcare 4.0 applications. J. Inf. Secur. Appl. 2020, 50, 102407. [Google Scholar] [CrossRef]
- Collart, A.J.; Canales, E. How might broad adoption of blockchain-based traceability impact the U.S. fresh produce supply chain? Appl. Econ. Perspect. Policy 2021, 44, 219–236. [Google Scholar] [CrossRef]
- Chen, S.; Liu, X.; Yan, J.; Hu, G.; Shi, Y. Processes, benefits, and challenges for adoption of blockchain technologies in food supply chains: A thematic analysis. Inf. Syst. e-Bus. Manag. 2020, 19, 909–935. [Google Scholar] [CrossRef]
- Vu, N.; Ghadge, A.; Bourlakis, M. Blockchain adoption in food supply chains: a review and implementation framework. Prod. Plan. Control. 2021. [Google Scholar] [CrossRef]
- Sunny, J.; Undralla, N.; Madhusudanan Pillai, V. Supply chain transparency through blockchain-based traceability: An overview with demonstration. Comput. Ind. Eng. 2020, 150, 106895–106946. [Google Scholar] [CrossRef]
- Hosseini-Motlagh, S.-M.; Choi, T.-M.; Johari, M.; Nouri-Harzvili, M. A profit surplus distribution mechanism for supply chain coordination: An evolutionary game-theoretic analysis. Eur. J. Oper. Res. 2022, 301, 561–575. [Google Scholar] [CrossRef]
- Kouhizadeh, M.; Saberi, S.; Sarkis, J. Blockchain technology and the sustainable supply chain: Theoretically exploring adoption barriers. Int. J. Prod. Econ. 2021, 231, 107831. [Google Scholar] [CrossRef]
- Ktari, J.; Frikha, T.; Chaabane, F.; Hamdi, M.; Hamam, H. Agricultural Lightweight Embedded Blockchain System: A Case Study in Olive Oil. Electronics 2022, 11, 3394. [Google Scholar] [CrossRef]
- Lim, M.K.; Li, Y.; Wang, C.; Tseng, M.-L. A literature review of blockchain technology applications in supply chains: A comprehensive analysis of themes, methodologies and industries. Comput. Ind. Eng. 2021, 154, 107133. [Google Scholar] [CrossRef]
- Bai, C.; Sarkis, J. A supply chain transparency and sustainability technology appraisal model for blockchain technology. Int. J. Prod. Res. 2020, 58, 2142–2162. [Google Scholar] [CrossRef]
- Creydt, M.; Fischer, M. Blockchain and more—Algorithm driven food traceability. Food Control. 2019, 105, 45–51. [Google Scholar] [CrossRef]
- Pillai, B.; Biswas, K.; Muthukkumarasamy, V. Cross-chain interoperability among blockchain-based systems using transactions. Knowl. Eng. Rev. 2020, 35, e23. [Google Scholar] [CrossRef]
- Dutta, P.; Choi, T.M.; Somani, S.; Butala, R. Blockchain technology in supply chain operations: Applications, challenges and research opportunities. Transp. Res. E Logist. Transp. Rev. 2020, 142, 102067. [Google Scholar] [CrossRef] [PubMed]
- Wang, Z.; Wang, T.; Hu, H.; Gong, J.; Ren, X.; Xiao, Q. Blockchain-based framework for improving supply chain traceability and information sharing in precast construction. Autom. Constr. 2020, 111, 103063. [Google Scholar] [CrossRef]
- Lin, W.; Huang, X.; Fang, H.; Wang, V.; Hua, Y.; Wang, J.; Yin, H.; Yi, D.; Yau, L. Blockchain Technology in Current Agricultural Systems: From Techniques to Applications. IEEE Access 2020, 8, 143920–143937. [Google Scholar] [CrossRef]
- Mukherjee, A.A.; Singh, R.K.; Mishra, R.; Bag, S. Application of blockchain technology for sustainability development in agricultural supply chain: Justification framework. Oper. Manag. Res. 2021, 15, 46–61. [Google Scholar] [CrossRef]
