Seedling Establishment and Yield Performance of Dry Direct-Seeded Rice after Wheat Straw Returning Coupled with Early Nitrogen Application
Abstract
:1. Introduction
2. Materials and Methods
2.1. Experimental Site and Weather Conditions
2.2. Experimental Design and Treatment Modes
2.3. Crop Cultivation
2.4. Sampling and Measurements
2.4.1. Seedling Characteristics
2.4.2. Root Morphological Characteristics
2.4.3. Dynamic Tillering Model
2.4.4. Oxidation–Reduction Potential
2.4.5. Biomass
2.4.6. Yield and Yield Components
2.5. Statistical Analysis and Formula Calculation
3. Results
3.1. Yield and Yield Components
3.2. Biomass Accumulation
3.3. Tillering Dynamics
3.4. Seedling Characteristics
3.5. Root Morphological Characteristics
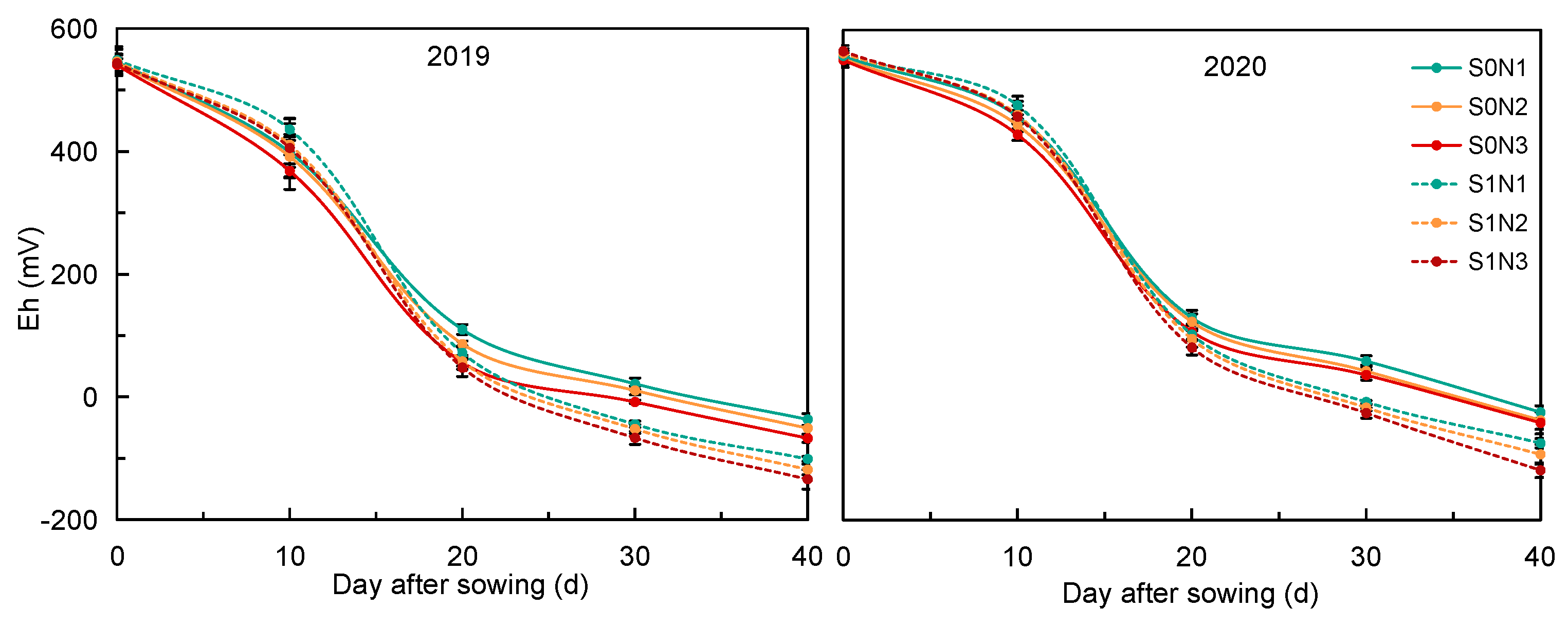
3.6. Oxidation–Reduction Potential
4. Discussion
5. Conclusions
Author Contributions
Funding
Institutional Review Board Statement
Informed Consent Statement
Data Availability Statement
Acknowledgments
Conflicts of Interest
References
- Pandey, S.; Velasco, L. Economics of direct seeding in Asia: Patterns of adoption and research priorities. In Direct Seeding: Research Strategies and Opportunities, Proceedings of the International Workshop on Direct Seeding in Asian Rice Systems: Strategic Research Issues and Opportunities, Bangkok, Thailand, 25–28 January 2000; Pandey, S., Mortimer, M., Wade, L., Tuong, T.P., Lopez, K., Hardy, B.E., Eds.; International Rice Research Institute: Los Baños, Philippines, 2002; Volume 11, pp. 3–14. [Google Scholar]
- Kumar, V.; Ladha, J.K. Direct Seeding of Rice: Recent Developments and Future Research Needs. Adv. Agron. 2011, 111, 297–413. [Google Scholar]
- Rao, A.N.; Johnson, D.E.; Sivaprasad, B.; Ladha, J.K.; Mortimer, A.M. Weed Management in Direct-Seeded Rice. Adv. Agron. 2007, 93, 153–255. [Google Scholar]
- Farooq, M.; Wahid, A.; Lee, D.J.; Ito, O.; Siddique, K. Advances in Drought Resistance of Rice. Crit. Rev. Plant Sci. 2009, 28, 199–217. [Google Scholar] [CrossRef]
- Shi, M.; Krishna, P.P.; Chen, F.B. Mechanization and Efficiency in Rice Production in China. J. Integr. Agric. 2020, 19, 2–15. [Google Scholar] [CrossRef]
- Wang, W.Q.; Peng, S.B.; Liu, H.Y.; Tao, Y.; Huang, J.L.; Cui, K.H.; Nie, L.X. The possibility of replacing puddled transplanted flooded rice with dry seeded rice in central China: A review. Field Crops Res. 2017, 214, 310–320. [Google Scholar] [CrossRef]
- Ohno, H.; Banayo, N.P.M.C.; Bueno, C.; Kashiwagi, J.-I.; Nakashima, T.; Iwama, K.; Corales, A.M.; Garcia, R.; Kato, Y. On-farm assessment of a new early-maturing drought-tolerant rice cultivar for dry direct seeding in rainfed lowlands. Field Crops Res. 2018, 219, 222–228. [Google Scholar] [CrossRef]
- Farooq, M.; Siddique, K.H.M.; Rehman, H.; Aziz, T.; Lee, D.J.; Wahid, A. Rice direct seeding: Experiences, challenges and opportunities. Soil Tillage Res. 2011, 111, 87–98. [Google Scholar] [CrossRef]
