Next Article in Journal
Impacts of Nitrogen and Phosphorus Fertilization on Biomass, Polyphenol Contents, and Essential Oil Yield and Composition of Vitex negundo Linn
Previous Article in Journal
The Role of Innovation Capacities in the Relationship between Green Human Resource Management and Competitive Advantage in the Saudi Food Industry: Does Gender of Entrepreneurs Really Matter?
Previous Article in Special Issue
Comparison of Soil Organic Carbon Stocks Evolution in Two Olive Orchards with Different Planting Systems in Southern Spain
 
 
Font Type:
Arial Georgia Verdana
Font Size:
Aa Aa Aa
Line Spacing:
Column Width:
Background:
Article

Soil Organic Matter Storage in Irrigated Tsitsikamma Dairy Farms with Minimum Tilled Pasture Mixtures: Case Studies

by
Palo Francis Loke
1,2,
Elmarie Kotzé
1,* and
Christiaan Cornelius Du Preez
1
1
Department of Soil, Crop and Climate Sciences, University of the Free State, P.O. Box 339, Bloemfontein 9300, South Africa
2
Department of Forestry and Resource Management, Lesotho Agricultural College, Maseru 100, Lesotho
*
Author to whom correspondence should be addressed.
Agriculture 2022, 12(6), 858; https://doi.org/10.3390/agriculture12060858
Submission received: 19 May 2022 / Revised: 6 June 2022 / Accepted: 10 June 2022 / Published: 14 June 2022
(This article belongs to the Special Issue Soil Carbon and Nitrogen in Agricultural Systems)

Abstract

In recent years, pasture production changed from conventional tilled single pastures to minimum tilled mixed pastures in the Tsitsikamma region, South Africa. However, storage of soil organic matter (SOM) under minimum tilled mixed pastures is not yet quantified. This study evaluated SOM indices in the upper 60 cm soil of six-year-old mixed pastures in the Upper (UT) and Lower (LT) Tsitsikamma regions. Soil samples were collected at 0–15, 15–30, 30–45, and 45–60 cm soil layers of five farms (F1, F2, F3, F4, and F5) treated with different rates of fertilizer (NPK) alone and in combination with dairy effluent (DE) and/or poultry manure (PM). Results of this study indicated that there were no significant differences in bulk density, total nitrogen (N), and rate of potentially mineralizable N (PMN) between farms in the UT region. In the LT region, NPK, DE, and PM combinations improved soil C accumulation relative to the soil application of NPK. Higher C/N ratios in the LT region suggested adequate C for microbial energy and maintenance. Integrating manure into minimum tilled pasture mixtures as a replacement for synthetic fertilizers seems to be a feasible option to promote SOM storage, but remains only feasible by applying site-specific management strategies.

1. Introduction

Dairy farming is a major land use in the Tsitsikamma region of the Eastern Cape Province, South Africa. In the past, animal production was centered on native fynbos vegetation which has a low carrying capacity. As a result, perennial kikuyu grass (Penisetum clandestinum) was established as pasture under irrigation [1,2]. However, a major problem with kikuyu pasture is that forage production is low during winter because the lower temperatures limit growth of this grass. Other pastures, incorporating temperate grasses and clover (Trifolium spp.), are therefore over-sown into kikuyu for maintaining winter feed production. The grasses used are typically annual (Lolium multiflorum) and perennial (Lolium perenne) ryegrass [1,2]. Another problem with kikuyu is that it is quite invasive and becomes dominant within a few years even if fields are sown to perennial ryegrass. Thus, either ryegrass or clover were resown each summer using conventional intensive tillage each year, leading to a loss of SOM. In recent years, a minimum tillage system was introduced to combat SOM losses [3]. This system involves mulching of the kikuyu matt at an above-ground level for a seedbed into which the ryegrass and clover are over-sown with a minimum-till seed drill. Fertilization is essential to support production of the pasture mixtures year-round, and thereby milk production. Increasing fertilizer prices are however, threatening the profitability of the dairy industry [4,5], particularly in the context of developing countries due to a lack of subsidies and dwindling purchasing power of most farmers [6]. Poor establishment and persistence of these grass species remain a major challenge in South Africa and probably in other countries [5]. Therefore, modification of agricultural practices is pertinent to ensure a favorable cost-to-income ratio for dairy farmers and to promote SOM storage.
Soil organic matter is a key constituent critical for nutrient management in farming systems [7]. This provides integrative benefits in protecting the environment and sustaining agriculture and can be an appropriate tool for managing heterogeneity among farmer fields [8]. While the use of animal manure to reverse declining soil quality and food production has been a traditional practice used by many nations [9,10], it was replaced by synthetic fertilizers due firstly to inconvenience with collection, storage, transport, and application of animal manure; and secondly due to insufficiency to meet annual nitrogen (N), phosphorus (P), and potassium (K) soil requirements [4,11,12]. To date, animal manure is readily available globally with a substantial 7 Pg produced every year [4,13]. This also applies to South Africa, although only 25% of the estimated 3 × 106 t of produced animal manure is used as fertilizer source while 75% goes to waste [11]. Moreover, handling of manure for dairy farming should be less of a problem because the manure is generated in the grazed pastures and milking sheds.
Underutilization of animal manure as organic amendment stems from the fact that synthetic fertilizers provide nutrients in plant-available forms unlike manure, which has to undergo decomposition-mineralization processes [4,11]. Nevertheless, limited knowledge by farmers in the use of synthetic fertilizers often leads to injudicious applications that ultimately damage the environment [4,13]. In South African pastures for example, over-fertilization is prevalent as farmers still use outdated fertilizer guidelines developed based on data collected from conventionally cultivated soils, and such guidelines do not take into consideration nutrient cycling from plant residues and animal excreta [5].
In the southern Cape coastal region, the heart of the dairy industry in South Africa, over-sowing pastures is done with minimum tillage implements and occasionally shallow or deep conventional tillage methods, which have exhibited variable and inconsistent effects on soil carbon (C) and N [1,2,3,14]. In addition to tillage practices, other management practices such as fertilization and irrigation also vary among farmers and can have negative or positive implications on soil C and N sequestration. Surprisingly, there are no short-, medium-, or long-term studies on the changes and distribution of soil C and N stocks influenced by fertilization to a depth of 60 cm, despite the growing interest in the use of organic fertilizers in this region. Despite the limited information, some studies elsewhere indicated that synthetic fertilizers improved primary biomass production, but at the same time deprived agricultural ecosystems of soil C compared to organic amendments [15,16,17,18]. A meta-analysis also showed that manure applications improved soil C stocks by an average of 3.8 Mg ha−1 relative to synthetic fertilizer applications in arable and grassland ecosystems [16].
Applications of animal manure and dairy effluent have direct benefits on SOM, microbial activity, soil structure, water holding capacity, and sustainable crop production, and due to slow nutrient release, can have a positive impact on nutrient use efficiency and SOM storage [9,12,19]. On the other hand, the trade-offs between milk production and soil C storage were modeled [20] and it was found that milk production and soil C increased with an increase in synthetic fertilizer application rates. In addition to their potential to improve biomass production as source of animal feeds and soil C, high fertilizer application rates are also known to suppress microbial activity and thus SOM decomposition [13,21]. Most of the evidence shows that the combination of organic and synthetic fertilizers is the most promising and feasible option to increase farmers’ income while also promoting soil quality and SOM storage in managed grassland ecosystems [19,22,23,24]. Conversely, a meta-analysis indicated that the combination of organic manure and chemical fertilizer have shown potential to increase greenhouse gas emissions compared to the sole application of chemical fertilizers [25,26]. These contradictions and uncertainties have brought mixed feelings among the dairy farming community regarding the best management to adopt because such practice would not only affect SOM, but also dairy farming as a commercial enterprise, whereby the primary focus is on milk production and good profits [3,20].
Considering escalating costs of chemical inputs, however, many researchers have predicted that the use of organic manure as soil amendments is likely to increase rapidly across the world [4,9,16,24]. Although it was concluded that ~4% of the total C in applied manure is retained in the soil [9], continuous applications of dairy effluent and/or animal manure in managed grassland systems can improve soil C and probably contribute effectively to the ‘4 per 1000′ initiative launched in Paris with the aim of storing 4‰ of global soil C annually in the upper 40 cm soil. Hence, it was suggested that farms and field trials as ideal networks to realize the feasibility of the ‘4 per 1000′ target and demonstrate sustainable soil management practices that farmers can implement to maintain agricultural resilience against extreme climatic conditions [10].
The establishment of SOM threshold values is one measure that can be employed to regulate fertilizer application and minimize either over- or under-fertilization [7]. However, it is unclear what critical SOM levels or threshold values are required to regulate applications of external fertilizers. Such levels are key in short- and long-term soil fertility maintenance. Due to the high variation in SOM storage capacity that depends on several edaphic factors, threshold SOM values are site-specific.
In the Tsitsikamma region, to our knowledge, only one study was done to date in quantifying SOM storage under pastures. Storage of SOM in the top 10 cm was quantified on four selected farms with annual ryegrass pastures (conventionally tilled with rotary cultivator and re-sown each year for at least 15 years), permanent kikuyu grass pastures (remained untilled for more than 15 years), and undisturbed native vegetation [1]. In comparison with soils under sparse native vegetation, those under both annual ryegrass and permanent kikuyu pasture had higher organic C contents and stocks on the sandy soils in the eastern side of this region. By contrast, in the higher rainfall, western side with dense native vegetation, there was a loss of organic C contents and stocks under both types of pastures.
Investigating SOM storage in irrigated Tsitsikamma farms in this study was prompted by the change in management practices adopted for pasture production since the previous investigation [1]. The quantification of SOM storage to only 10 cm soil depth is inadequate when the importance of SOM is considered. Case studies were therefore chosen to assess contents and stocks of SOM indices to a depth of 60 cm as influenced by current minimum tillage practices, six years after the initial application of irrigated kikuyu-ryegrass-clover pasture mixtures on five dairy farms in the eastern upper Tsitsikamma and on five farms in the western lower Tsitsikamma. Indices (soil C, total N, C/N ratio, active C, and PMN rates) were measured that form an important component of a soil quality index developed specifically for kikuyu-ryegrass pasture systems in the southern Cape of South Africa [27]. Even though some practices were not part of the management during the development of a soil quality index, we are of the opinion that these indices would be useful and sensitive to detect management changes. We hypothesized that organic manure applied along with dairy effluent and/or low fertilizer rates would improve contents and stocks of soil C, total N, active C and PMN rates, particularly in the surface soil. Such baseline information is critical to establish the possibility of developing universal management strategies for more sustainable pasture production in Tsitsikamma and elsewhere in the world.

