Effects of Harvesting Period and Storage Duration on Volatile Organic Compounds and Nutritive Qualities of Alfalfa
Abstract
:1. Introduction
2. Materials and Methods
2.1. Samples Collection
2.2. Collection and Extraction of VOCs from Alfalfa
2.3. GC-MS Analysis Conditions
2.4. VOCs Qualitative and Quantitative Analysis
2.5. Analysis of Nutritional Quality of Alfalfa
2.6. Statistical Analysis
3. Results
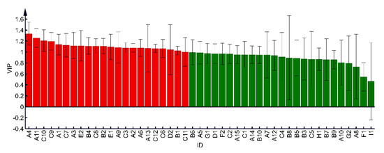
3.1. Analysis of VOCs in Alfalfa at Different Harvest Periods
3.2. Nutritional Value of Alfalfa in Different Harvest Periods
3.3. Comprehensive Analysis of Alfalfa Quality at Different Harvest Periods
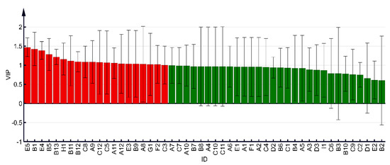
3.4. Analysis of VOCs at Different Storage Durations
3.5. Nutritional Quality Analysis of Alfalfa at Different Storage Durations
3.6. The Relationship between Nutrients and VOCs
4. Discussion
5. Conclusions
Author Contributions
Funding
Institutional Review Board Statement
Informed Consent Statement
Data Availability Statement
Acknowledgments
Conflicts of Interest
References
- Cheng, Q.M.; Bai, S.Q.; Ge, G.T.; Li, P.; Liu, L.Y.; Zhang, C.D.; Jia, Y.S. Study on differentially expressed genes related to defoliation traits in two alfalfa varieties based on RNA-Seq. BMC Genom. 2018, 19, 807. [Google Scholar] [CrossRef] [PubMed] [Green Version]
- Ji, Y.; Yuan, S.; Fu, H.; Yang, S.; Bu, F.; Li, X.; Wu, X. Activity strategy and pattern of the Siberian jerboa (Orientallactaga sibirica) in the Alxa desert region, China. PeerJ 2021, 9, e10996. [Google Scholar] [CrossRef] [PubMed]
- Ma, Q.; Xu, X.; Wang, W.; Zhao, L.; Ma, D.; Xie, Y. Comparative analysis of alfalfa (Medicago sativa L.) seedling transcriptomes reveals genotype-specific drought tolerance mechanisms. Plant Physiol. Biochem. 2021, 166, 203–214. [Google Scholar] [CrossRef]
- Owen, J. Genetic aspects of appetite and feed choice in animals. J. Agric. Sci. 1992, 119, 151–155. [Google Scholar] [CrossRef]
- Tava, A.; Berardo, N.; Cunico, C.; Romani, M.; Odoardi, M. Cultivar differences and seasonal changes of primary metabolites and flavor constituents in tall fescue in relation to palatability. J. Agric. Food Chem. 1995, 43, 98–101. [Google Scholar] [CrossRef]
- Chen, J.; Tao, L.; Zhang, T.; Zhang, J.; Wu, T.; Luan, D.; Ni, L.; Wang, X.; Zhong, J. Effect of four types of thermal processing methods on the aroma profiles of acidity regulator-treated tilapia muscles using E-nose, HS-SPME-GC-MS, and HS-GC-IMS. LWT 2021, 147, 111585. [Google Scholar] [CrossRef]
- Ye, N.S.; Zhang, L.Q.; Gu, X.X. Discrimination of Green Teas from Different Geographical Origins by Using HS-SPME/GC-MS and Pattern Recognition Methods. Food Anal. Methods 2012, 5, 856–860. [Google Scholar] [CrossRef]
- Zhang, D.D.; Wu, W.H.; Qiu, X.H.; Li, X.J.; Zhao, F.; Ye, N.X. Rapid and direct identification of the origin of white tea with proton transfer reaction time-of-flight mass spectrometry. Rapid Commun. Mass Spectrom. 2020, 34, e8830. [Google Scholar] [CrossRef]
- Lin, S.Y.; Lo, L.C.; Chen, I.Z.; Chen, P.A. Effect of shaking process on correlations between catechins and volatiles in oolong tea. J. Food Drug Anal. 2016, 24, 500–507. [Google Scholar] [CrossRef] [PubMed] [Green Version]
