No-Tillage Does Not Always Stop the Soil Degradation in Relation to Aggregation and Soil Carbon Storage in Mediterranean Olive Orchards
Abstract
:1. Introduction
2. Materials and Methods
2.1. Study Area
2.2. Experimental Design and Soil Sampling
2.3. Soil Particle-Size Separation, Water Stable Aggregates and Aggregate Associated Carbon and Nitrogen
2.4. Statistical Analysis
3. Results and Discussion
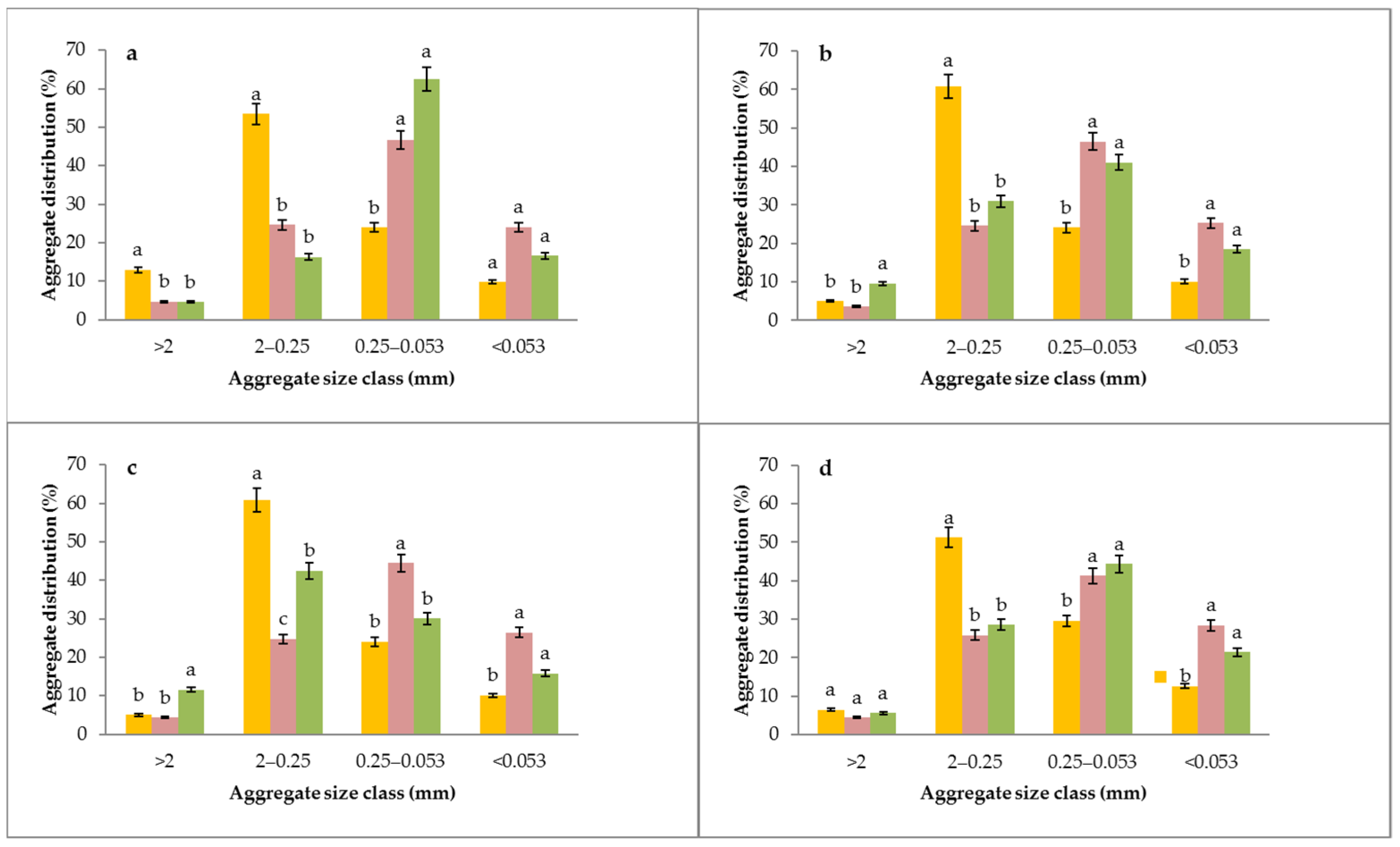
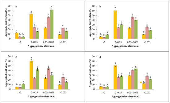
3.1. Soil Aggregate Size Distribution
3.2. Stability of Water Stable Aggregates
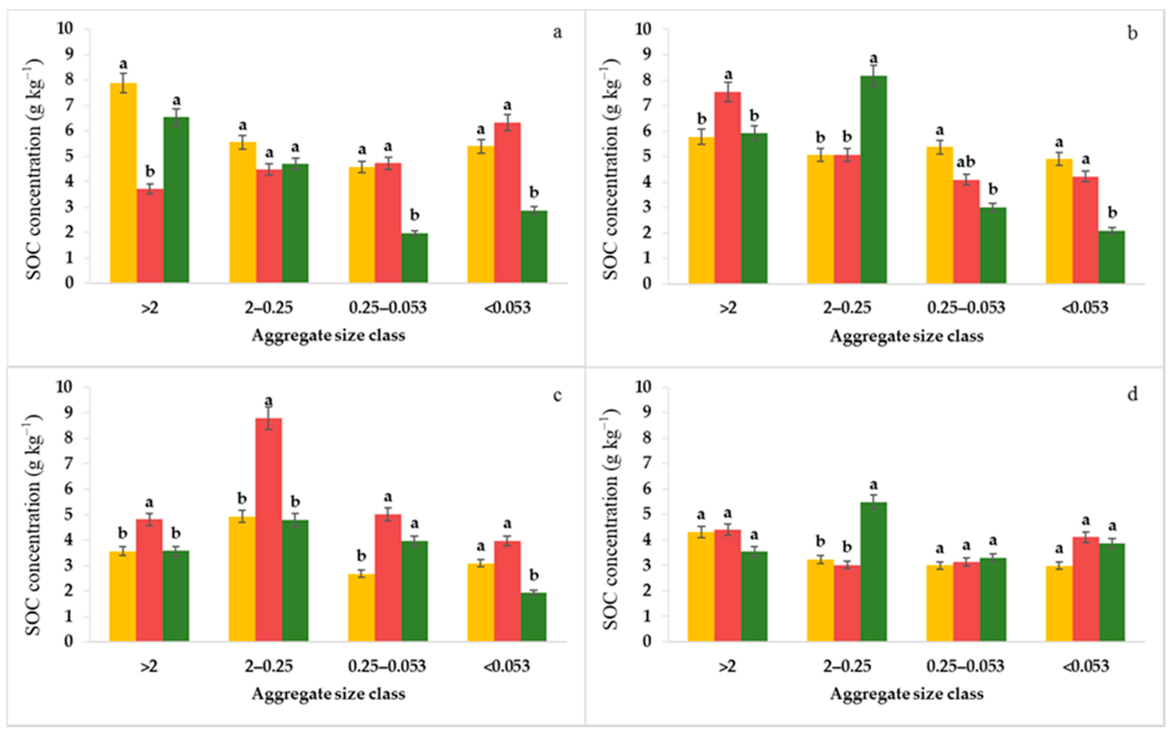
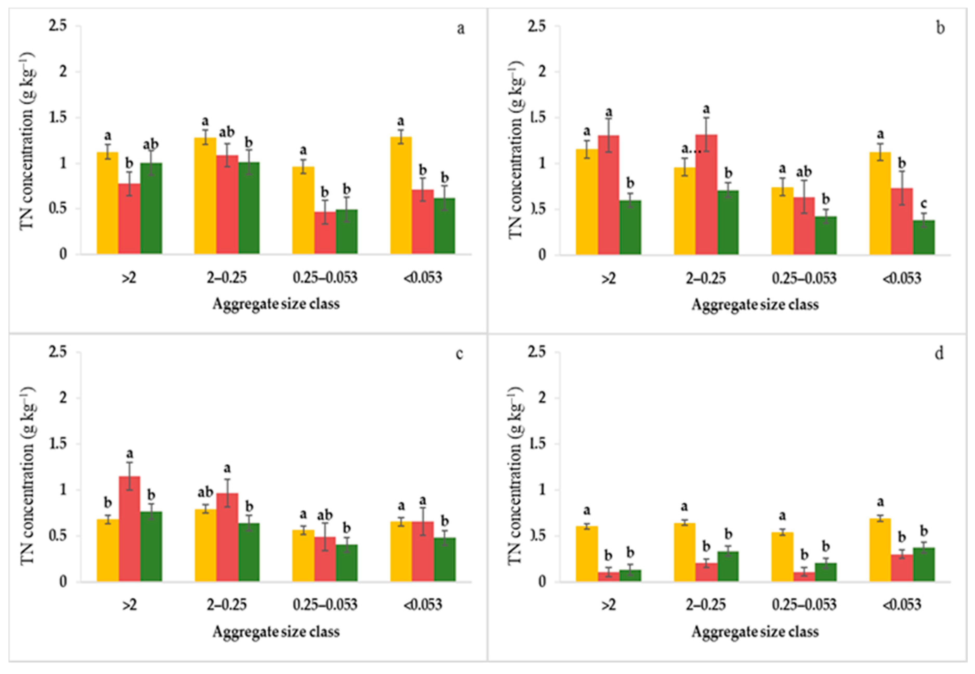
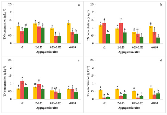
3.3. Aggregate Associated SOC and TN Concentration
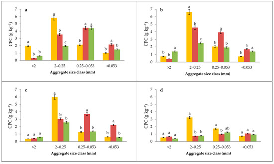
3.4. Soil Organic Carbon Preservation Capacity
4. Conclusions
Author Contributions
Funding
Institutional Review Board Statement
Data Availability Statement
Conflicts of Interest
References
- Viana, C.M.; Freire, D.; Abrantes, P.; Rocha, J.; Pereira, P. Agricultural land systems importance for supporting food security and sustainable development goals: A systematic review. Sci. Total Environ. 2021, 432, 150718. [Google Scholar] [CrossRef] [PubMed]
- Kopittke, P.M.; Menzies, N.W.; Wang, P.; McKenna, B.A.; Lombi, E. Soil and the intensification of agriculture for global food security. Environ. Int. 2019, 132, 105078. [Google Scholar] [CrossRef] [PubMed]