2. Materials and Methods

2.1. Study Area

The Tsitsikamma region forms a narrow belt west of Humansdorp between the Kareedouw and Tsitsikamma Mountains towards the north and the Indian Ocean towards the south. The area is regarded as the heart of the dairy farming industry in the Eastern Cape. The Tsitsikamma region is named after the San word meaning place of abundant water [28]. Owing to a change in rainfall and soil type from east to west, the Tsitsikamma region (Figure 1) is divided into the Upper Tsitsikamma (UT) and the Lower Tsitsikamma (LT) regions; as a result, production techniques and adapted enterprises differ in some respects between the two areas.
This study was carried out on 10 pasture-based dairy farms in the Tsitsikamma of which an equal number (five farms per region) was selected in the UT and LT regions based on the following criteria: (1) pasture mixtures consisting of kikuyu, ryegrass, and clover; (2) adopted minimum tillage or no tillage practices; (3) six years established pasture mixtures; (4) irrigated pasture mixtures; and (5) availability of accurate fertilizer application rates from the last 6 years. Although the farms have the above in common, they differ in their management practices, e.g., they have varying fertilizer application rates, irrigation frequencies and grazing tendencies (Table 1). However, there were no available records on irrigation frequencies. Unscreened 2 t ha−1 of poultry manure and unknown rates of solid dairy effluent were spread in some farms, while liquid dairy effluent was applied with irrigation water via the center pivot system. None of these organic wastes’ chemical composition was determined. However, in general, the application of N, P, and K through either solid or liquid dairy effluent should be negligible compared to poultry manure which probably amounted to 22–35 kg N ha−1, 17–22 kg P ha−1 and 15–23 kg K ha−1 [29].

2.2. Physiography

The geology of the region shows an origin of predominantly Table Mountain sandstone. A narrow strip of Bokkeveld shales exist from Witelsbos, west towards the Bloukrans River. Quaternary dune sand (approximately 2–3 million years), some of which is still in an unstable state covers the eastern coastal belt of the area [30].
The topography of the UT region is flat to rolling and is broken by deep gorges which run from north to south. The LT region has a rolling topography bisected by gorges which are not as deep as in the UT region. Most of the rivers are perennial. The altitude ranges from sea level to approximately 350 m in the north [30].
As displayed in Table 2, annual rainfall varies from approximately 600 mm in the east to 1250 mm in the west and the distribution is relatively even throughout the year [31]. The rainfall does however peak in autumn and spring while December, January, and February are relatively dry months. Winters are mild and summers are hot, with mean daily temperatures varying from 10 °C in winter and spring to 35 °C in summer and autumn. Frost is a rarity during winter [30].
The introduction of pasture production resulted in small patches of native vegetation remaining behind, which belong to the Tsitsikamma Sandstone Fynbos community. This plant community includes a very narrow shoreward band of dune fynbos, which typically consist of a variety of shrubs, herbs, and grasses, having a low stock-carrying capacity [30].

2.3. Soils

The soils originated from Table Mountain sandstone and are generally sandy. These soils naturally have a low pH (3.3–4.5), are leached, and thus have a low plant nutrient status. However, soils of the selected dairy farms have a higher plant nutrient status (Table 3) due to fertilization by the farmers to ensure adequate pasture production. Established threshold values are 4.5 for pH (KCl), 30 mg kg−1 for P, 80 mg kg−1 for K, 500 mg kg−1 for Ca, 100 mg kg−1 for Mg, and less than 60 mg kg−1 for Na [32], implicating under- and over-fertilization in a few instances. The soils on the level plateau are predominantly hydromorphic (showing evidence of intermittent or permanent presence of excess water). The dominant soils [33,34] are Cartref (Leptic Acrisol), Kroonstad (Albic Stagnosol), Longlands, (Albic Cambisol), Katspruit (Luvic Stagnosol), Constantia (Albic Podzol), and Oakleaf (Petric Durisol) forms, while Clovelly (Haplic Regosol) and Avalon (Plinthic Regosol) forms are less dominant and make up the balance in the better drained areas. Organic matter accumulation is a prominent feature of the soils. Subsoil material is often extensively stained by mobile humus material which due to its mobility is responsible for the dark brown color of stream and river waters.

2.4. Data Collection

A systematic grid procedure was followed for collecting soil data from each center pivot irrigation system (hereafter referred to as pivot) on a farm. Google Earth was used to locate a farm with existing and working pivots (Figure 2a). The resulting image was stored on a computer and imported to software that coincides with the Veris hydraulic soil auger (Veris Technologies, Salina, KS, USA; Figure 2b,c). The boundaries of the pivots were marked and pivot tracks delineated. After the tracks were discarded, a grid was drawn with points 54 m apart, converted to a readable format by a Global Positioning System (GPS), and transferred to the GPS (Figure 2d).
The above-mentioned soil auger, equipped with a probe measuring soil reflectance, was used to take absorbance readings at 0–15, 15–30, 30–45, and 45–60 cm soil depths (Figure 2a). Four absorbance readings were taken per depth interval at 1 m distances from each other around all grid points and averages were calculated. The mean absorbance readings were recorded by a spectrophotometer fixed on the soil auger and the resulting values were stored on an attached computer.
Soil cores from a sufficient number of grid points randomly distributed under a pivot were sampled for the standardization of the spectrophotometer on the soil auger. Three soil cores were collected with the soil auger’s core sampler per depth interval within the 1 m2 area around a grid point (Figure 2c). The soil cores were air-dried, mixed, and weighed to estimate bulk density [35]. The composite samples were then sieved through a 2 mm screen and half of each sample was dispatched to a commercial laboratory (BemLab, Somerset West, South Africa) for determination of soil C and total N with a Leco Elemental Combustion Analyzer (Leco Corporation, St Joseph, MI, USA). None of the samples contained inorganic C. On the other half of the composite sample, active C was measured using an adapted potassium permanganate oxidizable C method [36] and potential mineralizable nitrogen (PMN) rate using the potassium chloride method [37]. Standard methods [38] were used to determine the fertility status of the soils: pH (1:2.5 soil to 1 mol dm−3 KCl), extractable P (Bray 2 solution) and exchangeable potassium (K), calcium (Ca), magnesium (Mg), and sodium (Na) (1 mol dm−3 NH4OAc at pH 7) (Table 3).

2.5. Data Processing

Data used for this study are presented in contents (% or mg kg−1) and in stocks (Mg ha−1 or kg ha−1). Content measurements were obtained from probe absorbance readings and core soil samples whereas stock measurements were obtained from a conversion of the content data to stocks. This conversion was done by taking bulk density and sampling depth into account. Linear mixed model analysis, also known as REML analysis [39], was applied to the averages of SOM indices and bulk density over grid points under pivots. A nested and weighted analysis was used as the numbers of center pivots per category (area, farm, and pivot) were very different and therefore only the first 7 pivots were used for analysis. Fixed effects were specified as farm per region, depth, and their interactions. The random effect was specified as depth within pivot, pivot within farm, and farm within area. Fisher’s protected least significant difference test, with the standardized range [40], was used to compare means at a 1% level, as the farm and pivot variances were not homogeneous [41]. Data were analyzed using the statistical program GenStat® [39].

3. Results

A summary of REML analyses is presented in Table 4. The main effects of farm and depth as well as their interactions had significant influences on SOM indices, but most importantly on soil C and total N contents and stocks and C/N ratio in both the UT and LT regions. Although bulk density, active C and PMN rates are considered sensitive to land use or management changes, they only occasionally responded significantly to the main and interaction effects. In fact, active C and PMN rates did not respond significantly to the interactions of farm and depth.