- Zhang, Y.P.; Du, R.D.; Xi, P.S.; Yang, S.D.; Wang, Z.W. Design and experiment of wide band seeding rice seeder with reversed stubble cleaning and anti-blocking. Trans. Chin. Soc. Agric. Eng. 2017, 33, 7–13. [Google Scholar] [CrossRef]
- Qin, K.; Ding, W.M.; Fang, Z.C.; Du, T.T.; Zhao, S.Q.; Wang, L. Design and Experiment of Seeding System for Harvest Ditch and Stalk-disposing Machine. Trans. Chin. Soc. Agric. Mach. 2017, 48, 54–62. [Google Scholar] [CrossRef]
- Matloob, A.; Khaliq, A.; Chauhan, B.S. Weeds of Direct-Seeded Rice in Asia: Problems and Opportunities. Adv. Agron. 2015, 130, 291–336. [Google Scholar]
- Chauhan, B.S. Strategies to manage weedy rice in Asia. Crop Prot. 2013, 48, 51–56. [Google Scholar] [CrossRef]
- Prasad, R. Rice–Wheat Cropping Systems. Adv. Agron. 2005, 86, 255–339. [Google Scholar]
- Ladha, J.K.; Pathak, H.S.; Tirol-Padre, A.; Dawe, D.; Gupta, R.K. Productivity trends in intensive rice–wheat cropping systems in Asia. In Improving the Productivity and Sustainability of Rice-Wheat Systems: Issues and Impacts; Ladha, J.K., Hill, J.E., Duxbury, J.M., Gupta, R.K., Buresh, R.J., Eds.; American Society of Agronomy: Madison, WI, USA, 2003; Volume 65, pp. 45–76. [Google Scholar]
- Bijay, S.; Shan, Y.H.; Johnson-Beebout, S.E.; Yadvinder, S.; Buresh, R.J. Crop Residue Management for Lowland Rice-Based Cropping Systems in Asia. Adv. Agron. 2008, 98, 117–199. [Google Scholar]
- Yu, K.; Qiu, L.; Wang, J.J.; Sun, L.; Wang, Z.M. Winter wheat straw return monitoring by UAVs observations at different resolutions. Int. J. Remote Sens. 2017, 38, 2260–2272. [Google Scholar] [CrossRef]
- Li, H.; Dai, M.W.; Dai, S.L.; Dong, X.J. Current status and environment impact of direct straw return in China’s cropland—A review. Ecotoxicol. Environ. Saf. 2018, 159, 293–300. [Google Scholar] [CrossRef] [PubMed]
- Chen, J.M.; Li, C.L.; Ristovski, Z.; Milic, A.; Gu, Y.T.; Islam, M.S.; Wang, S.X.; Hao, J.M.; Zhang, H.F.; He, C.R.; et al. A review of biomass burning: Emissions and impacts on air quality, health and climate in China. Sci. Total Environ. 2017, 579, 1000–1034. [Google Scholar] [CrossRef] [Green Version]
- Grover, D.; Chaudhry, S. Ambient air quality changes after stubble burning in rice-wheat system in an agricultural state of India. Environ. Sci. Pollut. Res. 2019, 26, 20550–20559. [Google Scholar] [CrossRef]
- Qu, C.S.; Li, B.; Wu, H.; Giesy, J.P. Controlling Air Pollution from Straw Burning in China Calls for Efficient Recycling. Environ. Sci. Technol. 2012, 46, 7934–7936. [Google Scholar] [CrossRef]
- Gao, S.; Tanji, K.; Scardaci, S. Impact of Rice Straw Incorporation on Soil Redox Status and Sulfide Toxicity. Agron. J. 2004, 96, 70–76. [Google Scholar] [CrossRef]
- Yu, J.G.; Gu, Y.; Chang, Z.Z.; Li, R.P. Allelopathic effects of wheat straw extract and decomposition liquid on rice. Acta Pedol. Sin. 2013, 50, 349–356. [Google Scholar] [CrossRef]
- Xu, X.; Pang, D.W.; Chen, J.; Luo, Y.L.; Zheng, M.J.; Yin, Y.P.; Li, Y.X.; Li, Y.; Wang, Z.L. Straw return accompany with low nitrogen moderately promoted deep root. Field Crops Res. 2018, 221, 71–80. [Google Scholar] [CrossRef]
