Agronomic and Physicochemical Properties Facilitating the Synchronization of Grain Yield and the Overall Palatability of Japonica Rice in East China
Abstract
:1. Introduction
2. Materials and Methods
2.1. Plant Materials, Experimental Site, and Field Management
2.2. Sampling and Measurement
2.2.1. LAI, Shoot Biomass, N Concentration, Leaf Photosynthetic Rate, SPAD Values, Enzymatic Activity
2.2.2. Grain Yield and Grain Quality
2.3. Statistical Analysis
3. Results
3.1. Grain Yield, Overall Palatability, and Yield Components
3.2. Shoot Biomass, Harvest Index, N Accumulation, and LAI
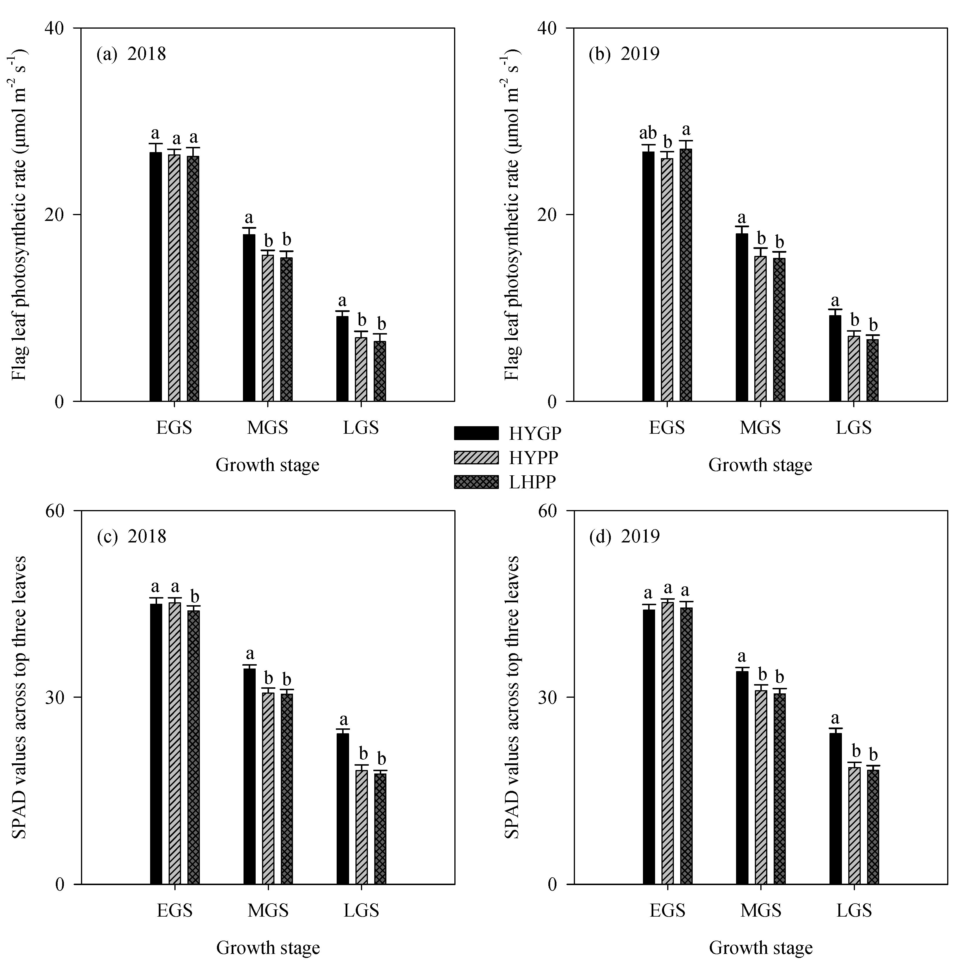
3.3. Leaf Photosynthetic Rate, SPAD Values, and Enzymatic Activities
3.4. Milling, Appearance, Nutritional Qualities, and RVA
3.5. Correlation Analysis
4. Discussion
5. Conclusions
Author Contributions
Funding
Institutional Review Board Statement
Informed Consent Statement
Data Availability Statement
Conflicts of Interest
References
- Birla, D.S.; Malik, K.; Sainger, M.; Chaudhary, D.; Jaiwal, R.; Jaiwal, P.K. Progress and challenges in improving the nutritional quality of rice (Oryza sativa L.). Crit. Rev. Food Sci. 2017, 57, 2455–2481. [Google Scholar] [CrossRef]
- Fischer, R.A.T.; Edmeades, G.O. Breeding and cereal yield progress. Crop Sci. 2010, 50, S85–S98. [Google Scholar] [CrossRef] [Green Version]
- Zeng, D.L.; Tian, Z.X.; Rao, Y.C.; Dong, G.J.; Yang, Y.L.; Huang, L.C.; Leng, Y.J.; Xu, J.; Sun, C.; Zhang, G.H.; et al. Rational design of high-yield and superior-quality rice. Nat. Plants 2017, 3, 17031. [Google Scholar] [CrossRef] [PubMed]
- Fitzgerald, M.A.; McCouch, S.R.; Hall, R.D. Not just a grain of rice: The quest for quality. Trends Plant Sci. 2009, 14, 133–139. [Google Scholar] [CrossRef] [PubMed]
- Zhou, T.Y.; Zhou, Q.; Li, E.P.; Yuan, L.M.; Wang, W.L.; Zhang, H.; Liu, L.J.; Wang, Z.Q.; Yang, J.C.; Gu, J.F. Effects of nitrogen fertilizer on structure and physicochemical properties of ‘super’ rice starch. Carbohydr. Polym. 2020, 239, 116237. [Google Scholar] [CrossRef]
- Abbai, R.; Singh, V.K.; Nachimuthu, V.V.; Sinha, P.; Selvaraj, R.; Vipparla, A.K.; Singh, A.K.; Singh, U.M.; Varshney, R.K.; Kumar, A. Haplotype analysis of key genes governing grain yield and quality traits across 3K RG panel reveals scope for the development of tailor-made rice with enhanced genetic gains. Plant Biotechnol. J. 2019, 17, 1612–1622. [Google Scholar] [CrossRef] [Green Version]
- Wang, C.L.; Zhang, Y.D.; Zhu, Z.; Chen, T.; Zhao, Q.Y.; Zhong, W.G.; Yang, J.; Yao, S.; Zhou, L.H.; Zhao, L.; et al. Research progress on the breeding of japonica super rice varieties in Jiangsu Province, China. J. Integr. Agric. 2017, 16, 992–999. [Google Scholar] [CrossRef] [Green Version]
- Bryant, R.J.; Anders, M.; McClung, A. Impact of production practices on physicochemical properties of rice grain quality. J. Sci. Food Agric. 2012, 92, 564–569. [Google Scholar] [CrossRef]
