Effects of Chemical Fertilizer Combined with Organic Fertilizer Application on Soil Properties, Citrus Growth Physiology, and Yield
Abstract
1. Introduction
2. Materials and Methods
2.1. Study Sites and Materials
2.2. Organ Sampling and Nutrient Measurement
2.3. Photosynthesis and Leaf Physiological Parameters
2.4. Soil Physicochemical Properties
2.5. Soil Microbe Properties
2.6. Statistical Analysis
3. Results
3.1. Effect of Different Treatments on Soil Properties and Environment
3.1.1. Soil Physicochemical Properties
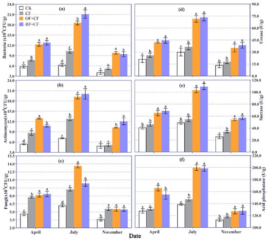
3.1.2. Soil Microbe Properties
3.1.3. Soil Environment
3.2. Effect of Different Treatments on Growth Physiology
3.2.1. Plant Growth
3.2.2. Nutrient Elements
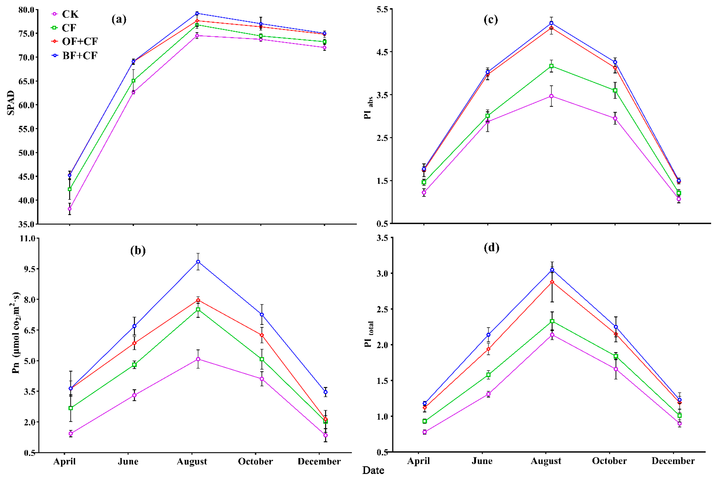
3.2.3. Photosynthesis
3.3. Effect of Different Treatments on Yield of Ponkan
4. Discussion
5. Conclusions
Author Contributions
Funding
Institutional Review Board Statement
Informed Consent Statement
Data Availability Statement
Acknowledgments
Conflicts of Interest
References
- National Bureau of Statistics of the People’s Republic of China. International Statistical Yearbook; China Statistics Press: Beijing, China, 2020. (In Chinese) [Google Scholar]
- National Bureau of Statistics of the People’s Republic of China. China Statistical Yearbook; China Statistics Press: Beijing, China, 2020. (In Chinese) [Google Scholar]
- IBRD. International Bank for Reconstruction and Development. Indicator. 2021. Available online: https://data.worldbank.org/indicator/AG.CON.FERT.ZS?view=chart (accessed on 27 September 2021).
- Yang, Y.; He, Y.; Li, Z. Social capital and the use of organic fertilizer: An empirical analysis of Hubei Province in China. Environ. Sci. Pollut. Res. 2020, 27, 1–12. [Google Scholar] [CrossRef] [PubMed]
- FAOSTAT. Food and Agriculture Organization of the United Nations. Production Module. 2021. Available online: http://www.fao.org/faostat/zh/#data/QCL (accessed on 27 September 2021).
