Effects of Combined Main Ditch and Field Ditch Control Measures on Crop Yield and Drainage Discharge in the Northern Huaihe River Plain, Anhui Province, China
Abstract
:1. Introduction
2. Materials and Methods
2.1. Study Area
2.2. Brief Introduction to the ODCDCYSM
2.2.1. Surface Runoff
2.2.2. Groundwater Movement
2.2.3. Evapotranspiration
2.2.4. Crop Growth Model
2.3. Crop yield and Regional Drainage Discharge
2.4. Scenario Simulation Settings
2.4.1. Single-Factor Main Ditch Water Depth Control Schemes
2.4.2. Single-Factor Field Ditch Schemes
2.4.3. Combined Control Scheme Settings
3. Results and Discussion
3.1. Model Calibration and Validation
3.1.1. Main Ditch Water Level
3.1.2. Groundwater Level
3.1.3. Crop Yield
3.2. Effects of Single-Factor Main Ditch and Field Ditch Control Schemes on Crop Yield and Q
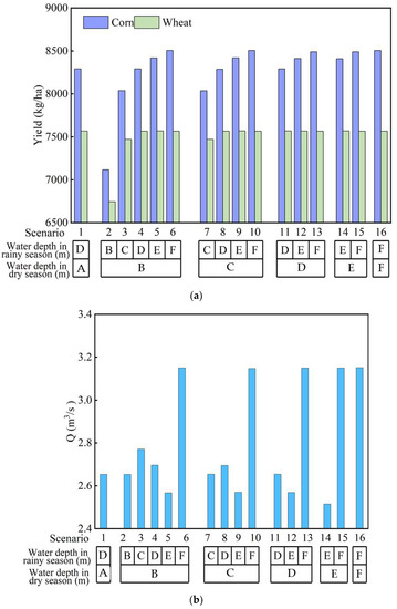
3.2.1. Effects of Single-Factor Main Ditch Water Depth Control on Crop Yield and Q
- (1)
- Effects of Single-Factor Main Ditch Water Depth Control on Crop Yield
- (2)
- Effects of Single-Factor Main Ditch Water Depth Control on Q
3.2.2. Effects of Single-Factor Field Ditch Control Schemes on Crop Yield and Q
- (1)
- Effect of Drainage Spacings of Field Ditches
- (2)
- Effect of Field Ditch Drainage Depth
- (3)
- Effect of Field Ditch Weir Height
- (4)
- Optimal Scenario Analysis of Single-Factor Field Ditch Schemes
3.3. Effects of Combined Control Schemes for Main Ditch and Field Ditch on Crop Yield and Q
3.3.1. Effects of Combined Control Schemes on Crop Yield
3.3.2. Effects of Combined Control Schemes on Q
4. Conclusions
- (1)
- The ODCDCYSM could accurately simulate the changes in groundwater level, main ditch water level and crop yields in the study area. The model provides an effective tool to quantify the effect on main and field ditches on regional drought and waterlogging situation reflected by crop yields and Q.
- (2)
- Uppermost and downmost limits of main ditch water depth (UDLMDWD) in the dry season had little effect on corn and wheat yields and Q. The yield of crops increased with a decrease in UDLMDWD in the rainy season. The scenarios with larger Q values occurred when the UDLMDWD in the rainy season was low, and the Q increased by approximately 18.7% compared with the current situation.
- (3)
- The crop yield and Q increased with an increase in the drainage spacing and drainage depth of the field ditch. With an increase in weir height, the crop yield and Q decreased. The corn and wheat yields were most affected by the weir height, followed by the drainage spacing and drainage depth of the field ditch. The wheat yield was less affected by changes in field ditch schemes.
- (4)
- Combined control schemes could further improve the crop yield compared with either main ditch schemes or three-field ditch schemes. The effect of main ditch schemes was greater than that of field ditch schemes. Comparing corn and wheat, the corn yield increased by more than the wheat yield. Among the different schemes, the most significant yield increases occurred in the combination of main ditch schemes (M1–M4) and field ditch scheme F3 (with drainage spacing 400 m, drainage depth 1.6 m, ratio of weir height to drainage depth 1/2). The combined control schemes could further reduce the Q, and the effect on Q was greater for the field ditch schemes than for the main ditch schemes. The most significant reduction effects of Q occurred in the combination of main ditch schemes (M1–M4) and field ditch scheme F1 (drainage spacing 250 m, drainage depth 1.6 m, ratio of weir height to drainage depth 1/2).