3.1. Main Effects

Bulk density did not vary significantly between farms and across the sampled soil profiles, and therefore did not have much influence when calculating the stocks of the measured SOM indices. Despite the fact that the corrections of content levels with bulk density resulted in negligible changes in stocks, our results are reported in both contents and stocks.
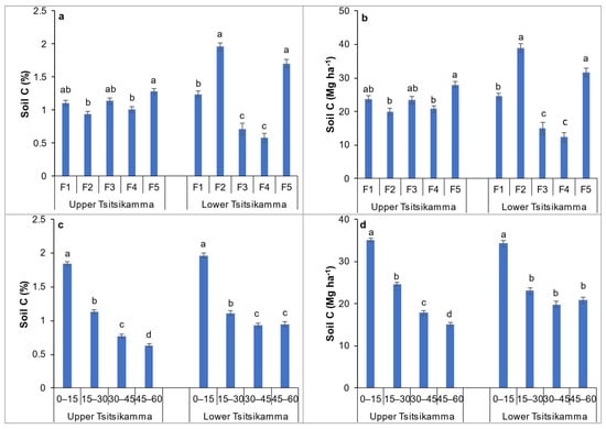
Comparisons between farms indicate that in the UT region, soil C contents (Figure 3a), and stocks (Figure 3b) did not change significantly between F1, F2, F3, and F4 or between F1, F3, and F5, but increased by an average of 0.73% and 7.59 Mg ha−1 in F5 compared to F2 and F4. In the LT region, soil C contents (Figure 3a) and stocks (Figure 3b) were, on average, 0.99% and 18.0 Mg ha−1 higher in F2 and F5 than in F1, F3, and F4, and 0.60% and 10.9 Mg ha−1 (on average) higher in F1 than in F3 and F4. Soil C contents (Figure 3c) and stocks (Figure 3d) among depths were significantly different in the following order: 0–15 > 15–30 > 30–45 > 45–60 cm soil depth. However, in the LT region, differences in soil C contents below 30 cm soil depth and stocks below 15 cm soil depth were not significant.
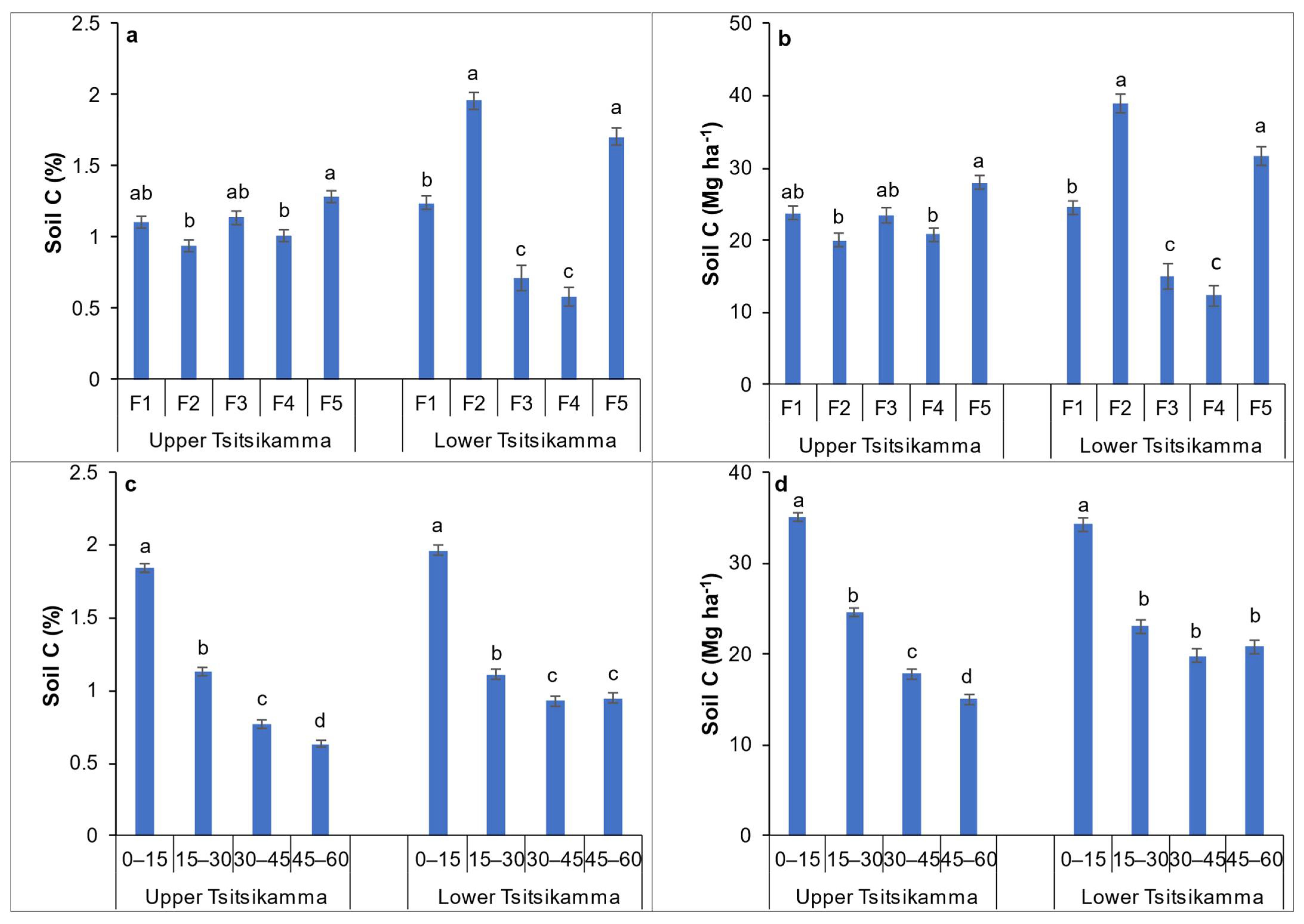
Regardless of the region, total N contents (Figure 4a) and stocks (Figure 4b) remained virtually unaltered when comparisons were made between farms but changed significantly with sampled soil layers (Table 4). Although differences were not always significant, total N contents (Figure 4c) and stocks (Figure 4d) declined with an increase in soil depth. In the UT region, total N contents and stocks were, respectively, 0.079% and 1.07 Mg ha−1 higher in the 0–15 cm soil layer compared to the 15–30 cm soil layer, which also had, on average, 0.057% and 1.09 Mg ha−1 higher total N contents and stocks than the 30–45 and 45–60 cm soil layers. In the LT region, total N contents and stocks were, respectively, 0.098% and 1.30 Mg ha−1 (on overage) higher in the upper 15 cm soil than in the soil below 15 cm.
The C/N ratio as a measure of SOM quality was influenced neither by the management in each farm (Figure 5a) nor the sampled soil layers (Figure 5b) in the UT region, but changed significantly among the farms (Figure 5a) and between soil layers (Figure 5a) in the LT region (Table 4). The C/N ratio was highest in F2 followed in a decreasing order by F5, F1, F3 and then F4. Moreover, the C/N ratio was higher in the 15–30 cm soil layer than the rest of the sampled depth intervals.
Contradictory to the UT region, active C contents and stocks varied significantly in the LT region (Table 4). In this region, active C contents were 170–355 mg kg−1 higher in F5 than in F2, F3 and F4 (Figure 6a). Active C contents were similar between F1 and F2, but higher than those recorded in F3 and F4, although differences were not significant between F2 and F4. A similar pattern was observed with active C stocks (Figure 6b), but significant differences were observed between F3 (0.10 Mg ha−1) and F1 (0.67 Mg ha−1) or F5 (0.72 Mg ha−1). Furthermore, active C contents (Figure 6c) and stocks (Figure 6d) varied with soil depth in both regions, and thus followed the order: 0–15 > 15–30 > 30–45 = 45–60 cm soil layers.
The PMN rates in terms of contents (Figure 7a) and stocks (Figure 7b) did not change significantly between farms in either of the studied regions but changed with soil depth (Table 4). Thus, the PMN rate for contents (Figure 7c) and stocks (Figure 7d) were higher in the 0–15 cm soil layer than in the 15–30, 30–45 and 45–60 cm soil layers, but did not vary significantly between the latter three soil layers.