- Liang, S.S. Studies on NPK Fertilization Status and the Potential of Reducing Application Rate in Major Citrus Planting Regions of China. Master’s Thesis, Huazhong Agricultural University, Wuhan, China, 2017. (In Chinese). [Google Scholar]
- Pei, Y.; Wu, Y.P.; Zhang, W.; Jiang, Y.B.; Sun, F.L.; Cheng, Y.F. The impacts of substituting organic fertilizers for chemical fertilizer on fruit, leaf and soil in citrus orchard. Soils Fertil. Sci. China 2021, 4, 88–95. (In Chinese) [Google Scholar]
- Chen, Y.; Hu, S.; Guo, Z.; Cui, T.; Zhang, L.; Lu, C.; Yu, Y.; Luo, Z.; Fu, H.; Jin, Y. Effect of balanced nutrient fertilizer: A case study in Pinggu District, Beijing, China. Sci. Total. Environ. 2021, 754, 142069. [Google Scholar] [CrossRef]
- Gu, B.; Ju, X.; Chang, J.; Ge, Y.; Vitousek, P.M. Integrated reactive nitrogen budgets and future trends in China. Proc. Natl. Acad. Sci. USA 2015, 112, 8792–8797. [Google Scholar] [CrossRef]
- Lv, F.; Song, J.; Giltrap, D.; Feng, Y.; Yang, X.; Zhang, S. Crop yield and N2O emission affected by long-term organic manure substitution fertilizer under winter wheat-summer maize cropping system. Sci. Total. Environ. 2020, 732, 139321. [Google Scholar] [CrossRef] [PubMed]
- Liu, Z.; Wang, S.; Xue, B.; Li, R.; Geng, Y.; Yang, T.; Li, Y.; Dong, H.; Luo, Z.; Tao, W. Emergy-based indicators of the environmental impacts and driving forces of non-point source pollution from crop production in China. Ecol. Indic. 2021, 121, 107023. [Google Scholar] [CrossRef]
- Yang, G.; Tang, H.; Nie, Y.; Zhang, X. Responses of cotton growth, yield, and biomass to nitrogen split application ratio. Eur. J. Agron. 2011, 35, 164–170. [Google Scholar] [CrossRef]
- Wu, H.; Ge, Y. Excessive application of fertilizer, agricultural non-point source pollution, and farmers’ policy choice. Sustainability 2019, 11, 1165. [Google Scholar] [CrossRef]
- Fang, P.; Abler, D.; Lin, G.; Sher, A.; Quan, Q. Substituting organic fertilizer for chemical fertilizer: Evidence from apple growers in China. Land 2021, 10, 858. [Google Scholar] [CrossRef]
- Qiu, F.; Liu, W.; Chen, L.; Wang, Y.; Ma, Y.; Lyu, Q.; Yi, S.; Xie, R.; Zheng, Y. Bacillus subtilis biofertilizer application reduces chemical fertilization and improves fruit quality in fertigated Tarocco blood orange groves. Sci. Hortic. 2021, 281, 110004. [Google Scholar] [CrossRef]
- Chang, K.H.; Wu, R.Y.; Chuang, K.C.; Hsieh, T.F.; Chung, R.S. Effects of chemical and organic fertilizers on the growth, flower quality and nutrient uptake of Anthurium andreanum, cultivated for cut flower production. Sci. Hortic. 2010, 125, 434–441. [Google Scholar] [CrossRef]
- Tejada, M.; Gonzalez, J.L. Effects of the application of a compost originating from crushed cotton gin residues on wheat yield under dryland conditions. Eur. J. Agron. 2003, 19, 357–368. [Google Scholar] [CrossRef]
- Niu, X.S.; Ju, X.T. Organic fertilizer resources and utilization in China. J. Plant Nutr. Fertil. 2017, 23, 1462–1479. (In Chinese) [Google Scholar]
- Xiao, L.; Sun, Q.; Yuan, H.; Lian, B. A practical soil management to improve soil quality by applying mineral organic fertilizer. Acta Geochim. 2017, 36, 198–204. [Google Scholar] [CrossRef]
- Song, H.; Wang, J.; Zhang, K.; Zhang, M.; Hui, R.; Sui, T.; Yang, L.; Du, W.; Dong, Z. A 4-year field measurement of N2O emissions from a maize-wheat rotation system as influenced by partial organic substitution for synthetic fertilizer. J. Environ. Manag. 2020, 263, 110384. [Google Scholar] [CrossRef]