- Wang, N.H.; Wang, X.C.; Zhao, C.K.; Li, J.; Qin, J.; Long, Z.L. Effects of oilseed rape straw incorporation on root, tiller and grain yield of rice. Chin. J. Appl. Ecol. 2019, 30, 1243–1252. [Google Scholar] [CrossRef]
- Yang, J.H.; Luo, Y.L.; Chen, J.; Jin, M.; Wang, Z.L.; Li, Y.F. Effects of Main Food Yield Under Straw Return in China: A Meta-Analysis. Sci. Agric. Sin. 2020, 53, 4415–4429. [Google Scholar] [CrossRef]
- Zhang, J.; Hang, X.N.; Lamine, S.M.; Jiang, Y.; Afreh, D.; Qian, H.Y.; Feng, X.M.; Zheng, C.Y.; Deng, A.X.; Song, Z.W.; et al. Interactive effects of straw incorporation and tillage on crop yield and greenhouse gas emissions in double rice cropping system. Agric. Ecosyst. Environ. 2017, 250, 37–43. [Google Scholar] [CrossRef]
- Sharma, S.; Singh, P.; Choudhary, O.P.; Neemisha. Nitrogen and rice straw incorporation impact nitrogen use efficiency, soil nitrogen pools and enzyme activity in rice-wheat system in north-western India. Field Crops Res. 2021, 266, 108–131. [Google Scholar] [CrossRef]
- Huang, S.; Zeng, Y.J.; Wu, J.F.; Shi, Q.H.; Pan, X.H. Effect of crop residue retention on rice yield in China: A meta-analysis. Field Crops Res. 2013, 154, 188–194. [Google Scholar] [CrossRef]
- Jiang, D.; Zhuang, D.F.; Fu, J.Y.; Huang, Y.H.; Wen, K.G. Bioenergy potential from crop residues in China: Availability and distribution. Renew. Sustain. Energy Rev. 2012, 16, 1377–1382. [Google Scholar] [CrossRef]
- Zhang, J.W.; Li, W.W.; Zhou, Y.; Ding, Y.F.; Xu, L.; Jiang, Y.; Li, G.H. Long-term straw incorporation increases rice yield stability under high fertilization level conditions in the rice–wheat system. Crop J. 2021, 9, 1191–1197. [Google Scholar] [CrossRef]
- Wang, Z.Q.; Gu, D.J.; Beebout, S.S.; Zhang, H.; Liu, L.J.; Yang, J.C.; Zhang, J.H. Effect of irrigation regime on grain yield, water productivity, and methane emissions in dry direct-seeded rice grown in raised beds with wheat straw incorporation. Crop J. 2018, 6, 495–508. [Google Scholar] [CrossRef]
- Xu, G.W.; Tan, G.L.; Wang, Z.Q.; Liu, L.J.; Yang, J.C. Effects of Wheat-Residue Application and Site-Specific Nitrogen Management on Grain Yield and Quality and Nitrogen Use Efficiency in Direct-Seeding Rice. Sci. Agric. Sin. 2009, 42, 2736–2746. [Google Scholar] [CrossRef]
- Khaliq, A.; Matloob, A.; Hussain, A.; Hussain, S.; Aslam, F.; Zamir, S.I.; Chattha, M.U. Wheat Residue Management Options Affect Crop Productivity, Weed Growth, and Soil Properties in Direct-Seeded Fine Aromatic Rice. Clean-Soil Air Water 2015, 43, 1259–1265. [Google Scholar] [CrossRef]
- Peng, Z.Y.; Ding, F.; Shen, J.; Xiang, K.H.; Ma, P.; Guo, C.C.; Ma, J. Effects of straw mulching and nitrogen management on photosynthetic characteristics and yield of direct seeding rice under wheat rape rice rotation. J. Hunan Agric. Univ. (Nat. Sci.) 2020, 46, 253–261. [Google Scholar] [CrossRef]
