Can Colony Size of Honeybees (Apis mellifera) Be Used as Predictor for Colony Losses Due to Varroa destructor during Winter?
Abstract
1. Introduction
2. Materials and Methods
2.1. Experiment
2.2. Data Collection
2.3. Statistics
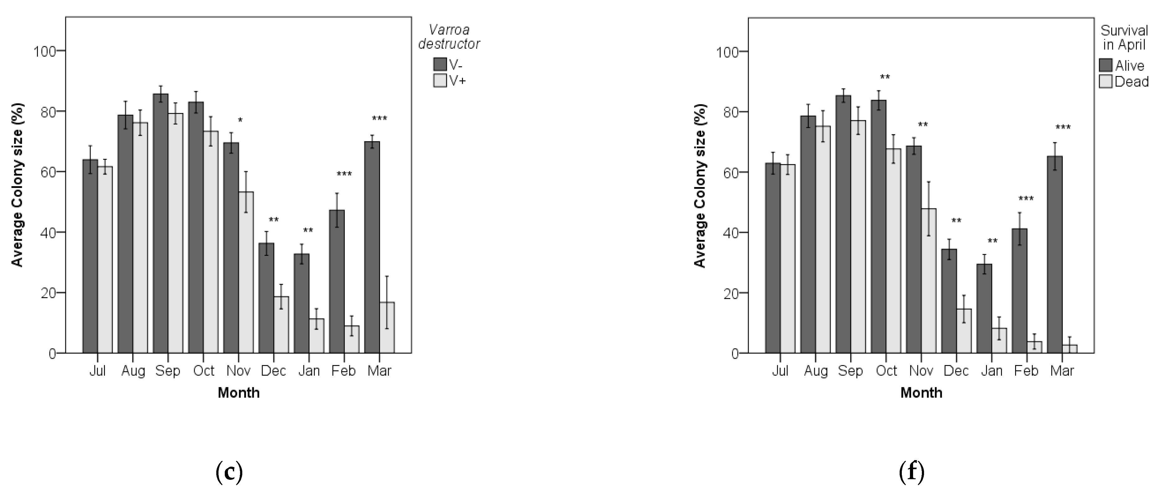
3. Results
4. Discussion
Author Contributions
Funding
Institutional Review Board Statement
Informed Consent Statement
Data Availability Statement
Conflicts of Interest
References
- Van Engelsdorp, D.; Meixner, M.D. A historical review of managed honey bee populations in Europe and the United States and the factors that may affect them. J. Invertebr. Pathol. 2010, 103, 80–95. [Google Scholar] [CrossRef]
- Ryabov, E.V.; Childers, A.K.; Chen, Y.; Madella, S.; Nessa, A.; van Engelsdorp, D.; Evans, J.D. Recent spread of Varroa destructor virus-1, a honey bee pathogen, in the United States. Sci. Rep. 2017, 7, 17447. [Google Scholar] [CrossRef]
- Thoms, C.A.; Nelson, K.C.; Kubas, A.; Steinhauer, N.; Wilson, M.E. Beekeeper stewardship, colony loss, and Varroa destructor management. Ambio 2019, 48, 1209–1218. [Google Scholar] [CrossRef]
- Dainat, B.; Evans, J.D.; Chen, Y.P.; Gauthier, L.; Neumann, P. Predictive markers of honey bee colony collapse. PLoS ONE 2012, 7, e32151. [Google Scholar] [CrossRef] [PubMed]
- Francis, R.M.; Nielsen, S.L.; Kryger, P. Varroa-virus interaction in collapsing honey bee colonies. PLoS ONE 2013, 8, e57540. [Google Scholar] [CrossRef] [PubMed]
- Van Dooremalen, C.; Cornelissen, B.; Poleij-Hok-Ahin, C.; Blacquière, T. Single and interactive effects of Varroa destructor, Nosema spp., and imidacloprid on honey bee colonies (Apis mellifera). Ecosphere 2018, 9, e02378. [Google Scholar] [CrossRef]
- Döke, M.A.; Frazier, M.; Grozinger, C.M. Overwintering honey bees: Biology and management. Curr. Opin. Insect Sci. 2015, 10, 185–193. [Google Scholar] [CrossRef]
- Aizen, M.A.; Harder, L.D. The global stock of domesticated honey bees is growing slower than agricultural demand for pollination. Curr. Biol. 2009, 19, 915–918. [Google Scholar] [CrossRef]
- Ellis, J.D.; Evans, J.D.; Pettis, J. Colony losses, managed colony population decline and Colony Collapse Disorder in the United States. J. Apic. Res. 2010, 49, 134–136. [Google Scholar] [CrossRef]
- Le Conte, Y.; Ellis, M.; Ritter, W. Varroa mites and honey bee health: Can Varroa explain part of the colony losses? Apidologie 2010, 41, 353–363. [Google Scholar] [CrossRef]
- Potts, S.G.; Biesmeijer, J.C.; Kremen, C.; Neumann, P.; Schweiger, O.; Kunin, W.E. Global pollinator declines: Trends, impacts and drivers. Trends Ecol. Evol. 2010, 25, 345–353. [Google Scholar] [CrossRef]
