Consequences of Ignoring Dependent Error Components and Heterogeneity in a Stochastic Frontier Model: An Application to Rice Producers in Northern Thailand
Abstract
:1. Introduction
2. Methodology
2.1. Copulas and Dependence
2.2. Copula-Based Stochastic Frontier Model with Heterogeneity
3. Simulation Study
4. Application to Rice Producers
4.1. The Empirical Model
4.2. Empirical Results
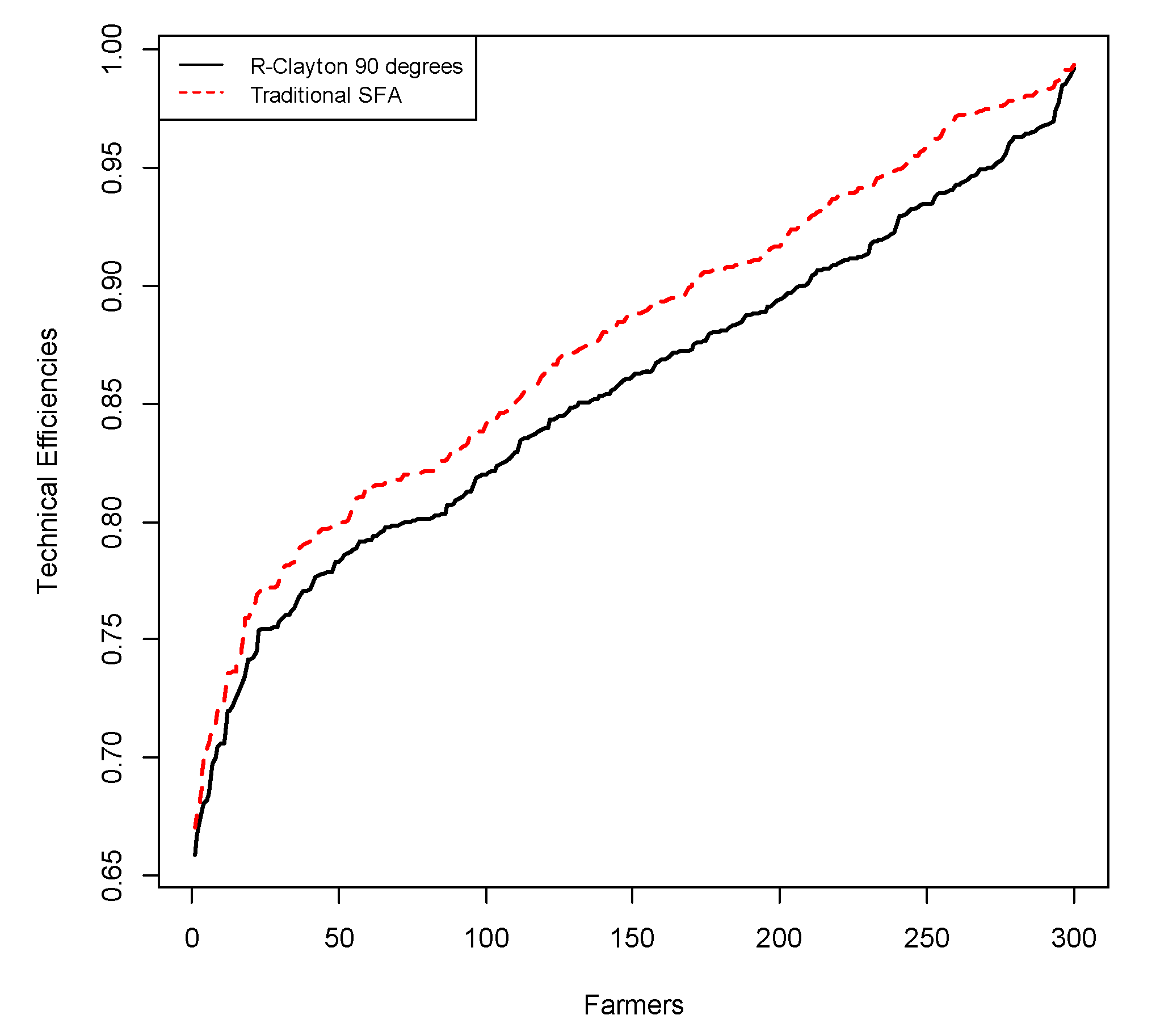
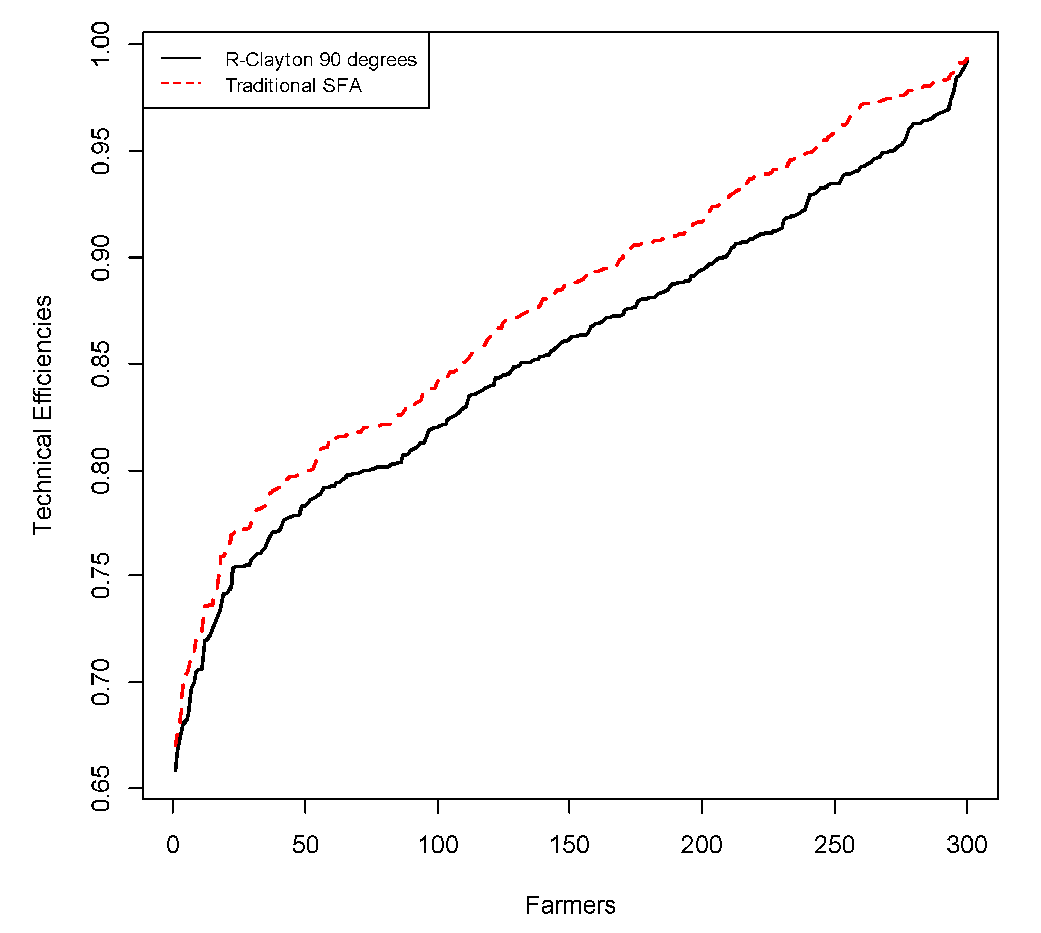
4.3. Technical Efficiency Distribution
4.4. Determinants of Technical Efficiency
5. Conclusions and Discussion
Author Contributions
Funding
Institutional Review Board Statement
Informed Consent Statement
Data Availability Statement
Acknowledgments
Conflicts of Interest
References
- Afriat, S.N. Efficiency estimation of production functions. Int. Econ. Rev. 1972, 13, 568–598. [Google Scholar] [CrossRef]
- Richmond, J. Estimating the Efficiency of Production. Int. Econ. Rev. 1974, 15, 515–521. [Google Scholar] [CrossRef]
- Aigner, D.J.; Lovell, C.A.K.; Schmidt, P. Formulation and estimation of Stochastic Frontier Production function models. J. Econom. 1977, 6, 21–37. [Google Scholar] [CrossRef]
- Meeusen, W.; Broeck, V.D. Efficiency estimation from Cobb-Douglas production function with composed error. Int. Econ. Rev. 1977, 18, 435–455. [Google Scholar] [CrossRef]
- Greene, W.H. Simulated Likelihood Estimation of the Normal-Gamma Stochastic Frontier Function. J. Product. Anal. 2003, 19, 179–190. [Google Scholar] [CrossRef]
- Rahman, S.; Wiboonpongse, A.; Sriboonchitta, S.; Chaovanapoonphol, Y. Production efficiency of Jasmine rice farmers in northern and northeastern Thailand. J. Agric. Econ. 2009, 60, 419–435. [Google Scholar] [CrossRef] [Green Version]