- Liu, K.W.; Zhang, C.; Xu, J.Y.; Liu, Q.Q. Research advance in gas detection of volatile organic compounds released in rice quality deterioration process. Compr. Rev. Food Sci. Food Saf. 2021, 20, 5802–5828. [Google Scholar] [CrossRef] [PubMed]
- Wenda-Piesik, A.; Piesik, D.; Ligor, T.; Buszewski, B. Volatile organic compounds (VOCs) from cereal plants infested with crown rot: Their identity and their capacity for inducing production of VOCs in uninfested plants. Int. J. Pest Manag. 2010, 56, 377–383. [Google Scholar] [CrossRef]
- Ficke, A.; Asalf, B.; Norli, H.R. Volatile Organic Compound Profiles From Wheat Diseases Are Pathogen-Specific and Can Be Exploited for Disease Classification. Front. Microbiol. 2022, 12, 803352. [Google Scholar] [CrossRef] [PubMed]
- Chen, J.M.; Zeng, J.B.; Chen, W.F.; Huang, X.L.; Chen, X. Development of New Coatings for Solid Phase Microextraction. Prog. Chem. 2009, 21, 1922–1929. [Google Scholar]
- Nam, T.G.; Lee, J.Y.; Kim, B.K.; Song, N.E.; Jang, H.W. Analyzing volatiles in brown rice vinegar by headspace solid-phase microextraction (SPME)-Arrow: Optimizing the extraction conditions and comparisons with conventional SPME. Int. J. Food Prop. 2019, 22, 1195–1204. [Google Scholar] [CrossRef] [Green Version]
- Hu, G. Advances of solid-phase microextraction and current status of application in food analysis. Chin. J. Chromatogr. 2009, 27, 1–8. [Google Scholar]
- Zhang, W.; Cao, J.; Li, Z.; Li, Q.; Lai, X.; Sun, L.; Chen, R.; Wen, S.; Sun, S.; Lai, Z. HS-SPME and GC/MS volatile component analysis of Yinghong No. 9 dark tea during the pile fermentation process. Food Chem. 2021, 357, 129654. [Google Scholar] [CrossRef] [PubMed]
- Loulier, J.; Lefort, F.; Stocki, M.; Asztemborska, M.; Szmigielski, R.; Siwek, K.; Grzywacz, T.; Hsiang, T.; Slusarski, S.; Oszako, T.; et al. Detection of Fungi and Oomycetes by Volatiles Using E-Nose and SPME-GC/MS Platforms. Molecules 2020, 25, 5749. [Google Scholar] [CrossRef]
- Mickiewicz, B.; Tam, P.; Jenne, C.N.; Leger, C.; Wong, J.; Winston, B.W.; Doig, C.; Kubes, P.; Vogel, H.J.; Network, A.S. Integration of metabolic and inflammatory mediator profiles as a potential prognostic approach for septic shock in the intensive care unit. Crit. Care 2015, 19, 11. [Google Scholar] [CrossRef] [Green Version]
- Espichan, F.; Rojas, R.; Quispe, F.; Cabanac, G.; Marti, G. Metabolomic characterization of 5 native Peruvian chili peppers (Capsicum spp.) as a tool for species discrimination. Food Chem. 2022, 386, 132704. [Google Scholar] [CrossRef] [PubMed]
- Waghmode, B.; Masoodi, L.; Kushwaha, K.; Mir, J.I.; Sircar, D. Volatile components are non-invasive biomarkers to track shelf-life and nutritional changes in apple cv. ‘Golden Delicious’ during low-temperature postharvest storage. J. Food Compos. Anal. 2021, 102, 104075. [Google Scholar] [CrossRef]
- Spadafora, N.D.; Amaro, A.L.; Pereira, M.J.; Muller, C.T.; Pintado, M.; Rogers, H.J. Multi-trait analysis of post-harvest storage in rocket salad (Diplotaxis tenuifolia) links sensorial, volatile and nutritional data. Food Chem. 2016, 211, 114–123. [Google Scholar] [CrossRef] [Green Version]
- Kushwaha, K.; Saini, S.S.; Waghmode, B.; Gaid, M.; Agrawal, P.K.; Roy, P.; Sircar, D. Volatile components in papaya fruits are the non-invasive biomarkers to monitor the ripening stage and the nutritional value. Eur. Food Res. Technol. 2021, 247, 907–919. [Google Scholar] [CrossRef]
