Growth Performance, Meat Quality, and Fecal Microbial Population in Limousin Bulls Supplemented with Hydrolyzable Tannins
Abstract
1. Introduction
2. Materials and Methods
2.1. Animals, Housing and Diets
2.2. Recording of Dry Matter Intake
2.3. Recording of Body Weight
2.4. Carcass Classification
2.5. Measurements of Meat Quality Traits
2.6. Fecal Clostridia Analysis
2.6.1. Total Number of Clostridia
2.6.2. Selective Clostridia Enrichment and Counting Analysis
2.7. Statistical Analysis
3. Results
3.1. Growth Performance and Carcass Characteristics
3.2. Meat Quality
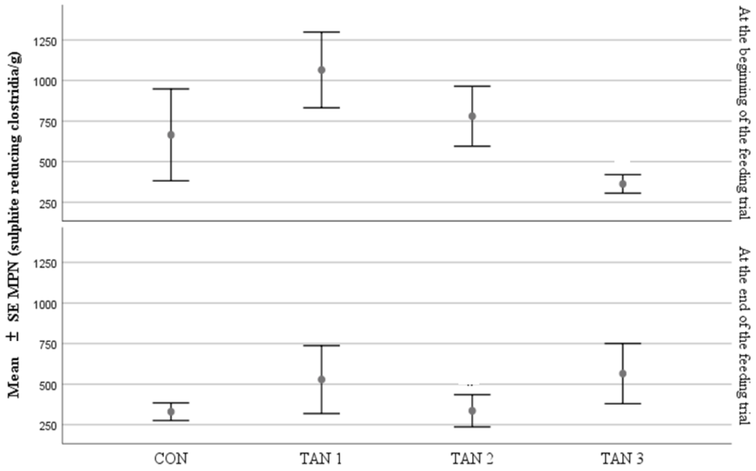
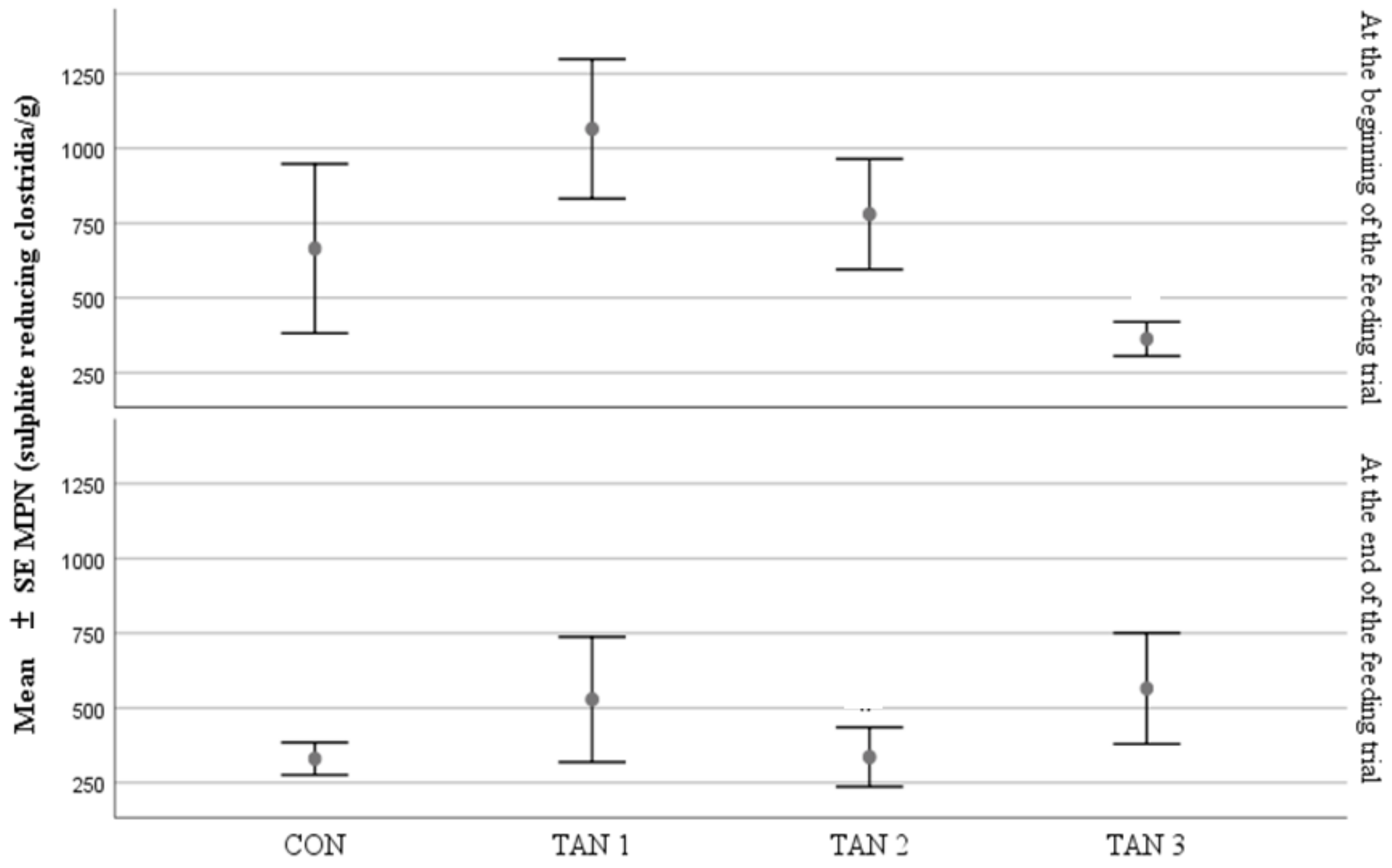
3.3. Clostridia Counts
4. Discussion
4.1. Effects of Tannins on Growth Performance of Bulls
4.2. Effect of Tannin Supplement on Meat Quality
4.3. Effect of Supplement on Fecal Clostridia Concentration
5. Conclusions
Author Contributions
Funding
Institutional Review Board Statement
Informed Consent Statement
Data Availability Statement
Acknowledgments
Conflicts of Interest
References
- Hooge, D.M.; Mathis, G.F.; Lumpkins, B.; Ponebšek, J.; Moran, D. Dose-responses of broiler chicks, given live coccidia vaccine on day of hatch, to diets supplemented with various levels of Farmatan® (sweet chestnut wood tannins) or BMD®/Stafac® in a 42-day pen trial on built-up litter. Int. J. Poult. Sci. 2012, 11, 474–481. [Google Scholar] [CrossRef][Green Version]
- Cheeke, P.R.; Dierenfeld, E.S. Comparative Animal Nutrition and Metabolism; CABI: Wallingford, UK, 2010. [Google Scholar]
- Sugiharto, S. Role of nutraceuticals in gut health and growth performance of poultry. J. Saudi Soc. Agric. Sci. 2016, 15, 99–111. [Google Scholar] [CrossRef]
- Paraskeuas, V.; Fegeros, K.; Palamidi, I.; Hunger, C.; Mountzouris, K.C. Growth performance, nutrient digestibility, antioxidant capacity, blood biochemical biomarkers and cytokines expression in broiler chickens fed different phytogenic levels. Anim. Nutr. 2017, 3, 114–120. [Google Scholar] [CrossRef] [PubMed]
- Valenzuela-Grijalva, N.V.; Pinelli-Saavedra, A.; Muhlia-Almazan, A.; Domínguez-Díaz, D.; González-Ríos, H. Dietary inclusion effects of phytochemicals as growth promoters in animal production. J. Anim. Sci. Technol. 2017, 59, 1–17. [Google Scholar] [CrossRef] [PubMed]
- Suresh, G.; Das, R.K.; Kaur Brar, S.; Rouissi, T.; Avalos Ramirez, A.; Chorfi, Y.; Godbout, S. Alternatives to antibiotics in poultry feed: Molecular perspectives. Crit. Rev. Microbiol. 2018, 44, 318–335. [Google Scholar] [CrossRef] [PubMed]
- Brus, M.; Gradišnik, L.; Trapečar, M.; Škorjanc, D.; Frangež, R. Beneficial effects of water-soluble chestnut (Castanea sativa Mill.) tannin extract on chicken small intestinal epithelial cell culture. Poult. Sci. 2018, 97, 1271–1282. [Google Scholar] [CrossRef]
- Mueller-Harvey, I. Unravelling the conundrum of tannins in animal nutrition and health. J. Sci. Food Agric. 2006, 86, 2010–2037. [Google Scholar] [CrossRef]