- Obianefo, C.A.; Ng’ombe, J.N.; Mzyece, A.; Masasi, B.; Obiekwe, N.J.; Anumudu, O.O. Technical Efficiency and Technological Gaps of Rice Production in Anambra State, Nigeria. Agriculture 2021, 11, 1240. [Google Scholar] [CrossRef]
- Anwar, M. Cost efficiency performance of Indonesian banks over the recovery period: A stochastic frontier analysis. Soc. Sci. J. 2019, 56, 377–389. [Google Scholar] [CrossRef]
- Liu, J.; Wang, M.; Yang, L.; Rahman, S.; Sriboonchitta, S. Agricultural Productivity Growth and Its Determinants in South and Southeast Asian Countries. Sustainability 2020, 12, 4981. [Google Scholar] [CrossRef]
- Song, F.; Yu, Y. Modelling energy efficiency in China: A fixed-effects panel stochastic frontier approach. Econ. Political Stud. 2018, 6, 158–175. [Google Scholar] [CrossRef]
- Jiang, W.; Zhang, H.; Lin, Y. Trade Sustainability and Efficiency under the Belt and Road Initiative: A Stochastic Frontier Analysis of China’s Trade Potential at Industry Level. Emerg. Mark. Finance Trade 2022, 58, 1740–1752. [Google Scholar] [CrossRef]
- Malik, M.A.; Masood, T. A decomposition analysis of total factor productivity growth in MENA countries: Stochastic frontier analysis approach. Middle East Dev. J. 2021, 13, 347–366. [Google Scholar] [CrossRef]
- Carroll, J.; Newman, C.; Thorne, F. A comparison of stochastic frontier approaches for estimating technical inefficiency and total factor productivity. Appl. Econ. 2011, 43, 4007–4019. [Google Scholar] [CrossRef]
