Hyperspectral Imaging-Based Multiple Predicting Models for Functional Component Contents in Brassica juncea
Abstract
1. Introduction
2. Materials and Methods
2.1. Plant Growth Conditions
2.2. Total Chlorophyll and Carotenoid Contents
2.3. Total Phenolic Contents
2.4. Total Glucosinolate Contents
2.5. Total Anthocyanin Contents
2.6. Hyperspectral Imaging
2.7. Data Processing and Prediction Models
2.8. Development of Visualization Software for Applying Predictive Models
3. Results and Discussion
3.1. Analysis of Plant Pigments and Metabolites
3.2. Average Spectra and Correlation Analysis
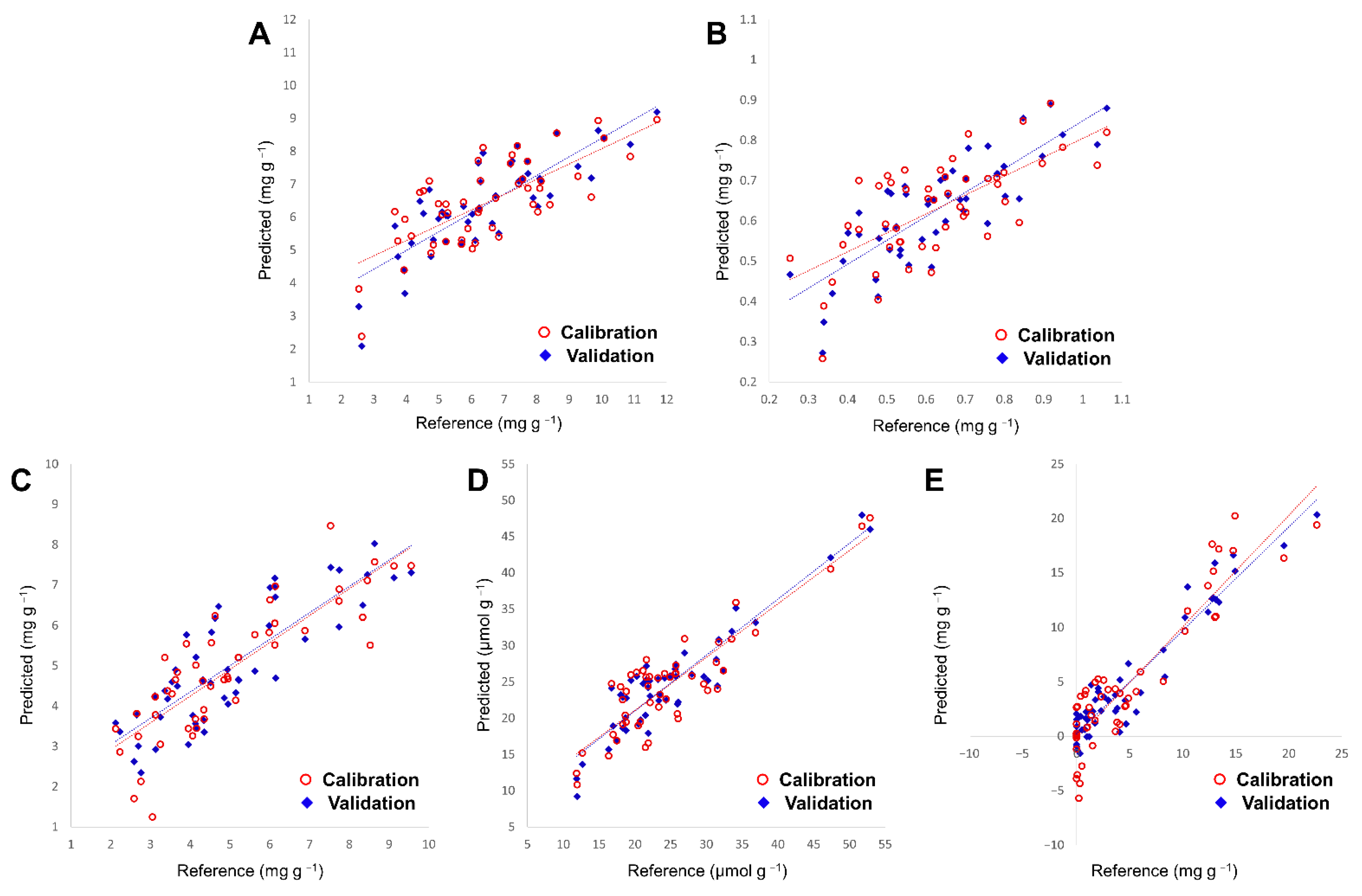
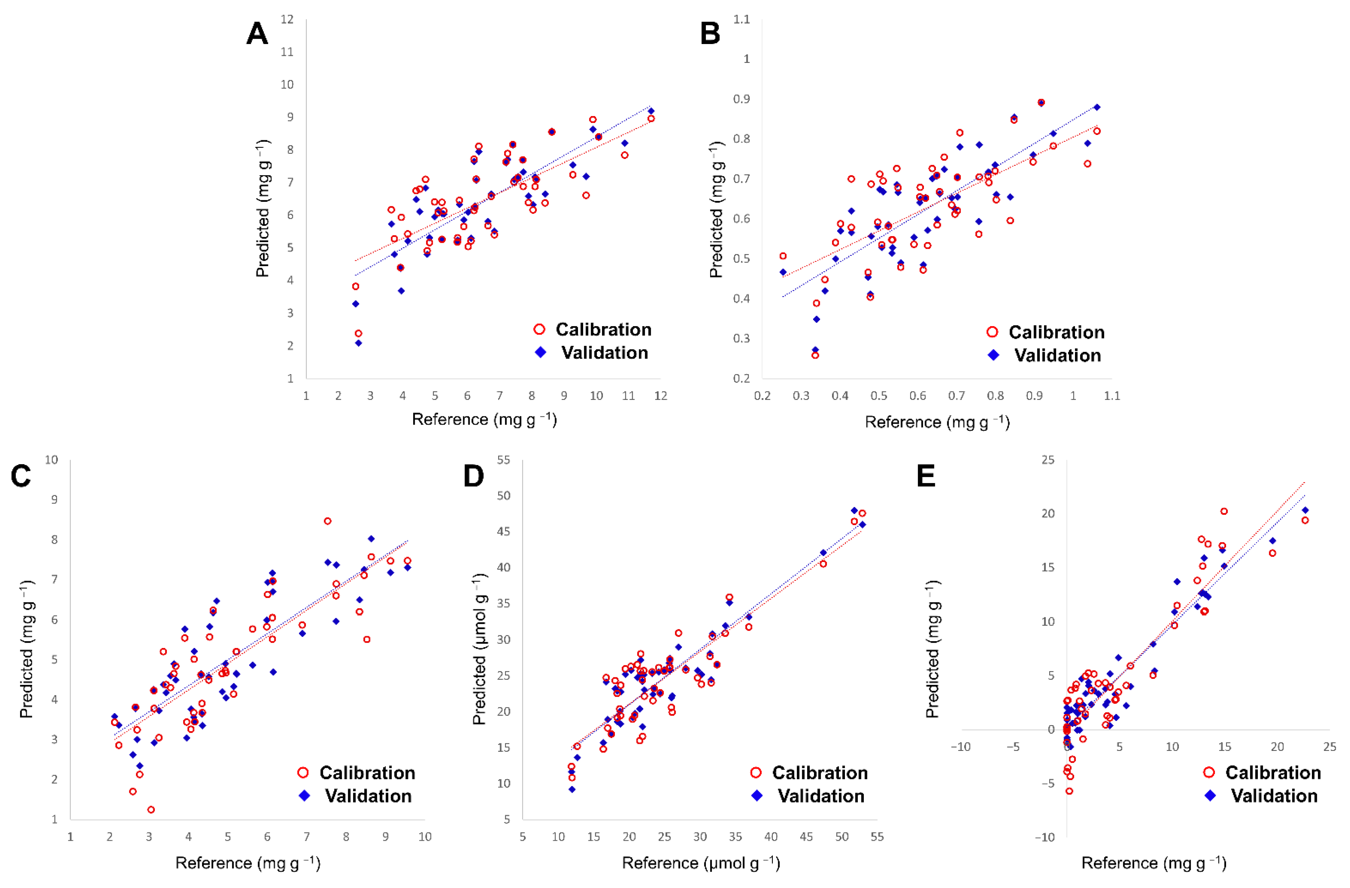
3.3. Development of PLSR Models Using Spectral Data Extracted from HSI
3.4. Application of the Functional Component Prediction Model for Visualization
4. Conclusions
Author Contributions
Funding
Conflicts of Interest
References
- Kumar, V.; Thakur, A.K.; Barothia, N.D.; Chatterjee, S.S. Therapeutic potentials of Brassica juncea: An overview. Cell Med. 2011, 1, 2.1–2.16. [Google Scholar] [CrossRef]
- Tian, Y.; Deng, F. Phytochemistry and biological activity of mustard (Brassica juncea): A review. CyTA-J. Food 2020, 18, 704–718. [Google Scholar] [CrossRef]
- Malabed, R.S.; Noel, M.G.; Aton, B.C., III; Toribio, E.A.F. Characterization of the glucosinolates and isothiocyanates in mustard (Brassica juncea L.) extracts and determination of its myrosinase activity and antioxidant capacity. In Proceedings of the De La Salle University Research Congress 2014, Manila, Philippines, 6–8 March 2014; pp. 1–7. [Google Scholar]
- Oulad El Majdoub, Y.; Alibrando, F.; Cacciola, F.; Arena, K.; Pagnotta, E.; Matteo, R.; Micalizzi, G.; Dugo, L.; Dugo, P.; Mondello, L. Chemical characterization of three accessions of Brassica juncea L. extracts from different plant tissues. Molecules 2020, 25, 5421. [Google Scholar] [CrossRef]
- Cartea, M.E.; Francisco, M.; Soengas, P.; Velasco, P. Phenolic compounds in Brassica vegetables. Molecules 2010, 16, 251–280. [Google Scholar] [CrossRef] [PubMed]
- Manohar, P.R.; Pushpan, R.; Rohini, S. Mustard and its uses in Ayurveda. Indian J. Tradit. Knowl. 2009, 8, 400–404. [Google Scholar]