- Chen, Y.Y.; Fan, P.S.; Li, L.; Tian, H.; Ashraf, U.; Mo, Z.W.; Duan, M.Y.; Wu, Q.T.; Zhang, Z.; Tang, X.R.; et al. Straw Incorporation Coupled with Deep Placement of Nitrogen Fertilizer Improved Grain Yield and Nitrogen Use Efficiency in Direct-Seeded Rice. J. Soil Sci. Plant Nutr. 2020, 20, 2338–2347. [Google Scholar] [CrossRef]
- Yang, H.S.; Feng, J.X.; Weih, M.; Meng, Y.; Li, Y.F.; Zhai, S.L.; Zhang, W.Y. Yield reduction of direct-seeded rice under returned straw can be mitigated by appropriate water management improving soil phosphorus availability. Crop Pasture Sci. 2020, 71, 134–146. [Google Scholar] [CrossRef]
- Zhang, Z.C.; Li, H.W.; Wang, X.M.; Yuan, L.M.; Wang, Z.Q.; Liu, L.J.; Yang, J.C. Effect of Non-flooded Straw-mulching Cultivation on Grain Yield and Quality of Direct-seeding Rice. Acta Agron. Sin. 2011, 37, 1809–1818. [Google Scholar] [CrossRef]
- Polthanee, A.; Tre-loges, V.; Promsena, K. Effect of rice straw management and organic fertilizer application on growth and yield of dry direct-seeded rice. Paddy Water Environ. 2008, 6, 237–241. [Google Scholar] [CrossRef]
- Vitousek, P.M.; Naylor, R.; Crews, T.; David, M.B.; Drinkwater, L.E.; Holland, E.; Johnes, P.J.; Katzenberger, J.; Martinelli, L.A.; Matson, P.A.; et al. Nutrient Imbalances in Agricultural Development. Science 2009, 324, 1519–1520. [Google Scholar] [CrossRef]
- Bailey-Serres, J.; Parker, J.E.; Ainsworth, E.A.; Oldroyd, G.E.D.; Schroeder, J.I. Genetic strategies for improving crop yields. Nature 2019, 575, 109–118. [Google Scholar] [CrossRef] [Green Version]
- Xu, J.Z.; Liao, L.X.; Tan, J.X.; Shao, X.X. Ammonia volatilization in gemmiparous and early seedling stages from direct seeding rice fields with different nitrogen management strategies: A pots experiment. Soil Tillage Res. 2013, 126, 169–176. [Google Scholar] [CrossRef]
- Zhang, Y.F.; Liu, H.J.; Guo, Z.; Zhang, C.S.; Sheng, J.; Chen, L.G.; Luo, Y.Q.; Zheng, J.C. Direct-seeded rice increases nitrogen runoff losses in southeastern China. Agric. Ecosyst. Environ. 2018, 251, 149–157. [Google Scholar] [CrossRef]
- Li, J.F.; Zhong, F.F. Nitrogen release and re-adsorption dynamics on crop straw residue during straw decomposition in an Alfisol. J. Integr. Agric. 2021, 20, 248–259. [Google Scholar] [CrossRef]
- Olk, D.C.; Samson, M.I.; Gapas, P. Inhibition of nitrogen mineralization in young humic fractions by anaerobic decomposition of rice crop residues. Eur. J. Soil Sci. 2007, 58, 270–281. [Google Scholar] [CrossRef]
- Cucu, M.A.; Said-Pullicino, D.; Maurino, V.; Bonifacio, E.; Romani, M.; Celi, L. Influence of redox conditions and rice straw incorporation on nitrogen availability in fertilized paddy soils. Biol. Fertil. Soils 2014, 50, 755–764. [Google Scholar] [CrossRef]
- Wang, D.Y.; Xu, C.M.; Ye, C.; Chen, S.; Chu, G.; Zhang, X.F. Low recovery efficiency of basal fertilizer-N in plants does not indicate high basal fertilizer-N loss from split-applied N in transplanted rice. Field Crops Res. 2018, 229, 8–16. [Google Scholar] [CrossRef]