- González-Rosado, M.; Parras-Alcántara, L.; Aguilera-Huertas, J.; Lozano-García, B. Soil Productivity Degradation in a Long-Term Eroded Olive Orchard under Semiarid Mediterranean Conditions. Agronomy 2021, 11, 812. [Google Scholar] [CrossRef]
- Aguilera, E.; Guzmán, G.I.; González de Molina, M.; Soto, D.; Infante-Amate, J. From animals to machines. The impact of mechanization on the carbon footprint of traction in Spanish agriculture: 1900–2014. J. Clean. Prod. 2019, 226, 1151. [Google Scholar] [CrossRef]
- Pilardeaux, B. The UN Convention to Combat Desertification an Example for Global Risk Management. WIT Trans. Ecol. Environ. 1970, 31, 1–12. [Google Scholar]
- Rubio, J.L.; Recatalá, L.; Andrew, V. European desertification. WIT Trans. Ecol. Environ. 1970, 31, 1–15. [Google Scholar]
- Food and Agriculture Organisation of the United Nations (FAO). Recarbonization of Global Soils—A Dynamic Response to Offset Global Emissions, FAO. 2019. Available online: http://www.fao.org/3/i7235en/I7235EN.pdf (accessed on 20 December 2021).
- European Commission. EU Soil Strategy for 2030 Reaping the Benefits of Healthy Soils for People, Food, Nature and Climate. 2021. Available online: https://eur-lex.europa.eu/legal-content/EN/TXT/PDF/?uri=CELEX:52021DC0699&from=EN (accessed on 4 January 2022).