- Lee, J.E.; Kim, A.J. Antioxidant activity, whitening and anti-wrinkle effects of leaf and seed extracts of Brassica juncea L. Czern. Asian J. Beauty Cosmetol. 2020, 18, 283–295. [Google Scholar] [CrossRef]
- Méthy, M.; Olioso, A.; Trabaud, L. Chlorophyll fluorescence as a tool for management of plant resources. Remote Sens. Environ. 1994, 47, 2–9. [Google Scholar] [CrossRef]
- Jezek, M.; Zörb, C.; Merkt, N.; Geilfus, C.M. Anthocyanin management in fruits by fertilization. J. Agric. Food Chem. 2018, 66, 753–764. [Google Scholar] [CrossRef]
- Mounien, L.; Tourniaire, F.; Landrier, J.F. Anti-obesity effect of carotenoids: Direct impact on adipose tissue and adipose tissue-driven indirect effects. Nutrients 2019, 11, 1562. [Google Scholar] [CrossRef]
- Kawser Hossain, M.; Abdal Dayem, A.; Han, J.; Yin, Y.; Kim, K.; Kumar Saha, S.; Yang, G.M.; Choi, H.Y.; Cho, S.G. Molecular mechanisms of the anti-obesity and anti-diabetic properties of flavonoids. Inter. J. Mol. Sci. 2016, 17, 569. [Google Scholar] [CrossRef] [PubMed]
- Kim, M.H. Antioxidant and antibacterial activity of extracts from Brassica juncea Czerniak et coss., Celosia cristata L., and Beta vulgaris L. J. Korean Soc. Food Cult. 2012, 27, 719–729. [Google Scholar] [CrossRef]
- Nawaz, H.; Shad, M.A.; Muzaffar, S. Phytochemical composition and antioxidant potential of Brassica. In Brassica Germplasm: Characterization, Breeding and Utilization; IntechOpen: London, UK, 2018; Volume 1, pp. 7–26. [Google Scholar] [CrossRef]
- Okulicz, M. Multidirectional time-dependent effect of sinigrin and allyl isothiocyanate on metabolic parameters in rats. Plant Foods Hum. Nutr. 2010, 65, 217–224. [Google Scholar] [CrossRef]
- Zhang, Y. Allyl isothiocyanate as a cancer chemopreventive phytochemical. Mol. Nutr. Food Res. 2010, 54, 127–135. [Google Scholar] [CrossRef] [PubMed]
- Luciano, F.B.; Holley, R.A. Enzymatic inhibition by allyl isothiocyanate and factors affecting its antimicrobial action against Escherichia coli. Inter. J. Food Microbiol. 2009, 131, 240–245. [Google Scholar] [CrossRef]