- Smith, M.D. Stochastic frontier models with dependent error components. Econom. J. 2008, 11, 172–192. [Google Scholar] [CrossRef]
- Mehdi, R.E.; Hafner, C.M. Inference in stochastic frontier analysis with dependent error terms. Math. Comput. Simul. 2014, 102, 131–143. [Google Scholar] [CrossRef]
- Wiboonpongse, A.; Liu, J.; Sriboonchitta, S.; Denoeux, T. Modelling dependence between error components of the stochastic frontier model using copula: Application to intercrop coffee production in northern Thailand. Int. J. Approx. Reason. 2015, 65, 34–44. [Google Scholar] [CrossRef]
- Bonanno, G.; De Giovanni, D.; Domma, F. The “wrong skewness” problem: A re-specification of stochastic frontiers. J. Prod. Anal. 2017, 47, 49–64. [Google Scholar] [CrossRef] [Green Version]
- Amsler, C.; Prokhorov, A.; Schmidt, P. Using Copulas to Model Time Dependence in Stochastic Frontier Models. Econom. Rev. 2014, 33, 497–522. [Google Scholar] [CrossRef]
- Lai, H.; Kumbhakar, S.C. Panel Stochastic Frontier Model with Endogenous Inputs and Correlated Random Components. J. Bus. Econ. Stat. 2021, 2021, 1–17. [Google Scholar]
- Wei, Z.; Conlon, E.M.; Wang, T. Asymmetric dependence in the stochastic frontier model using skew normal copula. Int. J. Approx. Reason. 2021, 128, 56–68. [Google Scholar] [CrossRef]
- Sriboonchitta, S.; Liu, J.; Wiboonpongse, A.; Denoeux, T. A double-copula stochastic frontier model with dependent error components and correction for sample selection. Int. J. Approx. Reason. 2017, 80, 174–184. [Google Scholar] [CrossRef] [Green Version]
- Battese, G.; Coelli, T. A model for technical inefficiency effects in a stochastic frontier production function for panel data. Empir. Econ. 1995, 20, 325–332. [Google Scholar] [CrossRef] [Green Version]
