Effects of COMT Genotypes on Working Memory Performance in Fibromyalgia Patients
Abstract
1. Introduction
2. Materials and Methods
2.1. Sample Size Calculation
2.2. Participants
2.3. Procedure
2.4. Self-Reported Measurements and Psychological Pain Assessment
2.5. Neuropsychological Testing of Working Memory
2.6. COMT Genotyping
2.7. Data Analysis
3. Results
3.1. COMT Polymorphism Frequencies
3.2. Statistical Effects in the Neuropsychological Assessment
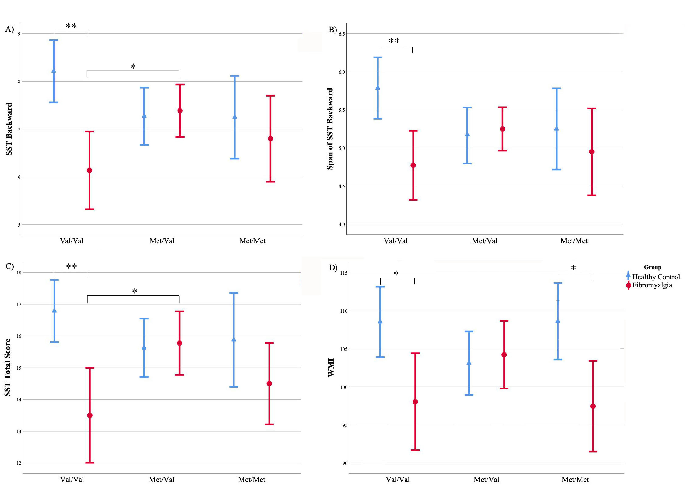
3.3. Effects of Interaction between COMT Genotypes and Group of Participants on Working Memory Performance
3.4. Relationship between the Clinical Variables and Neuropsychological Test Results
3.5. Working Memory Analyses Controlling for the Intake of Psychotropic Drugs
4. Discussion
5. Conclusions
Author Contributions
Funding
Acknowledgments
Conflicts of Interest
References
- Zhang, Y.; Bertolino, A.; Fazio, L.; Blasi, G.; Rampino, A.; Romano, R.; Lee, M.-L.T.; Xiao, T.; Papp, A.; Wang, D.; et al. Polymorphisms in human dopamine D2 receptor gene affect gene expression, splicing, and neuronal activity during working memory. Proc. Natl. Acad. Sci. USA 2007, 104, 20552–20557. [Google Scholar] [CrossRef] [PubMed]
- Sambataro, F.; Reed, J.D.; Murty, V.P.; Das, S.; Tan, H.Y.; Callicott, J.H.; Weinberger, D.R.; Mattay, V.S. Catechol-O-Methyltransferase Valine158Methionine Polymorphism Modulates Brain Networks Underlying Working Memory Across Adulthood. Biol. Psychiatry 2009, 66, 540–548. [Google Scholar] [CrossRef] [PubMed]
- Cassidy, C.M.; Van Snellenberg, J.X.; Benavides, C.; Slifstein, M.; Wang, Z.; Moore, H.; Abi-Dargham, A.; Horga, G. Dynamic Connectivity between Brain Networks Supports Working Memory: Relationships to Dopamine Release and Schizophrenia. J. Neurosci. Off. J. Soc. Neurosci. 2016, 36, 4377–4388. [Google Scholar] [CrossRef] [PubMed]
- Kellendonk, C.; Simpson, E.H.; Polan, H.J.; Malleret, G.; Vronskaya, S.; Winiger, V.; Moore, H.; Kandel, E.R. Transient and Selective Overexpression of Dopamine D2 Receptors in the Striatum Causes Persistent Abnormalities in Prefrontal Cortex Functioning. Neuron 2006, 49, 603–615. [Google Scholar] [CrossRef]
- Cools, R.; D’Esposito, M. Dopaminergic Modulation of Flexible Cognitive Control in Humans. In Dopamine Handbook; Oxford University Press: Oxford, UK, 2009; pp. 249–260. [Google Scholar]
- Cools, R.; D’Esposito, M. Inverted-U–Shaped Dopamine Actions on Human Working Memory and Cognitive Control. Biol. Psychiatry 2011, 69, e113–e125. [Google Scholar] [CrossRef]
- D’Esposito, M.; Postle, B.R. The Cognitive Neuroscience of Working Memory. Annu. Rev. Psychol. 2015, 66, 115–142. [Google Scholar] [CrossRef]
- Gelao, B.; Fazio, L.; Selvaggi, P.; Di Giorgio, A.; Taurisano, P.; Quarto, T.; Romano, R.; Porcelli, A.; Mancini, M.; Masellis, R.; et al. DRD2 genotype predicts prefrontal activity during working memory after stimulation of D2 receptors with bromocriptine. Psychopharmacology 2014, 231, 2361–2370. [Google Scholar] [CrossRef]