- Balindong, J.L.; Ward, R.M.; Liu, L.; Rose, T.J.; Pallas, L.A.; Ovenden, B.W.; Snell, P.J.; Waters, D.L.E. Rice grain protein composition influences instrumental measures of rice cooking and eating quality. J. Cereal Sci. 2018, 79, 35–42. [Google Scholar] [CrossRef] [Green Version]
- Cuevas, R.P.O.; Domingo, C.J.; Sreenicasulu, N. Multivariate-based classification of predicting cooking quality ideotypes in rice (Oryza sativa L.) indica germplasm. Rice 2018, 11, 56. [Google Scholar] [CrossRef]
- Khatun, A.; Waters, D.L.E.; Liu, L. The impact of rice protein on in vitro rice starch digestibility. Food Hydrocoll. 2020, 109, 106072. [Google Scholar] [CrossRef]
- Champagne, E.T.; Bett-Garber, K.L.; Fitzgerald, M.A.; Grimm, C.C.; Lea, J.; Ohtsubo, K.; Jongdee, S.; Xie, L.H.; Bassinello, P.Z.; Resurreccion, A.; et al. Important sensory properties differentiating premium rice varieties. Rice 2010, 3, 270–281. [Google Scholar] [CrossRef] [Green Version]
- Kobayashi, A.; Hori, K.; Yamamoto, T.; Yano, M. Koshihikari: A premium short-grain rice cultivar-its expansion and breeding in Japan. Rice 2018, 11, 15. [Google Scholar] [CrossRef] [PubMed] [Green Version]
- Sompong, R.; Siebenhandl-Ehn, S.; Linsberger-Martin, G.; Berghofer, E. Physicochemical and antioxidative properties of red and black rice varieties from Thailand, China and Sri Lanka. Food Chem. 2011, 124, 132–140. [Google Scholar] [CrossRef]
- Xu, Y.J.; Ying, Y.N.; Ouyang, S.H.; Duan, X.L.; Sun, H.; Jiang, S.K.; Sun, S.C.; Bao, J.S. Factors affecting sensory quality of cooked japonica rice. Rice Sci. 2018, 25, 330–339. [Google Scholar]
- Yang, Y.H.; Guo, M.; Sun, S.Y.; Zou, Y.L.; Yin, S.Y.; Liu, Y.N.; Tang, S.Z.; Gu, M.H.; Yang, Z.F.; Yan, C.J. Natural variation of OsGluA2 is involved in grain protein content regulation in rice. Nat. Commun. 2019, 10, 1949. [Google Scholar] [CrossRef]
- Gu, J.F.; Chen, J.; Chen, L.; Wang, Z.Q.; Zhang, H.; Yang, J.C. Grain quality changes and responses to nitrogen fertilizer of japonica rice cultivars released in the Yangtze River Basin from the 1950s to 2000s. Crop J. 2015, 3, 285–297. [Google Scholar] [CrossRef] [Green Version]
- Yao, Y.K.; Miao, Y.X.; Huang, S.Y.; Gao, L.; Ma, X.B.; Zhao, G.M.; Jiang, R.F.; Chen, X.P.; Zhang, F.S.; Yu, K.; et al. Active canopy sensor-based precision N management strategy for rice. Agron. Sustain. Dev. 2012, 32, 925–933. [Google Scholar] [CrossRef] [Green Version]
- Peng, S.B.; Buresh, R.J.; Huang, J.L.; Zhong, X.H.; Zou, Y.B.; Yang, J.C.; Wang, G.H.; Liu, Y.Y.; Hu, R.F.; Tang, Q.Y.; et al. Improving nitrogen fertilization in rice by site specific N management. A review. Agron. Sustain. Dev. 2010, 30, 649–656. [Google Scholar] [CrossRef]
- Peng, B.; Kong, H.L.; Li, Y.B.; Wang, L.Q.; Zhong, M.; Sun, L.; Gao, G.J.; Zhang, Q.L.; Luo, L.J.; Wang, G.W.; et al. OsAAP6 functions as an important regulator of grain protein content and nutritional quality in rice. Nat. Commun. 2014, 5, 4847. [Google Scholar] [CrossRef] [Green Version]
- Zhu, D.W.; Zhang, H.C.; Guo, B.W.; Xu, K.; Dai, Q.G.; Wei, H.Y.; Gao, H.; Hu, Y.J.; Cui, P.Y.; Huo, Z.Y. Effects of nitrogen level on yield and quality of japonica soft super rice. J. Integr. Agric. 2017, 16, 1018–1027. [Google Scholar] [CrossRef]