- Mo, C.; Hasegawa, M.; Lee, K.; Lim, J.G.; Kim, M.S.; Kang, S.; Lee, H.D.; Bae, H.; Kim, D.Y.; Cho, B.K. Development of a non–destructive on–line pungency measurement system for red–pepper powder. J. Fac. Agric. Kyushu Univ. 2013, 58, 137–144. [Google Scholar] [CrossRef]
- Teye, E.; Huang, X.; Sam-Amoah, L.K.; Takrama, J.; Boison, D.; Botchway, F.; Kumi, F. Estimating cocoa bean parameters by FT-NIRS and chemometrics analysis. Food Chem. 2015, 176, 403–410. [Google Scholar] [CrossRef]
- Sunoj, S.; Igathinathane, C.; Visvanathan, R. Nondestructive determination of cocoa bean quality using FT-NIR spectroscopy. Comput. Electron. Agric. 2016, 124, 234–242. [Google Scholar] [CrossRef]
- Zhao, Y.R.; Li, X.; Yu, K.Q.; Cheng, F.; He, Y. Hyperspectral imaging for determining pigment contents in cucumber leaves in response to angular leaf spot disease. Sci. Rep. 2016, 6, 27790. [Google Scholar] [CrossRef]
- Hernández-Hierro, J.M.; Esquerre, C.; Valverde, J.; Villacreces, S.; Reilly, K.; Gaffney, M.; González-Miret, M.L.; Heredia, F.J.; O’Donnell, C.P.; Downey, G. Preliminary study on the use of near infrared hyperspectral imaging for quantitation and localisation of total glucosinolates in freeze-dried broccoli. J. Food Eng. 2014, 126, 107–112. [Google Scholar] [CrossRef]
- Onivogui, G.; Zhang, H.; Mlyuka, E.; Diaby, M.; Song, Y. Chemical composition, nutritional properties and antioxidant activity of monkey apple (Anisophyllea laurina R. Br. ex Sabine). J. Food Nutr. Res. 2014, 2, 281–287. [Google Scholar] [CrossRef]
- Ihsan, M.; Saputro, A.H.; Handayani, W. Flavonoid distribution mapping system of velvet apple leaf based on hyperspectral imaging. In Proceedings of the 2019 International Conference on Advanced Computer Science and information Systems (ICACSIS), Bali, Indonesia, 12–13 October 2019; pp. 157–162. [Google Scholar]
- He, J.; Chen, L.; Chu, B.; Zhang, C. Determination of total polysaccharides and total flavonoids in Chrysanthemum morifolium using near-infrared hyperspectral imaging and multivariate analysis. Molecules 2018, 23, 2395. [Google Scholar] [CrossRef]
