Abstract
Reducing methane (CH4) emission from paddy rice production is an important target for many Asian countries in order to comply with their climate policy commitments. National greenhouse gas (GHG) inventory approaches like the Tier-2 approach of the Intergovernmental Panel on Climate Change (IPCC) are useful to assess country-scale emissions from the agricultural sector. In paddy rice, alternate wetting and drying (AWD) is a promising and well-studied water management technique which, as shown in experimental studies, can effectively reduce CH4 emissions. However, so far little is known about GHG emission rates under AWD when the technique is fully controlled by farmers. This study assesses CH4 and nitrous oxide (N2O) fluxes under continuous flooded (CF) and AWD treatments for seven subsequent seasons on farmers’ fields in a pumped irrigation system in Central Luzon, Philippines. Under AWD management, CH4 emissions were substantially reduced (73% in dry season (DS), 21% in wet season (WS)). In all treatments, CH4 is the major contributor to the total GHG emission and is, thus, identified as the driving force to the global warming potential (GWP). The contribution of N2O emissions to the GWP was higher in CF than in AWD, however, these only offset 15% of the decrease in CH4 emission and, therefore, did not jeopardize the strong reduction in the GWP. The study proves the feasibility of AWD under farmers’ management as well as the intended mitigation effect. Resulting from this study, it is recommended to incentivize dissemination strategies in order to improve the effectiveness of mitigation initiatives. A comparison of single CH4 emissions to calculated emissions with the IPCC Tier-2 inventory approach identified that, although averaged values showed a sufficient degree of accuracy, fluctuations for single measurement points have high variation which limit the use of the method for field-level assessments.
1. Introduction
Agriculture is a considerable source of anthropogenic greenhouse gas (GHG) emissions, making it a major driving force for climate change [1]. In Asia, agricultural production dominated by paddy rice cultivation contributes over 90% to the global rice production and food security [2]. It also contributes largely to the production of GHGs, most importantly methane (CH4) [1]. CH4 is produced anaerobically by methanogenic archae that thrives in flooded soil [3,4]. It is emitted to the environment through diffusion, ebullition, and plant-mediated transport [5].
Besides CH4, nitrous oxide (N2O) is another potent GHG emitted under aerobic soil conditions. N2O emissions are derived from microbial denitrification and is enhanced by field drainage and subsequently soil aeration [6]. Multiple aerations create alternate aerobic and anaerobic conditions, thereby enhancing N2O emission from the soil [6]. CH4 and N2O are relevant GHGs with a global warming potential (GWP) of 28 times (CH4) and 265 times (N2O) greater than carbon dioxide (CO2) within a 100-year time horizon [7].
In the Philippines where rice remains the most important food crop, 70% of the rice area harvested is irrigated [8]. With the increasing population of the country, physical and economic water scarcities threaten food security. Particularly in rapidly urbanizing areas, agriculture is more and more sidelined when it comes to water distribution [9]. Solutions for growing rice with less water are thus urgently in demand. Alternate wetting and drying (AWD) is a management practice that has been developed for irrigated rice in order to reduce water input [10,11]. Instead of growing rice under continuously flooded (CF) conditions, AWD involves several dry phases during the rice growth period. However, field water is kept at a level that enables the rice plant to get sufficient water and not face water stress. This practice of mild or “safe” AWD does not cause any decline in grain yield [12,13].
Another benefit of AWD is that it reduces CH4 emissions from rice paddies. Draining a rice field under AWD aerates the soil which inhibits CH4 production [3], thereby reducing emissions by 50% and more [14]. The potential of AWD to mitigate CH4 emissions has long been seen as a side effect but it is also due to this fact that AWD has received great interest in recent years. As reducing anthropogenic GHG emissions has become a global goal—receiving wide attention after the Paris Agreement [15]—effective mitigation technologies in all sectors are being evaluated. Since the rice subsector stands as a significant source of CH4, AWD can, thus, be an important technology to help achieve national mitigation targets.
The mitigation potential of AWD has been investigated in many studies [16,17,18]. The vast majority of these, however, were conducted under controlled conditions managed by field technicians or researchers. Only a few studies were conducted on farmers’ rice fields [19,20] but none so far have been conducted in the Philippines. It is expected that the diversity of rice farming systems will most likely affect the adoption, implementation, and mitigation potential of AWD. Furthermore, an apprehended increase in N2O emissions under AWD might offset some of the CH4 reductions [21].
This study aims to analyze the effect of AWD in reducing GHG emissions in farmers’ rice fields in Central Luzon (Philippines), the so-called “rice granary” of the Philippines which accounts for 20% of the national rice production [22]. Emissions from farmers’ fields in Tarlac province were analyzed over seven seasons. For each season, rice fields under CF were compared with fields under AWD management with the following objectives:
- Support the establishment of a baseline data of emissions under continuous flooding;
- Assess the mitigation effect of AWD under farmers’ field conditions; and
- Evaluate the feasibility and efficiency of AWD in Central Luzon.
2. Materials and Methods
2.1. Site Description
The experiments were conducted on farmers’ rice fields in the villages (barangays) of Canarem of Victoria municipality (15°35′32.5″ N 120°42′25.2″ E) and Carmen of Anao municipality (15°42′52.2″ N 120°37′31.8″ E) in the province of Tarlac located right at the border to the province of Nueva Ecija (Figure 1).
Figure 1.
Map of the Philippines and location of Tarlac province with a detailed view on the municipal boundaries (green) and the study sites (red circles).
GHG emission rates were recorded in the dry seasons (DS) and wet seasons (WS) from 2012 to 2015. The province of Tarlac has an average annual rainfall of 2013 mm yr–1 and is characterized by very pronounced dry (November–April) and wet (May–October) seasons, during which, on average, nearly 90% of the precipitation (1805 mm) occurs. Mean air temperature is 27.2 °C with low annual variations. An overview of the soil texture and properties of the two experiment sites is shown in Table 1.
Table 1.
Soil properties of the study sites in Tarlac province.