- Pimentel, D.; Burgess, M. Soil erosion threatens food production. Agriculture 2013, 3, 443–463. [Google Scholar] [CrossRef] [Green Version]
- Remans, R.; Villani, C.; Jones, S.; Smith, A.; Laporte, M.A.; Carmona, N.; China, R. Measuring Agricultural Biodiversity for Sustainable Food Systems. Biodivers. Inf. Sci. Stand. 2019, 3, e46785. [Google Scholar] [CrossRef]
- Smith, P.; Calvin, K.; Nkem, J.; Campbell, D.; Cherubini, F.; Grassi, G.; Arneth, A. Which practices co-deliver food security, climate change mitigation and adaptation, and combat land degradation and desertification? Glob. Chang. Biol. 2020, 26, 1532–1575. [Google Scholar] [CrossRef] [Green Version]
- Ojeda-Rivera, J.F.; Andreu-Lara, C.; Infante-Amate, J. Reasons and misgivings of a heritage recognition: The Olive Grove Landscapes of Andalusia. Bol. Asoc. Geógr. Esp. 2018, 79, 1–29. [Google Scholar]
- Cecchini, M.; Zambon, I.; Pontrandolfi, A.; Turco, R.; Colantoni, A.; Mavrakis, A.; Salvati, L. Urban sprawl and the ‘olive’ landscape: Sustainable land management for ‘crisis’ cities. Geo J. 2019, 84, 237–255. [Google Scholar] [CrossRef]
- MAPA. Encuesta Sobre Superficies y Rendimientos de Cultivos; Ministerio de Agricultura, Pesca y Alimentación: Madrid, Spain, 2019. Available online: https://www.mapa.gob.es/es/estadistica/temas/estadisticasagrarias/boletin2018_tcm30-504212.pdf (accessed on 10 January 2022).