3.2. Interactions

Interactions of farm and depth influenced bulk density, which increased with an increase in soil depth regardless of farm management (Table 4 and Table 5). Although differences were not always significant, the highest bulk densities were recorded in the 45–60 soil layer in all farms except in F2 of the UT region, where the highest bulk density was recorded in the 30–45 cm soil layer. Comparing farms per soil layer indicated no significant changes in bulk density in the UT and LT regions. However, in the 0–15 cm soil layer, F5 had lower bulk density, especially when compared to F1, F3, and F4.
In contrast, soil C contents and stocks displayed a different pattern as they decreased with an increase in soil depth regardless of farm management (Table 6). In both the UT and LT regions, all farms had higher soil C contents and stocks in the 0–15 cm soil layer compared to the rest of the soil layers. However, in F3 and F4 of the LT region, soil C contents and stocks in the 15–30 cm soil layer were statistically similar to those recorded in the 0–15, 30–45, and 35–60 cm soil layers. Soil C contents between farms in the UT region also did not differ significantly in the 0–15 and 15–30 cm soil layers, but were 0.62% higher in the 30–45 and 45–60 cm soil layers of F5, especially when compared to F2 (Table 6). A similar trend was observed with soil C stocks, although significant differences were recorded between: F5 (29.6 Mg ha−1) and F1 (38.8 Mg ha−1) or F2 (38.2 Mg ha−1) in the 0–15 cm soil layer; F5 (31.3 Mg ha−1) and F4 (18.9 Mg ha−1) in the 15–30 cm soil layer; F5 (26.5 and 24.4 Mg ha−1, respectively) and F4 (15.2 and 13.4 Mg ha−1, respectively), and F2 (11.5 and 8.88 Mg ha−1, respectively) or F1 (17.4 and 13.7 Mg ha−1, respectively) in the 30–45 and 45–60 cm soil layers. In the LT region, soil C contents and stocks in the 0–15 cm soil layer were highest in F2 followed in a descending order by F5, F1, F3 and then F4. Similar patterns were observed in the 15–30, 30–45 and 45–60 cm soil layers, although differences were not always significant.
Similar to soil C, total N contents and stocks also declined with increasing soil depth in both the UT and LT regions (Table 7). Across all the farms in the UT region, total N contents and stocks were higher in the 0–15 cm soil layer compared to other three deeper soil layers, which did not differ significantly in terms of total N contents and stocks. Total N contents in F1 were statistically the same throughout the sampled soil profile, but stocks varied significantly between 0–15 (3.98 Mg ha−1) and 45–60 (2.66 Mg ha−1) cm soil layers. In the LT region, significant changes in total N contents and stocks with depth were observed in F5, and the 0–15 cm soil layer had more total N content and stocks than the 15–30, 30–45, and 45–60 cm soil layers. Furthermore, total N stocks in F2 were higher in the 0–15 cm soil layer than those recorded in the 15–30 cm soil layer. Differences in total N contents and stocks among studied farms were observed in the 0–15 and 15–30 cm soil layers for the UT region and only in the 0–15 cm soil layer for the LT region. In the 0–15 cm soil layer, F5 had higher total N contents and stocks than F1, F2, F3, and F4, irrespective of the region. Similar observations were recorded in the 15–30 cm soil layer in the UT region, although differences were not significant between F5 and F3.
Except in F5 in the UT region and F2 and F5 in the LT region, C/N ratio exhibited similar trends displayed by soil C and N as it decreased with an increase in soil depth (Table 8). Both F1 and F2 of the UT region had higher C/N ratios in the 0–15 cm soil layer than in the 45–60 cm soil layer. Conversely, F5 had significantly lower C/N ratio in the 0–15 and 15–30 cm soil layers than in the 30–45 and 45–60 cm soil layers. In F2 of the LT region, the 15–30 cm soil layer had the highest C/N ratio followed by the 45–60, 0–15, and then 30–45 cm soil layers, but differences were not significant between the 0–15 and 30–45 cm soil layers. In F5, C/N ratio followed the order: 30–45 > 15–30 > 45–60 > 0–15 cm soil layers, although the C/N ratios were statistically similar between the 45–60 and 0–15 or 15–30 cm soil layers. Changes in C/N ratio with depth were not significant in F3 and F4 in the UT region and in F1, F3, and F4 of the LT region. The C/N ratio also varied between farms except in the 15–30 cm soil layer in the UT region. In this region, F2 had a higher C/N ratio, especially when compared to F5 in the 0–15 cm soil layer, while in the 30–45 and 45–60 cm soil layers, F5 had a higher C/N ratio than F1, F2, F3, and F4. Differences in C/N ratio between the latter farms were not significant. In the LT region, higher C/N ratios were recorded in F2 compared to the rest of the farms, regardless of soil depth. However, there were no significant changes in C/N ratio between F2 and F5 in the 30–45 cm soil layer.

4. Discussion

A shortcoming of this study is that SOM storage was not measured under native vegetation, which occurs as small patches and thus are not representative to serve as reference for minimum tilled pasture mixtures. Furthermore, the previous study on the dairy farms quantified SOM storage only to 10 cm soil depth, while not using comparable field and laboratory techniques [1]. The current study can thus serve as a baseline for the evaluation of minimum till pasture mixtures on SOM storage over the long run.
Although SOM storage prior to introduction of cultivated pastures in the UT and LT regions is not known, we are of the opinion that inherent SOM in these regions had a substantial impact on the current SOM status considering the relatively low amounts of organic fertilizers applied. Approximately 2 ton ha−1 yr−1 of chicken manure was applied in some farms (Table 1), while liquid effluent from milking paddocks was applied during irrigation, which made it difficult to determine the rates of application. However, additives such as chicken manure can increase soil C when applied at higher rates (1.38–1.75 ton ha−1) compared to maintenance rates (0.24–0.57 ton ha−1) for a period of three years [42]. The higher rates are close to the applied rate of chicken manure in this study; as such, applications of 2 ton ha−1 yr−1 for six years could be enough to enhance soil C in the mixed pastures of Tsitsikamma. Quantity of organic fertilizers applied is admittedly important to improve SOM, but the quality is also key for SOM accumulation.
Other factors that we assumed could improve SOM storage in Tsitsikamma were cultivation of mixed pasture species and grazing management, but again, there was no control or any treatment (cultivation of single or double species) to corroborate this assumption and differences in grazing management are not known. Therefore, changes in SOM storage could be attributed to applied fertilizer sources.

4.1. Main Effects

As a mixture of a myriad of C fractions with different turnover timescales, soil C is insensitive to short-term management changes and hence rather used in long-term studies (>10 years) as a tool to assess soil quality status [17,43]. In this study, however, soil C showed significant responses within six years of management practices that varied from one farm to the other. Thus, the increase in soil C accumulation (0.71–1.20 Mg ha−1 yr1) in the UT region and the increase (1.20–4.42 Mg ha−1 yr−1) in the LT region attest to the general findings that amendment of soils with different fertilizer sources alters C content in the soil. In addition, organic sources are more effective in improving soil C sequestration than synthetic fertilizers [10,15,21,22,24,44].
In the UT region, F5 was spread with liquid dairy effluent, which was probably richer in C fractions associated with soil C storage than poultry manure applied in F4, while F2 did not receive any form of organic fertilizer except excreta from grazing dairy cattle (Table 1). Non-significant differences in active C and PMN rates between farms in this region also could be an indication that indeed soil C in F5 was dominated by recalcitrant fractions (Figure 6 and Figure 7) as reported in other studies [14,43]. Assessment of the chemical composition of different organic manures showed that cattle manure was richer in organic C (26.5 vs. 17.8%) and recalcitrant C fractions as reflected by significantly higher lignin content (14.6 vs. 6.1%), lignin/N ratio (7.8 vs. 2.1), and C/N ratio (14.2 vs. 6.1) compared to poultry manure [24].
In contrast, the C/N ratio (6.95–9.79) across all farms in the UT region was statistically the same and closer to that of microbial biomass [13], suggesting a balanced N supply to C substrate and a similar extent of decomposition [13,43,45]. However, the slightly higher C/N ratio in F5 (Figure 4a,b), may indicate a slower decomposition rate [45]. In the LT region, F1, F2, and F5 received both dairy effluent and poultry manure, whereas F3 and F4 were not subjected to either of the two, and that could partly explain lower soil C storage in F3 and F4, while differences in soil C between F1 and F2 or F5 were probably due to the varying amounts of organic C sources applied or differences in soil C saturation deficits in each farm [9,43,46]. The higher C/N ratio in F2 followed by F5 indicated a lower supply of N and/or higher soil C as a result of suppressed decomposition rates than in F1, F3 and F4 [13]. On the other hand, either soil C decomposition was preferential targeting recalcitrant C, or recovery of labile C was more rapid as reflected by higher active C in F1 and F5 than in F4 in the LT region [13,44].
Both F2 and F4 in the UT region were treated with 414: 0: 269 and 870: 95: 284 kg ha−1 of NPK fertilizer, respectively, which were fairly higher than in F5 (308: 4: 70 kg ha−1, Table 1). In the LT region, N application rates were more or less the same between farms, but a little higher in F1 (Table 1). High N rates often suppress microbial activity, and thus C losses through decomposition [13,21]. However, in this study, high N applications in F2 and F4 in the UT region and to some extent in F1 in the LT region, likely resulted in a microbial community shift to a high N-demanding community that rapidly decomposed SOM and exogenous organic C inputs [13,19]. A study on measured microbial responses to N additions showed that N additions increased Gram-negative bacteria accompanied by preferential decomposition of labile C, and fungi with a corresponding decline in recalcitrant C [44]. Our results are somewhat inconsistent with previous studies that reported increased C accumulation as a result of increased applications of NPK fertilizer rates along with organic manure on intensively cultivated Aquic Inceptisols [22], Fluvo-Aquic soils [23], and Ultisols [19]. This generally implies that the extent to which organic C sources affect soil C may depend on their physical and chemical properties and N demand for soil microbes to carry out decomposition-mineralization processes [12,13]. Moreover, organic C inputs influence soil C directly, while synthetic fertilizers affect soil C indirectly by improving primary biomass production and/or enhancing or suppressing microbial activity, and all could be the cause of differences in soil C observed between farms in the UT and LT regions [15,17,21,22].
As expected, a decrease in soil C, total N, active C, and PMN rates with an increase in soil depth was observed in this study in both the UT and LT regions. Similar observations have been reported in many studies conducted under natural and intensively managed ecosystems [22,45,46,47]. Stratification of SOM indices with depth is often associated with root distribution within the soil profile [46,47,48]. Unfortunately, root biomass was not measured in this study. However, since similar pasture mixtures (kikuyu-ryegrass-clover) of the same age were considered for soil sampling, we assumed that root distribution across the soil profile would be similar and have more or less the same effects on SOM. Data on below-ground biomass, however, are necessary to improve our understanding on SOM changes in relation to root distribution across the soil profile, and therefore should be considered in the future [48]. Regardless, based on previous studies, we can only infer that root biomass was higher in the top 15 cm soil, and when considered together with deposited organic and chemical fertilizer inputs on the soil surface resulted in increased soil C, total N and active C sequestration and PMN rates in the 0–15 cm soil layer compared to the other three deeper soil layers.
Accumulation of SOM indices in the topsoil alters ecosystem properties by improving water infiltration, supply of nutrients to shallow rooted plants, and controlling surface runoff. On the other hand, surface stratification of these SOM indices renders them more susceptible to losses than SOM buried in the deeper soil layers. This is possible because C storage in the topsoil is influenced more by a combination of management practices and climatic conditions than inherent soil properties [17,48]. For example, reported C and N losses averaging to 6.99 and 0.58 Mg ha−1, respectively, in the topsoil of irrigated relative to unirrigated adjacent pastures across four regions in New Zealand, while differences were not significant below 30 cm soil depth [49]. Irrigation was also part of pasture management in the UT and LT regions and was done at frequencies that varied from one farm to the other. However, such data were not recorded. Although changes in soil C deeper in the soil profile are difficult to detect [17], in this study, significant changes in soil C as opposed to other SOM indices persisted beyond 30 cm soil depth, suggesting the potential for C storage irrespective of the region [22,46,48].