- Yang, Q.; Zheng, F.; Jia, X.; Liu, P.; Dong, S.; Zhang, J.; Zhao, B. The combined application of organic and inorganic fertilizers increases soil organic matter and improves soil microenvironment in wheat-maize field. J. Soils Sediments 2020, 20, 2395–2404. [Google Scholar] [CrossRef]
- Hazarika, T.K.; Aheibam, B. Soil nutrient status, yield and quality of lemon (Citrus limon Burm.) cv. ‘Assam lemon’ as influenced by bio-fertilizers, organics and inorganic fertilizers. J. Plant Nutr. 2019, 42, 853–863. [Google Scholar] [CrossRef]
- Pachuau, R.; Singh, B.; Lalnunpuia, J.; Mawii, L. Effect of organic manures on growth, yield and quality of assam lemon [Citrus limon (L.) Burm.]. Int. J. Curr. Microbiol. Appl. Sci. 2019, 8, 1009–1019. [Google Scholar] [CrossRef]
- Huang, X.; Muneer, M.A.; Li, J.; Hou, W.; Ma, C.; Jiao, J.; Cai, Y.; Chen, X.; Wu, L.; Zheng, C. Integrated nutrient management significantly improves Pomelo (Citrus grandis) root growth and nutrients uptake under acidic soil of southern China. Agronomy 2021, 11, 1231. [Google Scholar] [CrossRef]
- Li, R.; Chang, Y.; Hu, T.; Jiang, X.; Liang, G.; Lu, Z.; Yi, Y.; Guo, Q. Effects of different fertilization treatments on soil, leaf nutrient and fruit quality of citrus Grandis var. Longanyou. World J. Eng. Technol. 2017, 5, 1–14. [Google Scholar] [CrossRef]
- Ghosh, A.; Dey, K.; Bhowmick, N.; Medda, P.S.; Ghosh, S.K. Impact of different pruning severity and nutrient management on growth and yield of lemon cv. Assam lemon (Citrus Limon Burm.). Int. J. Plant Res. 2016, 29, 25. [Google Scholar]
- Lai, D.; Kuang, S.Z.; Xiao, W.Q.; Liu, C.H.; He, H.; Shao, X.H. Effects of organic-inorganic mixed fertilizers substituting chemical fertilizer on Citrus reticulata Tankan Fruit yield, quality and soil nutrients. Guangdong Agric. Sci. 2021, 48, 23–29. (In Chinese) [Google Scholar]
- Hameed, A.; Fatma, S.; Wattoo, J.I.; Yaseen, M.; Ahmad, S. Accumulative effects of humic acid and multinutrient foliar fertilizers on the vegetative and reproductive attributes of citrus (Citrus reticulata cv. kinnow mandarin). J. Plant Nutr. 2018, 41, 2495–2506. [Google Scholar] [CrossRef]
- Elhassan, A.A.M.; El-Tilib, A.M.A.; Ibrahim, H.S.; Hashim, A.A.; Awadelkarim, A.H. Response of foster grapefruit (Citrus paradisi Macf.) to organic and inorganic fertilization in central Sudan. Ann. Agric. Sci. 2011, 56, 37–41. [Google Scholar] [CrossRef][Green Version]
- Lee, J. Effect of application methods of organic fertilizer on growth, soil chemical properties and microbial densities in organic bulb onion production. Sci. Hortic. 2010, 124, 299–305. [Google Scholar] [CrossRef]
- Bao, S.D. Soil and Agricultural Chemistry Analysis; China Agriculture Press: Beijing, China, 2000; pp. 263–270. (In Chinese) [Google Scholar]
- Jiang, W.; Xing, L.; Cui, Y. Enhancing rice production by potassium management: Recommended reasonable fertilization strategies in different inherent soil productivity levels for a sustainable rice production system. Sustainability 2019, 11, 6522. [Google Scholar] [CrossRef]
- Haque, A.N.A.; Uddin, M.K.; Sulaiman, M.F.; Amin, A.M.; Hossain, M.; Aziz, A.A.; Mosharrof, M. Impact of organic amendment with alternate wetting and drying irrigation on rice yield, water use efficiency and physicochemical properties of soil. Agronomy 2021, 11, 1529. [Google Scholar] [CrossRef]
- Ge, S.; Zhu, Z.; Peng, L.; Chen, Q.; Jiang, Y. Soil nutrient status and leaf nutrient diagnosis in the main apple producing regions in China. Hortic. Plant J. 2018, 4, 89–93. [Google Scholar] [CrossRef]