- MAPA. Encuesta Sobre Superficies y Rendimientos de Cultivos. Análisis de Las Técnicas de Mantenimiento del Suelo y de Los Métodos de Siembra en España; Ministerio de Agricultura, Pesca y Alimentación: Madrid, Spain, 2021. Available online: https://www.mapa.gob.es/es/estadistica/temas/estadisticas-agrarias/agricultura/superficies-producciones-anuales-cultivos/ (accessed on 10 January 2022).
- Rosa, M.P. Hacia el monocultivo olivarero. El olivar andaluz tras la entrada de España en la CEE. Andal. Hist. 2020, 69, 26–29. [Google Scholar]
- Álvarez, J.R.G. La construcción del paisaje de los olivares del pasado: Una invitación a la historia del olivo en Andalucía. Andal. Hist. 2020, 69, 40–43. [Google Scholar]
- Edwards, A.P.; Bremner, J.M. Use of sonic vibration for separation of soil particles. Can. J. Soil Sci. 1964, 44, 366. [Google Scholar] [CrossRef] [Green Version]
- Lal, R.; Shukla, M.J. Principles of Soil Physics; Marcel Dekker, Inc.: New York, NY, USA, 2004; pp. 101–582. [Google Scholar]
- Obalum, S.E.; Chibuike, G.U.; Peth, S.; Ouyang, Y. Soil organic matter as sole indicator of soil degradation. Environ. Monit. Assess. 2017, 189, 176. [Google Scholar] [CrossRef]
- Rabot, E.; Wiesmeier, M.; Schlüter, S.; Vogel, H.J. Soil structure as an indicator of soil functions: A review. Geoderma 2018, 314, 122–137. [Google Scholar] [CrossRef]
- Mustafa, A.; Minggang, X.; Ali Shah, S.A.; Abrar, M.M.; Nan, S.; Baoren, W.; Núñez- Delgado, A. Soil aggregation and soil aggregate stability regulate organic carbon and nitrogen storage in a red soil of southern China. J. Environ. Manag. 2020, 270, 110894. [Google Scholar] [CrossRef]
- Six, J.; Elliott, E.T.; Paustian, K. Soil macroaggregate turnover and microaggregate formation: A mechanism for C sequestration under no-tillage agriculture. Soil Biol. Biochem. 2000, 32, 2099–2103. [Google Scholar] [CrossRef]
- Wiesmeier, M.; Urbanski, L.; Hobley, E.; Lang, B.; von Lützow, M.; Marin-Spiotta, E.; Kögel-Knabner, I. Soil organic carbon storage as a key function of soils-A review of drivers and indicators at various scales. Geoderma 2019, 333, 149–162. [Google Scholar] [CrossRef]
- Tisdall, J.M.; Oades, J.M. Organic matter and waterstable aggregates in soils. J. Soil Sci. 1982, 33, 141–163. [Google Scholar] [CrossRef]
- Sekaran, U.; Sagar, K.L.; Kumar, S. Soil aggregates, aggregate-associated carbon and nitrogen, and water retention as influenced by short and long-term no-till systems. Soil Tillage Res. 2021, 208, 104885. [Google Scholar] [CrossRef]
- Lu, X.; Lu, X.; Liao, Y. Effect of tillage treatment on the diversity of soil arbuscular mycorrhizal fungal and soil aggregate-associated carbon content. Front. Microbiol. 2018, 9, 2986. [Google Scholar] [CrossRef] [PubMed] [Green Version]
- Zhang, Y.; Li, P.; Liu, X.; Xiao, L.; Shi, P.; Zhao, B. Effects of farmland conversion on the stoichiometry of carbon, nitrogen, and phosphorus in soil aggregates on the Loess Plateau of China. Geoderma 2019, 351, 188–196. [Google Scholar] [CrossRef]
- Sithole, N.J.; Magwaza, L.S.; Thibaud, G.R. Long-term impact of no-till conservation agriculture and N-fertilizer on soil aggregate stability, infiltration and distribution of C in different size fractions. Soil Tillage Res. 2019, 190, 147–156. [Google Scholar] [CrossRef]
- González-Rosado, M.; Parras-Alcántara, L.; Aguilera-Huertas, J.; Benitez, C.; Lozano-García, B. Effects of land management change on soil aggregates and organic carbon in Mediterranean olive groves. Catena 2020, 195, 104840. [Google Scholar] [CrossRef]
- Okolo, C.C.; Gebresamuel, G.; Zenebe, A.; Haile, M.; Eze, P.N. Accumulation of organic carbon in various soil aggregate sizes under different land use systems in a semi-arid environment. Agric. Ecosyst. Environ. 2020, 297, 106924. [Google Scholar] [CrossRef]