- (5)
- The combined scheme that achieved both increased crop yields and decreased Q was M4F3 (main ditch: sluices were the opened and closed at the ditch water depths of 3.5 m and 2.5 m in the dry season and at 3 m and 2 m in rainy the season; field ditch: drainage spacing 400 m, drainage depth 1.6 m, ratio of weir height to drainage depth 1/2).
Supplementary Materials
Author Contributions
Funding
Institutional Review Board Statement
Informed Consent Statement
Data Availability Statement
Acknowledgments
Conflicts of Interest
References
- Etkin, D.; Medalye, J.; Higuchi, K. Climate warming and natural disaster management: An exploration of the issues. Clim. Chang. 2012, 112, 585–599. [Google Scholar] [CrossRef]
- Schiermeier, Q. Droughts, heatwaves and floods: How to tell when climate change is to blame. Nature 2018, 560, 20–22. [Google Scholar] [CrossRef] [PubMed]
- Lesk, C.; Rowhani, P.; Ramankutty, N. Influence of extreme weather disasters on global crop production. Nature 2016, 529, 84–87. [Google Scholar] [CrossRef] [PubMed]
- Chen, H.; Liang, Z.; Liu, Y.; Jiang, Q.; Xie, S. Effects of drought and flood on crop production in China across 1949–2015: Spatial heterogeneity analysis with Bayesian hierarchical modeling. Nat. Hazards 2018, 92, 525–541. [Google Scholar] [CrossRef]
- Zhang, Q.; Gu, X.; Singh, V.P.; Kong, D.; Chen, X. Spatiotemporal behavior of floods and droughts and their impacts on agriculture in China. Glob. Planet. Chang. 2015, 131, 63–72. [Google Scholar] [CrossRef]
- Venkatappa, M.; Sasaki, N.; Han, P.; Abe, I. Impacts of droughts and floods on croplands and crop production in Southeast Asia—An application of Google Earth Engine. Sci. Total Environ. 2021, 795, 148829. [Google Scholar] [CrossRef] [PubMed]
- Konar, M.; Dalin, C.; Suweis, S.; Hanasaki, N.; Rinaldo, A.; Rodriguez-Iturbe, I. Water for food: The global virtual water trade network. Water Resour. Res. 2011, 47, W05520. [Google Scholar] [CrossRef]
- Fader, M.; Gerten, D.; Thammer, M.; Heinke, J.; Lotze-Campen, H.; Lucht, W.; Cramer, W. Internal and external green-blue agricultural water footprints of nations, and related water and land savings through trade. Hydrol. Earth Syst. Sci. 2011, 15, 1641–1660. [Google Scholar] [CrossRef]
- United Nations Transforming Our World: The 2030 Agenda for Sustainable Development. Available online: https://sdgs.un.org/2030agenda (accessed on 8 June 2022).