- Rosenkranz, P.; Aumeier, P.; Ziegelmann, B. Biology and control of Varroa destructor. J. Invert. Pathol. 2010, 103, 96–119. [Google Scholar] [CrossRef]
- Delaplane, K.S.; Hood, W.M. Effects of delayed acaricide treatment in honey bee colonies parasitized by Varroa jacobsoni and a late-season treatment threshold for the southeastern USA. J. Apic. Res. 1997, 36, 125–132. [Google Scholar] [CrossRef]
- Currie, R.W.; Gatien, P. Timing acaricide treatments to prevent Varroa destructor (Acari: Varroidae) from causing economic damage to honey bee colonies. Can. Entomol. 2006, 13l8, 238–252. [Google Scholar] [CrossRef]
- Van Dooremalen, C.; Gerritsen, L.; Cornelissen, B.; van der Steen, J.J.M.; van Langevelde, F.; Blacquière, T. Winter survival of individual honey bees and honey bee colonies depends on level of Varroa destructor infestation. PLoS ONE 2012, 7, e36285. [Google Scholar] [CrossRef]
- Braga, A.R.; Gomes, D.G.; Rogers, R.; Hassler, E.E.; Freitas, B.M.; Cazier, J.A. A method for mining combined data from in-hive sensors, weather and apiary inspections to forecast the health status of honey bee colonies. Comput. Electron. Agric. 2020, 169, 105161. [Google Scholar] [CrossRef]
- Sumpter, D.J.T.; Martin, S.J. The dynamics of virus epidemics in varroa-infested honey bee colonies. J. Anim. Ecol. 2004, 73, 51–63. [Google Scholar] [CrossRef]
- Dainat, B.; Evans, J.D.; Chen, Y.P.; Gauthier, L.; Neumann, P. Dead or alive: Deformed wing virus and Varroa destructor reduce the life span of winter honeybees. Appl. Environ. Microbiol. 2012, 78, 981–987. [Google Scholar] [CrossRef]
- Lee, K.V.; Moon, R.D.; Burkness, E.C.; Hutchison, W.D.; Spivak, M. Practical sampling plans for Varroa destructor (Acari: Varroidae) in Apis mellifera (Hymenoptera: Apidae) colonies and apiaries. J. Econ. Entomol. 2010, 103, 1039–1050. [Google Scholar] [CrossRef]
- Dietemann, V.; Nazzi, F.; Martin, S.J.; Anderson, D.L.; BLocke, B.; Delaplane, K.S.; Wauquiez, Q.; Tannahill, C.; Frey, E.; Ziegelmann, B.; et al. Standard methods for varroa research. J. Apic. Res. 2013, 52, 1–54. [Google Scholar] [CrossRef]
- Johnson, R.M.; Evans, J.D.; Robinson, G.E.; Berenbaum, M.R. Changes in transcript abundance relating to colony collapse disorder in honey bees (Apis mellifera). Proc. Nat. Ac. Sci. USA 2009, 106, 14790–14795. [Google Scholar] [CrossRef]
- Genersch, E.; von der Ohe, W.; Kaatz, H.; Schroeder, A.; Otten, C.; Buchler, C.R.; Berg, S.; Ritter, W.; Muhlen, W.; Gisder, S.; et al. The German bee monitoring project: A long term study to understand periodically high winter losses of honey bee colonies. Apidologie 2010, 41, 332–352. [Google Scholar] [CrossRef]
- Meikle, W.G.; Holst, N. Application of continuous monitoring of honeybee colonies. Apidologie 2015, 46, 10–22. [Google Scholar] [CrossRef]