- Gosso, M.F.; Geus, E.J.C.D.; Polderman, T.J.C.; Boomsma, D.I.; Heutink, P.; Posthuma, D. Catechol O-methyl transferase and dopamine D2 receptor gene polymorphisms: Evidence of positive heterosis and gene–gene interaction on working memory functioning. Eur. J. Hum. Genet. 2008, 16, 1075–1082. [Google Scholar] [CrossRef]
- Brozoski, T.J.; Brown, R.M.; Rosvold, H.E.; Goldman, P.S. Cognitive deficit caused by regional depletion of dopamine in prefrontal cortex of rhesus monkey. Science 1979, 205, 929–932. [Google Scholar] [CrossRef]
- Naef, M.; Müller, U.; Linssen, A.; Clark, L.; Robbins, T.W.; Eisenegger, C. Effects of dopamine D2/D3 receptor antagonism on human planning and spatial working memory. Transl. Psychiatry 2017, 7, e1107. [Google Scholar] [CrossRef]
- Sawaguchi, T.; Goldman-Rakic, P.S. D1 dopamine receptors in prefrontal cortex: Involvement in working memory. Science 1991, 251, 947–950. [Google Scholar] [CrossRef] [PubMed]
- Kimberg, D.; D’Esposito, M. Cognitive effects of the dopamine receptor agonist pergolide. Neuropsychologia 2003, 41, 1020–1027. [Google Scholar] [CrossRef]
- Mehta, M.A.; Swainson, R.; Ogilvie, A.D.; Sahakian, B.; Robbins, T.W. Improved short-term spatial memory but impaired reversal learning following the dopamine D2 agonist bromocriptine in human volunteers. Psychopharmacology 2001, 159, 10–20. [Google Scholar] [CrossRef] [PubMed]
- Kimberg, D.; D’Esposito, M.; Farah, M. Effects of bromocriptine on human subjects depend on working memory capacity. Neuroreport 1997, 8, 3581–3585. [Google Scholar] [CrossRef]
- Luciana, M.; Collins, P.F. Dopaminergic Modulation of Working Memory for Spatial but Not Object Cues in Normal Humans. J. Cogn. Neurosci. 1997, 9, 330–347. [Google Scholar] [CrossRef]
- Müller, U.; von Cramon, D.Y.; Pollmann, S. D1- versus D2-receptor modulation of visuospatial working memory in humans. J. Neurosci. 1998, 18, 2720–2728. [Google Scholar] [CrossRef]
- Lee, Y.H.; Kim, J.-H.; Song, G.G. Association between the COMT Val158Met polymorphism and fibromyalgia susceptibility and fibromyalgia impact questionnaire score: A meta-analysis. Rheumatol. Int. 2015, 35, 159–166. [Google Scholar] [CrossRef]
- Park, D.J.; Kim, S.H.; Nah, S.S.; Lee, J.H.; Kim, S.K.; Lee, Y.A.; Hong, S.J.; Kim, H.S.; Lee, H.S.; Kim, H.A.; et al. Association between catechol-O-methyl transferase gene polymorphisms and fibromyalgia in a Korean population: A case-control study. Eur. J. Pain 2016, 20, 1131–1139. [Google Scholar] [CrossRef]
- Markett, S.A.; Montag, C.; Reuter, M. The association between dopamine DRD2 polymorphisms and working memory capacity is modulated by a functional polymorphism on the nicotinic receptor gene CHRNA4. J. Cogn. Neurosci. 2010, 22, 1944–1954. [Google Scholar] [CrossRef]