- Shahzad, A.; Ullah, S.; Dar, A.A.; Fahad Sardar, M.; Mehmood, T.; Tufail, M.A.; Shakoor, A.; Haris, M. Nexus on Climate Change: Agriculture and Possible Solution to Cope Future Climate Change Stresses. Environ. Sci. Pollut. Res. 2021, 28, 14211–14232. [Google Scholar] [CrossRef] [PubMed]
- Naftchali, A.D.; Jelodar, M.B.; Kholerdi, F.M.; Moftikolaei, M.A. Assessing socio-environmental sustainability at the level of irrigation and drainage network. Sci. Total Environ. 2020, 731, 138927. [Google Scholar] [CrossRef]
- Paiao, G.D.; Fernández, F.G.; Naeve, S.L. Drainage Conditions Influence Corn-Nitrogen Management in the US Upper Midwest. Agronomy 2021, 11, 2491. [Google Scholar] [CrossRef]
- Wang, Z.; Shao, G.; Lu, J.; Zhang, K.; Gao, Y.; Ding, J. Effects of controlled drainage on crop yield, drainage water quantity and quality: A meta-analysis. Agric. Water Manag. 2020, 239, 106253. [Google Scholar] [CrossRef]
- Skaggs, R.W.; Fausey, N.R.; Evans, R.O. Drainage water management. J. Soil Water Conserv. 2012, 67, 167A–172A. [Google Scholar] [CrossRef]
- Tan, C.S.; Drury, C.F.; Soultani, M.; van Wesenbeeck, I.J.; Ng, H.Y.F.; Gaynor, J.D.; Welacky, T.W. Controlled Drainage and Subirrigation Effects on Crop Yields and Water Quality. In Proceedings of the Drainage in the 21st Century: Food Production and the Environment, Orland, FL, USA, 8–10 March 1998; pp. 676–683. [Google Scholar]
- Jouni, H.J.; Liaghat, A.; Hassanoghli, A.; Henk, R. Managing controlled drainage in irrigated farmers’ fields: A case study in the Moghan plain, Iran. Agric. Water Manag. 2018, 208, 393–405. [Google Scholar] [CrossRef]
- Shaoli, W.; Xiugui, W.; Brown, L.C.; Xingye, Q. Current status and prospects of agricultural drainage in China. Irrig. Drain. 2007, 56, S47–S58. [Google Scholar] [CrossRef]
- Youssef, M.A.; Abdelbaki, A.M.; Negm, L.M.; Skaggs, R.; Thorp, K.R.; Jaynes, D.B. DRAINMOD-simulated performance of controlled drainage across the U.S. Midwest. Agric. Water Manag. 2018, 197, 54–66. [Google Scholar] [CrossRef]
- Li, S.; Luo, W.; Jia, Z.; Tang, S.; Chen, C. The effect of natural rainfall on salt leaching under watertable management. Land Degrad. Dev. 2018, 29, 1953–1961. [Google Scholar] [CrossRef]
- Jia, Z.; Luo, W.; Fang, S.; Wang, N.; Wang, L. Evaluating current drainage practices and feasibility of controlled drainage in the YinNan Irrigation District, China. Agric. Water Manag. 2006, 84, 20–26. [Google Scholar] [CrossRef]
- Parsons, J.; Skaggs, R.; Doty, C. Simulation of controlled drainage in open-ditch drainage systems. Agric. Water Manag. 1990, 18, 301–316. [Google Scholar] [CrossRef]
- Kröger, R.; Cooper, C.; Moore, M. A preliminary study of an alternative controlled drainage strategy in surface drainage ditches: Low-grade weirs. Agric. Water Manag. 2008, 95, 678–684. [Google Scholar] [CrossRef]
- Wang, Y.; Wang, X.; Tang, G. Effects of Controlled Drainage of Main Ditch on Groundwater Table. Tran. Chin. Soc. Agr. Eng. 2008, 6, 74–77. [Google Scholar] [CrossRef]
- Wang, Y.; Yu, F.; Shen, T. Study on the Technique and Effect of Controlled Drainage through the Main Drainage Ditch. J. Hydraul. Eng. 2013, 6, 104–110. [Google Scholar] [CrossRef]