- Hou, Q.; Wang, W.; Yang, Y.; Hu, J.; Bian, C.; Jin, L.; Li, G.; Xiong, X. Rhizosphere microbial diversity and community dynamics during potato cultivation. Eur. J. Soil Biol. 2020, 98, 103176. [Google Scholar] [CrossRef]
- Li, Z.G.; Luo, Y.M.; Teng, Y. Soil and Environmental Microbiology Research; Science Press: Beijing, China, 2008; pp. 53–55. (In Chinese) [Google Scholar]
- Li, X.; Su, Y.; Ahmed, T.; Ren, H.; Javed, M.R.; Yao, Y.; An, Q.; Yan, J.; Li, B. Effects of different organic fertilizers on improving soil from newly reclaimed land to crop soil. Agriculture 2021, 11, 560. [Google Scholar] [CrossRef]
- Kuziemska, B.; Wysokiński, A.; Trębicka, J. The effect of different copper doses and organic fertilisation on soil’s enzymatic activity. Plant Soil Environ. 2020, 66, 93–98. [Google Scholar] [CrossRef]
- Bilalis, D.; Kalivas, A.; Karydogianni, S.; Folina, A.; Ζisi, C.; Kakabouki, I.; Tabaxi, I. Effect of organic fertilization on soil characteristics, yield and quality of Virginia Tobacco in Mediterranean area. Emir. J. Food Agric. 2020, 32, 610–616. [Google Scholar]
- Canali, S.; Di Bartolomeo, E.; Trinchera, A.; Nisini, L.; Tittarelli, F.; Intrigliolo, F.; Roccuzzo, G.; Calabretta, M.L. Effect of different management strategies on soil quality of citrus orchards in Southern Italy. Soil Use Manag. 2009, 25, 34–42. [Google Scholar] [CrossRef]
- Yousefzadeh, S.; Modarres Sanavy, S.A.M.; Govahi, M.; KhatamianOskooie, O.S. Effect of organic and chemical fertilizer on soil characteristics and essential oil yield in dragonhead. J. Plant Nutr. 2015, 38, 1862–1876. [Google Scholar] [CrossRef]
- Valenzuela-García, A.A.; Figueroa-Viramontes, U.; Salazar-Sosa, E.; Orona-Castillo, I.; Gallegos-Robles, M.Á.; García-Hernández, J.L.; Troyo-Diéguez, E. Effect of organic and inorganic fertilizers on the yield and quality of Jalapeño Pepper fruit (Capsicum annuum L.). Agriculture 2019, 9, 208. [Google Scholar] [CrossRef]
- Liang, X.; Chen, Q.; Rana, M.S.; Dong, Z.; Liu, X.; Hu, C.; Tan, Q.; Zhao, X.; Sun, X.; Wu, S. Effects of soil amendments on soil fertility and fruit yield through alterations in soil carbon fractions. J. Soils Sediments 2021, 21, 2628–2638. [Google Scholar] [CrossRef]
- Li, X.; Ding, C.; Zhang, T.; Wang, X. Fungal pathogen accumulation at the expense of plant-beneficial fungi as a consequence of consecutive peanut monoculturing. Soil Biol. Biochem. 2014, 72, 11–18. [Google Scholar] [CrossRef]
- Badiane, N.; Chotte, J.; Pate, E.; Masse, D.; Rouland, C. Use of soil enzyme activities to monitor soil quality in natural and improved fallows in semi-arid tropical regions. Appl. Soil Ecol. 2001, 18, 229–238. [Google Scholar] [CrossRef]
- Morugan-Coronado, A.; Garcia-Orenes, F.; McMillan, M.; Pereg, L. The effect of moisture on soil microbial properties and nitrogen cyclers in Mediterranean sweet orange orchards under organic and inorganic fertilization. Sci. Total Environ. 2019, 655, 158–167. [Google Scholar] [CrossRef]
- Wu, L.; Li, Z.; Zhao, F.; Zhao, B.; Phillip, F.O.; Feng, J.; Liu, H.; Yu, K. Increased organic fertilizer and reduced chemical fertilizer increased fungal diversity and the abundance of beneficial fungi on the grape berry surface in arid areas. Front. Microbiol. 2021, 12, 628503. [Google Scholar] [CrossRef]
- Li, S.T. Effect of Vermicompost Instead of Part Fertilizer on Soil Characters and the Growth and Quality of Flue-Cured Tobacco. Master’s Thesis, Northwest Agricuture and Forest Science and Technology University, Yangling, China, 2018. (In Chinese). [Google Scholar]