- Carta, A.; Steel, M.F. Modelling multi-output stochastic frontiers using copulas. Comput. Stat. Data Anal. 2012, 56, 3757–3773. [Google Scholar] [CrossRef] [Green Version]
- Yuan, X.; Tang, J.; Wong, W.-K.; Sriboonchitta, S. Modeling Co-Movement among Different Agricultural Commodity Markets: A Copula-GARCH Approach. Sustainability 2020, 12, 393. [Google Scholar] [CrossRef] [Green Version]
- Huang, T.-H.; Hu, C.-N.; Chang, B.-G. Competition, efficiency, and innovation in Taiwan’s banking industry—An application of copula methods. Q. Rev. Econ. Financ. 2018, 67, 362–375. [Google Scholar] [CrossRef]
- Maria, E.C.J.; Salazar, I.; Sanz, L.; Villegas, M.A.G. Using Copula to Model Dependence When Testing Multiple Hypotheses in DNA Microarray Experiments: A Bayesian Approximation. Mathematics 2020, 8, 1514. [Google Scholar] [CrossRef]
- Yamaka, W.; Maneejuk, P. Analyzing the Causality and Dependence between Gold Shocks and Asian Emerging Stock Markets: A Smooth Transition Copula Approach. Mathematic 2020, 8, 120. [Google Scholar] [CrossRef] [Green Version]
- Wei, Z.; Kim, S.; Choi, B.; Kim, D. Multivariate Skew Normal Copula for Asymmetric Dependence: Estimation and Application. Int. J. Inf. Technol. Decis. Mak. 2019, 18, 365–387. [Google Scholar] [CrossRef]
- Sklar, S. Fonctions de repartition ‘an dimensions et leurs marges. Publ. Inst. Statist. Univ. Paris 1959, 8, 229–231. [Google Scholar]
- Boyer, B.H.; Gibson, M.S.; Loretan, M. Pitfalls in Tests for Changes in Correlations; IFS Discussion Paper No 597R; Federal Reserves Board: Washington, DC, USA, 1999.