- Qian, J.; Liu, J.; Wang, P.; Wang, C.; Hu, J.; Li, K.; Guan, W. Effects of riparian land use changes on soil aggregates and organic carbon. Ecol. Eng. 2018, 112, 82–88. [Google Scholar] [CrossRef]
- Lozano-García, B.; Francaviglia, R.; Renzi, G.; Doro, L.; Ledda, L.; Benítez, C.; González-Rosado, M.; Parras-Alcántara, L. Land use change effects on soil organic carbon store. An opportunity to soils regeneration in Mediterranean areas: Implications in the 4p1000 notion. Ecol. Indic. 2020, 119, 106831. [Google Scholar] [CrossRef]
- García-Franco, N.; Albaladejo, J.; Almagro, M.; Martínez-Mena, M. Beneficial effects of reduced tillage and green manure on soil aggregation and stabilization of organic carbon in a Mediterranean agroecosystem. Soil Tillage Res. 2015, 153, 66–75. [Google Scholar] [CrossRef]
- Álvaro-Fuentes, J.; Cantero-Martínez, C.; López Sánchez, M.V.; Paustian, K.; Denef, K.; Stewart, C.E.; Arrúe-Ugarte, J.L. Soil aggregation and soil organic carbon stabilization: Effects of management in semiarid Mediterranean agroecosystems. Soil Sci. Soc. Am. 2009, 73, 1519–1529. [Google Scholar] [CrossRef] [Green Version]
- Almagro, M.; Garcia-Franco, N.; Martínez-Mena, M. The potential of reducing tillage frequency and incorporating plant residues as a strategy for climate change mitigation in semiarid Mediterranean agroecosystems. Agric. Ecosyst. Environ. 2017, 246, 210–220. [Google Scholar] [CrossRef]
- Dal Ferro, N.; Piccoli, I.; Berti, A.; Polese, R.; Morari, F. Organic carbon storage potential in deep agricultural soil layers: Evidence from long-term experiments in northeast Italy. Agric. Ecosyst. Environ. 2020, 300, 106967. [Google Scholar] [CrossRef]
- González-Rosado, M.; Parras-Alcántara, L.; Aguilera-Huertas, J.; Lozano-García, B. Long-term evaluation of the initiative 4‰ under different soil managements in Mediterranean olive groves. Sci. Total Environ. 2021, 758, 143591. [Google Scholar] [CrossRef]
- Ledo, A.; Smith, P.; Zerihun, A.; Whitaker, J.; Vicente Vicente, J.; Qin, Z.; Mcnamara, N.; Zinn, Y.; Llorente, M.; Liebig, M.; et al. Changes in soil organic carbon under perennial crops. Glob. Chang. Biol. 2020, 26, 4158–4168. [Google Scholar] [CrossRef] [PubMed]
- Wiesmeier, M.; Mayer, S.; Paul, C.; Helming, K.; Don, A.; Franko, U.; Steffens, M.; Kögel-Knabner, I. CO2 Certificates for Carbon Sequestration in Soils: Methods, Management Practices and Limitations; BonaRes Series; BonaRes Centre for Soil Research: Halle, Germany, 2020. [Google Scholar] [CrossRef]
- Veerman, C.; Pinto Correia, T.; Bastioli, C.; Biro, B.; Bouma, J.; Cienciela, E. Caring for Soil Is Caring for Life; EU Soil Health and Food Mission Board: Brussels, Belgium, 2020. [Google Scholar]
- Food and Agriculture Organization; Working Group WRB. World Reference Base for Soil Resources 2014, Update 2015: International Soil Classification System for Naming Soils and Creating Legends for Soil Maps; No. 106; World Soil Resources Reports; FAO: Rome, Italy, 2015. [Google Scholar]
- Elliott, E.T. Aggregate structure and carbon, nitrogen, and phosphorus in native and cultivated Soils 1. Soil Sci. Soc. Am. J. 1986, 50, 627. [Google Scholar] [CrossRef]
- Six, J.; Hüppi, R. Aggregate stability and size distribution. In Handbook of Plant and Soil Analysis for Agricultural Systems; Álvaro-Fuentes, J., Lóczy, D., Thiele-Bruhn, S., Zornoza, R., Eds.; CRAI: Cartagena, Spain, 2019; Volume 1, pp. 188–190. [Google Scholar] [CrossRef]
- Nelson, D.W.; Sommer, L.E. Total Carbon, Organic Carbon and Organic Matter. In Methods of Soil Analysis, Part 2: Chemical and Microbiological Properties, 2nd ed.; ASA-SSSA: Madison, WI, USA, 1982; pp. 595–599. [Google Scholar]