Six fields (plots) of at least 100 m2 each were chosen for each season based on their toposequence in the field, wherein three were managed under conventional water management (i.e., CF) and three under AWD. In the last two seasons (i.e., 2015 DS and 2015 WS), three additional fields were also managed under midseason drainage (MSD). Fields under the same water management practice are called “replicate fields”. The AWD plots were located at the high toposequence of the field where there was good control of water to implement the AWD technique while the CF plots were located at the low toposequence to maintain ponded water during crop growth. This arrangement positioned the fields very close to each other with a distance of less than 25 m within a treatment group and less than 100 m between the three treatments (CF, AWD, and MSD). The predominant irrigation management is regulated by the farmers via pumps. The irrigation water is pumped onto the fields, which floods the fields evenly. Prior to the field experiments, coordination with farmer cooperators (FCs) and onsite briefings were conducted. To ensure and encourage the FCs to implement the AWD and CF treatments, in-kind support such as seeds and fertilizers were given to them. The detailed field management information was left to the farmers who had been introduced to AWD and MSD before. Information on field and crop management is shown in Table 2.
Table 2.
Field and crop management in the dry season (DS) and wet seasons (WS) in Victoria (2012 DS–2013 WS) and Anao (2014 DS–2015 WS), Tarlac.
2.2. Irrigation
Irrigation at both sites is facilitated by a community-owned pump wherein a group of farmers shares the diesel-driven deep-water pump. Each farmer purchases his own diesel to run the pump for the time he irrigates his field. Due to this, these farmers have a high direct incentive to save water, especially because the cost for diesel is the highest field input they have. For example, in Victoria, fuel cost accounts for 26–40% of the total cost of rice production in the dry season [23].
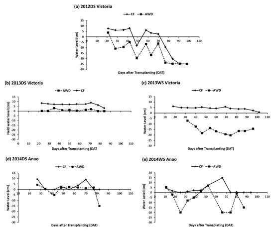
In the AWD fields, perforated plastic tubes (“AWD tubes”, “groundwater observation wells”, or “pani pipes”) were inserted into the field so that the water level below soil surface could be observed. Irrigation water was applied when the water level reached 10–15 cm below soil surface. In the CF fields, a standing water layer of 3–7 cm was maintained throughout the growing season. Around flowering, all AWD field plots were irrigated and continuously flooded to avoid any kind of drought stress during this presumably sensitive phase. One to two weeks before the expected time of harvest, all fields were drained. Field water level was determined via the pani pipes except in 2013 DS when the water level was determined by surface water levels only. In 2012–2014, water levels were observed during the time of GHG sampling (once per week). This made it difficult to assess the field water level between the sampling days. The water levels were, therefore, monitored on a daily basis in both 2015 DS and 2015 WS to provide a data set for further detailed analyses. The field water levels under AWD and CF for all seasons are shown in Figure 2.

Figure 2.
(a–g) Sample of daily field water level collected by farmer cooperators during the field experiments in the wet and dry seasons of 2012–2015. Water levels were collected via perforated plastic pipes in the field, except in 2013 DS when the water level was determined via the surface water level.
2.3. Gas Sampling and Analysis
Gas samples were taken manually during the growth period using the closed chamber technique [24,25]. Round transparent plastic bases (r = 25.3 cm) were installed in the rice fields 1–2 weeks after transplanting and 3 weeks after direct seeding, covering 4 hills each. Three replicate bases per field/plot were installed 1.5–2 m apart from each other. The white top chambers (V = 111.3 L) made of nontransparent plastic were equipped with a battery-operated fan, thermometer, and a red rubber stopper as a sampling port. Once a week, four gas samples were taken with a 60-mL plastic syringe equipped with a stop-cock in 10-min intervals (0, 10, 20, 30 min) after closing the chambers. The gas samples were stored under pressure in 30-mL evacuated glass vials with grey rubber stoppers and screw caps.
The gas samples were analyzed within one week after sampling with a Shimadzu 14B (2012–2013) and SRI GC8610C (SRI Instruments, Torrance, CA, USA; 2014–2015) gas chromatographs (GC) equipped with gas filters (moisture and hydrocarbon), flame ionization detector (FID) for the analysis of CH4, and 63Ni electron capture detector (ECD) for the analysis of N2O. The temperature of the FID was 330 °C and that of the ECD was 350 °C, while the column temperature was set at 70 °C. For both the ECD and FID in the SRI GC, the carrier gas used was nitrogen (N2). In the Shimadzu GC, argon was used as carrier gas for the ECD while N2 was used for the FID. The packing material of the columns for CH4 and N2O analysis was Porapak Q (50–80 mesh; GL Sciences, Shinjuku-ku, Tokyo, Japan) and the length of the columns was 3 m. CH4 and N2O standard gases used for developing new calibration curves every week were purchased from Matheson Tri-Gas (Twinsburg, OH, USA).
2.4. Calculation of Daily and Seasonal Emissions
Following common practices [26], the gas samples were taken between 9 am and 11 am when CH4 flux was expected to be on the daily mean level. The weekly emission results from each three replicate fields were averaged (arithmetic mean) to obtain the seasonal pattern. To calculate the total amount of GHG emission, the total amount from each replicate field was calculated separately and then averaged. This was done to take into account the different season lengths of different replicate fields.
Linear regression of the four measurement points (0, 10, 20, and 30 min) was used to calculate the hourly flux rates based on the ideal gas law, using the chamber air temperature values measured at the time of sampling. To calculate the total amounts of CH4 and N2O emitted for a sampling interval, the trapezoidal integration method (i.e., linear interpolation and numerical integration between sampling times) was used following the steps as described by [25]. The fluxes were virtually set to zero at the day of transplanting and the day of harvest for each season.
To convert CH4 and N2O emissions to CO2 equivalents, conversion factors according to the Fifth Assessment Report of the Intergovernmental Panel on Climate Change (IPCC) were used: GWP (CH4) = 28; GWP (N2O) = 265 [7].
2.5. Grain Yield
At physiological maturity, grain yields were determined from a 5 m−2 crop cut at the center of each field. The harvested samples were threshed, cleaned, and sun dried for 2–3 days. The moisture content of the dried grains was measured using a digital grain moisture meter. Grain yields were determined based on adjustment to 14% moisture content.
2.6. Statistical Analysis
Analysis of variance was performed on GWP CH4, GWP N2O, total GWP, and yield for all treatments over the total growth period of one season using the Statistical Tool for Agriculture, STAR 2.0.1 (IRRI, Los Banos, Philippines, http://bbi.irri.org). Differences among treatment means were analyzed using least significant difference (LSD) test at 5% level of significance.