- Walsh, C.; O’Reilly, P.; Gleasure, R.; McAvoy, J.; O’Leary, K. Understanding manager resistance to blockchain systems. Eur. Manag. J. 2021, 39, 353–365. [Google Scholar] [CrossRef]
- Wang, Q.; Su, M. Integrating blockchain technology into the energy sector—From theory of blockchain to research and application of energy blockchain. Comput. Sci. Rev. 2020, 37, 100275. [Google Scholar] [CrossRef]
- Kayikci, Y.; Subramanian, N.; Dora, M.; Bhatia, M.S. Food supply chain in the era of Industry 4.0: Blockchain technology implementation opportunities and impediments from the perspective of people, process, performance, and technology. Prod. Plan. Control. 2020, 33, 301–321. [Google Scholar] [CrossRef]
- Centobelli, P.; Cerchione, R.; Vecchio, P.D.; Oropallo, E.; Secundo, G. Blockchain technology for bridging trust, traceability and transparency in circular supply chain. Inf. Manag. 2022, 59, 103508. [Google Scholar] [CrossRef]
- Kittipanya-ngam, P.; Tan, K.H. A framework for food supply chain digitalization: Lessons from Thailand. Prod. Plan. Control. 2019, 31, 158–172. [Google Scholar] [CrossRef]
- Liu, Z.; Li, Z. A blockchain-based framework of cross-border e-commerce supply chain. Int. J. Inf. Manag. 2020, 52, 102059. [Google Scholar] [CrossRef]
- Fan, Z.-P.; Wu, X.-Y.; Cao, B.-B. Considering the traceability awareness of consumers: Should the supply chain adopt the blockchain technology? Ann. Oper. Res. 2020, 309, 837–860. [Google Scholar] [CrossRef]
- Cao, S.; Powell, W.; Foth, M.; Natanelov, V.; Miller, T.; Dulleck, U. Strengthening consumer trust in beef supply chain traceability with a blockchain-based human-machine reconcile mechanism. Comput. Electron. Agric. 2021, 180, 105886. [Google Scholar] [CrossRef]
- Zhu, Z.; Chu, F.; Dolgui, A.; Chu, C.; Zhou, W.; Piramuthu, S. Recent advances and opportunities in sustainable food supply chain: A model-oriented review. Int. J. Prod. Res. 2018, 56, 5700–5722. [Google Scholar] [CrossRef]
- Tian, F. An agri-food supply chain traceability system for China based on RFID & blockchain technology. In Proceedings of the 2016 13th international Conference on Service Systems and Service Management (ICSSSM), Kunming, China, 24–26 June 2016; pp. 1–6. [Google Scholar]
- Behnke, K.; Janssen, M. Boundary conditions for traceability in food supply chains using blockchain technology. Int. J. Inf. Manag. 2020, 52, 101969. [Google Scholar] [CrossRef]
- George, R.V.; Harsh, H.O.; Ray, P.; Babu, A.K. Food quality traceability prototype for restaurants using blockchain and food quality data index. J. Clean. Prod. 2019, 240, 118021. [Google Scholar] [CrossRef]
- Zheng, X.R.; Lu, Y. Blockchain technology—Recent research and future trend. Enterp. Inf. Syst. 2021, 16, 1939895. [Google Scholar] [CrossRef]
- Antonucci, F.; Figorilli, S.; Costa, C.; Pallottino, F.; Raso, L.; Menesatti, P. A review on blockchain applications in the agri-food sector. J. Sci. Food Agric. 2019, 99, 6129–6138. [Google Scholar] [CrossRef]
- Salah, K.; Nizamuddin, N.; Jayaraman, R.; Omar, M. Blockchain-Based Soybean Traceability in Agricultural Supply Chain. IEEE Access 2019, 7, 73295–73305. [Google Scholar] [CrossRef]