- Ferrao, L.F.V.; Johnson, T.S.; Benevenuto, J.; Edger, P.P.; Colquhoun, T.A.; Munoz, P.R. Genome-wide association of volatiles reveals candidate loci for blueberry flavor. New Phytol. 2020, 226, 1725–1737. [Google Scholar] [CrossRef]
- Roberts, G.; Spadafora, N.D. Analysis of Apple Flavours: The Use of Volatile Organic Compounds to Address Cultivar Differences and the Correlation between Consumer Appreciation and Aroma Profiling. J. Food Qual. 2020, 2020, 8497259. [Google Scholar] [CrossRef]
- Taiti, C.; Marone, E.; Bazihizina, N.; Caparrotta, S.; Azzarello, E.; Petrucci, A.W.; Pandolfi, C.; Giordani, E. Sometimes a Little Mango Goes a Long Way: A Rapid Approach to Assess How Different Shipping Systems Affect Fruit Commercial Quality. Food Anal. Methods 2016, 9, 691–698. [Google Scholar] [CrossRef]
- da Costa, J.R.O.; Dal Bosco, S.M.; Ramos, R.C.D.; Machado, I.C.K.; Garavaglia, J.; Villasclaras, S.S. Determination of volatile compounds responsible for sensory characteristics from Brazilian extra virgin olive oil using HS-SPME/GC-MS direct method. J. Food Sci. 2020, 85, 3764–3775. [Google Scholar] [CrossRef] [PubMed]
- D’Angelo, M.; Zanor, M.I.; Sance, M.; Cortina, P.R.; Boggio, S.B.; Asprelli, P.; Carrari, F.; Santiago, A.N.; Asis, R.; Peralta, I.E.; et al. Contrasting metabolic profiles of tasty Andean varieties of tomato fruit in comparison with commercial ones. J. Sci. Food Agric. 2018, 98, 4128–4134. [Google Scholar] [CrossRef] [PubMed]
- Rapisarda, T.; Mereu, A.; Cannas, A.; Belvedere, G.; Licitra, G.; Carpino, S. Volatile organic compounds and palatability of concentrates fed to lambs and ewes. Small Rumin. Res. 2012, 103, 120–132. [Google Scholar] [CrossRef]
- Zhang, R.M.; Zhang, W.G.; Zuo, Z.J.; Li, R.; Wu, J.H.; Gao, Y. Inhibition effects of volatile organic compounds from Artemisia frigida Willd. on the pasture grass intake by lambs. Small Rumin. Res. 2014, 121, 248–254. [Google Scholar] [CrossRef]
- Stegelmeier, B.L.; Gardner, D.R.; James, L.F.; Panter, K.E.; Molyneux, R.J. The toxic and abortifacient effects of ponderosa pine. Vet. Pathol. 1996, 33, 22–28. [Google Scholar] [CrossRef]
- Dziba, L.E.; Hall, J.O.; Provenza, F.D. Feeding Behavior of Lambs in Relation to Kinetics of 1,8-cineole Dosed Intravenously or into the Rumen. J. Chem. Ecol. 2006, 32, 391–408. [Google Scholar] [CrossRef]
- Zhao, Q.Y.; Yousaf, L.; Xue, Y.; Shen, Q. Changes in flavor of fragrant rice during storage under different conditions. J. Sci. Food Agric. 2020, 100, 3435–3444. [Google Scholar] [CrossRef]
- Dong, X.-P.; Li, D.-Y.; Huang, Y.; Wu, Q.; Liu, W.-T.; Qin, L.; Zhou, D.-Y.; Prakash, S.; Yu, C.-X. Nutritional value and flavor of turbot (Scophthalmus maximus) muscle as affected by cooking methods. Int. J. Food Prop. 2018, 21, 1972–1985. [Google Scholar] [CrossRef] [Green Version]
- Solati, Z.; Jorgensen, U.; Eriksen, J.; Soegaard, K. Dry matter yield, chemical composition and estimated extractable protein of legume and grass species during the spring growth. J. Sci. Food Agric. 2017, 97, 3958–3966. [Google Scholar] [CrossRef] [Green Version]