3. Results
3.1. Seasonal Patterns of CH4 Emissions
Figure 3 shows the CH4 emission rates and cumulative precipitation over three seasons: 2012 DS (a), 2013 DS (b), and 2013 WS (c) in Victoria, Tarlac. Emissions from the CF fields were generally higher than those from the AWD fields. Average daily emissions for CF ranged from 5.4 to 8.8 mg CH4 m−2 h−1 while those for AWD ranged from 2.1 to 3.6 mg CH4 m−2 h−1. In DS, AWD fields showed moderate CH4 fluxes in the beginning of the season but these decreased after 30–40 days after transplanting and then remained low during the rest of the season. In WS, a higher variation of flux rates in CF and AWD was observed throughout the season.
Figure 3.
(a–c) Seasonal variations of CH4 flux and precipitation in Victoria, Tarlac farmers’ fields for 2012 DS (a), 2013 DS (b), and 2013 WS (c) as affected by different water management treatments. Values represent arithmetic means of 3 replicate fields with 3 replicate chambers each. Dotted lines at the beginning and at the end of each season indicate extrapolation of emissions to the transplanting and harvest dates, respectively, when emissions are assumed to be “0”. Grey bars represent average daily precipitation per 10-d interval.
Figure 4 shows the CH4 emission rates and cumulative precipitation over four seasons: 2014 DS (a), 2014 WS (b), 2015 DS (c), and 2015 WS (d) in Anao, Tarlac. CH4 emissions were generally higher in WS than in DS. While the highest emissions in DS ranged from 5 to 8 mg CH4 m−2 h−1, these were still less than the 10 mg CH4 m−2 h−1 recorded in WS. In addition, the difference between the emissions from CF and AWD is more pronounced in DS than in WS.

Figure 4.
(a–d) Seasonal variations of CH4 flux in Anao, Tarlac farmers’ fields for 2014 DS (a), 2014 WS (b), 2015 DS (c), and 2015 WS (d) as affected by different water management treatments. Values represent arithmetic means of 3 replicate fields with 3 replicate chambers each. Dotted lines at the beginning and at the end of each season indicate extrapolation of emissions to the transplanting and harvest dates, respectively, when emissions are assumed to be “0”. Grey bars represent average daily precipitation per 10-d interval.
In 2014 DS, the average emission rates were 2.5 and 0.4 mg CH4 m−2 h−1 for CF and AWD, respectively. In WS, the average emission rates were higher (5.6 and 5.0 mg CH4 m−2 h−1 for CF and AWD, respectively). A higher variation of flux rates was also observed in WS than in DS. In 2015 DS, the average emission rates were 2.6, 0.6, and 2.2 mg CH4 m−2 h−1 for CF, AWD, and MSD, respectively. Average emission rates were again higher in WS (6.1, 5.6, and 6.5 mg CH4 m−2 h−1 for CF, AWD, and MSD, respectively). The observed seasonal flux was very similar across the three treatments in 2015 WS. Throughout the years, precipitation during DS is very limited while high rainfall was observed during WS.
3.2. N2O Emissions
N2O emissions were measured alongside CH4 emissions during all seven seasons. The N2O flux was generally very low (between 0 and ~0.2 mg N2O m−2 h−1) with occasional peaks of up to 0.3 or 0.4 mg N2O m−2 h−1. The highest peak of 0.6 mg N2O m−2 h−1 was recorded in 2013 WS under AWD treatment. The graphs with seasonal emissions can be found in the supplemental material (Figure S1). The highest seasonal N2O emissions were recorded in 2014 DS with 523 and 842 kg CO2eq ha−1 per season in CF and AWD, respectively (Table 3). Seasonal N2O emissions were not significantly different between CF and AWD treatments, except in 2014 DS with 147 and 478 kg CO2eq ha−1 per season, respectively.
Table 3.
Total seasonal CH4 and N2O emissions from the study fields (2012–2015) as affected by different water management treatments.
3.3. Seasonal Cumulative GHG Emissions and GWP
The total seasonal emissions of CH4 and N2O as affected by water management treatments are shown in Table 3. For Victoria covering 2012–2013, CH4 emissions ranged from 3186 to 4754 kg CO2eq ha−1 for the CF plots but were strongly reduced (from 1161 to 2282 kg CO2eq ha−1) for the AWD plots. However, a statistically significant reduction was found only in 2012 DS. No significant difference was found for either season in 2013. An increase of 22–57% in N2O emissions was observed in AWD as compared to CF, however, the difference was not statistically significant.
In 2014 and 2015, the sites in Anao showed much lower emissions in DS (1419 and 1558 kg CO2eq ha−1, respectively) as compared to WS (3545 and 3840 kg CO2eq ha−1, respectively) under CF. In addition, the CH4 reduction potential of AWD was bigger in DS (~80%). However, significant differences in CH4 emissions between CF and AWD could only be found in 2015 DS.
In 2015, MSD was introduced as a third water management treatment. In DS, CH4 emissions under AWD were significantly different from those under CF while MSD showed CH4 emission values in between the two other practices. In WS, CH4 emissions did not show significant differences between any of the treatments. Total CH4 emissions under CF and AWD were very similar comparing DS and WS in 2014 and 2015, respectively. N2O emissions tended to increase in AWD and MSD as compared to CF, but no significant differences were found throughout the experiment.
The contribution of CH4 to the total GWP (Table 3) under CF is between 91 and 96% (73% in 2014 DS). In addition, under AWD the total GWP is mostly determined by CH4 emissions (72–90%) except in 2014 DS and 2015 DS which had a CH4 contribution of 22 and 40%, respectively.
The fact that CH4 is the main contributing GHG to the total GWP under CF is also the reason why the decrease in GWP under AWD is generally of similar magnitude as with the decrease in CH4 emission. However, if CH4 is strongly reduced under AWD such as in 2014 DS and 2015 DS (1419 to 235 kg CO2eq ha−1 and 1558 to 324 kg CO2eq ha−1, respectively), the increased N2O emission under AWD carries more weight and the relative reduction in GWP is lower than the relative reduction in CH4, e.g., 45 and 52% decrease in 2014 DS and 2015 DS, respectively.