- Choudhury, S.G.; Srivastava, S.; Singh, R.; Chaudhari, S.K.; Sharma, D.K.; Singh, S.K.; Sarkar, D. Tillage and residue management effects on soil aggregation, organic carbon dynamics and yield attribute in rice–wheat cropping system under reclaimed sodic soil. Soil Tillage Res. 2014, 136, 76–83. [Google Scholar] [CrossRef]
- Anderson, R.; Brye, K.R.; Wood, L.S. Soil aggregate stability as affected by land use and soil properties in the lower Mississippi River Valley. Soil Sci. Soc. Am. J. 2019, 83, 1512–1524. [Google Scholar] [CrossRef]
- Blanco-Moure, N.; Moret-Fernandez, D.; Lopez, M.V. Dynamics of aggregate destabilization by water in soil under long term conservation tillage in semiarid Spain. Catena 2012, 99, 34–41. [Google Scholar] [CrossRef] [Green Version]
- Du, Z.L.; Ren, T.S.; Hu, C.S.; Zhang, Q.Z.; Blanco-Canqui, H. Soil aggregate stability and aggregate-associated carbon under different tillage systems in the North China Plain. J. Integr. Agric. 2013, 12, 2114–2123. [Google Scholar] [CrossRef]
- Franzluebbers, A.J. Water infiltration and soil structure related to organic matter and its stratification with depth. Soil Tillage Res. 2002, 66, 197–205. [Google Scholar] [CrossRef]
- Parwada, C.; Van Tol, J. Effects of litter quality on macroaggregates reformation and soil stability in different soil horizons. Environ. Dev. Sustain. 2019, 21, 1321–1339. [Google Scholar] [CrossRef]
- Poirier, V.; Roumet, C.; Angers, D.A.; Munson, A.D. Species and root traits impact macroaggregation in the rhizospheric soil of a Mediterranean common garden experiment. Plant Soil 2018, 424, 289–302. [Google Scholar] [CrossRef]
- Rodríguez, L.; Suárez, J.C.; Rodriguez, W.; Artunduaga, K.J.; Lavelle, P. Agroforestry systems impact soil macroaggregation and enhance carbon storage in Colombian deforested Amazonia. Geoderma 2021, 384, 114810. [Google Scholar] [CrossRef]
- Reeves, S.H.; Somasundaram, J.; Wang, W.J.; Heenan, M.A.; Finn, D.; Dalai, R.C. Effect of soil aggregate size and long-term contrasting tillage, stubble and nitrogen management regimes on CO2 fluxes from a vertisol. Geoderma 2019, 337, 1086–1096. [Google Scholar] [CrossRef]
- Baumert, V.L.; Vasilyeva, N.A.; Vladimirov, A.A.; Meier, I.C.; Kögel-Knabner, I.; Mueller, C.W. Root exudates induce soil macroaggregation facilitated by fungi in subsoil. Front. Environ. Sci. 2018, 6, 140. [Google Scholar] [CrossRef]
- Le Bissonnais, Y. Aggregate stability and assessment of crustability and erodibility: Theory and methodology. Eur. J. Soil Sci. 1996, 47, 425–437. [Google Scholar] [CrossRef]
- Six, J.; Feller, C.; Denef, K.; Ogle, S.; de Moraes Sa, J.C.; Albrecht, A. Soil organic matter, biota and aggregation in temperate and tropical soils-Effects of no-tillage. Agronomie 2002, 22, 755–775. [Google Scholar] [CrossRef] [Green Version]
- Tang, H.; Xiao, X.; Li, C.; Tang, W.; Pan, X.; Cheng, K.; Sun, G. Impact of tillage practices on soil aggregation and humic substances under double-cropping paddy field. Agron. J. 2020, 112, 624–632. [Google Scholar] [CrossRef]
- Giannitsopoulos, M.L.; Burgess, P.J.; Rickson, R.J. Effects of conservation tillage drills on soil quality indicators in a wheat–oilseed rape rotation: Organic carbon, earthworms and water-stable aggregates. Soil Use Manag. 2020, 36, 139–152. [Google Scholar] [CrossRef]
- Wang, B.; Gao, L.; Yu, W.; Wei, X.; Li, J.; Li, S.; Wu, X. Distribution of soil aggregates and organic carbon in deep soil under long-term conservation tillage with residual retention in dryland. J. Arid Land 2019, 11, 241–254. [Google Scholar] [CrossRef] [Green Version]
- Blanco-Canqui, H.; Ruis, S.J. No-tillage and soil physical environment. Geoderma 2018, 326, 164–200. [Google Scholar] [CrossRef]