4.2. Interactions

Active C and PMN rates, as indices for assessing the lability of SOM [27,43], were influenced less by the interaction of farm and depth compared to soil C, total N, C/N ratio, and to some extent bulk density. An increase in bulk density with soil depth, especially in F2, F3, F4, and F5, regardless of the region, was an indication of soil compaction in the deeper soil layers (Table 5). Soil compaction as a result of management or animal trampling is usually more pronounced in the topmost layer as observed in the 0–15 cm soil layer of F1, F2, and F4 compared to F5 in the LT region. As such, we assumed that higher bulk density in the deeper soil layers was due to an increase in clay content that possibly restricted free vertical water percolation, thus inducing subsurface lateral water flow along with soluble SOM.
In contrast, all farms in both the UT and LT regions showed that effects of NPK fertilizers alone or in combination with poultry manure or dairy effluent on soil C, total N, and C/N ratio were pronounced in the top 30 cm soil and diminished with an increase in soil depth where clay content and other inherent soil properties take control of SOM storage [13,17,18,22]. In some farms, however, C/N ratio displayed variable trends attributable to changes in soil C and total N. Many studies have indicated that amendment of soils with fertilizers can promote root growth, resulting in deposition of organic material in the deeper soil layers [13,22], which was seemingly not the case in this study. In this study, increased bulk density with soil depth presumably restricted root penetration and SOM storage in the 30–45 and 45–60 cm soil layers compared to the soil surface layers. Even so, soil C in the deeper soil layers of F2 and F5 in the LT region was within ranges (27.7–32.1 Mg ha−1) closer to soil C stocks recorded in the surface layers of most farms (Table 6). It is possible that Ca applied in these two farms found its way into the deeper soil layers, and therefore improved soil pH and root activity [18]. However, a study [13] with moderate N rates (e.g., 240 kg ha−1, which is closer to N rates applied in the LT region) can improve root length and biomass, especially in the deeper soil layers (>60 cm). In this study, it seems a combination of these N rates (263 kg N ha−1 in F2 or 297 kg N ha−1 in F5) with dairy effluent can improve C sequestration in the deeper soil layers.
There were also significant effects of NPK and organic inputs on soil C, total N, and C/N ratio. Lower NPK fertilization rates along with dairy effluent in F5 in the UT region resulted in 23% (on average) loss of soil C in the 0–15 cm soil layer compared to NPK fertilizer application alone in F1 and F2. Soil C losses in F5 was due to rapid decomposition as reflected by a lower C/N ratio and higher total N compared to F1 and F2. In addition, irrigation frequencies were probably higher in F5, resulting in soil C leaching, which subsequently enhanced soil C storage in the 15–30, 30–45, and 45–60 cm soil layers compared to F1, F2, F3, and F4, although differences were not always significant. In the LT region, the highest soil C accumulations and C/N ratios in F2 followed by F5 and then F1 are attributed to a combined application of NPK fertilizer, poultry manure, and dairy effluent compared to sole applications of NPK fertilizer in F3 and F4. In this region, although similar soil amendments were used by the farmers, there were some significant differences in soil C across the sampled soil profiles. Although the amounts of applied dairy effluent and irrigation frequencies per farm were not recorded, we assume that these differences in soil C could be explained by differences in the amounts of dairy effluent applied and/or irrigation frequencies. Baseline information, such as in this study, remains critical for development and establishment of universal management strategies for more sustainable pasture production in Tsitsikamma and elsewhere in the world.

5. Conclusions

Without ruling out the possibility that inherent SOM, mixed pastures, and grazing management can alter SOM, different farm management practices, sampled soil layers, and their interactions seemed to have an influence on SOM indices of the mixed irrigated pastures on farms (F1 to F5) in both the UT and LT regions.
Soil C, total N, active C, and PMN rates were stratified in the surface soil layers, which can be good to improve water infiltration and control surface runoff, or a disadvantage because SOM in the topsoil is more prone to losses than that buried deeper in the soil profile.
Dairy effluent plus lower NPK fertilization rates applied in F5 of the UT region and their combination applied with poultry manure in F2 and F5 in the LT region showed potential to sequester SOM not only in the upper soil layers (0–15 and 15–30 cm), but also in the deeper soil layers (30–45 and 45–60 cm). Therefore, these combinations could be alternatives to high NPK fertilization rates applied alone or in combination with poultry manure in these regions and other agro-ecosystems with similar characteristics.
We acknowledge that the measured differences in SOM indices may be the result of several edaphic factors other than fertilization. However, apparently by integrating manure into the system as a replacement for synthetic fertilizers can be a feasible option not only to ensure a favorable cost-to-income ratio for dairy farmers, but also to promote SOM storage in the Tsitsikamma region under minimum tilled pasture mixtures. The case studies proved that site-specific management strategies are required for SOM storage, even in the relatively homogeneous Tsitsikamma dairy farming region.

Author Contributions

Conceptualization, E.K. and C.C.D.P.; methodology, E.K. and C.C.D.P.; validation, P.F.L., E.K. and C.C.D.P.; formal analysis, P.F.L. and E.K.; investigation, P.F.L., E.K. and C.C.D.P.; data curation, E.K. and C.C.D.P.; writing—original draft preparation, P.F.L.; writing—review and editing, P.F.L., E.K. and C.C.D.P.; visualization, C.C.D.P.; supervision, E.K. and C.C.D.P.; project administration, E.K.; All authors have read and agreed to the published version of the manuscript.

Funding

This research received no external funding.

Institutional Review Board Statement

Not applicable.

Informed Consent Statement

Not applicable.

Data Availability Statement

Not applicable.

Acknowledgments

The authors would like to acknowledge the farmers that participated and made their farms available for the selected case studies.

Conflicts of Interest

The authors declare no conflict of interest.