- Caton, B.P.; Cope, A.E.; Mortimer, M. Growth traits of diverse rice cultivars under severe competition: Implications for screening for competitiveness. Field Crops Res. 2003, 83, 157–172. [Google Scholar] [CrossRef]
- Liu, C.; Lu, M.; Cui, J.; Li, B.; Fang, C.M. Effects of straw carbon input on carbon dynamics in agricultural soils: A meta-analysis. Global Chang. Biol. 2014, 20, 1366–1381. [Google Scholar] [CrossRef]
- Du, K.; Xie, Y.Q.; Lin, Z.M.; Liu, Z.H.; Wang, S.H.; Ding, Y.F. Effect of nitrogen on rice seedling growth and nutrient uptake under wheat straw returning. J. Nanjing Agric. Univ. 2016, 39, 18–25. [Google Scholar] [CrossRef]
- Witt, C.; Cassman, K.; Olk, D.C.; Biker, U.; Liboon, S.P.; Samson, M.I.; Ottow, J.C.G. Crop rotation and residue management effects on carbon sequestration, nitrogen cycling and productivity of irrigated rice systems. Plant Soil 2012, 225, 263–278. [Google Scholar] [CrossRef]
- Han, W.; He, M. The application of exogenous cellulase to improve soil fertility and plant growth due to acceleration of straw decomposition. Bioresour. Technol. 2010, 101, 3724–3731. [Google Scholar] [CrossRef]
- Azam, F.; Lodhi, A.; Ashraf, M. Availability of soil and fertilizer nitrogen to wetland rice following wheat straw amendment. Biol. Fertil. Soils 1991, 11, 97–100. [Google Scholar] [CrossRef]
- Tanaka, F.; Ono, S.-i.; Hayasaka, T. Identification and evaluation of toxicity of rice root elongation inhibitors in flooded soils with added wheat straw. Soil Sci. Plant Nutr. 1990, 36, 97–103. [Google Scholar] [CrossRef]
- Fageria, N.K.; Santos, A.B.; Filho, M.P.B.; Guimarães, C.M. Iron Toxicity in Lowland Rice. J. Plant Nutr. 2008, 31, 1676–1697. [Google Scholar] [CrossRef]
- Haque, E.; Sarkar, S.; Hassan, M.; Hossain, M.S.; Minett, A.I.; Dou, S.X.; Gomes, V.G. Tuning graphene for energy and environmental applications: Oxygen reduction reaction and greenhouse gas mitigation. J. Power Sources 2016, 328, 472–481. [Google Scholar] [CrossRef]
- Wang, D.J.; Chang, Z.Z.; Wang, C.; Zhang, G.; Zhang, S.M. Regulation and effect of 100% straw return on crop yield and environment. Chin. J. Eco-Agric. 2015, 23, 1073–1082. [Google Scholar] [CrossRef]
- Wang, P.; Zhao, X.Q. Effect of Allelochemicals on cotton seed germination and seedling growth. J. China Agric. Univ. 2001, 6, 26–31. [Google Scholar] [CrossRef]
- Wu, H.W.; An, M.; Liu, D.L.; Pratley, J.; Lemerle, D. Recent Advances in Wheat Allelopathy. In Allelopathy in Sustainable Agriculture and Forestry; Zeng, R.S., Mallik, A.U., Luo, S.M., Eds.; Springer: New York, NY, USA, 2008; pp. 235–254. [Google Scholar] [CrossRef]
- Xiong, R.H.; Hang, Y.H.; Wang, Q.S.; Xu, G.C.; Liu, X.; Wu, H. Wheat straw returned combined with nitrogen as base fertilizers and topdressing at tiller stage improving the tiller emergency, earbearing traits and yield for machine-transplanted super japonica rice. Trans. Chin. Soc. Agric. Eng. 2015, 31, 136–146. [Google Scholar] [CrossRef]