- Naumann, H.D.; Tedeschi, L.O.; Zeller, W.E.; Huntley, N.F. The role of condensed tannins in ruminant animal production: Advances, limitations and future directions. Rev. Bras. Zootec. 2017, 46, 929–949. [Google Scholar] [CrossRef]
- Patra, A.K.; Saxena, J. Exploitation of dietary tannins to improve rumen metabolism and ruminant nutrition. J. Sci. Food Agric. 2011, 91, 24–37. [Google Scholar] [CrossRef] [PubMed]
- Bunglavan, S.J.; Dutta, N. Use of tannins as organic protectants of proteins in digestion of ruminants. Livest. Sci. 2013, 4, 67–77. [Google Scholar]
- War, A.R.; Paulraj, M.G.; Ahmad, T.; Buhroo, A.A.; Hussain, B.; Ignacimuthu, S.; Sharma, H.C. Mechanisms of plant defense against insect herbivores. Plant Signal. Behav. 2012, 7, 1306–1320. [Google Scholar] [CrossRef] [PubMed]
- Khanbabaee, K.; Van Ree, T. Tannins: Classification and definition. Nat. Prod. Rep. 2001, 18, 641–649. [Google Scholar]
- Mangan, J.L. Nutritional effects of tannins in animal feeds. Nutr. Res. Rev. 1988, 1, 209–231. [Google Scholar] [CrossRef] [PubMed]
- Kristl, J.; Urbanek Krajnc, A.; Brus, M.; Skorjanc, D. The content of tannins in feed components and in feeds for growing pigs. In Proceedings of the 21th International Scientific Symposium on Nutrition of Farm Animals ‘Zadravec-Erjavec Days’, Murska Sobota, Slovenia, 8–9 November 2012. [Google Scholar]
- Smeriglio, A.; Barreca, D.; Bellocco, E.; Trombetta, D. Proanthocyanidins and hydrolysable tannins: Occurrence, dietary intake and pharmacological effects. Br. J. Pharmacol. 2017, 174, 1244–1262. [Google Scholar] [CrossRef] [PubMed]
- Cipriano-Salazar, M.; Rojas-Hernández, S.; Olivares-Pérez, J.; Jiménez-Guillén, R.; Cruz-Lagunas, B.; Camacho-Díaz, L.M.; Ugbogu, A.E. Antibacterial activities of tannic acid against isolated ruminal bacteria from sheep. Microb. Pathog. 2018, 117, 255–258. [Google Scholar] [CrossRef] [PubMed]
- Yang, B.; Liu, P. Composition and biological activities of hydrolyzable tannins of fruits of Phyllanthus emblica. J. Agric. Food Chem. 2014, 62, 529–541. [Google Scholar] [CrossRef] [PubMed]
- Regulation (EC) No 1831/2003 of the European Parliament and of the Council of 22 September 2003. Available online: https://eur-lex.europa.eu/legal-content/EN/TXT/?uri=CELEX%3A32003R1831 (accessed on 10 April 2022).
- European Union Register of Feed Additives Pursuant to Regulation (EC) No 1831/2003_Released date 21.09.2021. Available online: https://ec.europa.eu/food/safety/animalfeed/feed-additives/eu-register_en (accessed on 10 April 2022).
- Doce, R.R.; Hervas, G.; Belenguer, A.; Toral, P.G.; Giraldez, F.J.; Frutos, P. Effect of the administration of young oak (Quercus pyrenaica) leaves to cattle on ruminal fermentation. Anim. Feed. Sci. Technol. 2009, 150, 75–85. [Google Scholar] [CrossRef]