References

  1. Milne, R.M.; Haynes, R.J. Soil organic matter, microbial properties, and aggregate stability under annual and perennial pastures. Biol. Fertil. Soils 2004, 39, 172–178. [Google Scholar] [CrossRef]
  2. Milne, R.M.; Haynes, R.J. Comparative effects of annual and permanent dairy pastures on soil physical properties in the Tsitsikamma region of South Africa. Soil Use Manag. 2004, 20, 81–88. [Google Scholar] [CrossRef]
  3. Swanepoel, P.; Du Preez, C.C.; Botha, P.R.; Snyman, H.A. A critical view on the soil fertility status of minimum-till kikuyu–ryegrass pastures in South Africa. Afr. J. Range Forage Sci. 2015, 32, 113–124. [Google Scholar] [CrossRef]
  4. Thangarajan, R.; Bolan, N.; Tian, G.; Naidu, R.; Kunhikrishnan, A. Role of organic amendment application on greenhouse gas emission from soil. Sci. Total Environ. 2013, 465, 72–96. [Google Scholar] [CrossRef]
  5. Viljoen, C.; Van Der Colf, J.; Swanepoel, P.A. Benefits Are Limited with High Nitrogen Fertiliser Rates in Kikuyu-Ryegrass Pasture Systems. Land 2020, 9, 173. [Google Scholar] [CrossRef]
  6. Botha, P.R.; Meeske, R.; Snyman, H.A. Kikuyu over-sown with ryegrass and clover: Grazing capacity, milk production and milk composition. Afr. J. Range Forage Sci. 2008, 25, 103–110. [Google Scholar] [CrossRef]
  7. Patrick, M.; Tenywa, J.S.; Eban, P.; Tenywa, M.M.; Mabiru, D.N.; Basamba, T.A.; Leip, A. Soil organic carbon thresholds and nitrogen management in tropical agroecosystems: Concepts and prospects. J. Sustain. Dev. 2013, 6, 31–42. [Google Scholar] [CrossRef]
  8. Loveland, P.; Webb, J. Is there a critical level of organic matter in the agricultural soils of temperate regions? a review. Soil Tillage Res. 2003, 70, 1–18. [Google Scholar] [CrossRef]
  9. Whitehead, D.; Schipper, L.A.; Pronger, J.; Moinet, G.Y.; Mudge, P.L.; Pereira, R.C.; Kirschbaum, M.U.; McNally, S.R.; Beare, M.H.; Camps-Arbestain, M. Management practices to reduce losses or increase soil carbon stocks in temperate grazed grasslands: New Zealand as a case study. Agric. Ecosyst. Environ. 2018, 265, 432–443. [Google Scholar] [CrossRef]
  10. Wiesmeier, M.; Mayer, S.; Burmeister, J.; Hübner, R.; Kögel-Knabner, I. Feasibility of the 4 per 1000 initiative in Bavaria: A reality check of agricultural soil management and carbon sequestration scenarios. Geoderma 2020, 369, 114333. [Google Scholar] [CrossRef]
  11. Okoroghona, A.O.M.; Adibisi, L.O. Animal manure for smallholder agriculture in South Africa. In Farming for Food and Water Security: Sustainable Agriculture Reviews; Lichthouse, E., Ed.; Springer: Dordrecht, The Netherlands, 2012; pp. 201–242. [Google Scholar]
  12. Rayne, N.; Aula, L. Livestock Manure and the Impacts on Soil Health: A Review. Soil Syst. 2020, 4, 64. [Google Scholar] [CrossRef]
  13. Chen, Z.; Xu, Y.; Cusack, D.F.; Castellano, M.J.; Ding, W. Molecular insights into the inhibitory effect of nitrogen fertilization on manure decomposition. Geoderma 2019, 353, 104–115. [Google Scholar] [CrossRef]
  14. Swanepoel, P.A.; Habig, J.; Preez, C.C.; Snyman, H.A.; Botha, P.R. Tillage effects, soil quality and production potential of kikuyu-ryegrass pastures in South Africa. Grass Forage Sci. 2016, 72, 308–321. [Google Scholar] [CrossRef]
  15. Kowaljow, E.; Mazzarino, M.J.; Satti, P.; Jiménez-Rodríguez, C.D. Organic and inorganic fertilizer effects on a degraded Patagonian rangeland. Plant Soil 2010, 332, 135–145. [Google Scholar] [CrossRef]
  16. Maillard, E.; Angers, D.A. Animal manure application and soil organic carbon stocks: A meta-analysis. Glob. Change Biol. 2014, 20, 666–679. [Google Scholar] [CrossRef]
  17. Wiesmeier, M.; Urbanski, L.; Hobley, E.; Lang, B.; von Lützow, M.; Marin-Spiotta, E.; van Wesemael, B.; Rabot, E.; Ließ, M.; Garcia-Franco, N.; et al. Soil organic carbon storage as a key function of soils-A review of drivers and indicators at various scales. Geoderma 2019, 333, 149–162. [Google Scholar] [CrossRef]
  18. Huang, Y.; Jing, Y.; Bei, M.; Yang, H.; Cha, Z.; Lin, Q.; Luo, W. Short-term effects of organic amendments on soil fertility and root growth of rubber trees on Hainan Island, China. J. For. Res. 2020, 31, 2137–2144. [Google Scholar] [CrossRef]
  19. Ye, G.; Lin, Y.; Liu, D.; Chen, Z.; Luo, J.; Bolan, N.; Fan, J.; Ding, W. Long-term application of manure over plant residues mitigates acidification, builds soil organic carbon and shifts prokaryotic diversity in acidic Ultisols. Appl. Soil Ecol. 2019, 133, 24–33. [Google Scholar] [CrossRef]
  20. Kirschbaum, M.U.; Schipper, L.A.; Mudge, P.L.; Rutledge, S.; Puche, N.J.; Campbell, D.I. The trade-offs between milk production and soil organic carbon storage in dairy systems under different management and environmental factors. Sci. Total Environ. 2017, 577, 61–72. [Google Scholar] [CrossRef]
  21. Gregorich, E.G.; Carter, M.R.; Angers, D.A.; Monreal, C.M.; Ellert, B.H. Towards a minimum data set to assess soil organic matter quality in agricultural soils. Can. J. Soil Sci. 1994, 74, 367–385. [Google Scholar] [CrossRef]
  22. Fan, J.; Ding, W.; Xiang, J.; Qin, S.; Zhang, J.; Ziadi, N. Carbon sequestration in an intensively cultivated sandy loam soil in the North China Plain as affected by compost and inorganic fertilizer application. Geoderma 2014, 230-231, 22–28. [Google Scholar] [CrossRef]
  23. Zha, Y.; Wu, X.-P.; Gong, F.-F.; Xu, M.-G.; Zhang, H.-M.; Chen, L.-M.; Huang, S.-M.; Cai, D.-X. Long-term organic and inorganic fertilizations enhanced basic soil productivity in a fluvo-aquic soil. J. Integr. Agric. 2015, 14, 2477–2489. [Google Scholar] [CrossRef][Green Version]
  24. Adekiya, A.O.; Ejue, W.S.; Olayanju, A.; Dunsin, O.; Aboyeji, C.M.; Aremu, C.; Adegbite, K.; Akinpelu, O. Different organic manure sources and NPK fertilizer on soil chemical properties, growth, yield and quality of okra. Sci. Rep. 2020, 10, 16083. [Google Scholar] [CrossRef] [PubMed]
  25. Zhou, M.; Zhu, B.; Wang, S.; Zhu, X.; Vereecken, H.; Brüggemann, N. Stimulation of N2O emission by manure application to agricultural soils may largely offset carbon benefits: A global meta-analysis. Glob. Chang. Biol. 2017, 23, 4068–4083. [Google Scholar] [CrossRef] [PubMed]
  26. IPCC. The Physical Science Basis: Contribution of Working Group I to the IV Assessment Report of the Intergovernmental Panel on Climate Change; Cambridge University Press: Cambridge, UK, 2007. [Google Scholar]
  27. Swanepoel, P.; du Preez, C.; Botha, P.; Snyman, H.; Habig, J. Soil quality characteristics of kikuyu–ryegrass pastures in South Africa. Geoderma 2014, 232–234, 589–599. [Google Scholar] [CrossRef]
  28. Rebelo, A.G.; Boucher, C.; Helme, N.; Mucina, L.; Rutherford, M.C. Fynbos biome. In The Vegetation of South Africa, Lesotho and Swaziland; Strelizia 19; Mucina, L., Rutherford, M.C., Eds.; South African National Biodiversity Institute: Pretoria, South Africa, 2006. [Google Scholar]
  29. ARC-ISCW. Agro-Climatology Database; Agricultural Research Council-Institute for Soil Climate and Water: Pretoria, South Africa, 2020. [Google Scholar]
  30. Soil Classification Working Group. Soil Classification: A Taxonomic System for South Africa. In Memoirs on the Agricultural Natural Resources of South Africa No. 15; Department of Agriculture: Pretoria, South Africa, 1991. [Google Scholar]
  31. Van Huyssteen, C.W. Relating the South African Soil Taxonomy to the World Reference Base for Soil Resources; Sun Media: Bloemfontein, South Africa, 2020. [Google Scholar]
  32. Weil, R.W.; Islam, K.R.; Stine, M.A.; Gruver, J.B.; Samson-Liebig, S.E. Estimating active carbon for soil quality assessment: A simplified method for laboratory and field use. JJAA 2003, 18, 3–17. [Google Scholar] [CrossRef]
  33. Parfitt, R.L.; Yeates, G.W.; Ross, D.J.; Mackay, A.D.; Budding, P.J. Relationships between soil biota, nitrogen and phosphorus availability, and pasture growth under organic and conventional management. Appl. Soil Ecol. 2005, 8, 1–13. [Google Scholar] [CrossRef]
  34. The Non-Affiliated Soil Analysis Work Committee. Handbook of Standard Soil Testing Methods for Advisory Purposes; Soil Science Society of South Africa: Pretoria, South Africa, 1990. [Google Scholar]
  35. FERTASA. Fertilizer Handbook, 8th ed.; Fertilizer Association of Southern Africa: Pretoria, South Africa, 2016. [Google Scholar]
  36. Glass, G.V.; Peckham, P.D.; Sanders, J.R. Consequences of failure to meet assumptions underlying the fixed effects analyses of variance and covariance. Rev. Educ. Res. 1972, 42, 237–288. [Google Scholar] [CrossRef]
  37. Warn, L. Chicken Litter: Alternative Fertiliser for Pastures and Ways to Increase Soil Organic Carbon; Publication No. 14/087; Rural Industries Research and Development Cooperation, Charles Sturt University: Wagga Wagga, NSW, Australia, 2014. [Google Scholar]
  38. Loke, P.F.; Kotzé, E.; Du Preez, C.C.; Twigge, L. Dynamics of Soil Carbon Contents and Quality Induced by Agricultural Land Use in Central South Africa. Soil Sci. Soc. Am. J. 2019, 83, 366–379. [Google Scholar] [CrossRef]
  39. Cusack, D.F.; Silver, W.L.; Torn, M.S.; Burton, S.D.; Firestone, M.K. Changes in microbial community characteristics and soil organic matter with nitrogen additions in two tropical forests. Ecology 2011, 92, 621–632. [Google Scholar] [CrossRef]
  40. Kotzé, E.; Loke, P.F.; Akhosi-Setaka, M.C.; Du Preez, C.C. Land use change affecting soil humic substances in three semi-arid agro-ecosystems in South Africa. Agric. Agric. Ecosyst. Environ. 2016, 216, 194–202. [Google Scholar] [CrossRef]
  41. Scott, D.S.; Bach, E.B.; Du Preez, C.C.; Six, J.; Baer, S.G. Mechanisms influencing physically sequestered soil carbon in temperate restored grasslands in South Africa and North America. Biogeochemistry 2021, 156, 131–143. [Google Scholar] [CrossRef]
  42. Du Preez, C.C.; Van Huyssteen, C.W.; Amelung, W. Changes in soil organic matter content and quality in South African arable land. In Soil Degradation and Restoration in Africa; Lal, R., Stewart, B.A., Eds.; CRC Press: Boca Raton, FL, USA, 2020; pp. 110–143. [Google Scholar]
  43. Snedecor, G.W.; Cochran, W.G. Statistical Methods, 7th ed.; Iowa State University Press: Ames, IA, USA, 1980. [Google Scholar]
  44. Skinner, R.H.; Dell, C.J. Yield and soil carbon sequestration in grazed pastures sown with two or five forage species. Crop Sci. 2016, 56, 2035–2044. [Google Scholar] [CrossRef]
  45. Mudge, P.L.; Kelliher, F.M.; Knight, T.; O’Connell, D.; Fraser, S.; Schipper, L.A. Irrigating grazed pasture decreases soil carbon and nitrogen stocks. Glob. Change Biol. 2017, 239, 45–54. [Google Scholar] [CrossRef]
  46. Blake, G.R.; Hartge, K.H. Bulk density. In Methods of Soil Analysis. Part 1. Physical and Mineralogical Methods, 2nd ed.; Klute, E., Ed.; Soil Science Society of America: Madison, WI, USA, 1986; pp. 363–382. [Google Scholar]
  47. SANPARKS. Natural and Culture History. 2004. Available online: https://www.sanparks.org/parks/garden_route/tourism/tsitsikamma_history.php (accessed on 15 November 2016).
  48. Havlin, J.L.; Tisdale, S.L.; Nelson, W.L.; Beaton, J.D. Soil Fertility and Fertilizers: An Introduction to Nutrient Management, 8th ed.; Pearson: Upper Saddle River, NJ, USA, 2014. [Google Scholar]
  49. Payne, R.W.; Murray, D.A.; Harding, S.A.; Baird, D.B.; Souter, D.M. GenStat for Windows, 19th ed.; VSN International: Hemel Hempstead, UK, 2017. [Google Scholar]
Figure 1. Sampled farms in the Upper (UT) and Lower (LT) Tsitsikamma.
Figure 1. Sampled farms in the Upper (UT) and Lower (LT) Tsitsikamma.
Agriculture 12 00858 g001
Figure 2. Google Earth to locate farms (a), Veris P4000 (b), core sampler (c), and sampling points under center pivot (d).
Figure 2. Google Earth to locate farms (a), Veris P4000 (b), core sampler (c), and sampling points under center pivot (d).
Agriculture 12 00858 g002
