Effect of Sheath Blade Removal on Phyllostachys violascens Shoot Quality
Abstract
:1. Introduction
2. Materials and Methods
2.1. Experimental Site
2.2. Experimental Method
2.3. Measurements
2.4. Determination of Physiological Indicators
2.5. Statistical Analysis
3. Results
3.1. Effects of Sheath Blade Removal on Bamboo Shoot Morphology and Edible Rates
3.2. Effects of Sheath Blade Removal on Bamboo Shoot Nutritional Quality
3.3. Effects of Sheath Blade Removal on Bamboo Shoot Protein Nutritional Values
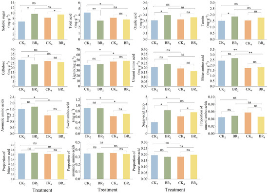
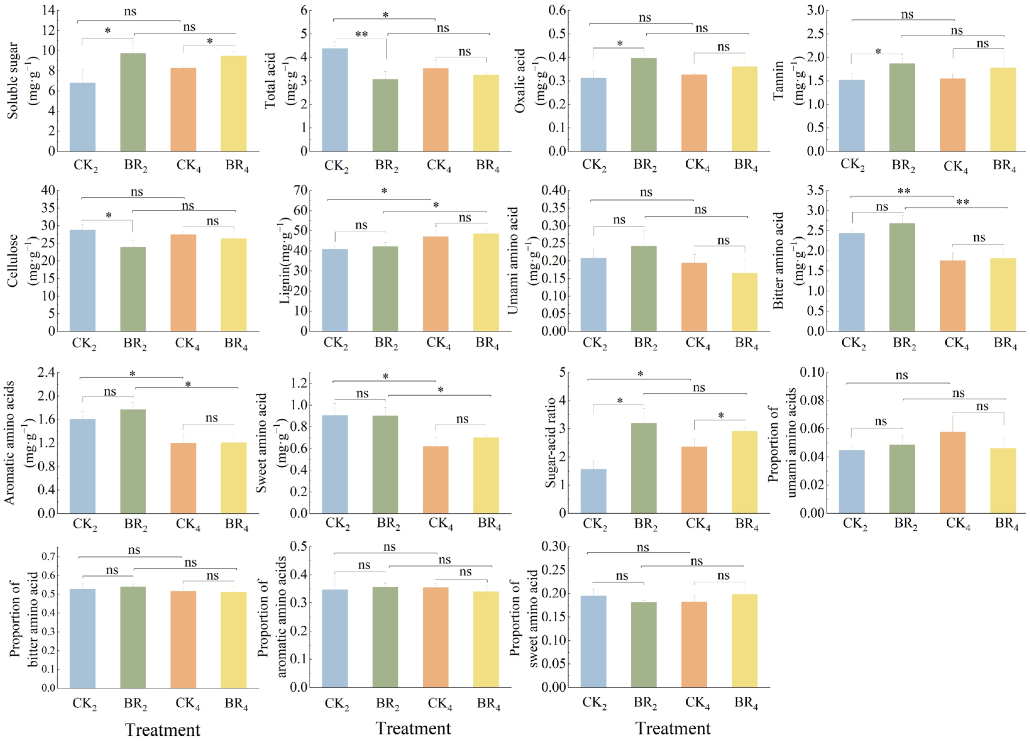
3.4. Effects of Sheath Blade Removal on the Taste Quality of Bamboo Shoots
4. Discussion
5. Conclusions
Author Contributions
Funding
Institutional Review Board Statement
Informed Consent Statement
Data Availability Statement
Conflicts of Interest
References
- Xu, S.; Yang, L.; Chen, S.; Guo, Z.; Gu, R. Review on the formation of bamboo shoot palatability and its main influencing factors. J. Zhejiang A F Univ. 2021, 38, 403–411. [Google Scholar]
- Basumatary, A.; Middha, S.K.; Usha, T.; Basumatary, A.K.; Brahma, B.K.; Goyal, A.K. Bamboo shoots as a nutritive boon for Northeast India: An overview. 3 Biotech 2017, 7, 169. [Google Scholar] [CrossRef] [PubMed]
- Guo, Z.; Yang, L.; Lin, H.; Chen, S.; Yang, Q. Effect of altitude on the variation of appearance, nutrition, and taste for bamboo shoots of Pleioblastus amarus in Shaxian, Fujian Province. Chin. J. Ecol. 2019, 38, 83–88. [Google Scholar]
- Zheng, Y.; Gao, P.; Wu, Z.; Chen, L.; Wu, D. Effect of fertilization on nutrient components of bamboo shoot and leaves nutrient status shoot emergence stages in Dendrocalamopsis oldhami. Sci. Silvae Sin. 2004, 40, 79–84. [Google Scholar]
- Dong, W.; Huang, B.; Xie, Z.; Liu, H. The effects of density regulation and rotational harvesting shoot on the shoot and young bamboo growth of Qiongzhuea tumidinoda forest. Sci. Silvae Sin. 2002, 38, 78–82. [Google Scholar]
- Yang, Q.; Zhang, F.; Liu, X.; Wang, X.; Zhang, N.; Ge, Z. Research progress on regulation mechanism for the process of water transport in plants. Acta Ecol. Sin. 2011, 31, 4427–4436. [Google Scholar]
- Wang, S.; Zhan, H.; Li, P.; Chu, C.; Wang, C. Physiological mechanism of internode bending growth after the excision of shoot sheath in Fargesia yunnanensis and its implications for understanding the rapid growth of bamboos. Front. Plant Sci. 2020, 11, 418. [Google Scholar] [CrossRef]
- Rowland, S.D.; Zumstein, K.; Nakayama, H.; Cheng, Z.; Sinha, N.R. Leaf shape is a predictor of fruit quality and cultivar performance in tomato. New Phytol. 2019, 226, 851–865. [Google Scholar] [CrossRef]