- Wang, J.P.; Wang, Q.Y.; Liu, N.; Xue, B.Q. Effects of supplementary with alfalfa hay collected in different mature stages on the performance of rabbits. In Livestock Environment VII, Proceedings of the Seventh International Symposium, Beijing, China, 18–20 May 2005; American Society of Agricultural and Biological Engineers: St. Joseph, MI, USA, 2005; pp. 593–599. [Google Scholar]
- Xu, X.; Min, D.; McDonald, I. Effects of harvest intervals and seeding rates on dry matter yield and nutritive value of alfalfa cultivars. J. Anim. Sci. Technol. 2021, 63, 1098–1113. [Google Scholar] [CrossRef]
- Brink, G.; Hall, M.; Shewmaker, G.; Undersander, D.; Martin, N.; Walgenbach, R. Changes in Alfalfa Yield and Nutritive Value within Individual Harvest Periods. Agron. J. 2010, 102, 1274–1282. [Google Scholar] [CrossRef] [Green Version]
- McBeth, L.J.; Coffey, K.P.; Coblentz, W.K.; Turner, J.E.; Scarbrough, D.A.; Bailey, C.R.; Stivarius, M.R. Impact of heating-degree-day accumulation during bermudagrass hay storage on nutrient utilization by lambs. J. Anim. Sci. 2001, 79, 2698–2703. [Google Scholar] [CrossRef]
- Coblentz, W.K. Effects of Wrapping Method and Soil Contact on Hay Stored in Large Round Bales in Central Wisconsin. Appl. Eng. Agric. 2009, 25, 835–850. [Google Scholar] [CrossRef]
- Coblentz, W.K.; Hoffman, P.C. Effects of spontaneous heating on fiber composition, fiber digestibility, and in situ disappearance kinetics of neutral detergent fiber for alfalfa-orchardgrass hays. J. Dairy Sci. 2009, 92, 2875–2895. [Google Scholar] [CrossRef] [Green Version]
- Guerrero, J.N.; Calderon-Cortes, J.F.; Montano-Gomez, M.F.; Gonzalez-Vizcarra, V.; Lopez-Soto, M.A. Effect of storage system and tarpaulin color on nutritional quality and digestibility of stored lucerne hay in the irrigated Sonoran Desert. Anim. Feed Sci. Technol. 2010, 162, 28–36. [Google Scholar] [CrossRef]
- Lin, H.; Kang, W.C.; Kutsanedzie, F.Y.H.; Chen, Q.S. A Novel Nanoscaled Chemo Dye-Based Sensor for the Identification of Volatile Organic Compounds During the Mildewing Process of Stored Wheat. Food Anal. Methods 2019, 12, 2895–2907. [Google Scholar] [CrossRef]
- Ricciardi, V.; Marciano, D.; Sargolzaei, M.; Maddalena, G.; Maghradze, D.; Tirelli, A.; Casati, P.; Bianco, P.A.; Failla, O.; Fracassetti, D.; et al. From plant resistance response to the discovery of antimicrobial compounds: The role of volatile organic compounds (VOCs) in grapevine downy mildew infection. Plant Physiol. Biochem. 2021, 160, 294–305. [Google Scholar] [CrossRef] [PubMed]









| NO | Compound | Code | CAS | Molecular Formula | Retention Time | Relative Content (%) | ||
|---|---|---|---|---|---|---|---|---|
| Budding Stage | Early Blooming | Full Blooming | ||||||
| 1 | Isovaleraldehyde | A1 | 590-86-3 | C5H10O | 3.066 | 0.32 ± 0.14 | ND | ND |
| 2 | 2-methylbutyraldehyde | A2 | 96-17-3 | C5H10O | 3.218 | 0.44 ± 0.20 | ND | ND |
| 3 | trans-2-hexenal | A3 | 6728-26-3 | C6H10O | 8.829 | ND | 0.36 ± 0.18 | 0.37 ± 0.17 |
| 4 | (E,E)-2,4-hexadienal | A4 | 142-83-6 | C6H8O | 10.844 | 0.33 ± 0.15 | ND | ND |
| 5 | Benzaldehyde | A5 | 100-52-7 | C7H6O | 12.568 | 5.00 ± 0.39 | 4.06 ± 0.15 | 4.01 ± 0.24 |
| 6 | trans,trans-2,4-heptadienal | A6 | 4313-3-5 | C7H10O | 14.335 | 0.42 ± 0.20 | 1.02 ± 0.05 | 0.54 ± 0.24 |