- Cheng, J.H.; Sun, D.W. Rapid quantification analysis and visualization of Escherichia coli loads in grass carp fish flesh by hyperspectral imaging method. Food Bioproc. Technol. 2015, 8, 951–959. [Google Scholar] [CrossRef]
- Choi, J.Y.; Kim, J.; Kim, J.; Jeong, S.; Kim, M.; Park, S.; Moon, K.D. Hyperspectral imaging technique for monitoring moisture content of blueberry during the drying process. Korean J. Food Preserv. 2021, 28, 445–455. [Google Scholar] [CrossRef]
- Bai, X.; Xiao, Q.; Zhou, L.; Tang, Y.; He, Y. Detection of sulfite dioxide residue on the surface of fresh-cut potato slices using near-infrared hyperspectral imaging system and portable near-infrared spectrometer. Molecules 2020, 25, 1651. [Google Scholar] [CrossRef] [PubMed]
- Liu, Y.; Sun, Y.; Xie, A.; Yu, H.; Yin, Y.; Li, X.; Duan, X. Potential of hyperspectral imaging for rapid prediction of anthocyanin content of purple-fleshed sweet potato slices during drying process. Food Anal. Methods 2017, 10, 3836–3846. [Google Scholar] [CrossRef]
- Caporaso, N.; Whitworth, M.B.; Fowler, M.S.; Fisk, I.D. Hyperspectral imaging for non-destructive prediction of fermentation index, polyphenol content and antioxidant activity in single cocoa beans. Food Chem. 2018, 258, 343–351. [Google Scholar] [CrossRef]
- Lichtenthaler, H.K.; Buschmann, C. Chlorophylls and carotenoids: Measurement and characterization by UV-VIS spectroscopy. Curr. Protoc. Food Anal. Chem. 2001, 1, F4.3.1–F4.3.8. [Google Scholar] [CrossRef]
- Thomas, M.; Badr, A.; Desjardins, Y.; Gosselin, A.; Angers, P. Characterization of industrial broccoli discards (Brassica oleracea var. italica) for their glucosinolate, polyphenol and flavonoid contents using UPLC MS/MS and spectrophotometric methods. Food Chem. 2018, 245, 1204–1211. [Google Scholar] [CrossRef]
- Mawlong, I.; Sujith Kumar, M.; Gurung, B.; Singh, K.; Singh, D. A simple spectrophotometric method for estimating total glucosinolates in mustard de-oiled cake. Inter. J. Food Prop. 2017, 20, 3274–3281. [Google Scholar] [CrossRef]
- Yang, Y.C.; Sun, D.W.; Pu, H.; Wang, N.N.; Zhu, Z. Rapid detection of anthocyanin content in lychee pericarp during storage using hyperspectral imaging coupled with model fusion. Postharvest Biol. Technol. 2015, 103, 55–65. [Google Scholar] [CrossRef]