- Tang, R.; Han, X.; Wang, X.; Huang, S.; Yan, Y.; Huang, J.; Shen, T.; Wang, Y.; Liu, J. Optimized Main Ditch Water Control for Agriculture in Northern Huaihe River Plain, Anhui Province, China, Using MODFLOW Groundwater Table Simulations. Water 2022, 14, 29. [Google Scholar] [CrossRef]
- Ren, X.; Wang, S.; Yang, P.; Tao, Y.; Chen, H. Performance Evaluation of Different Combined Drainage Forms on Flooding and Waterlogging Removal. Water 2021, 13, 2968. [Google Scholar] [CrossRef]
- Guan, X.; Zang, Y.; Meng, Y.; Liu, Y.; Lv, H.; Yan, D. Study on spatiotemporal distribution characteristics of flood and drought disaster impacts on agriculture in China. Int. J. Disaster Risk Reduct. 2021, 64, 102504. [Google Scholar] [CrossRef]
- Gao, C.; Zhang, Z.; Zhai, J.; Liu, Q.; Yao, M. Research on meteorological thresholds of drought and flood disaster: A case study in the Huai River Basin, China. Stoch. Environ. Res. Risk Assess. 2015, 29, 157–167. [Google Scholar] [CrossRef]
- Chou, J.; Xian, T.; Dong, W.; Xu, Y. Regional Temporal and Spatial Trends in Drought and Flood Disasters in China and Assessment of Economic Losses in Recent Years. Sustainability 2019, 11, 55. [Google Scholar] [CrossRef]
- Ojara, M.A.; Yunsheng, L.; Babaousmail, H.; Sempa, A.K.; Ayugi, B.; Ogwang, B.A. Evaluation of Drought, Wet Events, and Climate Variability Impacts on Maize Crop Yields in East Africa During 1981–2017. Int. J. Plant Prod. 2022, 16, 41–62. [Google Scholar] [CrossRef]
- Ministry of Water Resources. China Flood and Drought Disaster Bulletin; China Water and Power Press: Beijing, China, 2018; pp. 50–54. [Google Scholar]
- Zhang, Q.; Zhang, J.; Yan, D.; Wang, Y. Extreme precipitation events identified using detrended fluctuation analysis (DFA) in Anhui, China. Theor. Appl. Climatol. 2013, 117, 169–174. [Google Scholar] [CrossRef]
- Zhu, H.; Wu, H.Z.; Zhang, L.P. Different Types of Disasters in Recent 10 Years in Anhui and Their Trend. J. Catastrophol. 2003, 18, 64–70. [Google Scholar]
- Jing, W.; Luo, W.; Wen, J.; Jia. Zhonghua Analysis on the Effect of Controlled Drainage and Supplemental Irrigation on Crop Yield and Drainage. J. Hydraul. Eng. 2009, 40, 1140–1146. [Google Scholar]
- Šimůnek, J.; Šejna, M.; Saito, H.; Sakai, M.; van Genuchten, M.T. The HYDRUS-1D Software Package for Simulating the One-Dimensional Movement of Water, Heat, and Multiple Solutes in Variably-Saturated Media; Version 4.17; Šimůnek, J., Ed.; Department of Environmental Sciences, University of California Riverside: Riverside, CA, USA, 2013. [Google Scholar]
- Michel, C.; Andréassian, V.; Perrin, C. Soil Conservation Service Curve Number method: How to mend a wrong soil moisture accounting procedure? Water Resour. Res. 2005, 41, 1–6. [Google Scholar] [CrossRef]
- Harbaugh, A.W.; Banta, E.R.; Hill, M.C.; Mcdonald, M.G. MODFLOW-2005, the U.S. Geological Survey Modular Ground-Water Model—The Ground-Water Flow Proces; U.S. Geological Survey: Reston, VA, USA, 2005. [Google Scholar]
- Chanson, H. Hydraulics of Open Channel Flow (Second Edition). Elsevier Butterworth-Heinemann, 2nd ed.; Elsevier Butterworth-Heinemann: Waltham, MA, USA, 2004. [Google Scholar]
- Dages, C.; Voltz, M.; Bsaibes, A.; Prévot, L.; Huttel, O.; Louchart, X.; Garnier, F.; Negro, S. Estimating the role of a ditch network in groundwater recharge in a Mediterranean catchment using a water balance approach. J. Hydrol. 2009, 375, 498–512. [Google Scholar] [CrossRef]