- Zhang, J.; Zhang, Y.Y.; Song, N.Y.; Chen, Q.L.; Sun, H.Z.; Peng, T.; Huang, S.; Zhao, Q.Z. Response of grain-filling rate and grain quality of mid-season indica rice to nitrogen application. J. Integr. Agric. 2021, 20, 1465–1473. [Google Scholar] [CrossRef]
- Wang, W.T.; Cui, W.P.; Xu, K.; Gao, H.; Wei, H.Y.; Zhang, H.C. Early- and late-sowing effects on rice starch accumulation and associated enzyme activities during grain-filling stage. Rice Sci. 2021, 28, 191–199. [Google Scholar]
- Zhu, Y.; Xu, D.; Ma, Z.T.; Chen, X.Y.; Zhang, M.Y.; Zhang, C.; Liu, G.D.; Wei, H.Y.; Zhang, H.C. Differences in eating quality attributes between japonica rice from the northeast region and semiglutinous japonica rice from the Yangtze river delta of China. Foods 2021, 10, 2770. [Google Scholar] [CrossRef] [PubMed]
- Allahgholipour, M.; Ali, A.J.; Alinia, F.; Nagamine, T.; Kojima, Y. Relationship between rice grain amylose and pasting properties for breeding better quality rice varieties. Plant Breed. 2006, 125, 357–362. [Google Scholar] [CrossRef]
- Peng, S.; Qian, C.R.; Jin, Z.X.; Luo, Q.X.; Jin, X.Y. Relationship between variation in activities of key enzymes related to starch synthesis during grain filling period and quality of eating and cooking in rice. Rice Sci. 2006, 13, 43–50. [Google Scholar]
- Wang, X.Y.; Li, T.; Yang, X.G.; Zhang, T.Y.; Liu, Z.J.; Guo, E.J.; Liu, Z.Q.; Qu, H.H.; Chen, X.; Wang, L.Z.; et al. Rice yield potential, gaps and constraints during the past three decades in a climate-changing Northeast China. Agric. For. Meteorol. 2018, 259, 173–183. [Google Scholar] [CrossRef]
- Wei, H.H.; Meng, T.Y.; Ge, J.L.; Zhang, X.B.; Shi, T.Y.; Ding, E.H.; Lu, Y.; Li, X.Y.; Tao, Y.; Chen, Y.L.; et al. Reduced nitrogen application rate with dense planting improves rice grain yield and nitrogen use efficiency: A case study in east China. Crop J. 2021, 9, 954–961. [Google Scholar] [CrossRef]
- Ma, H.Z.; Chen, X.Y.; Wang, Z.J.; Zhu, Y.; Jiang, W.Q.; Ren, G.L.; Ma, Z.T.; Wei, H.Y.; Zhang, H.C.; Liu, G.D. Analysis on appearance and cooking taste quality characteristics of some high quality japonica rice in China. Sci. Agric. Sin. 2021, 54, 1338–1353. (In Chinese) [Google Scholar]
- Mao, T.; Li, X.; Jiang, S.K.; Tang, L.; Wang, J.Y.; Xu, H.; Xu, Z.J. Discussion on strategy of grain quality improvement for super high yielding japonica rice in Northeast China. J. Integr. Agric. 2017, 16, 1075–1083. [Google Scholar] [CrossRef] [Green Version]
- Bian, J.L.; Xu, F.F.; Han, C.; Qiu, S.; Ge, J.L.; Xu, J.; Zhang, H.C.; Wei, H.Y. Effects of planting methods on yield and quality of different types of japonica rice in northern Jiangsu plain, China. J. Integr. Agric. 2018, 17, 2624–2635. [Google Scholar] [CrossRef]
- Liu, X.; Li, M.; Guo, P.; Zhang, Z.X. Optimization of water and fertilizer coupling system based on rice grain quality. Agric. Water Manag. 2019, 221, 34–46. [Google Scholar] [CrossRef]