The average grain yield from all treatments is given in Table 4. Yields did not vary significantly between any of the treatments within the same season. No yield data has been recorded in 2014 DS due to stem borer damage in the experimental plots. However, we are confident that the recorded GHG emissions still represent a valid comparison of management practices. The low yields in 2014 WS can be explained by inundation of all plots for several days during the reproductive stage caused by typhoon Fung-wong. Given the experimental set-up in our study, the comparison of treatments is clearly discernible for individual data pairs obtained at identical sites and seasons. This focus of our research is also reflected in the objectives stated above. The interpretation of results across sites and seasons, however, has to consider the caveat of being influenced by rice varieties, fertilizer rates, and straw management. As either parameter could have affected GHG emissions in one way or the other, we refrain from conclusions on spatial and interannual comparisons.
Table 4.
Total global warming potential (GWP), grain yield, and yield-scaled GWP in Tarlac farmers’ fields (2012–2015) as affected by different water management treatments.
4. Discussion
The experimental sites were carefully chosen in order to assess the efficiency of AWD in pump irrigation systems where field management was under the complete control of local farmers. From Table 3 it can be seen that the reduction in CH4 under AWD as compared to CF in DS (54–83%; average 73%) is at the higher end compared to findings of other studies [26,27,28] and is also higher than the IPCC default reduction factor (48%) for “multiple drainage” [29]. This is irrespective of the emissions under CF. The high levels of CH4 reduction in DS show that farmers were able to apply AWD effectively. One reason might be the fact that irrigation is being applied by community-owned pumps with farmers paying for the diesel in order to use the pump. Thus, they have a direct profit increase from saving water. In a study conducted by Launio and Manalili [30], deepwell users in Tarlac used 215 L/ha of diesel during DS and 56 L/ha during WS. These amounts of fuel consumption correspond to 568 and 148 kg CO2/ha, respectively, based on a commonly accepted rate of 2.64 kg CO2/liter diesel. Although this is considerably less than the GWP caused by CH4 and N2O emissions (802–5100 kg CO2/ha), potential savings in pumping costs could offer a direct monetary incentive for farmers and also contribute to the overall mitigation by AWD. Thus, this aspect could be seen as an important argument in favor of the adoption of AWD and MSD in pump systems.
The incentive is particularly high in DS when a high amount of irrigation water is being pumped, but it also exists in WS when farmers during times of little rainfall would add water to their fields to keep them flooded.
Although high levels of CH4 reduction were achieved, these were still not always statistically significant. GHG fluxes determined by chamber-based methods often exhibit Coefficients of Variation of 100% and more [31] due to the microbiological nature of CH4 production processes and heterogeneity of soil properties [32]. This can be attributed to the high level of spatial variation in the farmers’ fields. In WS, the CH4 reduction through AWD was lower (9–40%, average 21%) and depended on the amount of precipitation during the growth period. Rice cropping in 2014 WS and 2015 WS experienced a lot of rainfall (~1000 mm) and only 9 and 14% CH4 reduction, respectively, were achieved. In 2013 WS, there was less rainfall and a CH4 reduction of 40% was achieved.
AWD reduced the total GWP (combined CH4 and N2O emissions) as compared to CF. The reduction rate in GWP was slightly lower than the reduction of CH4 alone (45–68% and 6–29% in DS and WS, respectively) due to an increase in N2O emissions by 22–69% in DS and 27–57% in WS. The increase of N2O emissions by AWD only offsets on average ~15% of the decrease in CH4 (11% in DS, 35% in WS) and, therefore, did not jeopardize the GWP reduction effect of AWD. These findings are consistent with those of other studies [27,31,33] in which, despite increased seasonal N2O emissions, AWD was found to be an effective method for mitigating GHG emissions by reducing the overall GWP considered on the basis of CO2-equivalence.
Besides water regime, the amount of available N in the soil is a key driving factor for N2O emissions [6,34,35]. However, the amount of N2O emissions actually released is controlled by multiple factors and their interactions [34], which makes it very difficult to predict under farmers’ management. The results showed no significant difference between CF and AWD for N2O emissions (except in 2015 DS where N2O emissions in AWD were significantly higher than in CF) which can again be attributed to high spatial variation within the experiment fields as well as high temporal variation [6,36]. High Coefficients of Variation within flux results determined by closed chamber methods caused by natural heterogeneity of soil properties [31,32] are also the underlying cause for finding no proportional correlation of N input and N2O emission.
The average “N2O emissions scaling factor” for AWD, describing the weighted impact of the water regime, was determined as 1.75 across all seasons with no substantial differences between dry and wet season or between different sites. In comparison with literature, increase in N2O emissions can be found within a wide range (0.79–2), emphasizing the high variability in N2O fluxes [37,38,39].
In 2015, MSD was implemented as an alternative mitigation option with only a single aeration. In 2015 DS, MSD reduced CH4 emissions by 17% and overall GWP by 12% compared to CF. In WS, MSD had no reducing effect on CH4 emission or GWP. The researchers assume that aeration was insufficient due to frequent rainfall. However, the results still show that MSD is an effective method for reducing GHG emissions in DS with low requirements for farmer intervention.
Importantly, these findings highlight the relevance of incentives for farmers for the implementation and impact of AWD: as assumed, farmers’ direct monetary incentive for AWD implementation substantially contributed to the success of the dissemination and the high GHG mitigation achieved. The lack of incentives has been identified by many authors as a main barrier to the adoption of water management technologies [27,40,41,42]. Li & Barker [43] reported an adoption rate for AWD of about 40% in China’s rice production sites, where volumetric water prices and water consumption associations were identified as drivers for a high adoption rate. With this respect, these current findings are valuable for improving dissemination strategies. Adoption rates of AWD are rather low to date, despite intensified promotional activities by national, international, and nongovernmental organizations as well as research institutions [44]. In summary, the following are recommended to enhance dissemination strategies and maximize the adoption rate for AWD: (I) to link AWD to direct monetary incentives, e.g., saving costs of water pumping or higher yields, for example by including AWD in crop management packages. Some recommendation sets that aim to provide benefits to farmers and the environment include the standard of the Sustainable Rice Platform [45], the “PalayCheck” system of the Philippine Rice Research Institute [46], and the Vietnamese program “1 Must Do, 5 Reductions” [47] as well as the approach by the Barind Multipurpose Development Authority in Bangladesh of basing the payment for irrigation water on a prepaid card system which led to a more economic use of water [48]; and (II) to put greater emphasis on training and extension programs on the additional benefits of AWD and ecosystem services [49] such as increased soil health [50,51], reduced pest and disease infection [52,53], and enhanced system-scale water availability [54].