- Skaggs, R.W.; Youssef, M.A.; Chescheir, G.M. DRAINMOD: Model use, calibration, and validation. Trans ASABE 2012, 55, 1509–1522. [Google Scholar] [CrossRef]
- Skaggs, R.W.; Nassehzadeh-Tabriz, A. Design Drainage Rates for Estimating Drain Spacings in North Carolina. Trans. ASAE 1986, 29, 1631–1640. [Google Scholar] [CrossRef]
- Williams, J.R. The erosion-productivity impact calculator (EPIC) model: A case history. Trans ASAE 1989, 32, 497–511. [Google Scholar] [CrossRef]
- Wang, Z.; Ye, L.; Jiang, J.; Fan, Y.; Zhang, X. Review of application of EPIC crop growth model. Ecol. Model. 2022, 467. [Google Scholar] [CrossRef]
- Balkovic, J.; van der Velde, M.; Schmid, E.; Skalský, R.; Khabarov, N.; Obersteiner, M.; Stürmer, B.; Xiong, W. Pan-European crop modelling with EPIC: Implementation, up-scaling and regional crop yield validation. Agric. Syst. 2013, 120, 61–75. [Google Scholar] [CrossRef]
- Zhang, Y.; Wang, Y.; Liu, L. Function Mechanism Between the Drought and Waterlogging Disaster and the Soil-Structure of the Shajiang Soil in Huaibei Plain. Prog. Geog. 2001, 2, 169–176. [Google Scholar]
- Anhui Provincial Bureau of Statistics. An Hui Statistical Yearbook; China Statistics Press: Beijing, China, 2018. [Google Scholar]
- Allen, R.G.; Pereira, L.S.; Raes, D.; Smith, M. Evapotranspiration. Guidelines for Computing Crop Water Requirements; FAO: Roman, Italy, 1998. [Google Scholar]
- Skaggs, R.W.; Youssef, M.A.; Chescheir, G.M.; Gilliam, J.W. Effect of drainage intensity on nitrogen losses from drained lands. Trans. ASAE 2005, 48, 2169–2177. [Google Scholar] [CrossRef]
- Inam, A.; Adamowski, J.; Prasher, S.; Albano, R. Parameter estimation and uncertainty analysis of the Spatial Agro Hydro Salinity Model (SAHYSMOD) in the semi-arid climate of Rechna Doab, Pakistan. Environ. Model. Softw. 2017, 94, 186–211. [Google Scholar] [CrossRef]
- Chen, Z.; Liu, X.; Zhu, B. Runoff estimation in hillslope cropland of purple soil based on SCS-CN model. Trans. CSAE. 2017, 30, 72–81. [Google Scholar] [CrossRef]
- Moriasi, D.N.; Arnold, J.G.; Van Liew, M.W.; Bingner, R.L.; Harmel, R.D.; Veith, T.L. Model Evaluation Guidelines for Systematic Quantification of Accuracy in Watershed Simulations. Trans ASABE. 2007, 50, 885–900. [Google Scholar] [CrossRef]
- Xue, J.; Ren, L. Conjunctive use of saline and non-saline water in an irrigation district of the Yellow River Basin. Irrig Drain. 2017, 66, 147–162. [Google Scholar] [CrossRef]
- Yang, J.; Zhu, Y.; Zha, Y.; Cai, S. Mathematical Model and Numerical Method of Groundwater and Soil Water Movement; Science Press: Beijing, China, 2016. [Google Scholar]
- Zhao, J.; Wang, W.; Wang, Z.; Wang, X.; Xie, H.; Wang, X. Spatial Variability of Streambed Hydraulic Conductivity in the Lower Reaches of the Luanhe River. Hydroge Eng. Geol. 2014, 41, 13–20. [Google Scholar] [CrossRef]
- Zhou, J. Rational Allocation of Multi-Source Water Resources for Economic Development Zone of Taihe County; Hefei University of Technology: Hefei, China, 2021. [Google Scholar]
- FAO. Crop Water Information. Available online: http://www.fao.org/land-water/databases-and-software/crop-information/en/ (accessed on 8 June 2022).