- Durstewitz, D.; Seamans, J.K. The Dual-State Theory of Prefrontal Cortex Dopamine Function with Relevance to Catechol- O-Methyltransferase Genotypes and Schizophrenia. Biol. Psychiatry 2008, 64, 739–749. [Google Scholar] [CrossRef]
- Bannon, M.; Roth, R. Pharmacology of mesocortical dopamine neurons. Pharmacol. Rev. 1983, 35, 53–68. [Google Scholar] [PubMed]
- Bertolino, A.; Rubino, V.; Sambataro, F.; Blasi, G.; Latorre, V.; Fazio, L.; Caforio, G.; Petruzzella, V.; Kolachana, B.; Hariri, A.; et al. Prefrontal-Hippocampal Coupling During Memory Processing Is Modulated by COMT Val158Met Genotype. Biol. Psychiatry 2006, 60, 1250–1258. [Google Scholar] [CrossRef] [PubMed]
- Smolka, M.N.; Schumann, G.; Wrase, J.; Grüsser, S.M.; Flor, H.; Mann, K.; Braus, D.F.; Goldman, D.; Büchel, C.; Heinz, A. Catechol-O-Methyltransferase val158met Genotype Affects Processing of Emotional Stimuli in the Amygdala and Prefrontal Cortex. J. Neurosci. 2005, 25, 836–842. [Google Scholar] [CrossRef] [PubMed]
- García-Fructuoso, F.J.; Lao-Villadóniga, J.I.; Beyer, K.; Santos, C. Relación entre genotipos del gen catecol O-metiltransferasa y la gravedad de la fibromialgia. Reumatol. Clin. 2006, 2, 168–172. [Google Scholar] [CrossRef]
- Nagel, I.E.; Chicherio, C.; Li, S.-C.; von Oertzen, T.; Sander, T.; Villringer, A.; Heekeren, H.R.; Bäckman, L.; Lindenberger, U. Human aging magnifies genetic effects on executive functioning and working memory. Front. Hum. Neurosci. 2008, 2, 1–8. [Google Scholar] [CrossRef] [PubMed]
- Chen, J.; Lipska, B.K.; Halim, N.; Ma, Q.D.; Matsumoto, M.; Melhem, S.; Kolachana, B.S.; Hyde, T.M.; Herman, M.M.; Apud, J.; et al. Functional Analysis of Genetic Variation in Catechol-O-Methyltransferase (COMT): Effects on mRNA, Protein, and Enzyme Activity in Postmortem Human Brain. Am. J. Hum. Genet. 2004, 75, 807–821. [Google Scholar] [CrossRef]
- Bruder, G.E.; Keilp, J.G.; Xu, H.; Shikhman, M.; Schori, E.; Gorman, J.M.; Gilliam, T.C. Catechol-O-Methyltransferase (COMT) Genotypes and Working Memory: Associations with Differing Cognitive Operations. Biol. Psychiatry 2005, 58, 901–907. [Google Scholar] [CrossRef]
- Bertolino, A.; Blasi, G.; Latorre, V.; Rubino, V.; Rampino, A.; Sinibaldi, L.; Caforio, G.; Petruzzella, V.; Pizzuti, A.; Weinberger, D.R.; et al. Additive Effects of Genetic Variation in Dopamine Regulating Genes on Working Memory Cortical Activity in Human Brain. J. Neurosci. 2006, 26, 3918–3922. [Google Scholar] [CrossRef]
- Aguilera, M.; Barrantes-Vidal, N.; Arias, B.; Moya, J.; Villa, H.; Ibáñez, M.I.; Ruipérez, M.A.; Ortet, G.; Fañanás, L. Putative role of the COMT gene polymorphism (Val158Met) on verbal working memory functioning in a healthy population. Am. J. Med. Genet. Part B Neuropsychiatr. Genet. 2008, 147B, 898–902. [Google Scholar] [CrossRef]