- Bottinelli, N.; Angers, D.A.; Hallaire, V.; Michot, D.; Le Guillou, C.; Cluzeau, D.; Menasseri-Aubry, S. Tillage and fertilization practices affect soil aggregate stability in a Humic Cambisol of Northwest France. Soil Tillage Res. 2017, 170, 14–17. [Google Scholar] [CrossRef]
- Lombardo, L.; Palese, A.M.; Grasso, F.; Duffy, D.H.; Briccoli Bati, C.; Xiloyannis, C. Mechanical tillage diversely affects glomalin content, water stable aggregates and AM fungal community in the soil profiles of two differently managed olive orchards. Biomolecules 2019, 9, 639. [Google Scholar] [CrossRef] [PubMed] [Green Version]
- Song, K.; Zheng, X.; Lu, W.; Qin, Q.; Sun, L.; Zhang, H.; Xue, Y. Effects of tillage and straw return on water-stable aggregates, carbon stabilization and crop yield in an estuarine alluvial soil. Sci. Rep. 2019, 9, 4586. [Google Scholar] [CrossRef] [PubMed]
- Xue, B.; Huang, L.; Huang, Y.; Yin, Z.; Li, X.; Lu, J. Effects of organic carbon and iron oxides on soil aggregate stability under different tillage systems in a rice–rape cropping system. Catena 2019, 177, 1–12. [Google Scholar] [CrossRef]
- Govaerts, B.; Sayre, K.D.; Goudeseune, B.; De Corte, P.; Lichter, K.; Dendooven, L.; Deckers, J. Conservation agriculture as a sustainable option for the central Mexican highlands. Soil Tillage Res. 2009, 103, 222–230. [Google Scholar] [CrossRef]
- Nath, A.J.; Lal, R. Effects of tillage practices and land use management on soil aggregates and soil organic carbon in the north Appalachian region, USA. Pedosphere 2017, 27, 172–176. [Google Scholar] [CrossRef]
- Cao, R.; Chen, L.; Hou, X.; Lü, X.; Li, H. Nitrogen addition reduced carbon mineralization of aggregates in forest soils but enhanced in paddy soils in South China. Ecol. Process. 2021, 10, 45. [Google Scholar] [CrossRef]
- Nandan, R.; Singh, V.; Singh, S.S.; Kumar, V.; Hazra, K.K.; Nath, C.P.; McDonald, A. Impact of conservation tillage in rice–based cropping systems on soil aggregation, carbon pools and nutrients. Geoderma 2019, 340, 104–114. [Google Scholar] [CrossRef]
- Mikha, M.M.; Rice, C.W. Tillage and manure effects on soil and aggregate-associated carbon and nitrogen. Soil Sci. Soc. Am. J. 2004, 68, 809–816. [Google Scholar] [CrossRef]
- Mikha, M.M.; Hergret, G.W.; Benjamin, J.G.; Jabro, J.D.; Nielsen, R.A. Long-term manure impacts on soil aggregates and aggregate-associated carbon and nitrogen. Soil Sci. Soc. Am. J. 2015, 79, 626–636. [Google Scholar] [CrossRef]
- Weidhuner, A.; Hanauer, A.; Krausz, R.; Crittenden, S.J.; Gage, K.; Sadeghpour, A. Tillage impacts on soil aggregation and aggregate-associated carbon and nitrogen after 49 years. Soil Tillage Res. 2021, 208, 104878. [Google Scholar] [CrossRef]
- Six, J.; Paustian, K. Aggregate-associated soil organic matter as an ecosystemn property and a measurement tool. Soil Biol. Biochem. 2014, 68, A4–A9. [Google Scholar] [CrossRef]
- Chaplot, V.; Cooper, M. Soil aggregate stability to predict organic carbon outputs from soils. Geoderma 2015, 243, 205–213. [Google Scholar] [CrossRef]
- Kumar, N.; Nath, C.P.; Hazra, K.K.; Das, K.; Venkatesh, M.S.; Singh, M.K.; Singh, N.P. Impact of zero-till residue management and crop diversification with legumes on soil aggregation and carbon sequestration. Soil Tillage Res. 2019, 189, 158–167. [Google Scholar] [CrossRef]
- Mikha, M.M.; Jin, V.L.; Johnson, J.M.; Lehman, M.R.; Karlen, D.L.; Jabro, J.D. Land management effects on wet aggregate stability and carbon content. Soil Sci. Soc. Am. J. 2021, 85, 2149–2168. [Google Scholar] [CrossRef]
- Xu, S.; Jagadamma, S.; Ashworth, A.J.; Singh, S.; Owens, P.R.; Moore, P.A. Long-term effects of pasture management and fenced riparian buffers on soil organic carbon content and aggregation. Geoderma 2021, 382, 114666. [Google Scholar] [CrossRef]