Figure 3. Effects of different farm management (a,b) and soil depth (c,d) on total C contents (a,c) and stocks (b,d) under mixed pastures in the Tsitsikamma dairy farms. Error bars indicate standard error of means. Different letters per site indicate significant difference.
Figure 3. Effects of different farm management (a,b) and soil depth (c,d) on total C contents (a,c) and stocks (b,d) under mixed pastures in the Tsitsikamma dairy farms. Error bars indicate standard error of means. Different letters per site indicate significant difference.
Agriculture 12 00858 g003
Figure 4. Effects of different farm management (a,b) and soil depth (c,d) on total N contents (a,c) and stocks (b,d) under mixed pastures in the Tsitsikamma dairy farms. Error bars indicate standard error of means. Different letters per site indicate significant difference.
Figure 4. Effects of different farm management (a,b) and soil depth (c,d) on total N contents (a,c) and stocks (b,d) under mixed pastures in the Tsitsikamma dairy farms. Error bars indicate standard error of means. Different letters per site indicate significant difference.
Agriculture 12 00858 g004
Figure 5. Effects of different farm management (a) and soil depth (b) on C/N ratio under mixed pastures in the Tsitsikamma dairy farms. Error bars indicate standard error of means. Different letters per site indicate significant difference. C, carbon; N, nitrogen.
Figure 5. Effects of different farm management (a) and soil depth (b) on C/N ratio under mixed pastures in the Tsitsikamma dairy farms. Error bars indicate standard error of means. Different letters per site indicate significant difference. C, carbon; N, nitrogen.
Agriculture 12 00858 g005
Figure 6. Effects of different farm management (a,b) and soil depth (c,d) on active C contents (a,c) and stocks (b,d) under mixed pastures in the Tsitsikamma dairy farms. Error bars indicate standard error of means. Different letters per site indicate significant difference.
Figure 6. Effects of different farm management (a,b) and soil depth (c,d) on active C contents (a,c) and stocks (b,d) under mixed pastures in the Tsitsikamma dairy farms. Error bars indicate standard error of means. Different letters per site indicate significant difference.
Agriculture 12 00858 g006
Figure 7. Effects of different farm management (a,b) and soil depth (c,d) on PMN content (a,c) and stocks (b,d) under mixed pastures in the Tsitsikamma dairy farms. Error bars indicate standard error of means. Different letters per site indicate significant difference. PMN, potentially mineralizable nitrogen.
Figure 7. Effects of different farm management (a,b) and soil depth (c,d) on PMN content (a,c) and stocks (b,d) under mixed pastures in the Tsitsikamma dairy farms. Error bars indicate standard error of means. Different letters per site indicate significant difference. PMN, potentially mineralizable nitrogen.
Agriculture 12 00858 g007
Table 1. Soil management in the irrigated Upper (UT) and Lower (LT) Tsitsikamma dairy farms.
Table 1. Soil management in the irrigated Upper (UT) and Lower (LT) Tsitsikamma dairy farms.
RegionFarmMA (ha)PMHerbicideDENPKCa
(kg ha−1)
UT1202NoYesNo40115810
2137NoYesNo41402690
3154NoYesNo376192700
4293YesYesNo870952840
592NoYesYes3084700
LT1171YesNoYes34511600
2166YesYesYes2631450560
382NoNoNo23401270
4143NoNoNo23401270
542YesNoYes2974380500
MA, milking area; PM, poultry manure; DE, dairy effluent; N, nitrogen; P, phosphorus; K, potassium; Ca, calcium.
Table 2. Mean long-term monthly rainfall (mm) recorded at Cape St Francis, Klipdrift, and Witelsbos within the Tsitsikamma region [31].
Table 2. Mean long-term monthly rainfall (mm) recorded at Cape St Francis, Klipdrift, and Witelsbos within the Tsitsikamma region [31].
MonthCape St FrancisKlipdriftWitelsbos
94 Years33 Years68 Years
January315796
February315682
March486191
April527385
May7811098
June669075
July708782
August72109104
September6791115
October6288101
November5069100
December376096
Total6599511125
Table 3. Mean pH and nutrient status of soil to 30 cm depth in dairy farms in the Upper (UT) and Lower (LT) Tsitsikamma regions.
Table 3. Mean pH and nutrient status of soil to 30 cm depth in dairy farms in the Upper (UT) and Lower (LT) Tsitsikamma regions.
Chemical PropertiesUT RegionLT Region
1234512345
pH (KCl)4.74.75.05.24.85.85.25.04.95.8
Extractable P (mg kg−1)39202053223550204055
Exchangeable K (mg kg−1)11584128140120801154090120
Exchangeable Ca (mg kg−1)400360520590600650635440620700
Exchangeable Mg (mg kg−1)1001101801401701401308090152
Exchangeable Na (mg kg−1)60555042575167546581
P, phosphorus; K, potassium; Ca, calcium; Mg, magnesium; Na, sodium.
Table 4. Summary of the REML analyses on selected soil quality indicators under mixed pastures in the Upper (UT) and Lower (LT) Tsitsikamma dairy farms.
Table 4. Summary of the REML analyses on selected soil quality indicators under mixed pastures in the Upper (UT) and Lower (LT) Tsitsikamma dairy farms.
VariationBDTotal CTotal NC/N RatioActive CPMN Rate
Conc.StockConc.Stock Conc.StockConc.Stock
UT Region
Farmns****nsnsnsnsnsnsns
Depthns********ns**ns****
Farm × depth************ns nsnsns
LT Region
Farm
ns****nsns******nsns
Depthns************ns****
Farm x depth************nsnsnsns
BD, bulk density; C, carbon; N, nitrogen; PMN, potentially mineralizable nitrogen; Conc., concentration; ** indicate significant difference at p < 0.001; ns, not significant.
Table 5. Changes in bulk density as influenced by farm × depth interactions under mixed pastures in the Upper (UT) and Lower (LT) Tsitsikamma dairy farms.
Table 5. Changes in bulk density as influenced by farm × depth interactions under mixed pastures in the Upper (UT) and Lower (LT) Tsitsikamma dairy farms.
RegionDepth Farm0–15 cm15–30 cm30–45 cm45–60 cm
g cm−3
UT11.335 A,a1.495 A,a1.489 A,a1.525 A,a
21.295 B,a1.492 A,B,a1.566 A,a1.646 A,a
31.224 C,a1.365 B,C,a1.602 A,a1.539 A,B,a
41.221 B,a1.466 A,B,a1.486 A,a1.518 A,a
51.250 C,a1.427 B,C,a1.599 A,B,a1.677 A,a
LT11.219 A,a1.399 A,a1.389 A,a1.402 A,a
21.170 B,a,b1.397 A,a1.435 A,a1.469 A,a
31.358 A,a1.349 A,a1.470 A,a1.503 A,a
41.292 B,a1.484 A,B,a1.496 A,B,a1.596 A,a
50.983 B,b1.346 A,a1.412 A,a1.465 A,a
Different upper-case letters indicate significant differences (p < 0.001) among soil layers per farm, while different lower-case letters indicate significant differences (p < 0.001) between farms per layer per region.
Table 6. Response of soil C contents and stocks (mean ± standard error) to the interactive effects of farm and depth under mixed pastures in the Upper (UT) and Lower (LT) Tsitsikamma dairy farms.
Table 6. Response of soil C contents and stocks (mean ± standard error) to the interactive effects of farm and depth under mixed pastures in the Upper (UT) and Lower (LT) Tsitsikamma dairy farms.
RegionDepth Farm0–15 cm15–30 cm30–45 cm45–60 cm0–15 cm15–30 cm30–45 cm45–60 cm
Carbon Content (%)Carbon Stocks (Mg ha−1)
UT11.94 ± 0.057 A,a1.10 ± 0.057 B,a0.78 ± 0.056 B,a,b0.60 ± 0.056 B,a,b38.8 ± 1.16 A,a24.8 ± 1.15 B,a,b17.4 ± 1.14 C,b13.7 ± 1.13 C,b
21.94 ± 0.058 A,a0.95 ± 0.058 B,a0.49 ± 0.055 C,b0.36 ± 0.055 C,b38.2 ± 1.15 A,a21.5 ± 1.15 B,a,b11.5 ± 1.10 C,b8.88 ± 1.11 C,b
31.81 ± 0.065 A,a1.31 ± 0.064 B,a0.78 ± 0.071 C,a,b0.66 ± 0.074 C,a,b33.2 ± 1.27 A,a26.7 ± 1.26 A,B,a,b18.7 ± 1.37 B,C,a,b15.1 ± 1.43 C,a,b
41.94 ± 0.054 A,a0.85 ± 0.055 B,a0.67 ± 0.056 B,a,b0.58 ± 0.058 B,a,b35.6 ± 1.09 A,a,b18.9 ± 1.10 B,b15.2 ± 1.12 B,b13.4 ± 1.16 B,b
51.59 ± 0.066 A,a1.46 ± 0.066 A,B,a1.11 ± 0.066 B,C,a0.97 ± 0.067 C,a29.6 ± 1.30 A,b31.3 ± 1.46 A,a26.5 ± 1.30 A,a24.4 ± 1.31 A,a
LT11.97 ± 0.060 A,c1.10 ± 0.060 B,c,d0.98 ± 0.060 B,a,b0.92 ± 0.063 B,b35.8 ± 1.19 A,b,c23.1 ± 1.18 B,b20.2 ± 1.19 B,b,c,19.2 ± 1.23 B,b
23.17 ± 0.071 A,a1.72 ± 0.070 B,a,b1.49 ± 0.071 B,a1.47 ± 0.072 B,a55.6 ± 1.46 A,a36.0 ± 1.46 B,a31.9 ± 1.47 B,a32.1 ± 1.48 B,a
31.17 ± 0.103 A,d0.66 ± 0.114 A,B,d0.52 ± 0.113 B,b,c0.49 ± 0.113 B,b23.9 ± 2.06 A,c13.4 ± 2.25 A,B,c11.3 ± 2.23 B,c,d11.1 ± 2.23 B,b
40.99 ± 0.083 A,d0.56 ± 0.083 A,B,d0.35 ± 0.083 B,c0.42 ± 0.083 B,b19.2 ± 1.67 A,d12.4 ± 1.67 A,B,c8.01 ± 1.68 B,d9.98 ± 1.68 B,b
52.52 ± 0.070 A,b1.51 ± 0.071 B,b,c1.32 ± 0.072 B,a1.46 ± 0.072 B,a36.9 ± 1.46 A,b30.4 ± 1.47 A,B,a,b27.7 ± 1.49 B,a,b32.1 ± 1.49 A,B,a
Different upper-case letters indicate significant differences (p < 0.001) among soil layers per farm, while different lower-case letters indicate significant difference (p < 0.001) between farms per layer per region.
Table 7. Interactive effects of farm x depth on total N contents and stocks (mean ± standard error) under mixed pastures in the Upper (UT) and Lower (LT) Tsitsikamma dairy farms.
Table 7. Interactive effects of farm x depth on total N contents and stocks (mean ± standard error) under mixed pastures in the Upper (UT) and Lower (LT) Tsitsikamma dairy farms.
Region Depth Farm0–15 cm15–30 cm30–45 cm45–60 cm0–15 cm15–30 cm30–45 cm45–60 cm
%Mg ha−1
UT10.196 ± 0.015 A,b0.142 ± 0.016 A,a,b0.134 ± 0.016 A,a0.124 ± 0.016 A,a3.979 ± 0.161 A,b3.205 ± 0.161 A,B,a,b2.875 ± 0.162 A,B,a2.657 ± 0.162 B,a
20.185 ± 0.014 A,b0.131 ± 0.015 A,b,b0.095 ± 0.016 B,a0.090 ± 0.016 B,a3.611 ± 0.156 A,b2.846 ± 0.154 A,B,b2.199 ± 0.156 B,a2.187 ± 0.160 B,a
30.214 ± 0.013 A,b0.166 ± 0.014 A,B,a,b0.111 ± 0.016 B,a0.095 ± 0.016 B,a3.892 ± 0.168 A,b3.343 ± 0.171 A,B,a,b2.635 ± 0.181 B,a2.163 ± 0.187 B,a
40.243 ± 0.013 A,b0.127 ± 0.015 B,b0.100 ± 0.016 B,a0.094 ± 0.016 B,4.420 ± 0.154 A,b2.812 ± 0.155 B,b2.206 ± 0.157 B,a2.098 ± 0.158 B,a
50.353 ± 0.012 A,a0.228 ± 0.013 B,a0.091 ± 0.017 C,0.086 ± 0.017 C,a6.393 ± 0.329 A,a4.751 ± 0.325 A,a2.053 ± 0.282 B,a1.929 ± 0.282 B,a
LT10.167 ± 0.014 A,b0.114 ± 0.016 A,a0.112 ± 0.015 A,a0.107 ± 0.016 A,a3.039 ± 0.164 A,b2.413 ± 0.173 A,a2.331 ± 0.163 A,a2.263 ± 0.163 A,a
20.159 ± 0.022 A,b0.059 ± 0.029 A,a 0.095 ± 0.025 A,a0.065 ± 0.028 A,a2.743 ± 0.217 A,b1.196 ± 0.230 B,a2.076 ± 0.219 A,B,a1.448 ± 0.218A B,a
30.141 ± 0.027 A,b0.090 ± 0.031 A,a 0.094 ± 0.030 A,a0.077 ± 0.032 A,a3.002 ± 0.288 A,b1.661 ± 0.305 A,a2.033 ± 0.298 A,a1.669 ± 0.305 A,a
40.120 ± 0.023 A,b0.075 ± 0.027 A,a 0.090 ± 0.025 A,a0.070 ± 0.028 A,a2.320 ± 0.242 A,b1.595 ± 0.234 A,a1.912 ± 0.234 A,a 1.452 ± 0.242 A,a
50.351 ± 0.019 A,a0.101 ± 0.024 B,a 0.080 ± 0.027 B,a0.101 ± 0.024 B,a4.811 ± 0.279 A,a2.164 ± 0.327 B,a1.600 ± 0.401 B,a2.373 ± 0.408 B,a
Different upper-case letters indicate significant difference (p < 0.001) among soil layers per farm, while different lower-case letters indicate significant difference (p < 0.001) between farms per layer per region.
Table 8. Influence of farm x depth interactions on C/N ratio (mean ± standard error) under mixed pastures in the Upper (UT) and Lower (LT) Tsitsikamma dairy farms.
Table 8. Influence of farm x depth interactions on C/N ratio (mean ± standard error) under mixed pastures in the Upper (UT) and Lower (LT) Tsitsikamma dairy farms.
RegionDepth Farm0–15 cm15–30 cm30–45 cm45–60 cm
UT19.80 ± 0.78 A,a,b7.82 ± 0.77 A,b,a6.06 ± 0.75 A,B,b5.09 ± 0.75 B,b
210.76 ± 0.80 A,a7.94 ± 0.78 A,B,a5.25 ± 0.75 A,B,b4.09 ± 0.76 B,b
38.55 ± 0.92 A,a,b8.13 ± 0.92 A,a7.29 ± 1.02 A,b7.15 ± 1.07 A,b
48.08 ± 0.74 A,a,b6.68 ± 0.74 A,a6.76 ± 0.77 A,b6.26 ± 0.81 A,b
54.50 ± 0.94 B,b6.18 ± 0.94 B,a14.77 ± 0.94 A,a13.72 ± 0.96 A,a
LT111.80 ± 0.84 A,b9.47 ± 0.89 A,b8.73 ± 0.84 A,a8.52 ± 0.88 A,b
220.36 ± 0.91 B,a29.48 ± 0.91 A,a15.52 ± 0.93 C,a22.73 ± 0.94 B,a
37.95 ± 1.40 A,b7.94 ± 1.58 A,b5.58 ± 1.57 A,b6.63 ± 1.56 A,b
48.80 ± 1.12 A,b8.80 ± 1.11 A,b4.04 ± 1.12 A,b7.94 ± 1.13 A,b
57.89 ± 0.91 C,b14.26 ± 0.92 B,b19.76 ± 0.95 A,a11.94 ± 1.17 B,C,b
Different upper-case letters indicate significant difference (p < 0.001) among layers per farm, while different lower-case letters indicate significant difference (p < 0.001) between farms per layer per region.
Publisher’s Note: MDPI stays neutral with regard to jurisdictional claims in published maps and institutional affiliations.