- de Frias, C.M.; Annerbrink, K.; Westberg, L.; Eriksson, E.; Adolfsson, R.; Nilsson, L.-G. Catechol O-Methyltransferase Val 158 Met Polymorphism is Associated with Cognitive Performance in Nondemented Adults. J. Cogn. Neurosci. 2005, 17, 1018–1025. [Google Scholar] [CrossRef]
- Meyer-Lindenberg, A.; Nichols, T.; Callicott, J.H.; Ding, J.; Kolachana, B.; Buckholtz, J.; Mattay, V.S.; Egan, M.; Weinberger, D.R. Impact of complex genetic variation in COMT on human brain function. Mol. Psychiatry 2006, 11, 867–877. [Google Scholar] [CrossRef] [PubMed]
- Mattay, V.S.; Goldberg, T.E.; Fera, F.; Hariri, A.R.; Tessitore, A.; Egan, M.F.; Kolachana, B.; Callicott, J.H.; Weinberger, D.R. Catechol O-methyltransferase val158-met genotype and individual variation in the brain response to amphetamine. Proc. Natl. Acad. Sci. USA 2003, 100, 6186–6191. [Google Scholar] [CrossRef] [PubMed]
- Goldberg, T.E.; Egan, M.F.; Gscheidle, T.; Coppola, R.; Weickert, T.; Kolachana, B.S.; Goldman, D.; Weinberger, D.R. Executive Subprocesses in Working Memory. Arch. Gen. Psychiatry 2003, 60, 889–896. [Google Scholar] [CrossRef] [PubMed]
- Malhotra, A.K.; Kestler, L.J.; Mazzanti, C.; Bates, J.A.; Goldberg, T.; Goldman, D. A Functional Polymorphism in the COMT Gene and Performance on a Test of Prefrontal Cognition. Am. J. Psychiatry 2002, 159, 652–654. [Google Scholar] [CrossRef]
- Egan, M.F.; Goldberg, T.E.; Kolachana, B.S.; Callicott, J.H.; Mazzanti, C.M.; Straub, R.E.; Goldman, D.; Weinberger, D.R. Effect of COMT Val108/158 Met genotype on frontal lobe function and risk for schizophrenia. Proc. Natl. Acad. Sci. USA 2001, 98, 6917–6922. [Google Scholar] [CrossRef]
- Matsuzaka, C.T.; Christofolini, D.; Ota, V.K.; Gadelha, A.; Berberian, A.A.; Noto, C.; Mazzotti, D.R.; Spindola, L.M.; Moretti, P.N.; Smith, M.A.C.; et al. Catechol-O-methyltransferase (COMT) polymorphisms modulate working memory in individuals with schizophrenia and healthy controls. Rev. Bras. Psiquiatr. 2017, 39, 302–308. [Google Scholar] [CrossRef]
- Mestrovic, A.H.; Tudor, L.; Nikolac Perkovic, M.; Nedic Erjavec, G.; Kovacic Petrovic, Z.; Svob Strac, D.; Konjevod, M.; Pivac, N. Significant association between catechol-O-methyltransferase (COMT) Val158/108Met polymorphism and cognitive function in veterans with PTSD. Neurosci. Lett. 2018, 666, 38–43. [Google Scholar] [CrossRef]
- Diaz-Asper, C.M.; Goldberg, T.E.; Kolachana, B.S.; Straub, R.E.; Egan, M.F.; Weinberger, D.R. Genetic Variation in Catechol-O-Methyltransferase: Effects on Working Memory in Schizophrenic Patients, Their Siblings, and Healthy Controls. Biol. Psychiatry 2008, 63, 72–79. [Google Scholar] [CrossRef]
- Tunbridge, E.M.; Harrison, P.J.; Weinberger, D.R. Catechol-o-Methyltransferase, Cognition, and Psychosis: Val158Met and Beyond. Biol. Psychiatry 2006, 60, 141–151. [Google Scholar] [CrossRef]