- Su, Z.F.; Wu, J.L.; Li, G.S.; Zhang, Y.J. Effects of Seedling quality on productive tiller percentage and yield components of Rice (Oryza sativa L.). Tillage Cultiv. 1995, 3, 10–14. [Google Scholar] [CrossRef]
- Ling, Q.H.; Zhang, H.C.; Cai, J.Z.; Su, Z.F.; Ling, L. Investigation on the population quality of high yield and its optimizing control programme in rice. Sci. Agric. Sin. 1993, 26, 1–11. [Google Scholar]
- Peng, S.; Cassman, K.G.; Virmani, S.S.; Sheehy, J.; Khush, G.S. Yield Potential Trends of Tropical Rice since the Release of IR8 and the Challenge of Increasing Rice Yield Potential. Crop Sci. 1999, 39, 1552–1559. [Google Scholar] [CrossRef] [Green Version]
- Li, G.H.; Xue, L.H.; Gu, W.; Yang, C.D.; Wang, S.H.; Ling, Q.H.; Qin, X.; Ding, Y.F. Comparison of yield components and plant type characteristics of high-yield rice between Taoyuan, a ‘special eco-site’ and Nanjing, China. Field Crops Res. 2009, 112, 214–221. [Google Scholar] [CrossRef]
- Xu, Y.Z.; Nie, L.X.; Buresh, R.J.; Huang, J.L.; Cui, K.H.; Xu, B.; Gong, W.H.; Peng, S.B. Agronomic performance of late-season rice under different tillage, straw, and nitrogen management. Field Crops Res. 2010, 115, 79–84. [Google Scholar] [CrossRef]
- Zhang, P.; Chen, X.L.; Wei, T.; Yang, Z.; Jia, Z.K.; Yang, B.P.; Han, Q.F.; Ren, X.L. Effects of straw incorporation on the soil nutrient contents, enzyme activities, and crop yield in a semiarid region of China. Soil Tillage Res. 2016, 160, 65–72. [Google Scholar] [CrossRef]
- Wang, X.H.; Yang, H.S.; Liu, J.; Wu, J.S.; Chen, W.P.; Wu, J.; Zhu, L.Q.; Bian, X.M. Effects of ditch-buried straw return on soil organic carbon and rice yields in a rice–wheat rotation system. Catena 2015, 127, 56–63. [Google Scholar] [CrossRef]
- Xu, G.; Fan, X.; Miller, A.J. Plant nitrogen assimilation and use efficiency. Annu. Rev. Plant Biol. 2012, 63, 153–182. [Google Scholar] [CrossRef] [Green Version]
- Ötvös, K.; Marconi, M.; Vega, A.; O’Brien, J.; Johnson, A.; Abualia, R.; Antonielli, L.; Montesinos, J.C.; Zhang, Y.Z.; Tan, S.T.; et al. Modulation of plant root growth by nitrogen source-defined regulation of polar auxin transport. EMBO J. 2021, 40, e106862. [Google Scholar] [CrossRef]
- Gu, J.F.; Li, Z.K.; Mao, Y.Q.; Struik, P.C.; Zhang, H.; Liu, L.J.; Wang, Z.Q.; Yang, J.C. Roles of nitrogen and cytokinin signals in root and shoot communications in maximizing of plant productivity and their agronomic applications. Plant Sci. 2018, 274, 320–331. [Google Scholar] [CrossRef]
- Gruber, B.D.; Giehl, R.F.H.; Friedel, S.; Wirén, N.V. Plasticity of the Arabidopsis Root System under Nutrient Deficiencies. Plant Physiol. 2013, 163, 161–179. [Google Scholar] [CrossRef] [Green Version]
- Zhao, J.; Ni, T.; Xun, W.B.; Huang, X.L.; Huang, Q.W.; Ran, W.; Shen, B.; Zhang, R.F.; Shen, Q.R. Influence of straw incorporation with and without straw decomposer on soil bacterial community structure and function in a rice-wheat cropping system. Appl. Microbiol. Biotechnol. 2017, 101, 4761–4773. [Google Scholar] [CrossRef]