- Wang, Z.; Chen, Y.; Gong, R.; Wang, C.; Li, H.; Huang, D.; Zhou, D.; Zhao, L.; Pan, Y.; Yang, Y.; et al. Correlation between SPAD value of flag leaf and rice quality of high quality indicarice. Chin. J. Rice Sci. 2021, 35, 89–97. [Google Scholar]
- Xu, S.; Gu, R.; Chen, S.; Guo, Z.; Yang, L.; Dong, Y. Interspecific differences in morphological traits of sheath leaves and their relationships with taste quality indices of bamboo shoots. Chin. J. Ecol. 2022, 41, 270–277. [Google Scholar]
- Zhang, Z.; Ding, X.; Cui, F.; Cai, H. Impact of avoiding light on bitterness and astringency, tannin content, morphology and distribution of Dendrocalamus latiflorus. For. Res. 2016, 29, 770–777. [Google Scholar]
- Guo, Z.; Chen, S.; Yang, Q.; Li, Y.; Zhuang, M. Effects of mulching management on soil and foliar C, N and P stoichiometry in bamboo (Phyllostachys violascens). J. Trop. For. Sci. 2014, 26, 572–580. [Google Scholar]
- Xu, S.; Gu, R.; Chen, S.; Guo, Z.; Yang, L. Changes and correlation of sheath leaf traits and taste quality of Phyllostachys violascens ‘Prevernalis’ shoots under mulching. Sci. Silvae Sin. 2021, 38, 403–411. [Google Scholar]
- Mo, R.; Wang, F.; Ni, Z.; Tang, F.; Shao, S.; Deng, J. Simultaneous determination of sugar, organic acids, and vitamin C in agricultural products by ion-exclusion chromatography with refractive index and diode array detectors. Mod. Food Sci. Technol. 2016, 32, 277–282+287. [Google Scholar]
- Mo, R.; Tang, F.; Ding, M.; Qu, M.; Ni, Z.; Shen, D.; Zhong, D. Determination of free amino acids in bamboo shoot by amino acids analyzer. Chemistry 2012, 75, 1126–1131. [Google Scholar]
- Wang, Y.; Xu, W. Quantitative analysis procedure of hemicellulose, cellulose and lignin in lignocellulose solid matrix fermentation. Microbiol. China 1987, 14, 35–38. [Google Scholar]
- Consultation, J.F. Protein and Amino Acid Requirements in Human Nutrition; World Health Organization Technical Report Series; World Health Organization: Geneva, Switzerland, 2007; Volume 935, pp. 1–265. [Google Scholar]
- Shi, J.; Zhang, C.; Chen, S.; Gu, R.; Guo, Z.; Ye, H.; Sun, P.; Jiang, Z. Temporal variation of appearance, nutrition and eating quality of Phyllostachys prominens shoots after unearthed. For. Res. 2019, 32, 137–143. [Google Scholar]
- Li, R.; He, M.; Dao, D.; Xiang, M.; Sun, A.; Yang, Q. The bamboo shooting and young bamboo growth rhythm of Dendrocalamus hamiltonii. Genomics Appl. Biol. 2010, 29, 735–739. [Google Scholar]
- Tao, G.; Fu, Y.; Zhou, M. Advances in studies on molecular mechanisms of rapid growth of bamboo species. J. Agric. Biotechnol. 2018, 26, 871–887. [Google Scholar]
- Shi, J.; Gu, R.; Chen, S.; Zhang, C.; Guo, Z. The effect of altitude on the protein nutritional value of Phyllostachys prominens bamboo shoots. Acta Agric. Univ. Jiangxiensis 2019, 41, 308–315. [Google Scholar]