- Barbosa, F.R.; Matsuda, J.B.; Mazucato, M.; de Castro França, S.; Zingaretti, S.M.; da Silva, L.M.; Martinez-Rossi, N.M.; Júnior, M.F.; Marins, M.; Fachin, A.L. Influence of catechol-O-methyltransferase (COMT) gene polymorphisms in pain sensibility of Brazilian fibromialgia patients. Rheumatol. Int. 2012, 32, 427–430. [Google Scholar] [CrossRef]
- Cohen, H.; Neumann, L.; Glazer, Y.; Ebstein, R.P.; Buskila, D. The relationship between a common catechol-O-methyltransferase (COMT) polymorphism val158met and fibromyalgia. Clin. Exp. Rheumatol. 2009, 27, S51–S56. [Google Scholar] [PubMed]
- Martínez-Jauand, M.; Sitges, C.; Rodríguez, V.; Picornell, A.; Ramon, M.; Buskila, D.; Montoya, P. Pain sensitivity in fibromyalgia is associated with catechol-O- methyltransferase (COMT) gene. Eur. J. Pain 2013, 17, 16–27. [Google Scholar] [CrossRef] [PubMed]
- Fernández-De-Las-Peñas, C.; Ambite-Quesada, S.; Gil-Crujera, A.; Cigarán-Méndez, M.; Peñacoba-Puente, C. Catechol-O-methyltransferase Val158Met polymorphism influences anxiety, depression, and disability, but not pressure pain sensitivity, in women with fibromyalgia syndrome. J. Pain 2012, 13, 1068–1074. [Google Scholar] [CrossRef] [PubMed]
- Desmeules, J.; Chabert, J.; Rebsamen, M.; Rapiti, E.; Piguet, V.; Besson, M.; Dayer, P.; Cedraschi, C. Central Pain Sensitization, COMT Val158Met Polymorphism, and Emotional Factors in Fibromyalgia. J. Pain 2014, 15, 129–135. [Google Scholar] [CrossRef]
- Kravitz, H.M.; Katz, R.S. Fibrofog and fibromyalgia: A narrative review and implications for clinical practice. Rheumatol. Int. 2015, 35, 1115–1125. [Google Scholar] [CrossRef]
- Wolfe, F.; Clauw, D.J.; Fitzcharles, M.A.; Goldenberg, D.L.; Katz, R.S.; Mease, P.; Russell, A.S.; Russell, I.J.; Winfield, J.B.; Yunus, M.B. The American College of Rheumatology Preliminary Diagnostic Criteria for Fibromyalgia and Measurement of Symptom Severity. Arthritis Care Res. 2010, 62, 600–610. [Google Scholar] [CrossRef]
- Wolfe, F.; Clauw, D.; Fitzcharles, M.A.; Goldenberg, D.L.; Häuser, W.; Katz, R.; Mease, P.J.; Russell, A.S.; Russell, I.J.; Walitt, B. 2016 Revisions to the 2010/2011 fibromyalgia diagnostic criteria. Semin. Arthritis Rheum. 2016, 46, 319–329. [Google Scholar] [CrossRef]
- Arnold, L.M.; Crofford, L.J.; Mease, P.J.; Burgess, S.M.; Palmer, S.C.; Abetz, L.; Martin, S.A. Patient perspectives on the impact of fibromyalgia. Patient Educ. Couns. 2008, 73, 114–120. [Google Scholar] [CrossRef]
- Borg, C.; Emond, F.C.; Colson, D.; Laurent, B.; Michael, G.A. Attentional focus on subjective interoceptive experience in patients with fibromyalgia. Brain Cogn. 2015, 101, 35–43. [Google Scholar] [CrossRef]
- González, J.L.; Mercado, F.; Barjola, P.; Carretero, I.; López-López, A.; Bullones, M.A.; Fernández-Sánchez, M.; Alonso, M. Generalized hypervigilance in fibromyalgia patients: An experimental analysis with the emotional Stroop paradigm. J. Psychosom. Res. 2010, 69, 279–287. [Google Scholar] [CrossRef]