- Meikle, W.G.; Holst, N.; Colin, T.; Weiss, M.; Carroll, M.J.; McFrederick, Q.S.; Barron, A.B. Using within-day hive weight changes to measure environmental effects on honey bee colonies. PLoS ONE 2018, 13, e0197589. [Google Scholar] [CrossRef]
- Ostermann, D.J.; Currie, R.W. Effect of formic acid formulations on honey bee (hymenoptera: Apidae) colonies and influence of colony and ambient conditions on formic acid concentration in the hive. J. Econ. Entomol. 2004, 97, 1500–1508. [Google Scholar] [CrossRef]
- Delaplane, K.S.; van der Steen, J.; Guzman-Novoa, E. Standard methods for estimating strength parameters of Apis mellifera colonies. J. Apic. Res. 2013, 52, 1–12. [Google Scholar] [CrossRef]
- Van der Steen, J.J.M.; Cornelissen, B.; Donders, J.; Blacquière, T.; van Dooremalen, C. How honey bees of successive age classes are distributed over a one storey, ten frames hive. J. Apicult. Res. 2012, 51, 174–178. [Google Scholar] [CrossRef]
- Van Dooremalen, C.; Stam, E.; Gerritsen, L.; Cornelissen, B.; van der Steen, J.; van Langevelde, F.; Blacquière, T. Interactive effect of reduced pollen availability and Varroa destructor infestation limits growth and protein content of young honey bees. J. Insect. Physiol. 2013, 59, 487–493. [Google Scholar] [CrossRef]
- Blanken, L.J.; van Langevelde, F.; van Dooremalen, C. Interaction between Varroa destructor and imidacloprid reduces flight capacity of honeybees. Proc. R. Soc. B Biol. Sci. 2015, 282, 20151738. [Google Scholar] [CrossRef]
- Perry, C.J.; Søvik, E.; Myerscough, M.R.; Barron, A.B. Rapid behavioral maturation accelerates failure of stressed honey bee colonies. Proc. Nat. Acad. Sci. USA 2015, 112, 3427–3432. [Google Scholar] [CrossRef]
- Henry, M.; Beguin, M.; Requier, F.; Rollin, O.; Odoux, J.F.; Aupinel, P.; Aptel, J.; Tchamitchian, S.; Decourtye, A. A common pesticide decreases foraging success and survival in honey bees. Science 2012, 336, 348–350. [Google Scholar] [CrossRef] [PubMed]
- Fries, I.; Hansen, H.; Imdorf, A.; Rosenkranz, P. Swarming in honey bees (Apis mellifera) and Varroa destructor population development in Sweden. Apidologie 2003, 34, 389–398. [Google Scholar] [CrossRef]
- Catania, P.; Vallone, M. Application of a precision apiculture system to monitor honey daily production. Sensors 2020, 20, 2012. [Google Scholar] [CrossRef]
- Henry, E.; Adamchuk, V.; Stanhope, T.; Buddle, C.; Rindlaub, N. Precision apiculture: Development of a wireless sensor network for honeybee hives. Comput. Electron. Agric. 2019, 156, 138–144. [Google Scholar] [CrossRef]





| V+ | V− | |||
|---|---|---|---|---|
| Year | Colony # | Survival | Colony # | Survival |
| 2012 | 10 | 0 | 8 | 8 |
| 2013 | 10 | 2 | 10 | 10 |