- Schmidt, R. Tail dependence for elliptically contoured distributions. Math. Methods OR 2002, 55, 301–327. [Google Scholar] [CrossRef]
- Brechmann, E.C.; Schepsmeier, U. Modelling Dependence with C- and D-Vine Copulas: The R Package CDVine. J. Stat. Softw. 2013, 52, 1–29. [Google Scholar] [CrossRef] [Green Version]
- Sriboonchitta, S.; Nguyen, H.T.; Wiboonpongse, A.; Liu, J. Modelling volatility and dependency of agricultural price and production indices of Thailand: Static versus time-varying copulas. Int. J. Approx. Reason. 2013, 54, 793–808. [Google Scholar] [CrossRef]
- Cech, C. Copula-Based Top-Down Approaches in Financial Risk Aggregation; University of Applied Sciences BFI Vienna: Vienna, Austria, 2006. [Google Scholar]
- Luo, J. Stepwise Estimation of D-Vines with Arbitrary Specified Copula Pairs and EDA Tools. Ph.D. Thesis, Technische Universitaet Muenchen, Munich, Germany, 2010. [Google Scholar]
- Coelli, T.J. Estimators and hypothesis tests for a stochastic frontier function: A Monte-Carlo analysis. J. Product. Anal. 1995, 6, 247–268. [Google Scholar] [CrossRef]
- Guo, X.; Li, G.-R.; McAleer, M.; Wong, W.-K. Specification Testing of Production in a Stochastic Frontier Model. Sustainability 2018, 10, 3082. [Google Scholar] [CrossRef] [Green Version]
- Wang, H.-J.; Schmidt, P. One-step and two-step estimation of the effects of exogenous variables on technical efficiency levels. J. Product. Anal. 2002, 18, 129–144. [Google Scholar] [CrossRef]
- Burns, R. The Simulated Maximum Likelihood Estimation of Stochastic Frontier Models with Correlated Error Components; The University of Sydney: Camperdown, NSW, Australia, 2004. [Google Scholar]
- Liu, J.; Songsak, S.; Aree, W.; Thierry, D. A trivariate Gaussian copula stochastic frontier model with sample selection. Int. J. Approx. Reason. 2021, 137, 181–198. [Google Scholar] [CrossRef]
- Greene, W.H. Distinguishing between heterogeneity and inefficiency: Stochastic Frontier Analysis of the World Health Organization’s Panel Data on National Health Care Systems. Health Econ. 2004, 13, 959–980. [Google Scholar] [CrossRef]
- Lai, H.-P.; Huang, C.J. Maximum likelihood estimation of seemingly unrelated stochastic frontier regressions. J. Product. Anal. 2013, 40, 1–14. [Google Scholar] [CrossRef]
- Joe, H. Multivariate Models and Dependence Concepts; Chapman and Hall: London, UK, 1997. [Google Scholar]
- Wei, Z.; Zhu, X.; Wang, T. The extended skew-normal-based stochastic frontier model with a solution to “wrong skewness” problem. Statistics 2021, 55, 1387–1406. [Google Scholar] [CrossRef]
- Liu, J.; Wang, M.; Ma, J.; Rahman, S.; Sriboonchitta, S. A Simultaneous Stochastic Frontier Model with Dependent Error Components and Dependent Composite Errors: An Application to Chinese Banking Industry. Mathematics 2020, 8, 238. [Google Scholar] [CrossRef] [Green Version]