- Carrillo de la Peña, M.T.; Vallet, M.; Pérez, M.I.I.; Gómez-Perretta, C. Intensity Dependence of Auditory-Evoked Cortical Potentials in Fibromyalgia Patients: A Test of the Generalized Hypervigilance Hypothesis. J. Pain 2006, 7, 480–487. [Google Scholar] [CrossRef] [PubMed]
- Leavitt, F.; Katz, R.S. Distraction as a key determinant of impaired memory in patients with fibromyalgia. J. Rheumatol. 2006, 33, 127–132. [Google Scholar] [PubMed]
- Mercado, F.; González, J.L.; Barjola, P.; Fernández-Sánchez, M.; López-López, A.; Alonso, M.; Gómez-Esquer, F. Brain correlates of cognitive inhibition in fibromyalgia: Emotional intrusion of symptom-related words. Int. J. Psychophysiol. 2013, 88, 182–192. [Google Scholar] [CrossRef] [PubMed]
- Kim, S.-H.; Kim, S.-H.; Kim, S.-K.; Nam, E.J.; Han, S.W.; Lee, S.J. Spatial versus verbal memory impairments in patients with fibromyalgia. Rheumatol. Int. 2012, 32, 1135–1142. [Google Scholar] [CrossRef]
- Verdejo-García, A.; López-Torrecillas, F.; Calandre, E.P.; Delgado-Rodríguez, A.; Bechara, A. Executive Function and Decision-Making in Women with Fibromyalgia. Arch. Clin. Neuropsychol. 2009, 24, 113–122. [Google Scholar] [CrossRef]
- Walteros, C.; Sánchez-Navarro, J.P.; Muñoz, M.A.; Martínez-Selva, J.M.; Chialvo, D.; Montoya, P. Altered associative learning and emotional decision making in fibromyalgia. J. Psychosom. Res. 2011, 70, 294–301. [Google Scholar] [CrossRef]
- Samartin-Veiga, N.; González-Villar, A.J.; Carrillo-de-la-Peña, M.T. Neural correlates of cognitive dysfunction in fibromyalgia patients: Reduced brain electrical activity during the execution of a cognitive control task. NeuroImage Clin. 2019, 23, 101817. [Google Scholar] [CrossRef]
- Di Tella, M.; Castelli, L.; Colonna, F.; Fusaro, E.; Torta, R.; Ardito, R.B.; Adenzato, M. Theory of mind and emotional functioning in Fibromyalgia syndrome: An investigation of the relationship between social cognition and executive function. PLoS ONE 2015, 10, 1–16. [Google Scholar] [CrossRef]
- Akdoǧan, S.; Ayhan, F.F.; Yildirim, Ş.; Borman, P. Impact of fatigue on cognitive functioning among premenopausal women with fibromyalgia syndrome and rheumatoid arthritis: The controlled study. J. Musculoskelet. Pain 2013, 21, 135–146. [Google Scholar] [CrossRef]
- Bertolucci, P.H.F.; Oliveira, F.F. Cognitive Impairment in Fibromyalgia. Curr. Pain Headache Rep. 2013, 17, 344. [Google Scholar] [CrossRef]
- Gelonch, O.; Garolera, M.; Valls, J.; Rosselló, L.; Pifarré, J. Cognitive complaints in women with fibromyalgia: Are they due to depression or to objective cognitive dysfunction? J. Clin. Exp. Neuropsychol. 2017, 39, 1013–1025. [Google Scholar] [CrossRef] [PubMed]
- Tesio, V.; Torta, D.M.E.; Colonna, F.; Leombruni, P.; Ghiggia, A.; Fusaro, E.; Geminiani, G.C.; Torta, R.; Castelli, L. Are Fibromyalgia Patients Cognitively Impaired? Objective and Subjective Neuropsychological Evidence. Arthritis Care Res. 2015, 67, 143–150. [Google Scholar] [CrossRef] [PubMed]