- Nkonge, C.; Ballance, G.M. A sensitive colorimetric prodecure for nitrogen determination in micro-Kjeldahl digests. J. Agric. Food Chem. 1982, 30, 416–420. [Google Scholar] [CrossRef]
- Villareal, C.P.; De La Cruz, N.M.; Juliano, B.O. Rice amylose analysis by near-infrared transmittance spectroscopy. Cereal Chem. 1994, 71, 292–296. [Google Scholar]
- Tran, K.N.; Witt, T.; Gidley, M.J.; Fitzgerald, M. Accounting for the effect of degree of milling on rice protein extraction in an industrial setting. Food Chem. 2018, 253, 221–226. [Google Scholar] [CrossRef] [Green Version]
- Bradford, M.M. A rapid and sensitive method for the quantitation of microgram quantities of protein utilizing the principle of protein-dye binding. Anal. Biochem. 1976, 72, 248–254. [Google Scholar] [CrossRef]
- Chen, H.; Chen, D.; He, L.H.; Wang, T.; Lu, H.; Yang, F.; Deng, F.; Chen, Y.; Tao, Y.F.; Li, M.; et al. Correlation of taste values with chemical compositions and Rapid Visco Analyser profiles of 36 indica rice (Oryza sativa L.) varieties. Food Chem. 2021, 349, 129176. [Google Scholar] [CrossRef]
- Hori, K.; Suzuki, K.; Lijima, K.; Ebana, K. Variation in cooking and eating quality traits in Japanese rice germplasm accessions. Breed. Sci. 2016, 66, 309–318. [Google Scholar] [CrossRef] [Green Version]
- Chen, B.; Li, J.; Hua, J.; Huo, Z.Y.; Zhang, H.C.; Cheng, F.H.; Huang, D.S.; Chen, Z.P.; Chen, H.; Guo, B.W.; et al. Differences of yield and major quality characters between four late double-harvest rice varieties. Acta Agron. Sin. 2017, 43, 1216–1225. (In Chinese) [Google Scholar] [CrossRef]
- Laenoi, S.; Rerkasem, B.; Lordkaew, S.; Prom-u-thai, C. Seasonal variation in grain yield and quality in different rice varieties. Field Crops Res. 2018, 221, 350–357. [Google Scholar] [CrossRef]
- Wang, Y.Z.; Zhang, N.; Chen, H.W.; Wang, F.; Huang, Y.C.; Jia, B.Y.; Wang, S.; Wang, Y.; Xu, Z.J. Effects of DEP1 on grain yield and grain quality in the background of two japonica rice (Oryza sativa) cultivars. Plant Breed. 2020, 139, 608–617. [Google Scholar] [CrossRef]
- Xu, Q.; Chen, W.F.; Xu, Z.J. Relationship between grain yield and quality in rice germplasms grown across different growing areas. Breed. Sci. 2015, 65, 226–232. [Google Scholar] [CrossRef] [PubMed] [Green Version]
- Hu, L.; Zhu, Y.; Xu, D.; Chen, Z.F.; Hu, B.Q.; Han, C.; Qiu, S.; Wu, P.; Zhang, H.C.; Wei, H.Y. Characteristics of good taste and high yield type of single cropping late japonica rice in southern China. Sci. Agric. Sin. 2019, 52, 215–227. (In Chinese) [Google Scholar]
- Zhu, Y.; Xu, D.; Hu, L.; Hua, C.; Chen, Z.F.; Zhang, Z.Z.; Zhou, N.B.; Liu, G.D.; Zhang, H.C.; Wei, H.Y. Characteristics of medium-maturity conventional japonica rice with good taste and high yield in Jianghuai area. Acta Agron. Sin. 2019, 45, 578–588. (In Chinese) [Google Scholar] [CrossRef]
- Zhang, Q.; Hu, Y.J.; Guo, B.W.; Zhang, H.C.; Xu, X.J.; Xu, Y.F.; Zhu, B.H.; Xu, J.F.; Niu, Z.Y.; Tu, R.W. Study on the characteristics of soft japonica rice varieties with good taste and high yield in Taihu lake area. Chin. J. Rice Sci. 2021, 35, 279–290. (In Chinese) [Google Scholar]