- Frutos, P.; Raso, M.; Hervas, G.; Mantecon, A.R.; Perez, V.; Giraldez, F.J. Is there any detrimental effect when a chestnut hydrolysable tannin extract is included in the diet of finishing lambs? Anim. Res. 2004, 53, 127–136. [Google Scholar] [CrossRef]
- Waghorn, G.C.; Shelton, I.D.; McNabb, W.C.; McCutcheon, S.N. Effects of condensed tannins in Lotus pedunculatus on its nutritive value for sheep. 2. Nitrogenous aspects. J. Agric. Sci. 1994, 123, 109–119. [Google Scholar] [CrossRef]
- Menci, R.; Coppa, M.; Torrent, A.; Natalello, A.; Valenti, B.; Luciano, G.; Priolo, A.; Niderkorn, V. Effects of two tannin extracts at different doses in interaction with a green or dry forage substrate on rumen fermentation and biohydrogenation—An in vitro study. Anim. Feed. Sci. Technol. 2021, 278, 114977. [Google Scholar] [CrossRef]
- Waghorn, G.C.; Shelton, I.D. Effect of condensed tannins in Lotus corniculatus on the nutritive value of pasture for sheep. J. Agric. Sci. 1997, 128, 365–372. [Google Scholar] [CrossRef]
- Makkar, H.P.; Siddhuraju, P.; Becker, K. Tannins. In Plant Secondary Metabolites; Humana Press: Totowa, NJ, USA, 2007; pp. 67–81. [Google Scholar]
- Echegaray, N.; Gómez, B.; Barba, F.J.; Franco, D.; Estévez, M.; Carballo, J.; Lorenzo, J.M. Chestnuts and by-products as source of natural antioxidants in meat and meat products: A review. Trends. Food Sci. Technol. 2018, 82, 110–121. [Google Scholar] [CrossRef]
- Velasco, V.; Williams, P. Improving meat quality through natural antioxidants. Chil. J. Agric. Res. 2011, 71, 313. [Google Scholar] [CrossRef]
- Huang, Q.; Liu, X.; Zhao, G.; Hu, T.; Wang, Y. Potential and challenges of tannins as an alternative to in-feed antibiotics for farm animal production. Anim. Nutr. 2018, 4, 137–150. [Google Scholar] [CrossRef] [PubMed]
- Mailoa, M.N.; Mahendradatta, M.; Laga, A.; Djide, N. Antimicrobial activities of tannins extract from guava leaves (Psidium Guajava L.) on pathogens microbial. Int. J. Sci. Technol. Res. 2014, 3, 236–241. [Google Scholar]
- Sotohy, S.A.; Sayed, A.N.; Ahmed, M.M. Effect of tannin-rich plant (Acacia nilotica) on some nutritional and bacteriological parameters in goats. DTW. Dtsch Tierarztl Wochenschr. 1997, 104, 432–435. [Google Scholar]
- Theodoridou, K.; Aufrère, J.; Andueza, D.; Pourrat, J.; Le Morvan, A.; Stringano, E.; Baumont, R. Effects of condensed tannins in fresh sainfoin (Onobrychis viciifolia) on in vivo and in situ digestion in sheep. Anim. Feed Sci. Technol. 2010, 160, 23–38. [Google Scholar] [CrossRef]
- McSweeney, C.S.; Kennedy, P.M.; John, A. Effect of ingestion of hydrolysable tannins in Terminalia oblongata on digestion in sheep fed Stylosanthes hamata. Aust. J. Agri. Res. 1988, 39, 235–244. [Google Scholar] [CrossRef]
- European Union Register of Feed Additives. Available online: http://ec.europa.eu/food/safety/animal-feed/feed-additives/eu-register_en (accessed on 8 October 2016).