- Zhu, X.; Zheng, W.; Wang, T. Multivariate Skew Normal-Based Stochastic Frontier Models. J. Stat. Theory Pract. 2022, 16, 20. [Google Scholar] [CrossRef]
- Rahman, S.; Hasan, M.K. Impact of environmental production conditions on productivity and efficiency: The case of wheat producers in Bangladesh. J. Environ. Manag. 2008, 88, 1495–1504. [Google Scholar] [CrossRef] [PubMed] [Green Version]
- Rahman, S.; Rahman, M. Impact of land fragmentation and resource ownership on productivity and efficiency: The case of rice producers in Bangladesh. Land Use Policy 2009, 26, 95–103. [Google Scholar] [CrossRef] [Green Version]
- Coelli, T.; Rahman, S.; Thirtle, C. Technical, allocative, cost and scale efficiencies in Bangladesh rice cultivation: A non-parametric approach. J. Agric. Econ. 2002, 53, 607–626. [Google Scholar] [CrossRef]




| N = 500 | True | Model 1 | Model 2 | Model 3 | Model 4 | Model 5 | Model 6 | True | Model 6 (Opposite Data) |
|---|---|---|---|---|---|---|---|---|---|
| β0 | 10 | −10.11 | −6.77 | −7.72 | −3.92 | −2.48 | −0.30 | 10 | −0.45 |
| β1 | 0.7 | −0.10 | −0.07 | −0.07 | −0.03 | −0.02 | −0.02 | 0.7 | −1.36 |
| δ1 | 0.7 | −36.85 | −20.5 | −1.85 | 0 | −1.15 | |||
| σw | 1 | −93.75 | −85.99 | −63.73 | −49.01 | 2.74 | −2.75 | 1 | −5.36 |
| σv | 1 | −26.95 | −31.75 | −15.79 | −15.67 | −15.67 | 1.89 | 1 | −0.43 |
| ρ | 0.6 | −16.38 | −39.71 | −5.22 | 1.10 | 0 | 0.91 | ||
| average | −32.73 | −32.29 | −20.74 | −21.48 | −4.17 | −0.35 | −1.31 | ||
| PAIC | 0 | 0 | 0 | 0 | 0 | 100 | |||
| N = 1000 | |||||||||
| β0 | 10 | −10.38 | −6.92 | −8.05 | −5.27 | −2.26 | −0.14 | 10 | −0.56 |
| β1 | 0.7 | 0.28 | 0.39 | 0.26 | 0.38 | 0.01 | 0.21 | 0.7 | −0.22 |
| δ1 | 0.7 | −38.40 | −26.19 | −1.25 | 0 | −12.59 | |||
| σw | 1 | −97.43 | −87.78 | −68.22 | −64.89 | 4.94 | −1.27 | 1 | −4.18 |
| σv | 1 | −26.05 | −30.92 | −18.95 | −21.49 | −21.49 | 0.40 | 1 | 0.87 |
| ρ | 0.6 | −22.04 | −51.65 | −7.80 | −2.83 | 0 | 0.03 | ||
| average | −33.40 | −32.73 | −23.40 | −28.18 | −5.32 | −0.81 | −2.78 | ||
| PAIC | 0 | 0 | 0 | 0 | 0 | 100 | |||
| N = 2000 | |||||||||
| β0 | 10 | −10.55 | −6.95 | −9.92 | −4.58 | −1.38 | 0.25 | 10 | −0.22 |
| β1 | 0.7 | −0.12 | −0.1 | −0.12 | −0.1 | −0.22 | −0.16 | 0.7 | 0.28 |
| δ1 | 0.7 | −38.11 | −22.28 | 1.47 | 0 | 0.01 | |||
| σw | 1 | −98.971 | −87.80 | −91.05 | −56.72 | 16.44 | 3.24 | 1 | 2.96 |
| σv | 1 | −25.46 | −30.47 | −23.71 | −18.19 | −18.19 | 0.73 | 1 | 0.76 |
| ρ | 0.6 | −42.28 | −45.26 | −10.60 | −0.13 | 0 | 0.03 | ||
| average | −33.77 | −32.69 | −33.42 | −24.52 | −2.79 | 0.90 | 0.64 | ||
| PAIC | 0 | 0 | 0 | 0 | 0 | 100 |
| LogL | AIC | BIC | LR Stat. | Prob. | |
|---|---|---|---|---|---|
| Traditional (independent) | 329.5476 | −601.0953 | −493.6856 | --- | --- |
| Gaussian | 335.4526 | −610.9052 | −499.7917 | 11.8099 *** | 0.0006 |
| T | 336.7568 | −611.5136 | −496.6963 | 14.4182 *** | 0.0007 |
| Frank | 335.764 | −611.5281 | −500.4146 | 12.4328 *** | 0.0004 |