| 2014 | 10 | 3 | 10 | 10 |
| Independent Variables | Stat. | Number of Mites | Colony Size (Varroa) | Colony Size (Survival) |
|---|---|---|---|---|
| Year | F | 11.5 | 69.2 | 70.3 |
| p | <0.001 | <0.001 | <0.001 | |
| Month | F | 68.8 | 167.0 | 157.4 |
| p | <0.001 | <0.001 | <0.001 | |
| Varroa | F | 197.1 | 36.6 | - |
| p | <0.001 | <0.001 | - | |
| Survival | F | - | - | 47.3 |
| p | - | - | <0.001 | |
| Year × Month | F | 2.5 | 18.4 | 13.2 |
| p | 0.01 | <0.001 | <0.001 | |
| Year × Varroa | F | 5.1 | 1.6 | - |
| p | 0.01 | 0.21 | - | |
| Year × Survival | F | - | - | 2.0 |
| p | - | - | 0.14 | |
| Month × Varroa | F | 20.6 | 16.6 | - |
| p | <0.001 | <0.001 | - | |
| Month × Survival | F | - | - | 19.4 |
| p | - | - | <0.001 | |
| Year x Month × Varroa | F | 0.51 | 3.4 | - |
| p | 0.84 | <0.001 | - | |
| Year x Month × Survival | F | - | - | 4.5 |
| p | - | - | <0.001 | |
| Estimation method | REML | REML | REML | |
| Transformation | Ln (+0.01) | - | - | |
| n | 312 | 486 | 486 | |
| AIC | 930.5 | 3442.3 | 3423.1 | |
| Repeated Covariance Type | Compound symmetry | Unstructured | Unstructured | |
| Year | |||
|---|---|---|---|
| Month | 2012 | 2013 | 2014 |
| July | 40 | 90 | 80 |
| August | 20 | 80 | 40 |
| September | 0 | 10 | 10 |
| October | 0 | 0 | 10 |
| November | 0 | 0 | 0 |
| December | 0 | 0 | 0 |
Publisher’s Note: MDPI stays neutral with regard to jurisdictional claims in published maps and institutional affiliations. |
© 2021 by the authors. Licensee MDPI, Basel, Switzerland. This article is an open access article distributed under the terms and conditions of the Creative Commons Attribution (CC BY) license (https://creativecommons.org/licenses/by/4.0/).
Share and Cite
van Dooremalen, C.; van Langevelde, F. Can Colony Size of Honeybees (Apis mellifera) Be Used as Predictor for Colony Losses Due to Varroa destructor during Winter? Agriculture 2021, 11, 529. https://doi.org/10.3390/agriculture11060529
van Dooremalen C, van Langevelde F. Can Colony Size of Honeybees (Apis mellifera) Be Used as Predictor for Colony Losses Due to Varroa destructor during Winter? Agriculture. 2021; 11(6):529. https://doi.org/10.3390/agriculture11060529
Chicago/Turabian Stylevan Dooremalen, Coby, and Frank van Langevelde. 2021. "Can Colony Size of Honeybees (Apis mellifera) Be Used as Predictor for Colony Losses Due to Varroa destructor during Winter?" Agriculture 11, no. 6: 529. https://doi.org/10.3390/agriculture11060529
APA Stylevan Dooremalen, C., & van Langevelde, F. (2021). Can Colony Size of Honeybees (Apis mellifera) Be Used as Predictor for Colony Losses Due to Varroa destructor during Winter? Agriculture, 11(6), 529. https://doi.org/10.3390/agriculture11060529