- Wood, P.B.; Glabus, M.F.; Simpson, R.; Patterson, J.C. Changes in Gray Matter Density in Fibromyalgia: Correlation With Dopamine Metabolism. J. Pain 2009, 10, 609–618. [Google Scholar] [CrossRef] [PubMed]
- Owen, A.M.; McMillan, K.M.; Laird, A.R.; Bullmore, E. N-back working memory paradigm: A meta-analysis of normative functional neuroimaging studies. Hum. Brain Mapp. 2005, 25, 46–59. [Google Scholar] [CrossRef]
- Bush, G.; Luu, P.; Posner, M.I. Cognitive and emotional influences in anterior cingulate cortex. Trends Cogn. Sci. 2000, 4, 215–222. [Google Scholar] [CrossRef]
- Albrecht, D.S.; MacKie, P.J.; Kareken, D.A.; Hutchins, G.D.; Chumin, E.J.; Christian, B.T.; Yoder, K.K. Differential dopamine function in fibromyalgia. Brain Imaging Behav. 2016, 10, 829–839. [Google Scholar] [CrossRef]
- Faul, F.; Erdfelder, E.; Lang, A.-G.; Buchner, A. G*Power 3: A flexible statistical power analysis program for the social, behavioral, and biomedical sciences. Behav. Res. Methods 2007, 39, 175–191. [Google Scholar] [CrossRef]
- Spielberger, C.D.; Gorsuch, R.L.; Lushene, R. Manual del Cuestionario de Ansiedad Estado/Rasgo (STAI); TEA Ediciones: Madrid, Spain, 1982. [Google Scholar]
- Sanz, J.; Perdigón, A.L.; Vázquez, C. Adaptación española del Inventario para la Depresi ó n de Beck-II (BDI-II): 2 Propiedades psicométricas en población general. Clin. y Salud 2003, 14, 249–280. [Google Scholar]
- Rivera, J.; González, T. The Fibromyalgia Impact Questionnaire: A validated Spanish version to assess the health status in women with fibromyalgia. Clin. Exp. Rheumatol. 2004, 22, 554–560. [Google Scholar]
- Wechsler, D. WMS-III: Escala de memoria de Wechsler-III; TEA: Madrid, Spain, 2004. [Google Scholar]
- Iverson, G.L. Interpreting change on the WAIS-III/WMS-III in clinical samples. Arch. Clin. Neuropsychol. 2001, 16, 183–191. [Google Scholar] [CrossRef]
- Tirapu-Ustárroz, J.; Muñoz-Céspedes, J.M.; Pelegrín-Valero, C.; Albéniz-Ferreras, A. Propuesta de un protocolo para la evaluación de las funciones ejecutivas. Rev. Neurol. 2005, 41, 177–186. [Google Scholar] [CrossRef] [PubMed]
- Corsi, P.M. Human memory and the medial temporal region of the brain. Diss. Abstr. Int. 1973, 34, 891. [Google Scholar]
- Manglam, M.K.; Ram, D.; Praharaj, S.K.; Sarkhel, S. Working memory in schizophrenia. Ger. J. Psychiatry 2010, 13, 116–120. [Google Scholar] [CrossRef]
- Barrantes-Vidal, N.; Aguilera, M.; Campanera, S.; Fatjó-Vilas, M.; Guitart, M.; Miret, S.; Valero, S.; Fañanás, L. Working memory in siblings of schizophrenia patients. Schizophr. Res. 2007, 95, 70–75. [Google Scholar] [CrossRef] [PubMed]
- Mammarella, I.C.; Cornoldi, C. Sequence and space: The critical role of a backward spatial span in the working memory deficit of visuospatial learning disabled children. Cogn. Neuropsychol. 2005, 22, 1055–1068. [Google Scholar] [CrossRef] [PubMed]