- Acharya, U.; Chatterjee, A.; Daigh, A.L.M. Effect of Subsurface Drainage Spacing and Depth on Crop Yield. Agron. J. 2019, 111, 1675–1681. [Google Scholar] [CrossRef]
- Ghane, E.; Askar, M.H. Predicting the effect of drain depth on profitability and hydrology of subsurface drainage systems across the eastern USA. Agric. Water Manag. 2021, 258, 107072. [Google Scholar] [CrossRef]
- Muhammad, E.; Ibrahim, M.; El-Sayed, A. Effects of drain depth on crop yields and salinity in subsurface drainage in Nile Delta of Egypt. Ain Shams Eng. J. 2021, 12, 1595–1606. [Google Scholar] [CrossRef]
- Ghane, E.; Fausey, N.R.; Shedekar, V.; Piepho, H.-P.; Shang, Y.; Brown, L.C. Crop yield evaluation under controlled drainage in Ohio, United States. J. Soil Water Conserv. 2012, 67, 465–473. [Google Scholar] [CrossRef]
- Chen, K.; Yu, S.; Ma, T.; Ding, J.; He, P.; Li, Y.; Dai, Y.; Zeng, G. Modeling the Water and Nitrogen Management Practices in Paddy Fields with HYDRUS-1D. Agriculture 2022, 12, 924. [Google Scholar] [CrossRef]
- Moloney, T.; Fenton, O.; Daly, K. Ranking connectivity risk for phosphorus loss along agricultural drainage ditches. Sci. Total Environ. 2020, 703, 134556. [Google Scholar] [CrossRef] [PubMed]










| Scenario Number | WD in Dry Season (m) | WD in Rainy Season (m) | ||||
|---|---|---|---|---|---|---|
| WD Number | Open Sluices | Close Sluices | WD Number | Open Sluices | Close Sluices | |
| 1 | A | Always close (5) | D | 4 | 3 | |
| 2 | B | 5 | 4 | B | 5 | 4 |
| 3 | C | 4.5 | 3.5 | |||
| 4 | D | 4 | 3 | |||
| 5 | E | 3.5 | 2.5 | |||
| 6 | F | 3 | 2 | |||
| 7 | C | 4.5 | 3.5 | C | 4.5 | 3.5 |
| 8 | D | 4 | 3 | |||
| 9 | E | 3.5 | 2.5 | |||
| 10 | F | 3 | 2 | |||
| 11 | D | 4 | 3 | D | 4 | 3 |
| 12 | E | 3.5 | 2.5 | |||
| 13 | F | 3 | 2 | |||
| 14 | E | 3.5 | 2.5 | E | 3.5 | 2.5 |
| 15 | F | 3 | 2 | |||
| 16 | F | 3 | 2 | F | 3 | 2 |
| Drainage Spacings (m) | Drainage Depths (m) | Ratio of Weir Height to Drainage Depth | ||
|---|---|---|---|---|
| 0 | 0.5 | 1 | ||
| Scenario Number | ||||
| 100 | 0.8 | 1 | 2 | 3 |
| 1.2 | 4 | 5 | 6 | |
| 1.6 | 7 | 8 | 9 | |
| 250 | 0.8 | 10 | 11 | 12 |
| 1.2 | 13 | 14 | 15 | |
| 1.6 | 16 | 17 | 18 | |
| 400 | 0.8 | 19 | 20 | 21 |
| 1.2 | 22 | 23 | 24 | |
| 1.6 | 25 | 26 | 27 | |
| Scenario Number | Ditch Plan | Main Ditch Control Schemes | Field Ditch Control Schemes | |||||
|---|---|---|---|---|---|---|---|---|
| WD in Dry Season (m) | WD in Rainy Season (m) | Drainage Spacings (m) | Drainage Depths (m) | Ratio of Weir Height | ||||
| Open Sluices | Close Sluices | Open Sluices | Close Sluices | |||||
| 0 | M0F0 | 5 | 5 | 4 | 3 | 250 | 1.2 | 0 |
| 1 | M1F1 | 5 | 4 | 4.5 | 3.5 | 250 | 1.6 | 0.5 |
| 2 | M1F2 | 400 | 1.2 | 0.5 | ||||
| 3 | M1F3 | 400 | 1.6 | 0.5 | ||||
| 4 | M2F1 | 4.5 | 3.5 | 3.5 | 2.5 | 250 | 1.6 | 0.5 |
| 5 | M2F2 | 400 | 1.2 | 0.5 | ||||
| 6 | M2F3 | 400 | 1.6 | 0.5 | ||||
| 7 | M3F1 | 4 | 3 | 3.5 | 2.5 | 250 | 1.6 | 0.5 |