- Zhou, M.; Zhu, B.; Wang, S.; Zhu, X.; Vereecken, H.; Brüggemann, N. Stimulation of N2O emission by manure application to agricultural soils may largely offset carbon benefits: A global meta-analysis. Glob. Chang. Biol. 2017, 23, 4068–4083. [Google Scholar] [CrossRef]
- Toma, Y.; Higuchi, T.; Nagata, O.; Kato, Y.; Izumiya, T.; Oomori, S.; Ueno, H. Efflux of soil nitrous oxide from applied fertilizer containing organic materials in Citrus unshiu field in Southwestern Japan. Agriculture 2017, 7, 10. [Google Scholar] [CrossRef]
- Mancinelli, R.; Marinari, S.; Allam, M.; Radicetti, E. Potential role of fertilizer sources and soil tillage practices to mitigate soil CO2 emissions in Mediterranean potato production systems. Sustainability 2020, 12, 8543. [Google Scholar] [CrossRef]
- Ding, H.; Zheng, X.; Zhang, Y.; Zhang, J.; Chen, D. Gaseous losses of fertilizer nitrogen from a citrus orchard in the red soil hilly region of Southeast China. Soil Sci. Plant Nutr. 2017, 63, 419–425. [Google Scholar] [CrossRef]
- Lee, C.; Feyereisen, G.W.; Hristov, A.N.; Dell, C.J.; Kaye, J.; Beegle, D. Effects of dietary protein concentration on ammonia volatilization, nitrate leaching, and plant nitrogen uptake from dairy manure applied to lysimeters. J. Environ. Qual. 2014, 43, 398–408. [Google Scholar] [CrossRef]
- Moreno, T.; Graziella, M.; Elena, B.; Maurizio, Q.; Giovambattista, S.; Enrico, M.; Angelo, I.; Lamberto, D.R. Agro-industry sludge as a potential organic fertilizer for prompt nitrogen release. Commun. Soil Sci. Plant Anal. 2017, 48, 999–1007. [Google Scholar] [CrossRef]
- Liao, H.; Li, Y.; Yao, H. Fertilization with inorganic and organic nutrients changes diazotroph community composition and N-fixation rates. J. Soils Sediments 2017, 18, 1076–1086. [Google Scholar] [CrossRef]
- Wang, Y.; Li, K.; Tanaka, T.S.T.; Yang, D.; Inamura, T. Soil nitrate accumulation and leaching to groundwater during the entire vegetable phase following conversion from paddy rice. Nutr. Cycl. Agroecosystems 2016, 106, 325–334. [Google Scholar] [CrossRef]
- Liu, B.; Wang, X.; Ma, L.; Chadwick, D.; Chen, X. Combined applications of organic and synthetic nitrogen fertilizers for improving crop yield and reducing reactive nitrogen losses from China’s vegetable systems: A meta-analysis. Environ. Pollut. 2021, 269, 116143. [Google Scholar] [CrossRef]
- Zhang, M.; Yao, Y.L.; Zeng, K.; Li, B.Y.; Tian, Y.H.; Yi, B. Study on mechanism of reducing nitrate leaching with organic addition from paddy field in Taihu Lake region. Soils 2020, 52, 766–772. (In Chinese) [Google Scholar]
- Wei, Z.; Ying, H.; Guo, X.; Zhuang, M.; Cui, Z.; Zhang, F. Substitution of mineral fertilizer with organic fertilizer in maize systems: A meta-analysis of reduced nitrogen and carbon emissions. Agronomy 2020, 10, 1149. [Google Scholar] [CrossRef]
- Zhang, M.; Yao, Y.; Tian, Y.; Ceng, K.; Zhao, M.; Zhao, M.; Yin, B. Increasing yield and N use efficiency with organic fertilizer in Chinese intensive rice cropping systems. Field Crop. Res. 2018, 227, 102–109. [Google Scholar] [CrossRef]
- Deng, X.X.; Peng, S.A. Citrus; China Agriculture Press: Beijing, China, 2013; pp. 172–174. (In Chinese) [Google Scholar]
- Kai, T.; Adhikari, D. Effect of organic and chemical fertilizer application on apple nutrient content and orchard soil condition. Agriculture 2021, 11, 340. [Google Scholar] [CrossRef]
- Antolín-Rodríguez, J.M.; Sánchez-Báscones, M.; Martín-Gil, J.; Martín-Ramos, P. Effect of dried pig manure fertilization on barley macronutrients and sodium in a nitrate vulnerable zone. J. Soil Sci. Plant Nutr. 2019, 20, 407–420. [Google Scholar] [CrossRef]