- LfL Grub (Bavarian State Research Center for Agriculture). Gruber Tabelle zur Fütterung in der Rindermast, Fresser Bullen Mastfärsen Mastkühe Ochsen [Gruber Feed Value Tables Feeding in Beef Fattening, Bulls, Heifers, Fattening Cows and Oxen], 39th ed; Bayerische Landesanstalt für Landwirtschaft: Freising Weihenstephan, Germany, 2016. [Google Scholar]
- Campion, B.; Keane, M.G.; Kenny, D.A.; Berry, D.P. Evaluation of estimated genetic merit for carcass weight in beef cattle: Live weights, feed intake, body measurements, skeletal and muscular scores, and carcass characteristics. Livest. Sci. 2009, 126, 87–99. [Google Scholar] [CrossRef]
- Prevolnik Povše, M.; Čandek-Potokar, M.; Gispert, M.; Lebret, B. pH value and water-holding capacity. In A Handbook of Reference Methods for Meat Quality Assessment; Cost Action FA1102: Brussels, Belgium, 2015; pp. 22–32. [Google Scholar]
- Škrlep, M.; Čandek-Potokar, M.; Segula, B.; Žabjek, A.; Horvat, A.; Batorek, N.; Prevolnik, M.; Repič, M.; Janžekovic, M. Merjenje Lastnosti Kakovosti Mesa Pri Govedu; Kmetijski Inštitut Slovenije: Slovenije, Slovenia, 2013; p. 20. [Google Scholar]
- Prevolnik, M.; Čandek-Potokar, M.; Škorjanc, D.; Velikonja-Bolta, S.; Škrlep, M.; Znidarsic, T.; Babnik, D. Predicting intramuscular fat content in pork and beef by near infrared spectroscopy. J. Near Infrared Spectrosc. 2005, 13, 77–85. [Google Scholar] [CrossRef]
- Christensen, L.B. Drip loss sampling in porcine m. longissimus dorsi. Meat Sci. 2003, 63, 469–477. [Google Scholar] [CrossRef]
- Prevolnik, M.; Čandek-Potokar, M.; Škorjanc, D. Predicting pork water-holding capacity with NIR spectroscopy in relation to different reference methods. J. Food Eng. 2010, 98, 347–352. [Google Scholar] [CrossRef]
- Tomažin, U.; Batorek-Lukač, N.; Škrlep, M.; Prevolnik-Povše, M.; Čandek-Potokar, M. Meat and fat quality of Krško polje pigs reared in conventional and organic production systems. Animal 2019, 13, 1103–1110. [Google Scholar] [CrossRef] [PubMed]
- Silva, S.R.; Teixeira, A.; Font-i-Furnols, M. Intramuscular fat and marbling. In A Handbook of Reference Methods for Meat Quality Assessment; European Cooperation in Science and Technology (COST): Brussels, Belgium, 2015; pp. 12–21. [Google Scholar]
- Krueger, W.K.; Gutierrez-Bañuelos, H.; Carstens, G.E.; Min, B.R.; Pinchak, W.E.; Gomez, R.R.; Anderson, R.C.; Krueer, N.A.; Forbes, T.D.A. Effects of dietary tannin source on performance, feed efficiency, ruminal fermentation, and carcass and non-carcass traits in steers fed a high-grain diet. Anim. Feed. Sci. Technol. 2010, 159, 1–9. [Google Scholar] [CrossRef]
- Min, B.R.; Hernandez, K.; Pinchak, W.E.; Anderson, R.C.; Miller, J.E.; Valencia, E. Effects of plant tannin extracts supplementation on animal performance and gastrointestinal parasites infestation in steers grazing winter wheat. Open J. Anim. Sci. 2015, 5, 343. [Google Scholar] [CrossRef]