- Nagarajan, S.; Jagadish, S.V.K.; Prasad, A.S.H.; Thomar, A.K.; Anand, A.; Pal, M.; Agarwal, P.K. Local climate affects growth, yield and grain quality of aromatic and non-aromatic rice in northwestern India. Agric. Ecosyst. Environ. 2010, 138, 274–281. [Google Scholar] [CrossRef]
- Ni, D.H.; Zhang, S.L.; Chen, S.; Xu, Y.; Li, L.; Li, H.; Wang, Z.Y.; Cai, X.L.; Li, Z.F.; Yang, J.B. Improving cooking and eating quality of Xieyou57, an elite indica hybrid rice, by marker-assisted selection of the Wx locus. Euphytica 2011, 179, 355–362. [Google Scholar] [CrossRef] [Green Version]
- Meng, T.Y.; Chen, X.; Zhang, X.B.; Ge, J.L.; Zhou, G.S.; Dai, Q.G. Grain-filling characteristics in extra-large panicle type of early-maturing japonica/indica hybrids. Agriculture 2021, 11, 1165. [Google Scholar] [CrossRef]
- Triboi, E.; Martre, P.; Girousse, C.; Ravel, C.; Triboi-Blondel, A. Unravelling environmental and genetic relationships between grain yield and nitrogen concentration for wheat. Eur. J. Agron. 2006, 25, 108–118. [Google Scholar] [CrossRef]
- Wei, H.H.; Meng, T.Y.; Li, X.Y.; Dai, Q.G.; Zhang, H.C.; Yin, X.Y. Sink-source relationship during rice grain filling is associated with grain nitrogen concentration. Field Crops Res. 2018, 215, 23–38. [Google Scholar] [CrossRef]
- Yin, X.Y.; Guo, W.S.; Spiertz, J.H. A quantitative approach to characterize sink–source relationships during grain filling in contrasting wheat genotypes. Field Crops Res. 2009, 114, 119–126. [Google Scholar] [CrossRef]
- Pandey, M.K.; Rani, N.S.; Madhav, M.S.; Sundaram, R.M.; Varaprasad, G.S.; Sivaranjani, A.K.P.; Bohra, A.; Kumar, G.R.; Kumar, A. Different isoforms of starch-synthesizing enzymes controlling amylose and amylopectin content in rice (Oryza sativa L.). Biotechnol. Adv. 2012, 30, 1697–1706. [Google Scholar] [CrossRef] [PubMed] [Green Version]
- Gong, D.K.; Xu, X.M.; Wu, L.A.; Dai, G.J.; Zheng, W.J.; Xu, Z.J. Effect of biochar on rice starch properties and starch-related gene expression and enzyme activities. Sci. Rep. 2020, 10, 16917. [Google Scholar] [CrossRef] [PubMed]
- Ahmed, N.; Tetlow, I.J.; Nawaz, S.; Iqbal, A.; Mubin, M.; Rehman, M.S.N.; Butt, A.; Lightfoot, D.A.; Maekawa, M. Effect of high temperature on grain filling period, yield, amylose content and activity of starch biosynthesis enzymes in endosperm of basmati rice. J. Sci. Food Agric. 2015, 95, 2237–2243. [Google Scholar] [CrossRef]
- Feng, F.; Li, Y.; Qin, X.; Liao, Y.; Siddique, K.H.M. Changes in rice grain quality of indica and japonica type varieties released in China from 2000 to 2014. Front. Plant Sci. 2017, 8, 1863. [Google Scholar] [CrossRef] [Green Version]
- Hsu, Y.C.; Tseng, M.C.; Wu, Y.P.; Lin, M.Y.; Wei, F.J.; Hwu, K.K.; Hsing, Y.I.; Lin, Y.R. Genetic factors responsible for eating and cooking qualities of rice grains in a recombinant inbred population of an inter-subspecific cross. Mol. Breed. 2014, 34, 655–673. [Google Scholar] [CrossRef] [Green Version]