| R-Clayton 90° | 336.0464 | −612.0929 | −500.9794 | 12.9976 *** | 0.0004 |
| R-Clayton 270° | 334.9488 | −609.8976 | −498.7841 | 10.8022 *** | 0.0010 |
| R-Gumbel 90° | 334.3136 | −608.6271 | −497.5136 | 9.5318 *** | 0.0020 |
| R-Gumbel 270° | 334.8883 | −609.7766 | −498.6631 | 10.6813 *** | 0.0011 |
| R-Joe 90° | 331.8217 | −603.6433 | −492.5299 | 4.5480 ** | 0.0329 |
| R-Joe 270° | 333.7519 | −607.5037 | −496.3902 | 8.4084 *** | 0.0037 |
| Parameters | Traditional SFM | Standard Error | Copula-Based SFM: R-Clayton 90° | Standard Error |
|---|---|---|---|---|
| Production frontier | ||||
| Constant | 10.3448 *** | 0.1279 | 10.3600 *** | 0.0291 |
| ln Labour | 0.0467 | 0.0363 | 0.0501 ** | 0.0227 |
| ln Land | 0.8042 *** | 0.2203 | 0.7907 *** | 0.0581 |
| ln Input | 0.1503 | 0.2128 | 0.1693 *** | 0.0580 |
| ln Mechanical power | 0.0091 | 0.0308 | 0.0075 | 0.0078 |
| ln Irrigation | −0.0136 | 0.0767 | −0.0184 | 0.0140 |
| Plain | 0.0336 | 0.0308 | 0.0028 | 0.0125 |
| Slope | 0.0061 | 0.0185 | −0.0087 | 0.0103 |
| 0.5 × (ln Labour)2 | −0.7805 *** | 0.0929 | −0.7879 *** | 0.0425 |
| 0.5 × (ln Land)2 | 1.5313 *** | 0.3457 | 1.5470 *** | 0.1434 |
| 0.5 × (ln Input)2 | −0.1629 ** | 0.0721 | −0.1736 *** | 0.0373 |
| 0.5 × (ln Mechanical power)2 | −0.0276 | 0.0242 | −0.0374 ** | 0.0152 |
| 0.5 × (ln Irrigation)2 | −0.0019 | 0.0109 | −0.0025 | 0.0020 |
| ln Labour × ln Land | −0.4206 * | 0.2177 | −0.4097 *** | 0.1456 |
| ln Labour × ln Input | 0.6970 *** | 0.2288 | 0.6811 *** | 0.1611 |
| ln Labour × ln Mechanical power | 0.0931 * | 0.0503 | 0.0936 *** | 0.0203 |
| ln Labour × ln Irrigation | 0.0005 | 0.0021 | 0.0016 | 0.0017 |
| ln Land × ln Input | −0.7573 *** | 0.1694 | −0.7507 *** | 0.0646 |
| ln Land × ln Mechanical power | −0.7936 ** | 0.3152 | −0.7979 *** | 0.1126 |
| ln Land × ln Irrigation | −0.0155 | 0.0121 | −0.0181 *** | 0.0032 |
| ln Input × ln Mechanical Power | 0.8174 *** | 0.2985 | 0.8291 *** | 0.1078 |
| ln Input × Ln irrigation | 0.0146 | 0.0116 | 0.0170 *** | 0.0022 |
| ln Mechanical power × ln Irrigation | 0.0001 | 0.0020 | 0.0002 | 0.0009 |
| Inefficiency effects function | ||||
| Experience | −0.0009 | 0.0161 | −0.0010 | 0.0028 |
| Family size | 0.0135 | 0.0103 | 0.0131 *** | 0.0028 |
| Education | 0.0006 | 0.0048 | 0.0005 | 0.0034 |
| Share of hired labour | 0.2071 *** | 0.0531 | 0.2079 *** | <0.0001 |
| Model diagnostics | ||||
| σ2 | 0.0131 *** | 0.0026 | 0.0130 *** | 0.0001 |
| γ | 0.9803 *** | 0.0266 | 0.9908 *** | 0.0026 |
| σw | 0.1134 | --- | 0.1135 *** | <0.0001 |
| σv | 0.0160 | --- | 0.0109 *** | 0.0016 |
| λ | 7.0681 | --- | 10.3983 *** | 1.5070 |
| θ | --- | --- | −0.5777 | 0.4281 |
| τ | --- | --- | −0.2241 *** | 0.0179 |
| Sρ | --- | --- | −0.3297 ** | 0.1333 |
| Efficiency Levels | Conventional SFM | R-Clayton 90° SFM |
|---|---|---|
| Up to 70% | 0.0167 | 0.0300 |
| 71–80% | 0.1633 | 0.2567 |
| 81–90% | 0.3967 | 0.4167 |
| 91% and above | 0.4233 | 0.2966 |