- Jeong, J.C.; Kim, S.J.; Hong, S.Y.; Nam, J.H.; Sohn, H.B.; Kim, Y.H.; Mekapogu, M. Growing environment influence the anthocyanin content in purple-and red-fleshed potatoes during tuber development. Korean J. Crop. Sci. 2015, 60, 231–238. [Google Scholar] [CrossRef]
- Ninu, L.; Ahmad, M.; Miarelli, C.; Cashmore, A.R.; Giuliano, G. Cryptochrome 1 controls tomato development in response to blue light. Plant J. 1999, 18, 551–556. [Google Scholar] [CrossRef]
- Giliberto, L.; Perrotta, G.; Pallara, P.; Weller, J.L.; Fraser, P.D.; Bramley, P.M.; Fiore, A.; Tavazza, M.; Giuliano, G. Manipulation of the blue light photoreceptor cryptochrome 2 in tomato affects vegetative development, flowering time, and fruit antioxidant content. Plant Physiol. 2005, 137, 199–208. [Google Scholar] [CrossRef] [PubMed]
- Kim, H.S.; Yoo, J.H.; Park, S.H.; Kim, J.S.; Chung, Y.; Kim, J.H.; Kim, H.S. Measurement of environmentally influenced variations in anthocyanin accumulations in Brassica rapa subsp. Chinensis (Bok Choy) using hyperspectral imaging. Front. Plant Sci. 2021, 12, 693854. [Google Scholar] [CrossRef]






| Item. | Specification |
|---|---|
| No. of spatial pixels | 1408 spatial pixels |
| Focal Length, f-number | 16 mm, f/1.4 standard |
| Spectral Range | 400–1000 nm |
| Full FOV | 28.6 degrees (500 mrad) standard |
| Methods | Pre-Processing Conditions |
|---|---|
| 1 | Raw data |
| 2 | Raw data, S. G. filter (interval = 3) |
| 3 | Raw data, S. G. filter (interval = 7) |
| 4 | Raw data, S. G. filter (interval = 3), SNV |
| 5 | Raw data, S. G. filter (interval = 3), MSC |
| 6 | Raw data, 1st-Der |
| 7 | Raw data, 2nd-Der |
| 8 | Raw data, SNV, 1st-Der |
| 9 | Raw data, SNV, 2nd-Der |
| 10 | Raw data, Normalization |
| Parameter | Min * | Max * | Mean * | Standard Deviation * |
|---|---|---|---|---|
| total chlorophylls a | 2.13 * | 11.70 * | 6.33 * | 2.21 * |
| total carotenoids a | 0.21 | 1.59 | 0.91 | 0.29 |
| total phenolics a | 2.11 | 9.56 | 4.85 | 1.94 |
| total glucosinolates b | 8.62 | 52.89 | 24.49 | 9.41 |
| total anthocyanins a | 0 | 33.80 | 5.41 | 6.75 |