| 7 | Phenylacetaldehyde | A7 | 122-78-1 | C8H8O | 15.432 | 1.38 ± 0.15 | 0.87 ± 0.08 | 0.99 ± 0.08 |
| 8 | 2,5-dimethylbenzaldehyde | A8 | 5779-94-2 | C9H10O | 19.558 | 1.35 ± 0.15 a | 0.94 ± 0.02 b | 0.92 ± 0.02 b |
| 9 | 3-cyclohexadiene-1-carboxaldehyde,2,6,6-trimethyl-1 | A9 | 116-26-7 | C10H14O | 20.324 | 2.22 ± 0.24 ab | 1.41 ± 0.04 b | 2.35 ± 0.29 a |
| 10 | Decanal | A10 | 112-31-2 | C10H20O | 20.468 | 1.30 ± 0.09 a | 0.68 ± 0.08 b | 0.95 ± 0.17 b |
| 11 | 2,6,6-trimethyl-1-cyclohexene-1-carboxaldehyde | A11 | 432-25-7 | C10H16O | 20.942 | 2.58 ± 0.21 a | 1.79 ± 0.06 b | 2.36 ± 0.11 a |
| 12 | Benzeneacetaldehyde,a-ethylidene- | A12 | 4411-89-6 | C10H10O | 22.409 | 1.32 ± 0.17 a | 0.28 ± 0.13 b | 0.45 ± 0.21 b |
| 13 | 6-methyl-5-hepten-2-one | B1 | 110-93-0 | C8H14O | 13.564 | ND | ND | 0.79 ± 0.10 |
| 14 | 3,5-Octadien-2-one, (E,E)- | B2 | 30086-02-3 | C10H18O2 | 16.333 | 1.95 ± 0.20 | 2.01 ± 0.07 | 1.72 ± 0.17 |
| 15 | 3,5-Octadien-2-one, (E,E)- | B3 | 30086-02-3 | C9H18O | 17.038 | 3.13 ± 0.69 | 1.93 ± 0.05 | 1.90 ± 0.10 |
| 16 | 3,5-heptadien-2-one, 6-methyl- | B4 | 1604-28-0 | C8H12O | 17.407 | 1.13 ± 0.52 | ND | ND |
| 17 | 2-cyclopenten-1-one,3,4,3-trimethyl- | B5 | 30434-65-2 | C8H12O | 17.408 | ND | 1.88 ± 0.05 | 2.16 ± 0.12 |
| 18 | 2′-methylacetophenone | B6 | 577-16-2 | C9H10O | 19.854 | ND | 0.83 ± 0.37 | 0.79 ± 0.35 |
| 19 | 1h-pyrrole-2,5-dione,3-ethyl-4-methyl- | B7 | 20189-42-8 | C7H9NO2 | 21.216 | 1.30 ± 0.58 b | 2.71 ± 0.21 a | 2.38 ± 0.10 a |
| 20 | Cyclodecanone | B8 | 1502-06-3 | C10H18O | 24.304 | ND | 0.25 ± 0.11 | ND |
| 21 | 6-methl-3-(1-methlethyl)-2-(2-oxopropyl)-cyclhexnone | B9 | 56772-10-2 | C13H22O2 | 25.26 | ND | 0.33 ± 0.15 | ND |
| 22 | 2-undecanone,6,10-dimethyl- | B10 | 1604-34-8 | C13H26O | 25.931 | 1.24 ± 0.19 | 1.26 ± 0.04 | 1.00 ± 0.05 |
| 23 | Geranylacetone | B11 | 689-67-8 | C13H22O | 27.15 | 4.76 ± 0.17 | 3.96 ± 0.28 | 5.75 ± 0.62 |
| 24 | 4-(2,6,6-Trimethyl-1-cyclohexenyl)-3-buten-2-one | B12 | 79-77-6 | C13H20O | 28.047 | 28.74 ± 0.70 a | 23.94 ± 0.84 c | 25.77 ± 0.48 b |
| 25 | 2-pentadecanone,6,10,14-trimethyl- | B13 | 502-69-2 | C18H36O | 36 | 6.22 ± 0.58 b | 13.91 ± 0.74 a | 13.57 ± 0.70 a |
| 26 | 1-octen-3-ol | C1 | 3391-86-4 | C8H16O | 13.303 | 2.48 ± 0.17 a | 1.80 ± 0.24 b | 2.34 ± 0.20 a |
| 27 | Benzyl alcohol | C2 | 100-51-6 | C7H8O | 15.096 | 1.26 ± 0.06 | 1.27 ± 0.24 | 1.09 ± 0.09 |
| 28 | Linalool | C3 | 78-70-6 | C10H18O | 17.255 | 0.46 ± 0.21 | 0.35 ± 0.15 | ND |
| 29 | 3,3,5-trimethylcyclohexanol | C4 | 116-02-9 | C9H18O | 17.403 | 0.84 ± 0.38 | ND | ND |
| 30 | 2,6-dimethylcyclohexanol | C5 | 5337-72-4 | C8H16O | 17.517 | ND | ND | 0.50 ± 0.23 |
| 31 | Cycloheptanol,1-methyl- | C6 | 3761-94-2 | C8H16O | 17.512 | ND | 0.46 ± 0.22 | 0.53 ± 0.24 |
| 32 | 6-methyl-5-hepten-2-ol | C7 | 1569-60-4 | C8H16O | 17.517 | 0.50 ± 0.23 | 0.41 ± 0.19 | ND |
| 33 | Phenethyl alcohol | C8 | 60-12-8 | C8H10O | 17.651 | 3.52 ± 0.21 a | 2.31 ± 0.20 b | 3.25 ± 0.25 a |
| 34 | 1-dodecanol,3,7,11-trimethyl- | C9 | 6750-34-1 | C15H32O | 28.826 | 0.64 ± 0.37 | 0.44 ± 0.20 | ND |
| 35 | 1,7-nonadien-4-ol,4,8-dimethyl- | C10 | 17920-92-2 | C11H20O | 22.566 | ND | 0.53 ± 0.24 | ND |
| 36 | 1-(1-hexenyl)-,(E)-cyclohexanol | C11 | 34678-40-5 | C12H22O | 28.827 | ND | 0.64 ± 0.29 | ND |