- Christian, A.L.; Knott, K.K.; Vance, C.K.; Falcone, J.F.; Bauer, L.L.; Fahey, G.C.; Willard, S.; Kouba, A.J. Nutrient and mineral composition during shoot growth in seven species of Phyllostachys and Pseudosasa bamboo consumed by giant panda. J. Anim. Physiol. Anim. Nutr. 2015, 99, 1172–1183. [Google Scholar] [CrossRef] [PubMed]
- Marinho, G.S.; Holdt, S.L.; Angelidaki, I. Seasonal variations in the amino acid profile and protein nutritional value of Saccharina latissima cultivated in a commercial IMTA system. J. Appl. Phycol. 2015, 27, 1991–2000. [Google Scholar] [CrossRef]
- Aneta, T.; Magdalena, Z.D.; Dorota, P.K.; Eleonora, L.S. Blue lupine seeds protein content and amino acids composition. Plant Soil Environ. 2018, 64, 147–155. [Google Scholar] [CrossRef]
- Kowalczewski, P.U.; Olejnik, A.; Biaas, W.; Rybicka, I.; Zielińska-Dawidziak, M.; Siger, A.; Kubiak, P.; Lewandowicz, G. The nutritional value and biological activity of concentrated protein fraction of potato juice. Nutrients 2019, 11, 1523. [Google Scholar] [CrossRef] [PubMed]
- Farag, S.E.; Salem, R.; Gamal, H. Evaluation of Chemical composition and nutrition value of two varieties of flaxseed meal and oil. J. Food Ind. Nutr. Sci. 2012, 2, 197–208. [Google Scholar]
- Zhai, F.; Liu, H.; Han, J. Protein nutritional value, polyphenols and antioxidant properties of corn fermented with Agaricus brasiliensis and Agaricus bisporus. World J. Microbiol. Biotechnol. 2018, 34, 36. [Google Scholar] [CrossRef]
- Kralik, G.; Kralik, Z. Poultry products enriched with nutricines have beneficial effects on human health. Med. Glas. 2017, 14, 1–7. [Google Scholar]
- Yang, X.; Zhang, W.; Zhao, N.; Chen, F.; Wei, J.; Fu, T.; Zhou, G.; Li, X. Forage amino acid composition and nutrition of Brassica napus L. cv Huayouza 62 in different growth stages. Chin. J. Oil Crop Sci. 2017, 39, 197–203. [Google Scholar]
- Gao, Q.; Jiang, H.; Tang, F.; Cao, H.; Wu, X.; Qi, F.; Sun, J.; Yang, J. Evaluation of the bitter components of bamboo shoots using a metabolomics approach. Food Funct. 2019, 10, 90–98. [Google Scholar] [CrossRef]
- Wang, S.; Pei, J.; Li, J.; Tang, G.; Zhao, J.; Peng, X.; Nie, S.; Ding, Y.; Wang, C. Sucrose and starch metabolism during Fargesia yunnanensis shoot growth. Physiol. Plant. 2020, 168, 188–204. [Google Scholar] [CrossRef]
- Toit, E.; Sithole, J.; Vorster, J. Leaf harvesting severity affects total phenolic and tannin content of fresh and dry leaves of Moringa oleifera Lam. trees growing in Gauteng, South Africa. South Afr. J. Bot. 2020, 129, 336–340. [Google Scholar] [CrossRef]
- Liu, X.; Chen, C.; Wang, G.; Li, Z.; Ge, F. Progress in induced resistance of pines. Sci. Silvae Sin. 2003, 39, 119–128. [Google Scholar]