- Neuman, J. Soil organic matter maintenance in no-till and crop rotation management systems. Earth Syst. Environ. Sci. 2017, 52, 62–86. [Google Scholar] [CrossRef]
- Totsche, K.U.; Amelung, W.; Gerzabek, M.H.; Guggenberger, G.; Klumpp, E.; Knief, C.; Kögel-Knabner, I. Microaggregates in soils. J. Plant Nutr. Soil Sci. 2018, 181, 104–136. [Google Scholar] [CrossRef] [Green Version]
- Chevallier, T.; Blanchart, E.; Albrecht, A.; Feller, C. The physical protection of soil organic carbon in aggregates: A mechanism of carbon storage in a Vertisol under pasture and market gardening (Martinique, West Indies). Agric. Ecosyst. Environ. 2004, 103, 375–387. [Google Scholar] [CrossRef]
- Shan, J.; Yan, X. Efects of crop residue returning on nitrous oxide emissions in agricultural soils. Atmos. Environ. 2013, 71, 170–175. [Google Scholar] [CrossRef]
- Chaplot, V. Evidences of plants’ impact on land degradation and climate change: An urgent call for new multidisciplinary research. Geoderma 2021, 392, 114984. [Google Scholar] [CrossRef]
- Jat, H.S.; Datta, A.; Choudhary, M.; Yadav, A.K.; Choudhary, V.; Sharma, P.C.; McDonald, A. Effects of tillage, crop establishment and diversification on soil organic carbon, aggregation, aggregate associated carbon and productivity in cereal systems of semi-arid Northwest India. Soil Tillage Res. 2019, 190, 128–138. [Google Scholar] [CrossRef] [PubMed]
- Mangalassery, S.; Kalaivanan, D.; Philip, P.S. Effect of inorganic fertilisers and organic amendments on soil aggregation and biochemical characteristics in a weathered tropical soil. Soil Tillage Res. 2019, 187, 144–151. [Google Scholar] [CrossRef]
- Annabi, M.; Le Bissonnais, Y.; Le Villio-Poitrenaud, M.; Houot, S. Improvement of soil aggregate stability by repeated applications of organic amendments to a cultivated silty loam soil. Agric. Ecosyst. Environ. 2011, 144, 382–389. [Google Scholar] [CrossRef]
- Fuss, S.; Canadell, J.G.; Ciais, P.; Jackson, R.B.; Jones, C.D.; Lyngfelt, A.; Van Vuuren, D.P. Moving toward Net-Zero emissions requires new alliances for carbon dioxide removal. One Earth 2020, 3, 145–149. [Google Scholar] [CrossRef]






Publisher’s Note: MDPI stays neutral with regard to jurisdictional claims in published maps and institutional affiliations. |
© 2022 by the authors. Licensee MDPI, Basel, Switzerland. This article is an open access article distributed under the terms and conditions of the Creative Commons Attribution (CC BY) license (https://creativecommons.org/licenses/by/4.0/).
Share and Cite
González-Rosado, M.; Parras-Alcántara, L.; Aguilera-Huertas, J.; Lozano-García, B. No-Tillage Does Not Always Stop the Soil Degradation in Relation to Aggregation and Soil Carbon Storage in Mediterranean Olive Orchards. Agriculture 2022, 12, 407. https://doi.org/10.3390/agriculture12030407
González-Rosado M, Parras-Alcántara L, Aguilera-Huertas J, Lozano-García B. No-Tillage Does Not Always Stop the Soil Degradation in Relation to Aggregation and Soil Carbon Storage in Mediterranean Olive Orchards. Agriculture. 2022; 12(3):407. https://doi.org/10.3390/agriculture12030407
Chicago/Turabian StyleGonzález-Rosado, Manuel, Luis Parras-Alcántara, Jesús Aguilera-Huertas, and Beatriz Lozano-García. 2022. "No-Tillage Does Not Always Stop the Soil Degradation in Relation to Aggregation and Soil Carbon Storage in Mediterranean Olive Orchards" Agriculture 12, no. 3: 407. https://doi.org/10.3390/agriculture12030407
APA StyleGonzález-Rosado, M., Parras-Alcántara, L., Aguilera-Huertas, J., & Lozano-García, B. (2022). No-Tillage Does Not Always Stop the Soil Degradation in Relation to Aggregation and Soil Carbon Storage in Mediterranean Olive Orchards. Agriculture, 12(3), 407. https://doi.org/10.3390/agriculture12030407