- Rivera-Mendez, C.R.; Plascencia, A.; Torrentera, N.; Zinn, R.A. Influence of tannins supplementation on growth performance, dietary net energy and carcass characteristics of yearling steers fed finishing diet containing dried distillers grains with solubles. J. Anim. Sci. 2016, 86, 108–111. [Google Scholar]
- Mueller-Harvey, I.; Bee, G.; Dohme-Meier, F.; Hoste, H.; Karonen, M.; Kölliker, R.; Waghorn, G. Benefits of condensed tannins in forages fed to ruminants: Importance of structure, concentration and diet. Crop Sci. 2019, 59, 1–25. [Google Scholar] [CrossRef]
- Aboagye, I.A.; Oba, M.; Castillo, A.R.; Koenig, K.M.; Iwaasa, A.D.; Beauchemin, K.A. Effects of hydrolyzable tannin with or without condensed tannin on methane emissions, nitrogen use, and performance of beef cattle fed a high-forage diet. J. Anim. Sci. 2018, 96, 5276–5286. [Google Scholar] [CrossRef]
- Tabke, M.C.; Sarturi, J.O.; Galyean, M.L.; Trojan, S.J.; Brooks, J.C.; Johnson, B.J.; Baggerman, J.; Thompson, A.J. Effects of tannic acid on growth performance, carcass characteristics, digestibility, nitrogen volatilization, and meat lipid oxidation of steers fed steam-flaked corn–based finishing diets. J. Anim. Sci. 2017, 95, 5124–5136. [Google Scholar] [CrossRef]
- Brus, M.; Mergeduš, A.; Prevolnik Povše, M.; Janzekovič, M. Better Tolerance against Dietary Mycotoxins in Fattening Bulls when Supplemented with Farmatan-D. Agric. Conspec. Sci. 2017, 82, 303–306. [Google Scholar]
- Lotfi, R. A commentary on methodological aspects of hydrolysable tannins metabolism in ruminant: A perspective view. Lett. Appl. Microbiol. 2020, 71, 466–478. [Google Scholar] [CrossRef] [PubMed]
- Hynd, P. Animal Nutrition: From Theory to Practice; Csiro Publishing: Clayton South, Australia, 2019; pp. 93–94. [Google Scholar]
- Cole, N.A.; Defoor, P.J.; Galyean, M.L.; Duff, G.C.; Gleghorn, J.F. Effects of phase-feeding of crude protein on performance, carcass characteristics, serum urea nitrogen concentrations, and manure nitrogen of finishing beef steers. J. Anim. Sci. 2006, 84, 3421–3432. [Google Scholar] [CrossRef]
- Joo, Y.H.; Kim, D.H.; Lee, H.J.; Choi, I.H.; Lee, H.S.; Paradhipta, D.H.V.; Kim, S.C. Assessing the effect of fermented chestnuts on growth performance, carcass traits, and meat quality in hanwoo steers during the late fattening period. Adv. Anim. Vet. Sci. 2019, 7, 770–775. [Google Scholar] [CrossRef]
- Larraín, R.E.; Schaefer, D.M.; Richards, M.P.; Reed, J.D. Finishing steers with diets based on corn, high-tannin sorghum or a mix of both: Color and lipid oxidation in beef. Meat Sci. 2008, 79, 656–665. [Google Scholar] [CrossRef] [PubMed]
- Liu, H.W.; Gai, F.; Gasco, L.; Brugiapaglia, A.; Lussiana, C.; Guo, K.J.; Zoccarato, I. Effects of chestnut tannins on carcass characteristics, meat quality, lipid oxidation and fatty acid composition of rabbits. Meat Sci. 2009, 83, 678–683. [Google Scholar] [CrossRef] [PubMed]