| Efficiency scores | ||
| Mean | 0.8776 | 0.8558 |
| Standard deviation | 0.0748 | 0.0732 |
| Minimum | 0.6702 | 0.6586 |
| Maximum | 0.9937 | 0.9924 |
| Mean difference | --- | 0.0218 |
| t-ratio for mean difference | --- | 36.8928 *** |
| Number of observations | 300 | 300 |
| Rank | Conventional SFM | R-Clayton 90° SFM | ||
|---|---|---|---|---|
| Farmer ID | TE | Farmer ID | TE | |
| 1 | 38 | 0.9937 | 38 | 0.9924 |
| 2 | 68 | 0.9916 | 68 | 0.9895 |
| 3 | 34 | 0.9915 | 34 | 0.9868 |
| 4 | 69 | 0.9712 | 50 | 0.9853 |
| 5 | 281 | 0.9878 | 23 | 0.9850 |
| … | … | … | … | … |
| 296 | 135 | 0.7036 | 154 | 0.6819 |
| 297 | 173 | 0.6985 | 135 | 0.6807 |
| 298 | 42 | 0.6824 | 178 | 0.6741 |
| 299 | 185 | 0.6753 | 42 | 0.6668 |
| 300 | 178 | 0.6702 | 185 | 0.6587 |
| Rank | Farmer ID | Technical Efficiency Scores | Differences | |
|---|---|---|---|---|
| Conventional SFM | R-Clayton 90° SFM | |||
| 1 | 250 | 0.891 | 0.8433 | 0.0477 |
| 2 | 251 | 0.979 | 0.9332 | 0.0458 |
| 3 | 248 | 0.8817 | 0.8373 | 0.0443 |
| 4 | 71 | 0.9372 | 0.897 | 0.0402 |
| 5 | 37 | 0.8998 | 0.8607 | 0.0391 |
| … | … | … | … | … |
| 296 | 23 | 0.9758 | 0.9849 | −0.0091 |
| 297 | 50 | 0.9758 | 0.9853 | −0.0094 |
| 298 | 129 | 0.8167 | 0.8265 | −0.0098 |
| 299 | 128 | 0.9388 | 0.9536 | −0.0147 |
| 300 | 127 | 0.8712 | 0.8872 | −0.016 |
Publisher’s Note: MDPI stays neutral with regard to jurisdictional claims in published maps and institutional affiliations. |
© 2022 by the authors. Licensee MDPI, Basel, Switzerland. This article is an open access article distributed under the terms and conditions of the Creative Commons Attribution (CC BY) license (https://creativecommons.org/licenses/by/4.0/).
Share and Cite
Li, K.; Liu, J.; Xue, Y.; Rahman, S.; Sriboonchitta, S. Consequences of Ignoring Dependent Error Components and Heterogeneity in a Stochastic Frontier Model: An Application to Rice Producers in Northern Thailand. Agriculture 2022, 12, 1078. https://doi.org/10.3390/agriculture12081078
Li K, Liu J, Xue Y, Rahman S, Sriboonchitta S. Consequences of Ignoring Dependent Error Components and Heterogeneity in a Stochastic Frontier Model: An Application to Rice Producers in Northern Thailand. Agriculture. 2022; 12(8):1078. https://doi.org/10.3390/agriculture12081078
Chicago/Turabian StyleLi, Kexin, Jianxu Liu, Yuting Xue, Sanzidur Rahman, and Songsak Sriboonchitta. 2022. "Consequences of Ignoring Dependent Error Components and Heterogeneity in a Stochastic Frontier Model: An Application to Rice Producers in Northern Thailand" Agriculture 12, no. 8: 1078. https://doi.org/10.3390/agriculture12081078
APA StyleLi, K., Liu, J., Xue, Y., Rahman, S., & Sriboonchitta, S. (2022). Consequences of Ignoring Dependent Error Components and Heterogeneity in a Stochastic Frontier Model: An Application to Rice Producers in Northern Thailand. Agriculture, 12(8), 1078. https://doi.org/10.3390/agriculture12081078