- Hayashi, K.; Nishimura, S.; Yagi, K. Ammonia volatilization from a paddy field following applications of urea: Rice plants are both an absorber and an emitter for atmospheric ammonia. Sci. Total Environ. 2008, 390, 485–494. [Google Scholar] [CrossRef]
- Shan, Y.H.; Cai, Z.C.; Han, Y.; Sarah, E.J.; Roland, J.B. Accumulation of organic acids in relation to C:N ratios of straws and N application in flooded soil. Acta Pedol. Sin. 2006, 43, 941–947. [Google Scholar] [CrossRef]
- Bird, J.A.; Horwath, W.R.; Eagle, A.J.; Kessel, C.V. Immobilization of Fertilizer Nitrogen in Rice. Soil Sci. Soc. Am. J. 2001, 65, 618–624. [Google Scholar] [CrossRef]
- Söderberg, K.H.; Bååth, E. The influence of nitrogen fertilisation on bacterial activity in the rhizosphere of barley. Soil Biol. Biochem. 2004, 36, 195–198. [Google Scholar] [CrossRef]
- Chen, X.P.; Zhu, Y.G.; Xia, Y.; Shen, J.P.; He, J.Z. Ammonia-oxidizing archaea: Important players in paddy rhizosphere soil? Environ. Microbiol. 2008, 10, 1978–1987. [Google Scholar] [CrossRef] [PubMed]
- Minamikawa, K.; Sakai, N. The practical use of water management based on soil redox potential for decreasing methane emission from a paddy field in Japan. Agric. Ecosyst. Environ. 2006, 116, 181–188. [Google Scholar] [CrossRef]






| Treatment | 0 DAS 1 (kg ha−1) | 20 DAS (kg ha−1) | 50 DAS (kg ha−1) | 70 DAS (kg ha−1) | |
|---|---|---|---|---|---|
| Without wheat straw returning | N1 | 65 | 65 | 40 | 40 |
| N2 | 95 | 95 | 40 | 40 | |
| N3 | 125 | 125 | 40 | 40 | |
| Wheat straw returning | N1 | 65 | 65 | 40 | 40 |
| N2 | 95 | 95 | 40 | 40 | |
| N3 | 125 | 125 | 40 | 40 | |
| Yield (t ha−1) | N Uptake (kg ha−1) | Panicles (m−2) | Spikelets (Panicle−1) | Total Spikelets (m−2) | Filled Grain (%) | Grain Weight (mg) | |
|---|---|---|---|---|---|---|---|
| Year (Y) 1 | |||||||
| 2019 | 10.0 | 181 | 403 | 103 | 41392 | 94.7 | 26.6 |
| 2020 | 9.86 ** | 180 | 391 ** | 104 | 40655 * | 95.9 * | 26.5 |
| Wheat straw (S) 2 | |||||||
| S0 | 10.2 | 186 | 407 | 102 | 41383 | 95.2 | 26.5 |
| S1 | 9.79 *** | 175 *** | 388 *** | 105 *** | 40664 * | 95.4 | 26.7 |
| Nitrogen (N) 3 | |||||||
| N1 | 9.60 | 165 | 385 | 102 | 39232 | 95.7 | 26.5 |
| N2 | 10.1 | 181 | 400 | 104 | 41553 | 95.3 | 26.6 |
| N3 | 10.3 *** | 196 *** | 406 *** | 104 ** | 42286 *** | 95.0 | 26.7 |
| F-values 4 | |||||||
| S × N | 11.1 *** | 3.96 * | 5.42 * | 7.95 ** | 15.5 *** | NS | NS |
| S × Y | NS | NS | NS | NS | NS | NS | NS |
| N × Y | NS | NS | NS | NS | NS | NS | NS |
| Biomass (MA) (t ha−1) | Biomass (SO-SE) (t ha−1) | Biomass (SE-HD) (t ha−1) | Biomass (HD-MA) (t ha−1) | |
|---|---|---|---|---|
| Year (Y) 1 | ||||
| 2019 | 17.3 | 4.12 | 6.77 | 6.45 |
| 2020 | 16.7 *** | 3.97 ** | 6.86 | 5.92 *** |
| Wheat straw (S) 2 | ||||
| S0 | 17.4 | 4.21 | 6.87 | 6.35 |
| S1 | 16.7 *** | 3.87 *** | 6.75 | 6.03 ** |
| Nitrogen (N) 3 | ||||
| N1 | 16.3 | 3.57 | 6.73 | 5.99 |