- Agegnehu, G.; Nelson, P.N.; Bird, M.I. Crop yield, plant nutrient uptake and soil physicochemical properties under organic soil amendments and nitrogen fertilization on Nitisols. Soil Tillage Res. 2016, 160, 1–13. [Google Scholar] [CrossRef]
- Geng, Y.; Cao, G.; Wang, L.; Wang, S. Effects of equal chemical fertilizer substitutions with organic manure on yield, dry matter, and nitrogen uptake of spring maize and soil nitrogen distribution. PLoS ONE 2019, 14, e0219512. [Google Scholar] [CrossRef] [PubMed]
- Khehra, S.; Bal, J.S. Influence of combined use of organic, inorganic and biological sources of nutrients on fruit quality in lemon. Int. J. Agric. Environ. Biotechnol. 2016, 9, 85–88. [Google Scholar] [CrossRef]
- Martinez-Alcantara, B.; Martinez-Cuenca, M.R.; Bermejo, A.; Legaz, F.; Quinones, A. Liquid organic fertilizers for sustainable agriculture: Nutrient uptake of organic versus mineral fertilizers in citrus trees. PLoS ONE 2016, 11, e0161619. [Google Scholar] [CrossRef] [PubMed]
- Makino, A. Photosynthesis, grain yield, and nitrogen utilization in rice and wheat. Plant Physiol. 2011, 155, 125–129. [Google Scholar] [CrossRef] [PubMed]
- Appenroth, K.; Stockel, J.; Srivastava, A.; Strasser, R. Multiple effects of chromate on the photosynthetic apparatus of Spirodela polyrhiza as probed by OJIP chlorophyll a fluorescence measurements. Environ. Pollut. 2001, 115, 49–64. [Google Scholar] [CrossRef]
- Xiang, M.; Chen, S.; Wang, L.; Dong, Z.; Huang, J.; Zhang, Y.; Reto, J. Effect of vulculic acid produced by Nimbya alternantherae on the photosynthetic apparatus of Alternanthera philoxeroides. Plant Physiol. Biochem. 2013, 65, 81–88. [Google Scholar] [CrossRef]
- Jiang, D.; Dai, T.; Jing, Q.; Cao, W.; Zhou, Q.; Zhao, H.; Fan, X. Effects of Long-Term Fertilization on Leaf Photosynthetic Characteristics and Grain Yield in Winter Wheat. Photosynthetica 2004, 42, 439–446. [Google Scholar] [CrossRef]
- Zhang, P.; Yang, F.; Zhang, H.; Liu, L.; Liu, X.; Chen, J.; Wang, X.; Wang, Y.; Li, C. Beneficial effects of biochar-based organic fertilizer on nitrogen assimilation, antioxidant capacities, and photosynthesis of sugar beet (Beta vulgaris L.) under saline-alkaline stress. Agronomy 2020, 10, 1562. [Google Scholar] [CrossRef]
- Nguyen, T.T.N.; Wallace, H.M.; Xu, C.; Xu, Z.; Farrar, M.B.; Joseph, S.; Van Zwieten, L.; Bai, S.H. Short-term effects of organo-mineral biochar and organic fertilisers on nitrogen cycling, plant photosynthesis, and nitrogen use efficiency. J. Soils Sediments 2017, 17, 2763–2774. [Google Scholar] [CrossRef]
- Ribeiro, R.V.; Machado, E.C.; Santos, M.G.; Oliveira, R.F. Seasonal and diurnal changes in photosynthetic limitation of young sweet orange trees. Environ. Exp. Bot. 2009, 66, 203–211. [Google Scholar] [CrossRef]
- Zhou, H.M.; Niu, X.L.; Yan, H.; Zhao, L.; Zhao, N.; Xiang, Y.Z. Effects of water and fertilizer coupling on growth and photosynthetic characteristics of young apple tree. J. Henan Agric. Sci. 2019, 48, 112–119. (In Chinese) [Google Scholar]
- Islam, M.; Ferdous, G.; Akter, A.; Hossain, M.; Nandwani, D. Effect of organic, inorganic fertilizers and plant spacing on the growth and yield of cabbage. Agriculture 2017, 7, 31. [Google Scholar] [CrossRef]
- Akosah, D.K.; Adjei-Nsiah, S.; Brentu, F.C. Response of late valencia sweet orange (Citrus Sinensis (L.) Osbeck) to fertilization on acrisols of the semi-deciduous forest agro-ecological zone of Ghana. Commun. Soil Sci. Plant Anal. 2021, 52, 1275–1285. [Google Scholar] [CrossRef]