- Prevolnik, M.; Škrlep, M.; Brus, M.; Pugliese, C.; Čandek-Potokar, M.; Škorjanc, D. Supplementing pig diet with 0.2% sweet chestnut (Castanea sativa Mill.) wood extract had no effect on growth, carcass or meat quality. Acta Agric. Slov. 2012, 3, 83–88. [Google Scholar]
- de Jesus, C.; Domínguez, R.; Cantalapiedra, J.; Iglesias, A.; Lorenzo, J.M. Effect of chestnuts level in the formulation of the commercial feed on carcass characteristics and meat quality of Celta pig breed. Span. J. Agric. Res. 2016, 14, 7. [Google Scholar] [CrossRef]
- Joo, Y.H.; Choi, I.H.; Kim, D.H.; Lee, H.J.; Amanullah, S.M.; Yang, H.S.; Kim, S.C. Effects of chestnut (Castanea sativa) meal supplementation on growth performance, carcass characteristics, and meat quality of pigs. Rev. Bras. Zootec. 2018, 47. [Google Scholar] [CrossRef]
- Barbera, S. WHC trend, an up-to-date method to measure water holding capacity in meat. Meat Sci. 2019, 152, 134–140. [Google Scholar] [CrossRef]
- Redondo, L.M.; Dominguez, J.E.; Rabinovitz, B.C.; Redondo, E.A.; Fernández Miyakawa, M.E. Hydrolyzable and condensed tannins resistance in Clostridium perfringens. Anaerobe 2015, 34, 139–145. [Google Scholar] [CrossRef]
- Elizondo, A.M.; Mercado, E.C.; Rabinovitz, B.C.; Fernandez-Miyakawa, M.E. Effect of tannins on the in vitro growth of Clostridium perfringens. Vet. Microbiol. 2010, 145, 308–314. [Google Scholar] [CrossRef] [PubMed]
- Gutierrez-Banuelos, H.; Pinchak, W.E.; Min, B.R.; Carstens, G.E.; Anderson, R.C.; Tedeschi, L.O.; Krueger, W.K.; Krueger, N.; Lancaster, P.A.; Gomez, R.R. Effects of feed-supplementation and hide-spray application of two sources of tannins on enteric and hide bacteria of feedlot cattle. J. Environ. Sci. Health B 2011, 46, 360–365. [Google Scholar] [CrossRef] [PubMed]


| Ingredients | Treatment Rations | |||
|---|---|---|---|---|
| CON | TAN 1 | TAN 2 | TAN 3 | |
| Corn maize silage | 126.8 | 126.6 | 126.6 | 132.7 |
| Wheat straw | 158.4 | 158.3 | 158.2 | 165.9 |
| Sodium bicarbonate | 10.5 | 10.5 | 10.5 | 11.0 |
| Concentrate | 568.5 | 567.9 | 567.6 | 546.5 |
| Corn maize | 135.8 | 135.7 | 135.6 | 142.0 |
| Tanin additive | / | 1.0 | 1.5 | 1.5 |
| Nutrient content | ||||
| DM | 737.9 | 737.7 | 738.2 | 732.8 |
| Crude ash | 48.5 | 47.1 | 47.4 | 47.2 |
| Crude protein | 158.1 | 156.6 | 159.7 | 149.2 |
| Crude fibre | 54.4 | 46.1 | 50.4 | 56.2 |
| Ether extract | 42.2 | 40.0 | 42.1 | 41.7 |
| Sugar | 33.5 | 30.5 | 35.6 | 30.7 |
| Starch | 510.2 | 529.4 | 537.8 | 534.9 |
| Calcium | 8.5 | 6.8 | 8.7 | 6.3 |
| Phosphorus | 5.6 | 5.8 | 5.8 | 5.5 |
| Sodium | 4.0 | 3.3 | 4.3 | 4.5 |
| Magnesium | 2.1 | 1.5 | 1.9 | 2.1 |
| Potassium | 7.7 | 6.3 | 8.0 | 7.7 |
| ADF | 94.4 | 95.4 | 86.3 | 91.2 |
| NDF | 198.5 | 186.0 | 180.6 | 188.4 |
| ADL | 18.2 | 15.1 | 15.1 | 15.2 |
| ME (MJ kg−1) | 12.6 | 12.6 | 12.6 | 12.6 |
| Month | Treatment Groups | p-Value | |||
|---|---|---|---|---|---|
| CON | TAN 1 | TAN 2 | TAN 3 | ||