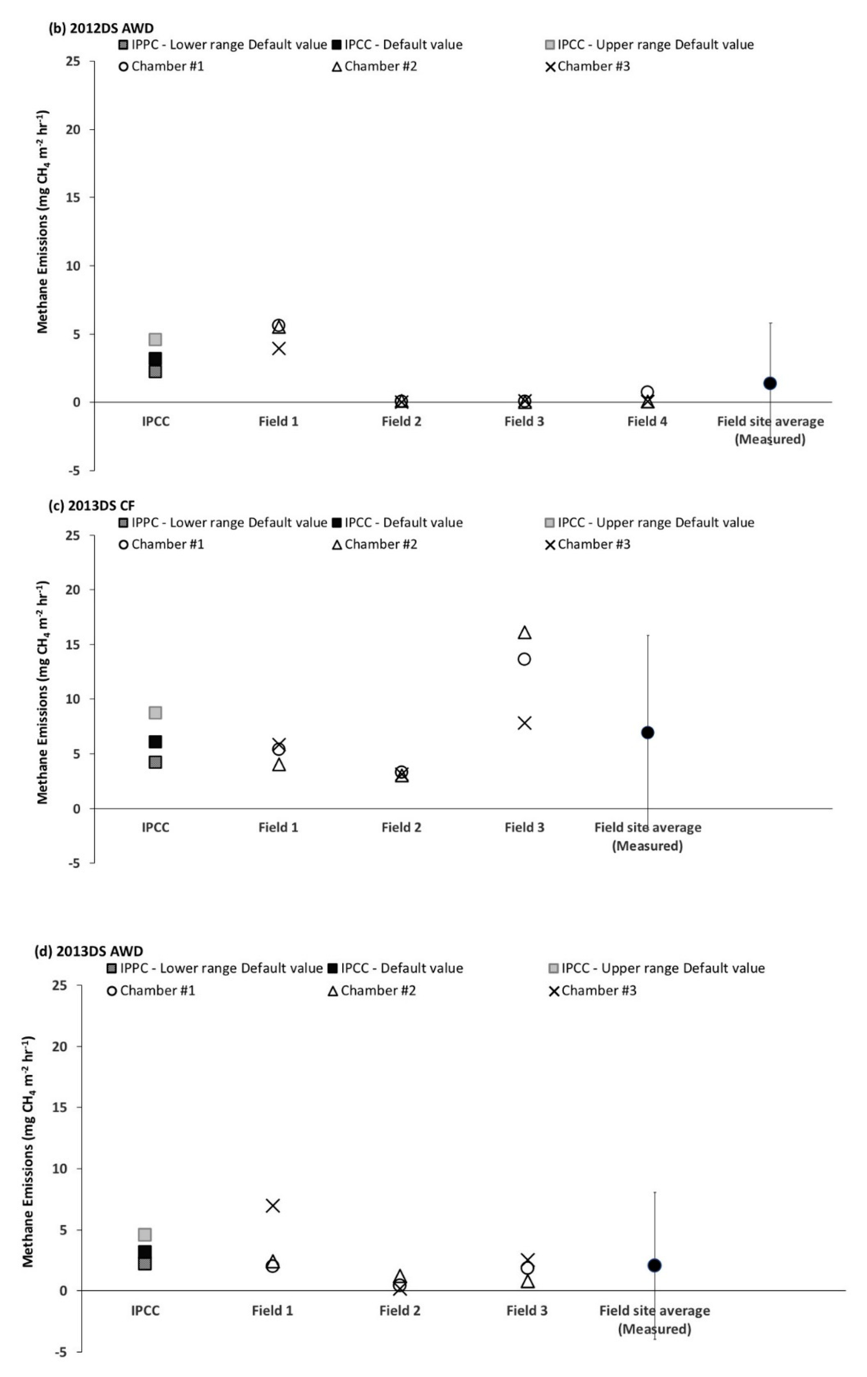
Secondly, these results show that the IPCC Tier-2 GHG inventory approach is not suitable for estimating CH4 emissions for single measurement points; hence, it is not suitable for downscaling CH4 emissions at the field level. This study compared the emissions recorded in 2012 DS and 2013 DS under CF and AWD with the respective IPCC-calculated emissions (Figure 5), taking into account national emission factors (following the Philippines’ Second National Communication to the UNFCCC) (EF 1.46), water balance scaling factors (SFw (CF: SFw = 1 with 0.79 and 1.26 and AWD: SFw = 0.52 with 0.41 and 0.66 with the lower and upper range, respectively)), and the scaling factor for the field condition before the cultivation phase (SFp (SFp = 1, with 0.88 and 1.14 as lower and upper range)):

Figure 5.
(a–d) Comparison of Intergovernmental Panel on Climate Change (IPCC), single field, and site average CH4 emissions for single dry seasons (DS) under Continuous Flooded (CF) and Alternate Wetting and Drying (AWD) treatments. Single field measurements represent the average of chamber emissions (Ch1-Ch3). IPCC emissions were calculated according to Tier-2 taking into account national emission factors1 (EF 1.46), water balance scaling factors (SFw2), and the scaling factor for the water balance before the cultivation phase (SFp3). The upper and lower ranges of IPCC represent aggregated uncertainties of all scaling factors.
In 2012 DS and 2013 DS, the straw was completely removed from the field; it was therefore not considered in the calculation.
5. Conclusions
Mitigation of GHG emissions from rice production is highly important to limit global warming. So far, there was a considerable uncertainty on the scale of the mitigation potential of AWD when fully controlled by farmers. This study, which covers seven seasons under farmers’ management, concludes the following findings: firstly, AWD substantially reduced CH4 emissions and subsequently the GWP during both dry and wet seasons. An increase in N2O emissions under AWD has only offset an average of ~15% of the reduction in CH4 emissions. Linking water saving technologies to benefits, as was the case in both study sites, can enhance adoption rates of mitigation technologies. Thus, identification of targeted incentives for farmers is a highly important objective in improving the success of mitigation actions.
Secondly, this study has shown that field-level variability of CH4 emissions is considerably high and that the IPCC formulas suggested for GHG inventories have a rather low accuracy in estimating point emissions, which underly natural variations and are influenced also by uncontrollable factors like soil properties and weather. The results of IPCC Tier-2 estimates showed reliable accuracy for aggregated data though and emphasize the importance of disaggregated calculation methods. In addition, onsite measurements remain important to verify emission estimates by tools based on the IPCC formulas.