- Deng, F.; Wang, L.; Pu, S.L.; Mei, X.F.; Li, S.X.; Li, Q.P.; Ren, W.J. Shading stress increases chalkiness by postponing caryopsis development and disturbing starch characteristics of rice grains. Agric. For. Meteorol. 2018, 263, 49–58. [Google Scholar] [CrossRef]
- Deng, F.; Li, Q.P.; Chen, H.; Zeng, Y.L.; Li, B.; Zhong, X.Y.; Wang, L.; Ren, W.J. Relationship between chalkiness and the structural and thermal properties of rice starch after shading during grain-filling stage. Carbohydr. Polym. 2021, 252, 117212. [Google Scholar] [CrossRef]
- Tong, C.; Chen, Y.L.; Tang, F.F.; Xu, F.F.; Huang, Y.; Chen, H.; Bao, J.S. Genetic diversity of amylose content and RVA pasting parameters in 20 rice accessions grown in Hainan, China. Food Chem. 2014, 161, 239–245. [Google Scholar] [CrossRef]
- Chen, Y.; Wang, M.; Ouwerkerk, P.B.F. Molecular and environmental factors determining grain quality in rice. Food Energy Secur. 2012, 1, 111–132. [Google Scholar] [CrossRef]





| Cultivar Type | Cultivar | Year of Release | Cross Information | Duration from Heading to Maturity (d) | Total Growth Period (d) |
|---|---|---|---|---|---|
| HYGP | Nanjing 9108 | 2013 | Wuxiangjing 14 × Guandong 194 | 57 | 146–147 |
| Wuyunjing 30 | 2014 | Kuifeng/Wuxiangjing 19 × Tai 0206 | 58 | 147–148 | |
| Nanjing 3908 | 2018 | Nanjing 5055 | 57–58 | 146 | |
| HYPP | Huaidao 5 | 2000 | 7208 × Wuyujing 3 | 50–51 | 140 |
| Huajing 4 | 2005 | Zhendao 88 × Fengwei 6 | 50 | 140–141 | |
| Changnongjing 8 | 2014 | H 07–37 × Wuyunjing 23 | 50–51 | 141–142 | |
| LYGP | Suxiangjing 3 | 2010 | Wujing 13 × Beiming | 47–48 | 137 |
| Songzaoxiang 1 | 2014 | Zaoxiangruanfan 2 × Zaoxiangchanglijing | 48 | 138–139 | |
| Yangjing 103 | 2017 | Jindao 1007 × Yangjing 4227 | 48–49 | 137–138 |
| Year | Cultivar Type | Grain Yield (t ha−1) | Overall Palatability | Panicles per m2 | Spikelets per Panicle | Spikelets per m2 | Filled-Grain Percentage (%) | 1000-Grain Weight (g) |
|---|---|---|---|---|---|---|---|---|
| 2018 | HYGP | 9.9 a | 76.0 a | 328 a | 134 b | 43.7 a | 90.8 b | 25.8 b |
| HYPP | 9.8 a | 61.1 b | 286 b | 150 a | 42.9 a | 91.6 b | 27.3 a | |
| LYGP | 8.2 b | 74.7 a | 331 a | 112 c | 36.9 b | 92.9 a | 25.1 c | |
| 2019 | HYGP | 9.8 a | 77.9 a | 333 a | 133 b | 44.2 a | 91.8 b | 25.4 b |
| HYPP | 9.9 a | 56.9 b | 285 b | 149 a | 42.2 ab | 91.2 b | 27.6 a | |
| LYGP | 8.3 b | 75.6 a | 334 a | 111 c | 36.8 b | 92.9 a | 25.3 b | |
| Analysis of variance (ANOVA) | ||||||||
| Year | ns | ns | ns | ns | ns | ns | ns | |
| Cultivar type | ** | ** | ** | ** | ** | ** | ** | |
| Year × Cultivar type | ns | ns | ns | ns | ns | ** | * | |
| Year | Cultivar Type | Shoot Biomass Weight (t ha−1) | Shoot Biomass Accumulation (t ha−1) | Harvest Index | |||
|---|---|---|---|---|---|---|---|
| Jointing | Heading | Maturity | Jointing-Heading | Heading-Maturity | |||
| 2018 | HYGP | 4.2 ab | 10.8 a | 17.7 a | 6.6 a | 6.9 a | 0.48 b |
| HYPP | 4.5 a | 10.6 a | 16.6 b | 6.1 b | 6.0 b | 0.51 a | |
| LYGP | 3.7 b | 9.1 b | 14.7 c | 5.4 c | 5.6 c | 0.48 b | |
| 2019 | HYGP | 4.3 ab | 10.7 a | 17.5 a | 6.4 a | 6.8 a | 0.48 b |
| HYPP | 4.6 a | 10.7 a | 16.8 b | 6.1 a | 6.1 b | 0.51 a | |