- Wang, J.; Zhang, X.; Xu, J.; Wang, X.; Li, H.; Zhao, Z.; Kong, J. Blockchain-Based Information Supervision Model for Rice Supply Chains. Comput. Intell. Neurosci. 2022, 2022, 2914571. [Google Scholar] [CrossRef] [PubMed]
- Wu, X.-Y.; Fan, Z.-P.; Cao, B.-B. An analysis of strategies for adopting blockchain technology in the fresh product supply chain. Int. J. Prod. Res. 2021, 1–18. [Google Scholar] [CrossRef]
- Hu, S.; Huang, S.; Huang, J.; Su, J. Blockchain and edge computing technology enabling organic agricultural supply chain: A framework solution to trust crisis. Comput. Ind. Eng. 2021, 153, 107079. [Google Scholar] [CrossRef]
- Wang, F.; Xu, Y. Evolutionary Game Analysis of the Quality of Agricultural Products in Supply Chain. Agriculture 2022, 12, 1575. [Google Scholar] [CrossRef]
- Kamble, S.S.; Gunasekaran, A.; Sharma, R. Modeling the blockchain enabled traceability in agriculture supply chain. Int. J. Inf. Manag. 2020, 52, 101967. [Google Scholar] [CrossRef]
- Yuan, M.; Li, Z.; Li, X.; Li, L.; Zhang, S.; Luo, X. How to promote the sustainable development of prefabricated residential buildings in China: A tripartite evolutionary game analysis. J. Clean. Prod. 2022, 349, 131423. [Google Scholar] [CrossRef]
- Wang, S.; Xu, Y. Complex Network-Based Evolutionary Game for Knowledge Transfer of Social E-Commerce Platform Enterprise’s Operation Team under Strategy Imitation Preferences. Sustainability 2022, 14, 15383. [Google Scholar] [CrossRef]
- Xuan, S.; Zheng, L.; Chung, I.; Wang, W.; Man, D.; Du, X.; Yang, W.; Guizani, M. An incentive mechanism for data sharing based on blockchain with smart contracts. Comput. Electr. Eng. 2020, 83, 106587. [Google Scholar] [CrossRef]
- Motepalli, S.; Jacobsen, H.-A. Reward mechanism for blockchains using evolutionary game theory. In Proceedings of the 2021 3rd Conference on Blockchain Research & Applications for Innovative Networks and Services (BRAINS), Paris, France, 27–30 September 2021; pp. 217–224. [Google Scholar]
- Xiong, H.; Dalhaus, T.; Wang, P.; Huang, J. Blockchain Technology for Agriculture: Applications and Rationale. Front. Blockchain 2020, 3, 7. [Google Scholar] [CrossRef]
- Hameed, M.A.; Counsell, S.; Swift, S. A conceptual model for the process of IT innovation adoption in organizations. J. Eng. Technol. Manag. 2012, 29, 358–390. [Google Scholar] [CrossRef]
- Laborde, D.; Martin, W.; Swinnen, J.; Vos, R. COVID-19 risks to global food security. Science 2020, 369, 500–502. [Google Scholar] [CrossRef] [PubMed]
- Ritzberger, K.; Weibull, J.W. Evolutionary Selection in Normal-Form Games. Econometrica 1995, 63, 1371–1399. [Google Scholar] [CrossRef]
- Lyapunov, A.M. The general problem of the stability of motion. Int. J. Control. 1992, 55, 531–534. [Google Scholar] [CrossRef]
Disclaimer/Publisher’s Note: The statements, opinions and data contained in all publications are solely those of the individual author(s) and contributor(s) and not of MDPI and/or the editor(s). MDPI and/or the editor(s) disclaim responsibility for any injury to people or property resulting from any ideas, methods, instructions or products referred to in the content. |
© 2023 by the authors. Licensee MDPI, Basel, Switzerland. This article is an open access article distributed under the terms and conditions of the Creative Commons Attribution (CC BY) license (https://creativecommons.org/licenses/by/4.0/).