Supplementary Materials
The following are available online at https://www.mdpi.com/2077-0472/10/8/350/s1, Figure S1: Seasonal variations of N2O flux in Victoria, Tarlac farmers’ fields and in Anao, Tarlac farmers’ fields as affected by different water management treatments.
Author Contributions
Conceptualization: C.A.A., B.O.S., and R.W.; methodology: C.A.A., B.O.S., and R.W.; formal analysis: K.S.-P., R.R., B.O.S., and P.S.; investigation, C.A.A., R.R., B.O.S., and E.B.S.; data curation, R.R.; writing—original draft preparation, B.O.S., and P.S.; writing—review and editing, B.O.S. and P.S.; visualization, R.R. and P.S.; supervision, B.O.S., E.B.S., and R.W.; project administration, B.O.S. and R.W.; funding acquisition, B.O.S. and R.W. All authors have read and agreed to the published version of the manuscript.
Funding
This research was funded by the German Federal Ministry for Economic Cooperation and Development (BMZ) and the CGIAR Research Program on Rice. This work was implemented as part of the CGIAR Research Program on Climate Change, Agriculture and Food Security (CCAFS), which is carried out with support from CGIAR fund donors and through bilateral funding agreements. For details please visit https://ccafs.cgiar.org/donors. This study also received support through the Climate and Clean Air Coalition to Reduce Short-lived Climate Pollutants (CCAC). The views expressed in this document cannot be taken to reflect the official opinions of these organizations.
Acknowledgments
We would like to acknowledge Filomena S. Grospe, Mark Everson Casil (PhilRice), and Alvin Butay (Anao Agriculture Office) for their valuable help during the conduct of the study.
Conflicts of Interest
The authors declare no conflict of interest.
References
- Smith, P.; Bustamante, M.; Ahammad, H.; Clark, H.; Dong, H.; Elsiddig, E.A.; Haberl, H.; Harper, R.; House, J.; Jafari, M.; et al. Agriculture, Forestry and Other Land Use (AFOLU). In Climate Change 2014: Mitigation of Climate Change; Edenhofer, O., Pichs-Madruga, R., Sokona, Y., Farahani, E., Kadner, S., Seyboth, K., Adler, A., Eds.; IPCC Working Group III Contribution to AR5; Cambridge University Press: Cambridge, UK, 2014; pp. 811–922. [Google Scholar]
- Global Rice Science Partnership (GRiSP). Rice Almanac; International Rice Research Institute: Los Baños, Laguna, Philippines, 2013; p. 283. [Google Scholar] [CrossRef]
- Denman, K.; Brasseur, G.; Chidthaisong, A.; Ciais, P.; Cox, P.M.; Dickinson, R.E.; Hauglustaine, D.; Heinze, C.; Holland, E.; Jacob, D.; et al. Couplings Between Changes in the Climate System and Biogeochemistry. In Climate Change 2007: The Physical Science BasisContribution of Working Group I to the Fourth Assessment Report of the Intergovernmental Panel on Climate Change; Solomon, S., Qin, D., Manning, M., Chen, Z., Marquis, M., Averyt, K.B., Tignor, M., Miller, H.L., Eds.; Cambridge University Press: Cambridge, UK, 2007. [Google Scholar]
- Epule, E.T.; Peng, C.; Mafany, N.M. Methane emissions from paddy rice fields: Strategies Towards Achieving A Win-Win Sustainability Scenario Between Rice Production and Methane Emission Reduction. J. Sustain. Dev. 2011, 4, 188–196. [Google Scholar] [CrossRef]
- Schuetz, H.; Seiler, W.; Conrad, R. Processes involved in formation and emission of methane in rice paddies. Biogeochemistry 1989, 7, 33–53. [Google Scholar] [CrossRef]
- Cai, Z.; Xing, G.; Yan, X.; Xu, H.; Tsuruta, H.; Yagi, K.; Minami, K. Methane and nitrous oxide emissions from rice paddy fields as affected by nitrogen fertilisers and water management. Plant Soil 1997, 196, 7–14. [Google Scholar] [CrossRef]
- Myhre, G.; Shindell, D.; Bréon, F.-M.; Collins, W.; Fuglestvedt, J.; Huang, J.; Koch, D.; Lamarque, J.-F.; Lee, D.; Mendoza, B.; et al. Anthropogenic and Natural Radiative Forcing. In Climate Change 2013: The Physical Science Basis Contribution of Working Group I to the Fifth Assessment Report of the Intergovernmental Panel on Climate Change; Cambridge University Press: Cambridge, UK, 2013; pp. 659–740. [Google Scholar] [CrossRef]
- FAO. AQUASTAT Main Database, Food and Agriculture Organization of the United Nations (FAO). Available online: http://www.fao.org/aquastat (accessed on 29 October 2018).