| LYGP | 3.7 b | 9.2 b | 14.7 c | 5.5 b | 5.5 c | 0.49 b | |
| Analysis of variance (ANOVA) | |||||||
| Year | ns | ns | ns | ns | ns | ns | |
| Cultivar type | ** | ** | ** | ** | ** | ** | |
| Year × Cultivar type | ns | ns | ns | * | ns | ns | |
| Year | Cultivar Type | N Accumulation (kg ha−1) | N Concentration at Maturity (%) | ||||
|---|---|---|---|---|---|---|---|
| Jointing | Heading | Maturity | Stem | Leaf | Panicle | ||
| 2018 | HYGP | 92 a | 175 a | 205 a | 0.87 a | 1.2 a | 1.1 a |
| HYPP | 98 a | 179 a | 199 a | 0.85 a | 0.9 c | 1.3 b | |
| LYGP | 82 b | 147 b | 173 b | 0.89 a | 1.1 b | 1.1 a | |
| 2019 | HYGP | 96 a | 173 a | 205 a | 0.87 a | 1.2 a | 1.1 a |
| HYPP | 100 a | 173 a | 197 b | 0.84 a | 0.9 b | 1.3 b | |
| LYGP | 80 b | 151 b | 172 c | 0.91 a | 1.1 ab | 1.1 a | |
| Analysis of variance (ANOVA) | |||||||
| Year | ns | ns | ns | ns | ns | ns | |
| Cultivar type | * | ** | ** | ns | ** | ** | |
| Year × Cultivar type | ns | * | ns | ns | ns | ns | |
| Year | Cultivar Type | Milling Quality | Appearance Quality | ||||
|---|---|---|---|---|---|---|---|
| Brown Rice Percentage (%) | Milled Rice Percentage (%) | Head Rice Percentage (%) | Chalky Rice Percentage (%) | Chalky Area (%) | Chalky Degree (%) | ||
| 2018 | HYGP | 83.9 a | 71.7 a | 70.6 a | 32.8 a | 21.2 b | 6.9 b |
| HYPP | 83.0 a | 70.0 b | 69.4 b | 31.1 ab | 25.1 a | 7.8 a | |
| LYGP | 83.5 a | 71.4 a | 69.1 b | 28.6 b | 20.9 b | 6.0 c | |
| 2019 | HYGP | 83.5 a | 71.6 a | 70.8 a | 29.6 a | 21.0 b | 6.2 b |
| HYPP | 82.7 b | 70.7 a | 70.2 a | 29.7 a | 26.0 a | 7.7 a | |
| LYGP | 83.4 a | 71.8 a | 70.7 a | 27.4 b | 20.9 b | 5.7 c | |
| Analysis of variance (ANOVA) | |||||||
| Year | ns | ns | * | ** | ns | * | |
| Cultivar type | ns | ns | ns | ** | ** | ** | |
| Year × Cultivar type | ns | ns | * | ns | ns | ns | |
| Year | Cultivar Type | Amylose Content (%) | Gel Consistency (mm) | Peak Viscosity (cP) | Hot Viscosity (cP) | Cool Viscosity (cP) | Breakdown (cP) | Setback (cP) |
|---|---|---|---|---|---|---|---|---|
| 2018 | HYGP | 13.2 b | 75.7 a | 2936 a | 2039 a | 2514 b | 897 a | −422 b |
| HYPP | 15.0 a | 60.5 b | 2287 b | 1855 b | 2320 a | 432 b | 33 a | |
| LYGP | 12.8 b | 73.7 a | 2817 a | 1951 ab | 2450 c | 866 a | −367 b | |
| 2019 | HYGP | 12.9 b | 76.4 a | 2970 a | 2001 a | 2487 b | 969 a | −483 b |
| HYPP | 15.2 a | 61.5 b | 2391 b | 1904 b | 2425 b | 487 b | 34 a | |
| LYGP | 13.3 b | 73.8 a | 2897 a | 2081 a | 2548 a | 816 a | −349 b | |
| Analysis of variance (ANOVA) | ||||||||
| Year | ns | ns | ns | ns | ** | ns | ns | |
| Cultivar type | ** | ** | ** | ** | ** | ** | ** | |
| Year × Cultivar type | ns | ns | ns | * | * | ns | ns | |
| Year | Cultivar Type | Protein Content (%) | Albumin Content (%) | Globulin Content (%) | Prolamin Content (%) | Glutelin Content (%) | Ratio of Glutelin Content to Prolamin Content |
|---|---|---|---|---|---|---|---|
| 2018 | HYGP | 8.1 b | 0.68 a | 0.91 a | 0.93 b | 7.5 a | 8.0 a |
| HYPP | 9.8 a | 0.71 a | 0.93 a | 0.99 a | 7.4 a | 7.4 b | |