| N2 | 17.2 | 4.01 | 6.94 | 6.16 |
| N3 | 17.7 *** | 4.47 *** | 6.77 | 6.41 ** |
| F-values 4 | ||||
| S × N | 11.0 *** | NS | 7.06 ** | 3.91 * |
| S × Y | NS | NS | NS | NS |
| N × Y | NS | NS | NS | NS |
| Height (cm) | Weight (mg) | Leaf Area (cm2) | Base Diameter (mm) | N Uptake (mg) | |
|---|---|---|---|---|---|
| Year (Y) 1 | |||||
| 2019 | 22.8 | 87.8 | 7.77 | 5.01 | 2.75 |
| 2020 | 21.4 ***4 | 81.8 *** | 6.49 *** | 4.23 *** | 2.53 *** |
| Wheat straw (S) 2 | |||||
| S0 | 22.6 | 87.4 | 7.35 | 4.79 | 2.74 |
| S1 | 21.6 *** | 82.3 ** | 6.90 *** | 4.45 ** | 2.54 *** |
| Nitrogen (N) 3 | |||||
| N1 | 20.5 | 80.6 | 6.51 | 4.13 | 2.43 |
| N2 | 22.0 | 84.8 | 7.07 | 4.61 | 2.65 |
| N3 | 23.8 *** | 89.0 *** | 7.80 *** | 5.12 *** | 2.84 *** |
| Root Weight (mg) | Root Length (cm) | Average Diameter (mm) | Root Surface Area (mm2) | Root Volume (mm3) | |
|---|---|---|---|---|---|
| Year (Y) 1 | |||||
| 2019 | 10.4 | 90.6 | 0.40 | 1109 | 100 |
| 2020 | 9.90 *** | 87.4 ** | 0.40 | 1080 * | 96.0 ** |
| Wheat straw (S) 2 | |||||
| S0 | 10.5 | 91.9 | 0.41 | 1124 | 100 |
| S1 | 9.82 * | 86.0 *** | 0.39 * | 1065 *** | 95.0 ** |
| Nitrogen (N) 3 | |||||
| N1 | 9.46 | 80.1 | 0.37 | 1042 | 92.0 |
| N2 | 10.2 | 88.8 | 0.40 | 1095 | 98.0 |
| N3 | 10.8 *** | 98.1 *** | 0.43 *** | 1146 *** | 104 *** |
Publisher’s Note: MDPI stays neutral with regard to jurisdictional claims in published maps and institutional affiliations. |
© 2022 by the authors. Licensee MDPI, Basel, Switzerland. This article is an open access article distributed under the terms and conditions of the Creative Commons Attribution (CC BY) license (https://creativecommons.org/licenses/by/4.0/).
Share and Cite
Tian, J.; Li, S.; Xing, Z.; Cheng, S.; Liu, Q.; Zhou, L.; Liao, P.; Hu, Y.; Guo, B.; Wei, H.; et al. Seedling Establishment and Yield Performance of Dry Direct-Seeded Rice after Wheat Straw Returning Coupled with Early Nitrogen Application. Agriculture 2022, 12, 565. https://doi.org/10.3390/agriculture12040565
Tian J, Li S, Xing Z, Cheng S, Liu Q, Zhou L, Liao P, Hu Y, Guo B, Wei H, et al. Seedling Establishment and Yield Performance of Dry Direct-Seeded Rice after Wheat Straw Returning Coupled with Early Nitrogen Application. Agriculture. 2022; 12(4):565. https://doi.org/10.3390/agriculture12040565
Chicago/Turabian StyleTian, Jinyu, Shaoping Li, Zhipeng Xing, Shuang Cheng, Qiuyuan Liu, Lei Zhou, Ping Liao, Yajie Hu, Baowei Guo, Haiyan Wei, and et al. 2022. "Seedling Establishment and Yield Performance of Dry Direct-Seeded Rice after Wheat Straw Returning Coupled with Early Nitrogen Application" Agriculture 12, no. 4: 565. https://doi.org/10.3390/agriculture12040565
APA StyleTian, J., Li, S., Xing, Z., Cheng, S., Liu, Q., Zhou, L., Liao, P., Hu, Y., Guo, B., Wei, H., & Zhang, H. (2022). Seedling Establishment and Yield Performance of Dry Direct-Seeded Rice after Wheat Straw Returning Coupled with Early Nitrogen Application. Agriculture, 12(4), 565. https://doi.org/10.3390/agriculture12040565