- Zhang, B.; Oakes, A.D.; Newhouse, A.E.; Baier, K.M.; Maynard, C.A.; Powell, W.A. A threshold level of oxalate oxidase transgene expression reduces Cryphonectria parasitica-induced necrosis in a transgenic American chestnut (Castanea dentata) leaf bioassay. Transgenic Res. 2013, 22, 973–982. [Google Scholar] [CrossRef] [PubMed]
- Yuan, H.; Yan, S.; Tong, L.; Gao, L.; Wang, Y. Content differences of condensed tannin in needles of Larix gmelinii by cutting needles and insect feeding. Acta Ecol. Sin. 2009, 29, 1415–1420. [Google Scholar]
- Wang, Y.; Ge, F.; Li, Z. Spatial-tempetial trends of induced chemical change in pine Pinus massoniana. Acta Ecol. Sin. 2001, 21, 1256–1261. [Google Scholar]
- Cui, K.; He, C.; Zhang, J.; Duan, A.; Zeng, Y. Temporal and spatial profiling of internode elongation-associated protein expression in rapidly growing culms of bamboo. J. Proteome Res. 2012, 11, 2492–2507. [Google Scholar] [CrossRef]
- Xu, Y.; Hao, P.; Fei, B. Dynamic change of anatomical structure and chemical constitutes of bamboo shoots for Phyllostachys pubescence at developmental stage. J. Northeast For. Univ. 2008, 36, 8–11. [Google Scholar]





| Indexes | Sheath Blade Removal | Duration | Sheath Blade Removal × Duration | |||
|---|---|---|---|---|---|---|
| F | p | F | p | F | p | |
| Length | 3.871 | 0.085 | 178.912 | 0.000 | 2.846 | 0.130 |
| Base diameter | 2.170 | 0.179 | 2.880 | 0.128 | 0.043 | 0.842 |
| Individual weight | 3.857 | 0.085 | 29.879 | 0.001 | 0.309 | 0.593 |
| Edible rate | 0.551 | 0.479 | 1.087 | 0.328 | 0.003 | 0.960 |
| Indexes | Sheath Blade Removal | Duration | Sheath Blade Removal × Duration | |||
|---|---|---|---|---|---|---|
| F | p | F | p | F | p | |
| Protein | 0.045 | 0.837 | 7.755 | 0.024 | 0.826 | 0.390 |
| Starch | 0.483 | 0.507 | 1.342 | 0.280 | 0.029 | 0.869 |
| Total amino acid | 2.266 | 0.171 | 70.631 | 0.000 | 0.343 | 0.574 |
| Essential amino acid | 1.645 | 0.236 | 59.220 | 0.000 | 0.885 | 0.374 |
| Proportion of essential amino acid | 0.340 | 0.576 | 0.085 | 0.778 | 0.766 | 0.407 |
| Indexes | Sheath Blade Removal | Duration | Sheath Blade Removal × Duration | |||
|---|---|---|---|---|---|---|
| F | p | F | p | F | p | |
| Thr score | 0.287 | 0.607 | 3.324 | 0.106 | 0.069 | 0.799 |
| Val score | 0.719 | 0.421 | 35.673 | 0.000 | 1.531 | 0.251 |
| Ile score | 1.971 | 0.198 | 0.733 | 0.417 | 0.847 | 0.384 |
| Leu score | 1.801 | 0.216 | 0.032 | 0.862 | 0.104 | 0.755 |
| Lys score | 1.392 | 0.272 | 3.916 | 0.083 | 0.009 | 0.928 |
| Met + Cys score | 0.014 | 0.908 | 6.504 | 0.034 | 1.920 | 0.203 |
| Phe + Tyr score | 1.062 | 0.333 | 19.078 | 0.002 | 0.011 | 0.919 |
| Total essential amino acid score | 0.839 | 0.386 | 5.970 | 0.043 | 0.002 | 0.967 |