| 1 | 8.1 ± 0.2 | 8.3 ± 0.2 | 8.2 ± 0.1 | 8.3 ± 0.3 | 0.072 |
| 2 | 8.1 ± 0.1 | 8.3 ± 0.1 | 8.2 ± 0.2 | 8.2 ± 0.3 | 0.087 |
| 3 | 8.0 ± 0.2 | 8.2 ± 0.2 | 8.2 ± 0.1 | 8.3 ± 0.1 | 0.079 |
| 4 | 8.5 ± 0.1 | 8.6 ± 0.2 | 8.4 ± 0.2 | 8.7 ± 0.2 | 0.120 |
| 5 | 8.6 ± 0.2 | 9.0 ± 0.4 | 8.6 ± 0.2 | 8.8 ± 0.2 | 0.089 |
| 6 | 8.8 ± 0.2 | 9.0 ± 0.2 | 8.9 ± 0.1 | 9.1 ± 0.3 | 0.101 |
| 7 | 9.3 ± 0.1 | 9.4 ± 0.1 | 9.3 ± 0.2 | 9.4 ± 0.2 | 0.077 |
| Items | Treatment Groups | p-Value | |||
|---|---|---|---|---|---|
| CON | TAN 1 | TAN 2 | TAN 3 | ||
| Feeding trial | Body weight, kg | ||||
| Initial | 411 ± 11.3 | 429 ± 18.9 | 416 ± 14.0 | 426 ± 11.8 | 0.092 |
| Final | 659 ± 13.2 | 695 ± 22.8 | 669 ± 13.2 | 684 ± 19.2 | 0.273 |
| Month | Average daily gain, g/day | ||||
| 1 | 1361 ± 73.9 | 1073 ± 143.4 | 1261 ± 131.3 | 1193 ± 45.2 | 0.440 |
| 2 | 1176 ± 54.5 | 1440 ± 106.4 | 1336 ± 128.1 | 1214 ± 44.4 | 0.201 |
| 3 | 1352 ± 53.8 | 1368 ± 45.1 | 1412 ± 85.9 | 1282 ± 58.0 | 0.532 |
| 4 | 1402 ± 38.1 | 1330 ± 16.0 | 1322 ± 39.5 | 1456 ± 52.1 | 0.074 |
| 5 | 1124 ± 58.1 a | 1429 ± 74.5 b | 1217 ± 53.8 b | 1290 ± 50.2 b | 0.012 |
| 6 | 979 ± 52.3 a | 1198 ± 26.0 b | 1031 ± 76.2 b | 1123 ± 46.3 b | 0.049 |
| 7 | 857 ± 37.5 a | 985 ± 58.4 b | 916 ± 97.7 b | 964 ± 73.1 b | 0.041 |
| 1–7 | 1172 ± 22.2 | 1260 ± 30.2 | 1214 ± 56.2 | 1217 ± 27.1 | 0.142 |
| Items | Treatment Groups | p-Value | |||
|---|---|---|---|---|---|
| CON | TAN 1 | TAN 2 | TAN 3 | ||
| Carcass weight (kg) | 418.0 ± 10.0 | 434.0± 8.6 | 422.0 ± 18.6 | 429.0 ± 16.7 | 0.289 |
| Conformation score * | 11.8 ± 0.5 | 12.5 ± 0.6 | 12.1 ± 0.7 | 10.8 ± 0.7 | 0.086 |
| Fatness score ** | 7.7 ± 0.6 | 8.1 ± 0.3 | 6.5 ± 0.6 | 7.0 ± 0.4 | 0.130 |
| Dressing percentage, % | 60.4 ± 0.5 | 60.1 ± 0.8 | 62.1 ± 0.7 | 60.5 ± 0.7 | 0.090 |
| Depth of chest, cm | 42.3 ± 0.6 | 44.3 ± 0.5 | 43.1 ± 0.6 | 43.8 ± 0.5 | 0.070 |
| Length of carcass, cm | 137.0 ± 1.4 | 139.0 ± 1.7 | 139.0 ± 1.3 | 141.0 ± 0.9 | 0.084 |
| LD muscle area, cm2 | 117.0 ± 4.3 | 118.0 ± 4.0 | 122.0 ± 4.3 | 112.0 ± 2.5 | 0.321 |
| LD fat area, cm2 | 15.2 ± 1.9 | 15.1 ± 1.5 | 11.8 ± 1.7 | 12.2 ± 1.2 | 0.295 |
| Items | Treatment Groups | p-Value | |||
|---|---|---|---|---|---|
| CON | TAN 1 | TAN 2 | TAN 3 | ||
| Fresh meat samples | |||||
| pH 24 h | 5.7 ± 0.1 | 5.5 ± 0.1 | 5.5 ± 0.1 | 5.5 ± 0.1 | 0.266 |
| pH 48 h | 5.8 ± 0.0 | 5.5 ± 0.1 | 5.5 ± 0.1 | 5.6 ± 0.0 | 0.254 |
| L* (lightness), 24 h | 35.4 ± 1.2 | 36.2 ± 1.1 | 37.6 ± 1.0 | 34.9 ± 1.1 | 0.324 |
| a* (redness), 24 h | 17.4 ± 0.7 | 19.9 ± 1.3 | 19.8 ± 1.0 | 18.4 ± 1.1 | 0.303 |
| b* (yellowness), 24 h | 5.6 ± 0.4 | 7.1 ± 0.8 | 7.2 ± 0.5 | 6.3 ± 0.6 | 0.171 |
| L* 48 h | 36.4 ± 1.3 | 38.0 ± 1.1 | 37.5 ± 1.1 | 36.7 ± 1.0 | 0.750 |
| a* 48 h | 19.1 ± 0.9 | 21.7 ± 1.4 | 19.3 ± 0.7 | 20.2 ± 0.9 | 0.265 |
| b* 48 h | 5.7 ± 0.5 | 7.6 ± 0.6 | 6.1 ± 0.5 | 6.4 ± 0.5 | 0.143 |
| Drip loss h, % | 1.4 ± 0.3 b | 0.8 ± 0.1 a | 0.6 ± 0.0 a | 0.8 ± 0.1 a | 0.000 |