- Du, Y.X.; Li, J.; Gao, J.Y.; Liu, H.M.; Peng, M.X.; Li, J.X.; Yue, J.Q. Effect of combined application of organic and inorganic fertilizer on yield and quality of Lemon. Chin. Agric. Sci. Bull. 2017, 33, 92–97. (In Chinese) [Google Scholar]
- Li, G.L.; He, Z.H.; Yang, B.M. Effects of organic fertilizer combined with microbial agents on quality and yield of Citrus reticulate Blanco var. Gonggan and soil fertility. Guangdong Agric. Sci. 2019, 46, 60–65. (In Chinese) [Google Scholar]
- Chu, C.B.; Wu, S.H.; Zhang, X.Y.; Zhou, D.P.; Fan, J.Q.; Jiang, Z.F. Effects of application of manure and microbial fertilizer on soil fertility and leaf nutrient. Chin. Agric. Sci. Bull. 2012, 28, 201–205. (In Chinese) [Google Scholar]
- Ye, L.; Zhao, X.; Bao, E.; Li, J.; Zou, Z.; Cao, K. Bio-organic fertilizer with reduced rates of chemical fertilization improves soil fertility and enhances tomato yield and quality. Sci. Rep. 2020, 10, 177. [Google Scholar] [CrossRef] [PubMed]




| Treatment | Organic/Bioorganic Fertilizer Application (kg/Plant) | Nutrient of Organic Fertilizer (kg/Plant) | Nutrient of Chemical Fertilizer (kg/Plant) | Total Amount of Nutrients (kg/Plant) | ||||||
|---|---|---|---|---|---|---|---|---|---|---|
| N | P2O5 | K2O | N | P2O5 | K2O | N | P2O5 | K2O | ||
| CK | 0 | 0 | 0 | 0 | 0 | 0 | 0 | 0 | 0 | 0 |
| CF | 0 | 0.000 | 0.000 | 0.000 | 0.705 | 0.480 | 0.520 | 0.705 | 0.480 | 0.520 |
| OF + CF | 10 | 0.141 | 0.244 | 0.188 | 0.564 | 0.236 | 0.332 | 0.705 | 0.480 | 0.520 |
| BF + CF | 10 | 0.197 | 0.160 | 0.210 | 0.508 | 0.320 | 0.310 | 0.705 | 0.480 | 0.520 |
| Year | Treatment | pH Value | Porosity (%) | Organic Matter (g·kg−1) | Alkali-Hydrolyzable N (mg·kg−1) | Available P (mg·kg−1) | Available K (mg·kg−1) |
|---|---|---|---|---|---|---|---|
| 2019 | CK | 5.01 ± 0.06 ab | 44.23 ± 0.50 b | 20.08 ± 0.41 b | 88.82 ± 5.10 c | 49.45 ± 2.96 c | 188.50 ± 1.45 c |
| CF | 4.90 ± 0.16 b | 44.60 ± 0.61 b | 21.13 ± 1.44 b | 115.43 ± 6.31 b | 51.84 ± 0.72 c | 197.96 ± 1.63 b | |
| OF + CF | 5.11 ± 0.12 a | 47.82 ± 1.39 a | 24.20 ± 1.06 a | 129.80 ± 3.33 a | 69.12 ± 1.15 a | 218.32 ± 4.50 a | |
| BF + CF | 5.18 ± 0.13 a | 48.52 ± 0.59 a | 23.99 ± 0.72 a | 124.54 ± 3.34 a | 61.97 ± 4.48 b | 221.15 ± 5.01 a | |
| 2020 | CK | 4.97 ± 0.09 b | 44.37 ± 1.40 b | 19.52 ± 0.81 c | 86.36 ± 2.96 c | 47.65 ± 3.50 c | 177.76 ± 4.71 c |
| CF | 4.85 ± 0.12 b | 44.21 ± 1.60 b | 20.80 ± 0.70 b | 123.53 ± 8.37 b | 54.15 ± 4.54 b | 196.51 ± 6.13 b | |
| OF + CF | 5.22 ± 0.10 a | 50.95 ± 1.34 a | 25.36 ± 0.82 a | 136.20 ± 3.45 a | 77.33 ± 4.26 a | 228.44 ± 7.23 a | |
| BF + CF | 5.20 ± 0.09 a | 52.46 ± 0.73 a | 25.84 ± 0.43 a | 138.48 ± 4.58 a | 74.79 ± 4.86 a | 230.26 ± 3.69 a |
| Year | Treatment | Area of Leaf (cm2) | Thickness of Hundred Leaves (mm) | Dry Matter of Hundred Leaves (g) | Length of Twigs (cm) |
|---|---|---|---|---|---|
| 2019 | CK | 17.53 ± 0.77 c | 26.74 ± 0.38 c | 15.63 ± 0.52 c | 6.98 ± 0.54 b |
| CF | 18.59 ± 1.06 bc | 27.02 ± 0.35 bc | 17.03 ± 0.19 b | 7.60 ± 0.86 ab | |
| OF + CF | 19.71 ± 1.05 ab | 27.85 ± 0.69 b | 17.75 ± 0.69 ab | 7.96 ± 0.92 ab | |
| BF + CF | 20.78 ± 1.42 a | 28.88 ± 0.74 a | 18.06 ± 0.78 a | 8.50 ± 0.83 a | |
| 2020 | CK | 17.38 ± 0.86 c | 26.00 ± 0.33 c | 14.86 ± 0.62 c | 6.80 ± 0.30 b |
| CF | 18.76 ± 0.33 b | 27.73 ± 0.32 b | 16.52 ± 0.56 b | 7.95 ± 0.10 a | |
| OF + CF | 20.30 ± 0.56 a | 28.50 ± 0.62 a | 17.36 ± 0.35 a | 8.13 ± 0.39 a | |
| BF + CF | 20.34 ± 0.90 a | 28.62 ± 0.42 a | 17.95 ± 0.44 a | 8.38 ± 0.56 a |
| Year | Treatment | Leave | Twigs | ||||
|---|---|---|---|---|---|---|---|
| N (g·kg−1) | P (g·kg−1) | K (g·kg−1) | N (g·kg−1) | P (g·kg−1) | K (g·kg−1) | ||