- Siopongco, J.D.L.C.; Wassmann, R.; Sander, B.O. Alternate wetting and drying in Philippine rice production: Feasibility study for a Clean Development Mechanism. Tech. Bull. 2013, 17, 14. [Google Scholar]
- Bouman, B.A.M.; Tuong, T.P. Field water management to save water and increase its productivity in irrigated lowland rice. Agric. Water Manag. 2001, 49, 11–30. [Google Scholar] [CrossRef]
- Feng, L.; Bouman, B.A.M.; Tuong, T.P.; Cabangon, R.J.; Li, Y.; Lu, G.; Feng, Y. Exploring options to grow rice using less water in northern China using a modelling approach. I. Field experiments and model evaluation. Agric. Water Manag. 2007, 88, 1–13. [Google Scholar] [CrossRef]
- Cabangon, R.J.; Tuong, T.P.; Castillo, E.G.; Bao, L.X.; Lu, G.; Wang, G.; Cui, Y.; Bouman, B.; Li, Y.; Chen, C.; et al. Effect of irrigation method and N-fertilizer management on rice yield, water productivity and nutrient-use efficiencies in typical lowland rice conditions in China. Paddy Water Environ. 2004, 2, 195–206. [Google Scholar] [CrossRef]
- Carrijo, D.R.; Lundy, M.E.; Linquist, B.A. Rice yields and water use under alternate wetting and drying irrigation: A meta-analysis. Field Crop. Res. 2017, 203, 173–180. [Google Scholar] [CrossRef]
- Yan, X.; Yagi, K.; Akiyama, H.; Akimoto, H. Statistical analysis of the major variables controlling methane emission from rice fields. Glob. Chang. Biol. 2005, 11, 1131–1141. [Google Scholar] [CrossRef]
- Schleussner, C.F.; Rogelj, J.; Schaeffer, M.; Lissner, T.; Licker, R.; Fischer, E.M.; Knutti, R.; Levermann, A.; Frieler, K.; Hare, W. Science and policy characteristics of the Paris Agreement temperature goal. Nat. Clim. Chang. 2016, 6, 827–835. [Google Scholar] [CrossRef]
- Lu, W.F.; Chen, W.; Duan, B.W.; Guo, W.M.; Lu, Y.; Lantin, R.S.; Wassmann, R.; Neue, H.U. Methane emissions and mitigation options in irrigated rice fields in southeast China. Nutr. Cycl. Agroecosyst. 2000, 58, 65–73. [Google Scholar] [CrossRef]
- Mishra, S.; Rath, A.K.; Adhya, T.K.; Rao, V.R.; Sethunathan, N. Effect of continuous and alternate water regimes on methane efflux from rice under greenhouse conditions. Biol. Fertil. Soils. 1997, 24, 399–405. [Google Scholar] [CrossRef]
- Corton, T.M.; Bajita, J.B.; Assis, C.A.; Wassmann, R.; Lantin, R.S.; Buendia, L.V. Methane emission from irrigated and intenively managed rice fields in Central Luzon (Philippines). Nutr. Cycl. Agroecosyst. 2000, 58, 37–53. [Google Scholar] [CrossRef]
- Lagomarsino, A.; Agnelli, A.E.; Linquist, B.; Adviento-Borbe, M.A.; Agnelli, A.; Gavina, G.; Ravaglia, S.; Ferrara, R.M. Alternate wetting and drying of rice reduced CH4 emissions but triggered N2O peaks in a clayey soil of central Italy. Pedosphere 2016, 26, 533–548. [Google Scholar] [CrossRef]
- Swamy, Y.V.; Das, S.N.; Das, R.; Behera, P.K. Assessment of methane from agricultural field during the entire paddy cropping seasons—A case study. Toxicol Environ. Chem. 2007, 89, 269–280. [Google Scholar] [CrossRef]
- Jiao, Z.; Hou, A.; Shi, Y.; Huang, G.; Wang, Y.; Chen, X. Water management influencing methane and nitrous oxide emissions from rice field in relation to soil redox and microbial community. Commun. Soil Sci. Plant Anal. 2006, 37, 1889–1903. [Google Scholar] [CrossRef]
- BAS—Bureau of Agricultural Statistics (Department of Agriculture). BAS’ CountrySTAT Philippines; BAS: Quezon City, Philippines, 2015. Available online: http://countrystat.bas.gov.ph/ (accessed on 22 October 2019).
- Lampayan, R.M.; Palis, F.G.; Flor, R.B.; Bouman, B.A.M.; Quicho, D.; Dios, J.L.; De Espiritu, A.; Sibayan, E.B. Adoption and dissemination of “Safe Alternate Wetting and Drying” in pump irrigated rice areas in the Philippines. In Proceedings of the 60th International Executive Council Meeting and 5th Asian Regional Conference, New Delhi, India, 6–11 December 2009. [Google Scholar]
- Butterbach-Bahl, K.; Sander, B.O.; Pelster, D.; Diaz Pines, E. Quantifying greenhouse gas emissions from soils and manure management. In Methods for Measuring Greenhouse Gas Balances and Evaluating Mitigation Options in Smallholder Agriculture; Rosenstock, T.S., Rufino, M.C., Butterbach-Bahl, K., Wollenberg, L., Richardson, M., Eds.; Springer Nature: Cham, Switzerland, 2016; pp. 71–96. [Google Scholar] [CrossRef]
- Minamikawa, K.; Tokida, T.; Sudo, S.; Padre, A.; Yagi, K. Guidelines for measuring CH4 and N2O emissions from rice paddies by a manually operated closed chamber method. Natl. Inst. Agro-Environ. Sci. (Tsukuba, Japan) 2015. [Google Scholar] [CrossRef]
- Sander, B.O.; Wassmann, R. Common practices for manual greenhouse gas sampling in rice production: A literature study on sampling modalities of the closed chamber method. Greenh. Gas. Mea. Manag. 2014, 4, 1–13. [Google Scholar] [CrossRef]
- Sander, B.O.; Wassmann, R.; Siopongco, D.L.C. Mitigating Greenhouse Gas Emissions from Rice Production through Water-saving Techniques: Potential, Adoption and Empirical Evidence. In Climate Change and Agricultural Water Management in Developing Countries; Hoanh, C.T., Johnston, R., Smakhtin, V., Eds.; CABI: Wallingford, UK, 2016; pp. 193–207. [Google Scholar]
- Tirol-Padre, A.; Minamikawa, K.; Tokida, T.; Wassmann, R.; Yagi, K. Site-specific feasibility of alternate wetting and drying as a greenhouse gas mitigation option in irrigated rice fields in Southeast Asia: A synthesis. Soil Sci. Plant Nutr. 2018, 64, 2–13. [Google Scholar] [CrossRef]
- IPCC. Cropland. In Guidelines for National Greenhouse Gas Inventories; IPCC: Geneva, Switzerland, 2006; pp. 1–66. [Google Scholar] [CrossRef]
- Launio, C.; Manalili, R. Farm-Level Impact of Deepwell Pump Irrigation System Used in Rice-Based Farming in Tarlac, Philippines. In Philippine Rice R&D Highlights 2015; Maligaya Science City of Munoz: Muñoz, Philippines, 2015. [Google Scholar]
- Parkin, T.B.; Venterea, R.T. Chamber-based trace gas flux measurements. In Sampling Protocols; Follet, R.F., Ed.; US Department of Agriculture: Washington, DC, USA, 2010; pp. 3.1–3.39. Available online: https://www.ars.usda.gov/anrds/gracenet/gracenet-protocols/ (accessed on 10 April 2020).