| Essential amino acid index | 0.815 | 0.393 | 0.554 | 0.478 | 0.137 | 0.721 |
| Nutrition index | 1.920 | 0.203 | 4.935 | 0.057 | 1.330 | 0.282 |
| Closeness degree | 0.901 | 0.370 | 6.090 | 0.039 | 0.000 | 1.000 |
| Indexes | Sheath Blade Removal | Duration | Sheath Blade Removal ×Duration | |||
|---|---|---|---|---|---|---|
| F | p | F | p | F | p | |
| Soluble sugar | 14.357 | 0.005 | 1.210 | 0.303 | 2.525 | 0.151 |
| Total acid | 22.794 | 0.001 | 4.071 | 0.078 | 9.464 | 0.015 |
| Sugar–acid ratio | 29.887 | 0.001 | 1.715 | 0.227 | 7.289 | 0.027 |
| Oxalic acid | 9.961 | 0.013 | 0.330 | 0.581 | 1.735 | 0.224 |
| Tannin | 6.470 | 0.035 | 0.078 | 0.787 | 0.267 | 0.620 |
| Cellulose | 9.467 | 0.015 | 0.333 | 0.580 | 3.404 | 0.102 |
| Lignin | 0.855 | 0.382 | 19.324 | 0.002 | 0.001 | 0.979 |
| Umami amino acid | 0.015 | 0.904 | 5.181 | 0.052 | 2.447 | 0.156 |
| Bitter amino acid | 2.006 | 0.194 | 51.460 | 0.000 | 0.725 | 0.419 |
| Aromatic amino acids | 1.037 | 0.338 | 34.252 | 0.000 | 0.894 | 0.372 |
| Sweet amino acid | 0.681 | 0.433 | 26.727 | 0.001 | 0.790 | 0.400 |
| Proportion of umami amino acids | 0.714 | 0.423 | 1.312 | 0.285 | 2.785 | 0.134 |
| Proportion of bitter amino acid | 0.083 | 0.780 | 1.714 | 0.227 | 0.383 | 0.553 |
| Proportion of aromatic amino acids | 0.028 | 0.870 | 0.087 | 0.775 | 0.519 | 0.492 |
| Proportion of sweet amino acid | 0.036 | 0.854 | 0.077 | 0.789 | 4.108 | 0.077 |
Publisher’s Note: MDPI stays neutral with regard to jurisdictional claims in published maps and institutional affiliations. |
© 2022 by the authors. Licensee MDPI, Basel, Switzerland. This article is an open access article distributed under the terms and conditions of the Creative Commons Attribution (CC BY) license (https://creativecommons.org/licenses/by/4.0/).
Share and Cite
Xu, S.; Chen, S.; Guo, Z.; He, Y.; Yang, L.; Dong, Y.; Xie, Y.; Zhang, J. Effect of Sheath Blade Removal on Phyllostachys violascens Shoot Quality. Agriculture 2022, 12, 1396. https://doi.org/10.3390/agriculture12091396
Xu S, Chen S, Guo Z, He Y, Yang L, Dong Y, Xie Y, Zhang J. Effect of Sheath Blade Removal on Phyllostachys violascens Shoot Quality. Agriculture. 2022; 12(9):1396. https://doi.org/10.3390/agriculture12091396
Chicago/Turabian StyleXu, Sen, Shuanglin Chen, Ziwu Guo, Yuyou He, Liting Yang, Yawen Dong, Yanyan Xie, and Jingrun Zhang. 2022. "Effect of Sheath Blade Removal on Phyllostachys violascens Shoot Quality" Agriculture 12, no. 9: 1396. https://doi.org/10.3390/agriculture12091396
APA StyleXu, S., Chen, S., Guo, Z., He, Y., Yang, L., Dong, Y., Xie, Y., & Zhang, J. (2022). Effect of Sheath Blade Removal on Phyllostachys violascens Shoot Quality. Agriculture, 12(9), 1396. https://doi.org/10.3390/agriculture12091396