| 37 | 2-[(9Z)-9-octadecenyloxy]-ethanol | C12 | 5353-25-3 | C20H40O2 | 33.236 | ND | ND | 0.58 ± 0.26 |
| 38 | Methyl salicylate | D1 | 119-36-8 | C8H8O3 | 20.163 | 1.68 ± 0.11 | 1.48 ± 0.02 | 1.61 ± 0.26 |
| 39 | (2,6,6-trimethyl-2-hydroxycyclohexylidene)acetic acid lactone | D2 | 17092-92-1 | C11H16O2 | 29.161 | 10.42 ± 1.16 c | 13.45 ± 0.96 a | 11.90 ± 0.74 b |
| 40 | Ethyl palmitate | D3 | 628-97-7 | C18H36O2 | 39.235 | 1.01 ± 0.48 | 0.35 ± 0.16 | 0.31 ± 0.14 |
| 41 | 1,5,5-trimethyl-6-(3-methyl-buta-1,3-dienyl)-cyclohexene | E1 | 56763-66-7 | C14H22 | 19.837 | 0.95 ± 0.42 | ND | ND |
| 42 | 2,6,10-trimethyltridecane | E2 | 3891-99-4 | C16H34 | 27.354 | 1.89 ± 0.10 | 1.88 ± 0.15 | 1.76 ± 0.06 |
| 43 | Dodecane,5,8-diethyl- | E3 | 24251-86-3 | C16H34 | 29.971 | ND | 0.45 ± 0.20 | ND |
| 44 | 9-hexylheptadecane | E4 | 55124-79-3 | C23H48 | 32.897 | ND | ND | 0.73 ± 0.02 |
| 45 | Tetradecane,2,6,10-trimethyl- | E5 | 14905-56-7 | C17H36 | 30.65 | ND | 1.56 ± 0.10 | ND |
| 46 | 5-amino-2-methoxyphenol | F1 | 1687-53-2 | C7H9NO2 | 21.208 | 0.63 ± 0.28 | ND | ND |
| 47 | 5-allylguaiacol | F2 | 501-19-9 | C10H12O2 | 24.721 | 0.67 ± 0.30 | 0.67 ± 0.30 | ND |
| 48 | Dimethyl sulfide | G1 | 75-18-3 | C2H6S | 1.9 | 2.93 ± 0.73 a | 1.37 ± 0.15 b | 1.83 ± 0.33 ab |
| 49 | 2-pentylfuran | H1 | 3777-69-3 | C9H14O | 13.717 | 1.37 ± 0.04 a | 1.14 ± 0.06 b | 0.98 ± 0.04 c |
| 50 | Olivetol | I1 | 500-66-3 | C11H16O2 | 28.982 | 4.23 ± 0.10 a | 4.27 ± 0.12 a | 3.85 ± 0.08 b |
| Yield | DM | CP | NDF | ADF | TDN | Aldehydes | Ketones | Alcohols | Esters | μ(x) | |
|---|---|---|---|---|---|---|---|---|---|---|---|
| wi | 0.1997 | 0.0208 | 0.0332 | 0.0963 | 0.1200 | 0.0558 | 0.1964 | 0.0801 | 0.1083 | 0.0894 | |
| Budding stage | 0.0000 | 0.0000 | 1.0000 | 1.0000 | 1.0000 | 1.0000 | 1.0000 | 0.0000 | 1.0000 | 0.0000 | 0.6099 |
| Early blooming | 0.4477 | 0.6616 | 0.6500 | 0.3523 | 0.3194 | 0.3463 | 0.0000 | 0.5845 | 0.0000 | 1.0000 | 0.3526 |
| Full blooming | 1.0000 | 1.0000 | 0.0000 | 0.0000 | 0.0000 | 0.0000 | 0.3057 | 1.0000 | 0.0854 | 0.3685 | 0.4029 |
| NO | Compound | Code | CAS | Molecular Formula | Retention Time | Treatment | ||||
|---|---|---|---|---|---|---|---|---|---|---|
| 0 Days | 90 Days | 80 Days | 270 Days | 360 Days | ||||||
| 1 | Isovaleraldehyde | A1 | 590-86-3 | C5H10O | 3.147 | ND | ND | ND | ND | 0.66 ± 0.04 |
| 2 | 2-Methylbutyraldehyde | A2 | 96-17-3 | C5H10O | 3.249 | 0.61 ± 0.04 | ND | ND | ND | 0.73 ± 0.02 |
| 3 | Hexanal | A3 | 66-25-1 | C6H12O | 6.957 | 1.08 ± 0.06 a | 0.62 ± 0.08 b | 0.70 ± 0.06 b | ND | 0.80 ± 0.12 b |
| 4 | (E)-2-Hexenal | A4 | 6728-26-3 | C6H10O | 8.816 | 1.63 ± 0.25 b | 0.67 ± 0.12 c | ND | 4.32 ± 0.13 a | 0.60 ± 0.02 c |
| 5 | Benzaldehyde | A5 | 100-52-7 | C7H6O | 12.572 | 5.89 ± 0.31 a | 4.24 ± 0.15 b | 3.96 ± 0.07 bc | 3.52 ± 0.14 c | 5.59 ± 0.13 a |
| 6 | (E)-2-Octenal | A6 | 2548-87-0 | C8H14O | 13.286 | ND | 0.51 ± 0.02 b | 1.60 ± 0.03 a | 1.38 ± 0.15 a | ND |
| 7 | trans,trans-2,4-Heptadienal | A7 | 4313-03-5 | C7H10O | 14.348 | 2.10 ± 0.50 a | 1.06 ± 0.06 b | 0.78 ± 0.08 b | 1.10 ± 0.08 b | ND |
| 8 | Phenylacetaldehyde | A8 | 122-78-1 | C8H8O | 15.44 | 3.16 ± 0.65 a | 1.47 ± 0.12 c | 1.68 ± 0.10 bc | 1.53 ± 0.18 bc | 2.42 ± 0.15 ab |