| LYGP | 8.2 b | 0.70 a | 0.92 a | 0.95 b | 7.5 a | 7.8 a | |
| 2019 | HYGP | 8.3 b | 0.67 b | 0.91 a | 0.91 b | 7.2 a | 8.0 a |
| HYPP | 9.7 a | 0.65 b | 0.96 a | 0.97 a | 7.2 a | 7.5 b | |
| LYGP | 8.3 b | 0.71 a | 0.93 a | 0.90 b | 7.1 a | 7.9 a | |
| Analysis of variance (ANOVA) | |||||||
| Year | ns | ** | ns | ns | ** | ns | |
| Cultivar type | ** | * | ns | ** | ** | ** | |
| Year × Cultivar type | * | * | ns | ns | * | ns | |
| Determined Parameters | Grain Yield | Overall Palatability |
|---|---|---|
| Panicles per m2 | 0.63 ** | 0.79 ** |
| Spikelets per panicle | 0.89 ** | −0.75 ** |
| 1000-grain weight | 0.67 ** | −0.92 ** |
| Shoot biomass weight at maturity | 0.85 ** | −0.31 |
| Shoot biomass accumulation from heading to maturity | 0.77 ** | 0.62 ** |
| Harvest index | 0.42 | −0.79 ** |
| Leaf N concentration at maturity | 0.49 * | 0.86 ** |
| Panicle N concentration at maturity | 0.25 | −0.67 ** |
| LAI at maturity | 0.73 ** | 0.72 ** |
| AGP activity at MGS | 0.56 * | 0.48 * |
| AGP activity at LGS | 0.62 ** | 0.54 * |
| SBE activity at MGS | 0.55 * | 0.64 ** |
| SBE activity at LGS | 0.57 * | 0.51 * |
| Chalky area | 0.41 | −0.69 ** |
| Chalky degree | 0.37 | −0.86 ** |
| Amylose content | 0.60 ** | −0.77 ** |
| Gel consistency | −0.27 | 0.79 ** |
| Breakdown | −0.32 | 0.87 ** |
| Setback | 0.36 | −0.85 ** |
| Protein content | 0.45 | −0.89 ** |
| Prolamin content | 0.19 | −0.70 ** |
| Ratio of glutelin content to prolamin content | −0.28 | 0.86 ** |
Publisher’s Note: MDPI stays neutral with regard to jurisdictional claims in published maps and institutional affiliations. |
© 2022 by the authors. Licensee MDPI, Basel, Switzerland. This article is an open access article distributed under the terms and conditions of the Creative Commons Attribution (CC BY) license (https://creativecommons.org/licenses/by/4.0/).
Share and Cite
Wei, H.; Ge, J.; Zhang, X.; Zhu, W.; Chen, Y.; Meng, T.; Dai, Q. Agronomic and Physicochemical Properties Facilitating the Synchronization of Grain Yield and the Overall Palatability of Japonica Rice in East China. Agriculture 2022, 12, 969. https://doi.org/10.3390/agriculture12070969
Wei H, Ge J, Zhang X, Zhu W, Chen Y, Meng T, Dai Q. Agronomic and Physicochemical Properties Facilitating the Synchronization of Grain Yield and the Overall Palatability of Japonica Rice in East China. Agriculture. 2022; 12(7):969. https://doi.org/10.3390/agriculture12070969
Chicago/Turabian StyleWei, Huanhe, Jialin Ge, Xubin Zhang, Wang Zhu, Yinglong Chen, Tianyao Meng, and Qigen Dai. 2022. "Agronomic and Physicochemical Properties Facilitating the Synchronization of Grain Yield and the Overall Palatability of Japonica Rice in East China" Agriculture 12, no. 7: 969. https://doi.org/10.3390/agriculture12070969
APA StyleWei, H., Ge, J., Zhang, X., Zhu, W., Chen, Y., Meng, T., & Dai, Q. (2022). Agronomic and Physicochemical Properties Facilitating the Synchronization of Grain Yield and the Overall Palatability of Japonica Rice in East China. Agriculture, 12(7), 969. https://doi.org/10.3390/agriculture12070969