| Pre-Processing Method | Total Chlorophylls | Total Carotenoids | ||||||||||||||||||
|---|---|---|---|---|---|---|---|---|---|---|---|---|---|---|---|---|---|---|---|---|
| Calibration | Validation | Calibration | Validation | |||||||||||||||||
| RC2 * | RMSEC * | RV2 * | RMSEP * | RC2 | RMSEC | RV2 | RMSEP | |||||||||||||
| 1 | 0.6475 | 1.3538 | 0.4066 | 1.6701 | 0.6419 | 0.1267 | 0.4485 | 0.1525 | ||||||||||||
| 2 | 0.6747 | 1.2651 | 0.4145 | 1.6100 | 0.6403 | 0.1270 | 0.4570 | 0.1514 | ||||||||||||
| 3 | 0.6732 | 1.2437 | 0.3893 | 1.6406 | 0.6455 | 0.1272 | 0.4073 | 0.1574 | ||||||||||||
| 4 | 0.7001 | 1.2236 | 0.4818 | 1.5154 | 0.6569 | 0.1056 | 0.4331 | 0.1343 | ||||||||||||
| 5 | 0.6795 | 1.2340 | 0.4589 | 1.5475 | 0.6346 | 0.1077 | 0.4165 | 0.1363 | ||||||||||||
| 6 | 0.6546 | 1.3105 | 0.4278 | 1.6300 | 0.5979 | 0.1086 | 0.3172 | 0.1431 | ||||||||||||
| 7 | 0.2853 | 1.7787 | 0.2121 | 1.8574 | 0.2853 | 1.7787 | 0.2121 | 1.8574 | ||||||||||||
| 8 | 0.6842 | 1.1832 | 0.5350 | 1.4045 | 0.6775 | 0.1040 | 0.4683 | 0.1315 | ||||||||||||
| 9 | 0.2755 | 1.7886 | 0.2160 | 1.8528 | 0.1807 | 0.1500 | 0.1080 | 0.1555 | ||||||||||||
| 10 | 0.6822 | 1.2316 | 0.4384 | 1.5721 | 0.6512 | 0.1087 | 0.3983 | 0.1398 | ||||||||||||
| Pre-Processing Method | Total Phenolics | Total Glucosinolates | Total Anthocyanins | |||||||||||||||||
| Calibration | Validation | Calibration | Validation | Calibration | Validation | |||||||||||||||
| RC2 | RMSEC | RV2 | RMSEP | RC2 | RMSEC | RV2 | RMSEP | RC2 | RMSEC | RV2 | RMSEP | |||||||||
| 1 | 0.7657 | 0.9461 | 0.6625 | 1.1195 | 0.8587 | 3.4785 | 0.7429 | 4.5713 | 0.9296 | 1.5415 | 0.8194 | 2.5925 | ||||||||
| 2 | 0.8322 | 0.7837 | 0.6955 | 1.0571 | 0.8525 | 3.5799 | 0.7365 | 4.6769 | 0.7903 | 2.6361 | 0.6861 | 3.2571 | ||||||||
| 3 | 0.7620 | 0.9911 | 0.6258 | 1.2247 | 0.8352 | 3.8748 | 0.7226 | 4.8702 | 0.6910 | 3.3728 | 0.6255 | 3.7414 | ||||||||
| 4 | 0.8204 | 0.8151 | 0.6909 | 1.0474 | 0.8465 | 3.6502 | 0.7635 | 4.4275 | 0.9312 | 1.5469 | 0.8378 | 2.6025 | ||||||||
| 5 | 0.7563 | 0.9475 | 0.6213 | 1.1641 | 0.8481 | 3.6354 | 0.7350 | 4.6763 | 0.8835 | 1.9652 | 0.7871 | 2.7335 | ||||||||