Share and Cite

MDPI and ACS Style

Loke, P.F.; Kotzé, E.; Du Preez, C.C. Soil Organic Matter Storage in Irrigated Tsitsikamma Dairy Farms with Minimum Tilled Pasture Mixtures: Case Studies. Agriculture 2022, 12, 858. https://doi.org/10.3390/agriculture12060858

AMA Style

Loke PF, Kotzé E, Du Preez CC. Soil Organic Matter Storage in Irrigated Tsitsikamma Dairy Farms with Minimum Tilled Pasture Mixtures: Case Studies. Agriculture. 2022; 12(6):858. https://doi.org/10.3390/agriculture12060858

Chicago/Turabian Style

Loke, Palo Francis, Elmarie Kotzé, and Christiaan Cornelius Du Preez. 2022. "Soil Organic Matter Storage in Irrigated Tsitsikamma Dairy Farms with Minimum Tilled Pasture Mixtures: Case Studies" Agriculture 12, no. 6: 858. https://doi.org/10.3390/agriculture12060858

APA Style

Loke, P. F., Kotzé, E., & Du Preez, C. C. (2022). Soil Organic Matter Storage in Irrigated Tsitsikamma Dairy Farms with Minimum Tilled Pasture Mixtures: Case Studies. Agriculture, 12(6), 858. https://doi.org/10.3390/agriculture12060858

Note that from the first issue of 2016, this journal uses article numbers instead of page numbers. See further details here.

Article Metrics

Back to TopTop