| CK | 27.95 ± 0.66 b | 1.34 ± 0.16 a | 13.10 ± 0.51 c | 11.17 ± 0.25 b | 0.81 ± 0.06 b | 8.17 ± 0.40 a | |
| 2019 | CF | 29.15 ± 0.55 a | 1.40 ± 0.05 a | 14.23 ± 0.46 b | 11.70 ± 0.37 ab | 0.92 ± 0.07 a | 8.46 ± 0.15 a |
| OF + CF | 29.30 ± 0.15 a | 1.43 ± 0.04 a | 14.75 ± 0.52 ab | 11.85 ± 0.40 a | 0.95 ± 0.08 a | 8.49 ± 0.32 a | |
| BF + CF | 29.47 ± 0.74 a | 1.46 ± 0.02 a | 15.27 ± 0.56 a | 11.97 ± 0.60 a | 0.97 ± 0.04 a | 8.63 ± 0.37 a | |
| 2020 | CK | 27.89 ± 0.53 b | 1.36 ± 0.30 a | 12.38 ± 1.05 c | 11.22 ± 0.40 b | 0.78 ± 0.06 b | 8.20 ± 0.73 b |
| CF | 29.40 ± 0.89 a | 1.43 ± 0.07 a | 14.93 ± 0.52 b | 12.57 ± 0.36 a | 0.88 ± 0.05 a | 8.98 ± 0.23 a | |
| OF + CF | 29.62 ± 0.16 a | 1.41 ± 0.07 a | 15.83 ± 0.14 ab | 12.11 ± 0.13 a | 0.93 ± 0.06 a | 9.01 ± 0.16 a | |
| BF + CF | 29.66 ± 0.87 a | 1.45 ± 0.09 a | 16.03 ± 0.64 a | 12.53 ± 0.71 a | 0.95 ± 0.05 a | 8.92 ± 0.18 a | |
| Year | Treatment | Fruits | Roots | ||||
|---|---|---|---|---|---|---|---|
| N (g·kg−1) | P (g·kg−1) | K (g·kg−1) | N (g·kg−1) | P (g·kg−1) | K (g·kg−1) | ||
| 2019 | CK | 19.17 ± 0.23 d | 1.26 ± 0.05 c | 11.23 ± 0.41 b | 10.82 ± 0.11 b | 0.36 ± 0.02 c | 8.56 ± 0.39 b |
| CF | 19.70 ± 0.48 c | 1.37 ± 0.07 b | 11.71 ± 0.13 b | 11.03 ± 0.44 b | 0.38 ± 0.03 bc | 8.62 ± 0.67 b | |
| OF + CF | 20.77 ± 0.14 b | 1.45 ± 0.02 a | 12.57 ± 0.34 a | 11.46 ± 0.46 ab | 0.41 ± 0.01 ab | 8.87 ± 0.39 b | |
| BF + CF | 21.87 ± 0.31 a | 1.48 ± 0.04 a | 12.73 ± 0.48 a | 11.83 ± 0.56 a | 0.43 ± 0.04 a | 9.72 ± 0.45 a | |
| 2020 | CK | 19.23 ± 0.23 d | 1.29 ± 0.05 c | 11.20 ± 0.56 b | 10.84 ± 1.07 a | 0.33 ± 0.03 c | 8.46 ± 0.32 c |
| CF | 20.19 ± 6.19 c | 1.44 ± 0.05 b | 11.91 ± 0.08 ab | 11.10 ± 0.91 a | 0.36 ± 0.04 bc | 8.86 ± 0.45 bc | |
| OF + CF | 20.94 ± 5.94 b | 1.51 ± 0.02 a | 12.13 ± 0.23 a | 12.14 ± 1.13 a | 0.39 ± 0.02 ab | 9.21 ± 0.33 ab | |
| BF + CF | 22.03 ± 1.03 a | 1.53 ± 0.01 a | 12.35 ± 0.78 a | 12.11 ± 0.17 a | 0.42 ± 0.01 a | 9.65 ± 0.42 a | |
Publisher’s Note: MDPI stays neutral with regard to jurisdictional claims in published maps and institutional affiliations. |
© 2021 by the authors. Licensee MDPI, Basel, Switzerland. This article is an open access article distributed under the terms and conditions of the Creative Commons Attribution (CC BY) license (https://creativecommons.org/licenses/by/4.0/).
Share and Cite
Wan, L.-J.; Tian, Y.; He, M.; Zheng, Y.-Q.; Lyu, Q.; Xie, R.-J.; Ma, Y.-Y.; Deng, L.; Yi, S.-L. Effects of Chemical Fertilizer Combined with Organic Fertilizer Application on Soil Properties, Citrus Growth Physiology, and Yield. Agriculture 2021, 11, 1207. https://doi.org/10.3390/agriculture11121207
Wan L-J, Tian Y, He M, Zheng Y-Q, Lyu Q, Xie R-J, Ma Y-Y, Deng L, Yi S-L. Effects of Chemical Fertilizer Combined with Organic Fertilizer Application on Soil Properties, Citrus Growth Physiology, and Yield. Agriculture. 2021; 11(12):1207. https://doi.org/10.3390/agriculture11121207
Chicago/Turabian StyleWan, Lian-Jie, Yang Tian, Man He, Yong-Qiang Zheng, Qiang Lyu, Rang-Jin Xie, Yan-Yan Ma, Lie Deng, and Shi-Lai Yi. 2021. "Effects of Chemical Fertilizer Combined with Organic Fertilizer Application on Soil Properties, Citrus Growth Physiology, and Yield" Agriculture 11, no. 12: 1207. https://doi.org/10.3390/agriculture11121207
APA StyleWan, L.-J., Tian, Y., He, M., Zheng, Y.-Q., Lyu, Q., Xie, R.-J., Ma, Y.-Y., Deng, L., & Yi, S.-L. (2021). Effects of Chemical Fertilizer Combined with Organic Fertilizer Application on Soil Properties, Citrus Growth Physiology, and Yield. Agriculture, 11(12), 1207. https://doi.org/10.3390/agriculture11121207