| 6 | 0.7869 | 0.8908 | 0.6398 | 1.1517 | 0.8237 | 3.8265 | 0.7119 | 4.8708 | 0.9144 | 1.6814 | 0.8273 | 2.4277 | ||||||||
| 7 | 0.6466 | 1.0884 | 0.4591 | 1.3577 | 0.9591 | 1.8771 | 0.6729 | 5.2963 | 0.9273 | 1.8615 | 0.7718 | 3.3002 | ||||||||
| 8 | 0.8157 | 0.8652 | 0.6983 | 1.0794 | 0.8508 | 3.4289 | 0.7827 | 4.0647 | 0.9072 | 2.1886 | 0.7938 | 3.1842 | ||||||||
| 9 | 0.7981 | 0.8477 | 0.4419 | 1.4260 | 0.7414 | 4.7484 | 0.6175 | 5.7491 | 0.8060 | 2.6448 | 0.7150 | 3.2259 | ||||||||
| 10 | 0.7659 | 0.9329 | 0.6647 | 1.0989 | 0.8552 | 3.5580 | 0.7419 | 4.9688 | 0.9102 | 1.7609 | 0.8034 | 2.7358 | ||||||||
Publisher’s Note: MDPI stays neutral with regard to jurisdictional claims in published maps and institutional affiliations. |
© 2022 by the authors. Licensee MDPI, Basel, Switzerland. This article is an open access article distributed under the terms and conditions of the Creative Commons Attribution (CC BY) license (https://creativecommons.org/licenses/by/4.0/).
Share and Cite
Choi, J.-H.; Park, S.H.; Jung, D.-H.; Park, Y.J.; Yang, J.-S.; Park, J.-E.; Lee, H.; Kim, S.M. Hyperspectral Imaging-Based Multiple Predicting Models for Functional Component Contents in Brassica juncea. Agriculture 2022, 12, 1515. https://doi.org/10.3390/agriculture12101515
Choi J-H, Park SH, Jung D-H, Park YJ, Yang J-S, Park J-E, Lee H, Kim SM. Hyperspectral Imaging-Based Multiple Predicting Models for Functional Component Contents in Brassica juncea. Agriculture. 2022; 12(10):1515. https://doi.org/10.3390/agriculture12101515
Chicago/Turabian StyleChoi, Jae-Hyeong, Soo Hyun Park, Dae-Hyun Jung, Yun Ji Park, Jung-Seok Yang, Jai-Eok Park, Hyein Lee, and Sang Min Kim. 2022. "Hyperspectral Imaging-Based Multiple Predicting Models for Functional Component Contents in Brassica juncea" Agriculture 12, no. 10: 1515. https://doi.org/10.3390/agriculture12101515
APA StyleChoi, J.-H., Park, S. H., Jung, D.-H., Park, Y. J., Yang, J.-S., Park, J.-E., Lee, H., & Kim, S. M. (2022). Hyperspectral Imaging-Based Multiple Predicting Models for Functional Component Contents in Brassica juncea. Agriculture, 12(10), 1515. https://doi.org/10.3390/agriculture12101515