| 8 | M3F2 | 400 | 1.2 | 0.5 | ||||
| 9 | M3F3 | 400 | 1.6 | 0.5 | ||||
| 10 | M4F1 | 3.5 | 2.5 | 3 | 2 | 250 | 1.6 | 0.5 |
| 11 | M4F2 | 400 | 1.2 | 0.5 | ||||
| 12 | M4F3 | 400 | 1.6 | 0.5 | ||||
| Scenario Number | Ditch Plan | Corn | Wheat | Regional Drainage Discharge | |||
|---|---|---|---|---|---|---|---|
| Yield (kg/ha) | Increased Yield (kg/ha) | Yield (kg/ha) | Increased Yield (kg/ha) | Q (m3/s) | Emission Reduction (m3/s) | ||
| 0 | M0F0 | 8272.1 | — | 7567.2 | — | 2.69 | — |
| 1 | M1F1 | 8418.9 | 146.8 | 7568.4 | 1.2 | 2.10 | 0.60 |
| 2 | M1F2 | 8431.3 | 159.2 | 7568.7 | 1.5 | 2.33 | 0.36 |
| 3 | M1F3 | 8437.4 | 165.3 | 7567.7 | 0.5 | 2.28 | 0.41 |
| 4 | M2F1 | 8418.9 | 146.8 | 7568.9 | 1.7 | 2.10 | 0.60 |
| 5 | M2F2 | 8433.1 | 161.0 | 7568.9 | 1.7 | 2.34 | 0.36 |
| 6 | M2F3 | 8435.7 | 163.6 | 7568.5 | 1.4 | 2.28 | 0.41 |
| 7 | M3F1 | 8422.3 | 150.3 | 7569.2 | 2.0 | 2.10 | 0.60 |
| 8 | M3F2 | 8431.9 | 159.8 | 7569.0 | 1.8 | 2.33 | 0.36 |
| 9 | M3F3 | 8438.4 | 166.4 | 7568.1 | 0.9 | 2.28 | 0.41 |
| 10 | M4F1 | 8410.9 | 138.8 | 7568.8 | 1.6 | 2.05 | 0.64 |
| 11 | M4F2 | 8427.7 | 155.6 | 7569.6 | 2.4 | 2.29 | 0.40 |
| 12 | M4F3 | 8438.7 | 166.7 | 7569.0 | 1.8 | 2.24 | 0.45 |
Publisher’s Note: MDPI stays neutral with regard to jurisdictional claims in published maps and institutional affiliations. |
© 2022 by the authors. Licensee MDPI, Basel, Switzerland. This article is an open access article distributed under the terms and conditions of the Creative Commons Attribution (CC BY) license (https://creativecommons.org/licenses/by/4.0/).
Share and Cite
Tang, R.; Wang, X.; Han, X.; Yan, Y.; Huang, S.; Huang, J.; Shen, T.; Wang, Y.; Liu, J. Effects of Combined Main Ditch and Field Ditch Control Measures on Crop Yield and Drainage Discharge in the Northern Huaihe River Plain, Anhui Province, China. Agriculture 2022, 12, 1167. https://doi.org/10.3390/agriculture12081167
Tang R, Wang X, Han X, Yan Y, Huang S, Huang J, Shen T, Wang Y, Liu J. Effects of Combined Main Ditch and Field Ditch Control Measures on Crop Yield and Drainage Discharge in the Northern Huaihe River Plain, Anhui Province, China. Agriculture. 2022; 12(8):1167. https://doi.org/10.3390/agriculture12081167
Chicago/Turabian StyleTang, Rong, Xiugui Wang, Xudong Han, Yihui Yan, Shuang Huang, Jiesheng Huang, Tao Shen, Youzhen Wang, and Jia Liu. 2022. "Effects of Combined Main Ditch and Field Ditch Control Measures on Crop Yield and Drainage Discharge in the Northern Huaihe River Plain, Anhui Province, China" Agriculture 12, no. 8: 1167. https://doi.org/10.3390/agriculture12081167
APA StyleTang, R., Wang, X., Han, X., Yan, Y., Huang, S., Huang, J., Shen, T., Wang, Y., & Liu, J. (2022). Effects of Combined Main Ditch and Field Ditch Control Measures on Crop Yield and Drainage Discharge in the Northern Huaihe River Plain, Anhui Province, China. Agriculture, 12(8), 1167. https://doi.org/10.3390/agriculture12081167