| 9 | (E)-2-Hexadecenal | A9 | 22644-96-8 | C16H30O | 15.919 | ND | 0.58 ± 0.05 | ND | ND | ND |
| 10 | 1-Nonanal | A10 | 124-19-6 | C9H18O | 17.048 | 4.00 ± 0.44 a | 3.24 ± 0.29 ab | 3.49 ± 0.08 ab | 2.66 ± 0.17 b | 2.83 ± 0.28 b |
| 11 | 2,5-Dimethylbenzaldehyde | A11 | 5779-94-2 | C9H10O | 19.563 | ND | 0.48 ± 0.04 | ND | 0.60 ± 0.01 | ND |
| 12 | 3-Cyclohexadiene-1-carboxaldehyde, 2,6,6-trimethyl-1 | A12 | 116-26-7 | C10H14O | 20.324 | 2.42 ± 0.16 a | 1.17 ± 0.06 c | 1.06 ± 0.09 c | 0.84 ± 0.11 c | 1.51 ± 0.11 b |
| 13 | Decanal | A13 | 112-31-2 | C10H20O | 20.472 | 4.13 ± 0.35 bc | 3.65 ± 0.30 cd | 6.17 ± 0.50 a | 5.12 ± 0.31 b | 2.63 ± 0.14 d |
| 14 | 2,6,6-trimethyl-1-cyclohexene-1-carboxaldehyde | A14 | 432-25-7 | C10H16O | 20.942 | 2.34 ± 0.13 a | 0.82 ± 0.14 b | 0.83 ± 0.03 b | 0.70 ± 0.10 b | 0.79 ± 0.03 b |
| 15 | Undecan-4-olide | A15 | 104-67-6 | C11H20O2 | 24.834 | ND | ND | 0.85 ± 0.02 | 0.76 ± 0.13 | 0.73 ± 0.14 |
| 16 | 1-Octen-3-one | B1 | 4312-99-6 | C8H14O | 13.277 | ND | ND | 1.41 ± 0.06 | 1.28 ± 0.04 | 1.53 ± 0.14 |
| 17 | 1-Hepten-3-one | B2 | 2918-13-0 | C7H12O | 13.286 | ND | 1.79 ± 0.04 | ND | ND | ND |
| 18 | 3,5-Octadien-2-one,(E,E)- | B3 | 30086-02-3 | C10H18O2 | 16.337 | 3.48 ± 0.24 a | 2.11 ± 0.08 b | 1.62 ± 0.03 c | 2.12 ± 0.11 b | 2.00 ± 0.13 bc |
| 19 | 3,5-Octadien-2-one | B4 | 38284-27-4 | C8H12O | 17.042 | ND | 1.30 ± 0.03 | ND | ND | ND |
| 20 | 3,5-Octadien-2-one,(E,E)- | B5 | 30086-02-3 | C8H12O | 17.047 | 2.05 ± 0.14 a | 1.39 ± 0.03 b | 1.29 ± 0.07 b | 1.38 ± 0.04 b | 1.96 ± 0.11 a |
| 21 | 1H-Pyrrole-2,5-dione,3-ethyl-4-methyl- | B6 | 20189-42-8 | C7H9NO2 | 21.212 | 2.17 ± 0.15 a | 1.53 ± 0.05 b | 0.98 ± 0.02 c | 1.29 ± 0.05 b | 1.43 ± 0.03 b |
| 22 | 2-Undecanone,6,10-dimethyl- | B7 | 1604-34-8 | C13H26O | 25.931 | 0.88 ± 0.07 ab | 1.01 ± 0.02 a | 0.81 ± 0.04 bc | 0.86 ± 0.01 b | 0.70 ± 0.04 c |
| 23 | Geranylacetone | B8 | 3796-70-1 | C13H22O | 27.15 | 2.82 ± 0.11 a | 2.40 ± 0.11 b | 2.13 ± 0.08 bc | 2.10 ± 0.14 bc | 1.99 ± 0.04 c |
| 24 | 4-(2,6,6-Trimethyl-1-cyclohexenyl)-3-buten-2-one | B9 | 79-77-6 | C13H20O | 28.042 | 17.71 ± 0.46 a | 14.33 ± 0.39 b | 11.69 ± 1.04 c | 12.79 ± 1.18 bc | 11.50 ± 0.42 c |
| 25 | 2-Pentadecanone,6,10,14-trimethyl- | B10 | 502-69-2 | C18H36O | 36 | 7.46 ± 0.63 c | 18.34 ± 0.74 b | 26.49 ± 0.79 a | 30.38 ± 3.58 a | 26.52 ± 0.49 a |
| 26 | 1-Octen-3-ol | C1 | 3391-86-4 | C8H16O | 13.308 | 4.00 ± 0.22 | ND | ND | ND | ND |
| 27 | 2,3-pinanediol | C2 | 53404-49-2 | C10H18O2 | 13.573 | 0.80 ± 0.05 | ND | ND | ND | ND |
| 28 | Benzyl alcohol | C3 | 100-51-6 | C7H8O | 15.11 | 1.82 ± 0.07 d | 2.81 ± 0.32 b | 2.28 ± 0.20 c | 2.37 ± 0.06 c | 4.78 ± 0.08 a |
| 29 | 3,5-Octadien-2-ol | C4 | 69668-82-2 | C8H14O | 15.301 | 1.24 ± 0.27 | ND | ND | ND | ND |
| 30 | Linalool | C5 | 78-70-6 | C10H18O2 | 17.26 | 1.78 ± 0.10 ab | 1.14 ± 0.32 bc | 2.27 ± 0.11 a | 1.94 ± 0.33 a | 1.03 ± 0.10 c |
| 31 | Cycloheptanol,1-methyl- | C6 | 3761-94-2 | C8H16O | 17.517 | 1.30 ± 0.09 b | 2.08 ± 0.04 a | ND | ND | ND |
| 32 | Phenethyl alcohol | C7 | 60-12-8 | C8H10O | 17.66 | 5.79 ± 0.30 e | 8.89 ± 0.40 b | 8.23 ± 0.24 c | 6.40 ± 0.20 d | 9.54 ± 0.20 a |
| 33 | 1-Tricosanol | C8 | 3133-01-5 | C23H48O | 27.028 | ND | 0.53 ± 0.01 | ND | ND | ND |