| Thawing loss, % | 5.3 ± 0.7 | 6.8 ± 0.4 | 7.4 ± 0.6 | 6.3 ± 0.5 | 0.067 |
| Cooking loss, % | 25.1 ± 2.2 | 29.7 ± 1.0 | 27.1 ± 1.5 | 26.9 ± 1.0 | 0.207 |
| Marbling1 | 2.8 ± 0.6 | 2.2 ± 0.4 | 1.4 ± 0.1 | 2.0 ± 0.3 | 0.088 |
| IMF, % | 2.8 ± 0.3 | 2.9 ± 0.4 | 2.1 ± 0.2 | 2.5 ± 0.3 | 0.201 |
| Protein, % | 22.2 ± 0.2 | 22.3 ± 0.2 | 22.5 ± 0.2 | 22.4 ± 0.2 | 0.617 |
| Water, % | 74.1 ± 0.5 | 73.7 ± 0.3 | 74.3 ± 0.2 | 74.1 ± 0.3 | 0.591 |
| Protein to water ratio | 3.4 ± 0.1 | 3.3 ± 0.1 | 3.3 ± 0.1 | 3.3 ± 0.1 | 0.818 |
| WBSF fresh, N | 77.5 ± 3.3 | 65.1 ± 3.6 | 64.5 ± 5.5 | 66.7 ± 3.4 | 0.126 |
| WBSF cooked, N | 221.4 ± 37.0 | 222.7 ± 34.0 | 287.1 ± 25.0 | 275.7 ± 26.0 | 0.297 |
| Aged meat samples—2 weeks | |||||
| L* | 38.5 ± 1.5 | 38.2 ± 1.2 | 40.5 ± 1.0 | 38.4 ± 1.3 | 0.640 |
| a* | 22.1 ± 1.1 | 23.3 ± 1.3 | 24.3 ± 0.9 | 23.2 ± 1.1 | 0.476 |
| b* | 8.4 ± 0.9 | 9.5 ± 0.9 | 10.3 ± 0.7 | 9.8 ± 0.9 | 0.465 |
| pH | 5.7 ± 0.1 | 5.6 ± 0.1 | 5.5 ± 0.0 | 5.7 ± 0.1 | 0.491 |
| Vacuum loss, % | 2.1± 0.3 | 2.1 ± 0.5 | 2.4 ± 0.3 | 2.9 ± 0.5 | 0.414 |
| Thawing loss, % | 3.9 ± 0.4 a | 4.8 ± 0.8 b | 4.9 ± 0.3 b | 5.2 ± 0.5 b | 0.008 |
| Cooking loss, % | 19.9 ± 2.4 | 28.6 ± 1.1 | 24.3 ± 1.2 | 23.9 ± 1.4 | 0.080 |
| WBSF fresh, N | 72.9 ± 6.2 | 55.8 ± 8.0 | 62.2 ± 5.3 | 64.2 ± 4.9 | 0.310 |
| WBSF cooked, N | 147.3 ± 17.6 | 133.8 ± 4.9 | 111.6 ± 10.8 | 141.4 ± 11.6 | 0.183 |
Publisher’s Note: MDPI stays neutral with regard to jurisdictional claims in published maps and institutional affiliations. |
© 2022 by the authors. Licensee MDPI, Basel, Switzerland. This article is an open access article distributed under the terms and conditions of the Creative Commons Attribution (CC BY) license (https://creativecommons.org/licenses/by/4.0/).
Share and Cite
Mergeduš, A.; Janžekovič, M.; Škorjanc, D.; Kraner Šumenjak, T.; Brus, M. Growth Performance, Meat Quality, and Fecal Microbial Population in Limousin Bulls Supplemented with Hydrolyzable Tannins. Agriculture 2022, 12, 939. https://doi.org/10.3390/agriculture12070939
Mergeduš A, Janžekovič M, Škorjanc D, Kraner Šumenjak T, Brus M. Growth Performance, Meat Quality, and Fecal Microbial Population in Limousin Bulls Supplemented with Hydrolyzable Tannins. Agriculture. 2022; 12(7):939. https://doi.org/10.3390/agriculture12070939
Chicago/Turabian StyleMergeduš, Andrej, Marjan Janžekovič, Dejan Škorjanc, Tadeja Kraner Šumenjak, and Maksimiljan Brus. 2022. "Growth Performance, Meat Quality, and Fecal Microbial Population in Limousin Bulls Supplemented with Hydrolyzable Tannins" Agriculture 12, no. 7: 939. https://doi.org/10.3390/agriculture12070939
APA StyleMergeduš, A., Janžekovič, M., Škorjanc, D., Kraner Šumenjak, T., & Brus, M. (2022). Growth Performance, Meat Quality, and Fecal Microbial Population in Limousin Bulls Supplemented with Hydrolyzable Tannins. Agriculture, 12(7), 939. https://doi.org/10.3390/agriculture12070939