- Butterbach-Bahl, K.; Kiese, R.; Liu, C. Measurements of biosphereeatmosphere exchange of CH4 in terrestrial ecosystems. In Methods in Enzymology, 495th ed.; Rosenzweig, A.C., Ragsdale, S.W., Eds.; Academic Press: Cambridge, MA, USA, 2011; pp. 271–287. [Google Scholar]
- Linquist, B.A.; Anders, M.M.; Adviento-Borbe, M.A.A.; Chaney, R.L.; Nalley, L.L.; da Rosa, E.F.F.; van Kessel, C. Reducing greenhouse gas emissions, water use, and grain arsenic levels in rice systems. Glob. Chang. Biol. 2015, 21, 407–417. [Google Scholar] [CrossRef]
- Bouwman, A.F. Direct emission of nitrous oxide from agricultural soils. Nutr. Cycl. Agroecosyst. 1996, 46, 53–70. [Google Scholar] [CrossRef]
- Smith, C.J.; Patrick, W.H. Nitrous oxide emission as affected by alternate anaerobic and aerobic conditions from soil suspensions enriched with ammonium sulfate. Soil Biol. Biochem. 1983, 15, 693–697. [Google Scholar] [CrossRef]
- Hua, X.; Guangxi, X.; Cai, Z.-C.; Tsuruta, H. Nitrous oxide emissions from three rice paddy fields in China. Nutr. Cycl. Agroecosyst. 1997, 49, 23–28. [Google Scholar] [CrossRef]
- Ali, M.A.; Hoque, M.A.; Kim, P.J. Mitigating global warming potentials of methane and nitrous oxide gases from rice paddies under different irrigation regimes. Ambio 2013, 42, 357–368. [Google Scholar] [CrossRef] [PubMed]
- Sibayan, E.B.; Samoy-Pascual, K.; Grospe, F.S.; Casil, M.E.D.; Tokida, T.; Padre, A.T.; Minamikawa, K. Effects of alternate wetting and drying technique on greenhouse gas emissions from irrigated rice paddy in Central Luzon, Philippines. Soil Sci. Plant Nutr. 2018, 64, 39–46. [Google Scholar] [CrossRef]
- Tran, D.H.; Hoang, T.N.; Tokida, T.; Tirol-Padre, A.; Minamikawa, K. Impacts of alternate wetting and drying on greenhouse gas emission from paddy field in Central Vietnam. Soil Sci. Plant Nutr. 2018, 64, 14–22. [Google Scholar] [CrossRef]
- Dawe, D. Increasing water productivity in rice-based systems in Asia—Past trends, current problems, and future prospects. Plant Prod. Sci. 2005, 8, 221–230. [Google Scholar] [CrossRef]
- Mukherjee, B.; Adhikary, S. Chapter-3 Water efficient rice cultivation: Technological interventions. In Water Efficient Rice Cultivation: Technological Interventions. Agronomy 2019. [Google Scholar] [CrossRef]
- Pearson, K.A.; Millar, G.M.; Norton, G.J.; Price, A.H. Alternate wetting and drying in Bangladesh: Water-saving farming practice and the socioeconomic barriers to its adoption. Food Energy. Secur. 2018, 7, 1–12. [Google Scholar] [CrossRef]
- Li, Y.; Barker, R. Increasing water productivity for paddy irrigation in China. Paddy Water Environ. 2004, 2, 187–193. [Google Scholar] [CrossRef]
- Lampayan, R. Smart Water Technique for Rice; European Initiative for Agricultural Research for Development: Brussels, Belgium, 2013; pp. 1–6. [Google Scholar]
- SRP (The Sustainable Rice Platform). Standard on Sustainable Rice Cultivation. Available online: http://www.sustainablerice.org/Resources/#srp-standard (accessed on 22 October 2019).
- PhilRice (Philippine Rice Research Institute). PalayCheck. 2007. Available online: https://pinoyrice.com/palaycheck (accessed on 22 October 2019).
- Worldbank. A Slogan for Sustainable Agriculture: “Mot Phai, Nam Giam” Rice Production. Available online: https://blogs.worldbank.org/voices/slogan-sustainable-agriculture-mot-phai-nam-giam-rice-production-vietnam (accessed on 22 October 2019).
- Rashid, A.; Hossain, I. Irrigation management system of BMDA: An innovative approach. In Proceedings of the 2nd International Conference on Planning, Architecture & Civil Engineering (ICPACE), Rajshahi, Bangladesh, 7–9 February 2019. [Google Scholar]
- Allen, J.; Sander, B. The Diverse Benefits of Alternate Wetting and Drying (AWD); International Rice Research Institute (IRRI): Los Baños, Laguna, Philippines, 2019; Available online: www.ccafs.cgiar.org (accessed on 10 April 2020).
- Anas, I.; Rupela, O.P.; Thiyagarajan, T.M.; Uphoff, N. A review of studies on SRI effects on beneficial organisms in rice soil rhizospheres. Paddy Water Environ. 2011, 9, 53–64. [Google Scholar] [CrossRef]
- Choosai, C.; Jouquet, P.; Hanboonsong, Y.; Hartmann, C.; Anas, I.; Rupela, O.P.; Thiyagarajan, T.M.; Uphoff, N. Effects of earthworms on soil properties and rice production in the rainfed paddy fields of Northeast Thailand. Appl. Soil Ecol. 2010, 9, 53–64. [Google Scholar] [CrossRef]
- Chapagain, T.; Yamaji, E. The effects of irrigation method, age of seedling and spacing on crop performance, productivity and water-wise rice production in Japan. Paddy Water Environ. 2010, 8, 81–90. [Google Scholar] [CrossRef]
- Zhi, M. Water Efficient Irrigation and Environmentally Ustainable Irrigated Rice Production in China; International Commission on Irrigation and Drainage: New Delhi, India, 2002; pp. 1–15. [Google Scholar]
- Schneider, P.; Sander, B.O.; Wassmann, R.; Asch, F. Potential and versatility of WEAP model (Water Evaluation and Planning System) for hydrological assessments of AWD (Alternate Wetting and Drying) in irrigated rice. Agric. Water Manag. 2019, 224, 105559. [Google Scholar] [CrossRef]
© 2020 by the authors. Licensee MDPI, Basel, Switzerland. This article is an open access article distributed under the terms and conditions of the Creative Commons Attribution (CC BY) license (http://creativecommons.org/licenses/by/4.0/).