| 34 | (E)-1-(1-hexenyl)-Cyclohexanol | C9 | 34678-40-5 | C12H22O | 28.826 | ND | 1.12 ± 0.07 a | ND | 0.93 ± 0.03 b | 1.23 ± 0.05 a |
| 35 | 1-Dodecanol,3,7,11-trimethyl- | C10 | 6750-34-1 | C15H32O | 28.83 | ND | 0.9 ± 0.03 | 0.85 ± 0.04 | ND | ND |
| 36 | 2-Octadecoxyethanol | C11 | 2136-72-3 | C20H42O2 | 30.646 | 1.01 ± 0.18 | 1.03 ± 0.03 | ND | ND | ND |
| 37 | 2-[(9Z)-9-octadecenyloxy]-ethanol | C12 | 5353-25-3 | C20H40O2 | 33.244 | ND | 0.51 ± 0.02 c | 0.91 ± 0.03 a | 0.78 ± 0.05 b | ND |
| 38 | Methyl salicylate | D1 | 119-36-8 | C8H8O3 | 20.163 | 0.66 ± 0.03 c | 2.50 ± 0.15 a | 1.81 ± 0.08 b | 1.46 ± 0.12 b | 1.87 ± 0.19 b |
| 39 | (2,6,6-Trimethyl-2-hydroxycyclohexylidene)acetic acid lactone | D2 | 17092-92-1 | C11H16O2 | 29.157 | 10.18 ± 0.71 a | 9.74 ± 0.24 a | 7.13 ± 0.57 b | 10.05 ± 0.51 a | 9.27 ± 0.41 a |
| 40 | 3-Allyl-6-methoxyphenol | E1 | 501-19-9 | C10H12O2 | 24.721 | ND | 0.54 ± 0.04 | ND | ND | ND |
| 41 | Eugenol | E2 | 97-53-0 | C10H12O2 | 24.742 | ND | ND | ND | ND | 0.77 ± 0.09 |
| 42 | Pentadecane,2,6,10-trimethyl- | F1 | 3892-00-0 | C18H38 | 27.359 | 2.56 ± 0.12 b | 6.66 ± 1.78 a | 4.75 ± 0.51 ab | 5.81 ± 1.48 a | 5.48 ± 1.86 a |
| 43 | Dodecane,5,8-Diethyl- | F2 | 24251-86-3 | C16H34 | 29.971 | 0.63 ± 0.03 | ND | ND | ND | ND |
| 44 | 2-Ethylfuran | G1 | 3208-16-0 | C6H8O | 4.032 | 0.53 ± 0.03 | ND | ND | ND | ND |
| 45 | 2-Pentylfuran | G2 | 3777-69-3 | C9H14O | 13.725 | 1.56 ± 0.26 a | 1.03 ± 0.1 b | 0.95 ± 0.07 b | 0.62 ± 0.02 b | 0.91 ± 0.06 b |
| 46 | Olivetol | H1 | 500-66-3 | C11H16O2 | 28.983 | 3.48 ± 0.19 b | 4.43 ± 0.25 a | 4.73 ± 0.11 a | 4.22 ± 0.22 a | 3.64 ± 0.10 b |
| 47 | Dimethyl sulfide | I1 | 75-18-3 | C2H6S | 1.987 | 3.61 ± 1.16 | 2.10 ± 0.34 | 1.92 ± 0.38 | 1.81 ± 0.32 | 1.60 ± 0.49 |
Publisher’s Note: MDPI stays neutral with regard to jurisdictional claims in published maps and institutional affiliations. |
© 2022 by the authors. Licensee MDPI, Basel, Switzerland. This article is an open access article distributed under the terms and conditions of the Creative Commons Attribution (CC BY) license (https://creativecommons.org/licenses/by/4.0/).
Share and Cite
Yuan, N.; Sun, L.; Du, S.; Ge, G.; Wang, Z.; Li, Y.; Bao, J.; Zhao, M.; Si, Q.; Hao, J.; et al. Effects of Harvesting Period and Storage Duration on Volatile Organic Compounds and Nutritive Qualities of Alfalfa. Agriculture 2022, 12, 1115. https://doi.org/10.3390/agriculture12081115
Yuan N, Sun L, Du S, Ge G, Wang Z, Li Y, Bao J, Zhao M, Si Q, Hao J, et al. Effects of Harvesting Period and Storage Duration on Volatile Organic Compounds and Nutritive Qualities of Alfalfa. Agriculture. 2022; 12(8):1115. https://doi.org/10.3390/agriculture12081115
Chicago/Turabian StyleYuan, Ning, Lin Sun, Shuai Du, Gentu Ge, Zhijun Wang, Yuyu Li, Jian Bao, Muqier Zhao, Qiang Si, Junfeng Hao, and et al. 2022. "Effects of Harvesting Period and Storage Duration on Volatile Organic Compounds and Nutritive Qualities of Alfalfa" Agriculture 12, no. 8: 1115. https://doi.org/10.3390/agriculture12081115
APA StyleYuan, N., Sun, L., Du, S., Ge, G., Wang, Z., Li, Y., Bao, J., Zhao, M., Si, Q., Hao, J., & Jia, Y. (2022). Effects of Harvesting Period and Storage Duration on Volatile Organic Compounds and Nutritive Qualities of Alfalfa. Agriculture, 12(8), 1115. https://doi.org/10.3390/agriculture12081115