- Shannon, C.; Douse, K.; McCusker, C.; Feeney, L.; Barrett, S.; Mulholland, C. The association between childhood trauma and memory functioning in schizophrenia. Schizophr. Bull. 2011, 37, 531–537. [Google Scholar] [CrossRef]
- Gold, J.M. Auditory Working Memory and Wisconsin Card Sorting Test Performance in Schizophrenia. Arch. Gen. Psychiatry 1997, 54, 159–165. [Google Scholar] [CrossRef]
- DeCarlo, L.T. On the meaning and use of kurtosis. Psychol. Methods 1997, 2, 292–307. [Google Scholar] [CrossRef]
- Ryu, E. Effects of skewness and kurtosis on normal-theory based maximum likelihood test statistic in multilevel structural equation modeling. Behav. Res. Methods 2011, 43, 1066–1074. [Google Scholar] [CrossRef]
- Pariente, A.; de Gage, S.B.; Moore, N.; Bégaud, B. The Benzodiazepine–Dementia Disorders Link: Current State of Knowledge. CNS Drugs 2016, 30, 1–7. [Google Scholar] [CrossRef]
- Pidal-Miranda, M.; González-Villar, A.J.; Carrillo-de-la-Peña, M.T.; Andrade, E.; Rodríguez-Salgado, D. Broad cognitive complaints but subtle objective working memory impairment in fibromyalgia patients. PeerJ 2018, 2018, e5907. [Google Scholar] [CrossRef] [PubMed]
- Veldhuijzen, D.S.; Sondaal, S.F.V.; Oosterman, J.M. Intact cognitive inhibition in patients with fibromyalgia but evidence of declined processing speed. J. Pain 2012, 13, 507–515. [Google Scholar] [CrossRef] [PubMed]
- Suhr, J.A. Neuropsychological impairment in fibromyalgia: Relation to depression, fatigue, and pain. J. Psychosom. Res. 2003, 55, 321–329. [Google Scholar] [CrossRef]
- Shmygalev, S.; Dagtekin, O.; Gerbershagen, H.J.; Marcus, H.; Jübner, M.; Sabatowski, R.; Petzke, F. Assessing Cognitive and Psychomotor Performance in Patients with Fibromyalgia Syndrome. Pain Ther. 2014, 3, 85–101. [Google Scholar] [CrossRef][Green Version]
- Landrø, N.I.; Stiles, T.C.; Sletvold, H. Memory functioning in patients with primary fibromyalgia and major depression and healthy controls. J. Psychosom. Res. 1997, 42, 297–306. [Google Scholar] [CrossRef]
- Roldán-Tapia, L.; Cánovas-López, R.; Cimadevilla, J.; Valverde, M. Cognition and Perception Deficits in Fibromyalgia and Rheumatoid Arthritis. Reumatol. Clínica (English Ed.) 2007, 3, 101–109. [Google Scholar] [CrossRef]
- Luerding, R.; Weigand, T.; Bogdahn, U.; Schmidt-Wilcke, T. Working memory performance is correlated with local brain morphology in the medial frontal and anterior cingulate cortex in fibromyalgia patients: Structural correlates of pain-cognition interaction. Brain 2008, 131, 3222–3231. [Google Scholar] [CrossRef]
- Seo, J.; Kim, S.-H.; Kim, Y.-T.; Song, H.; Lee, J.; Kim, S.-H.; Han, S.W.; Nam, E.J.; Kim, S.-K.; Lee, H.J.; et al. Working memory impairment in fibromyalgia patients associated with altered frontoparietal memory network. PLoS ONE 2012, 7, e37808. [Google Scholar] [CrossRef]
- Glass, J.M.; Williams, D.A.; Fernandez-Sanchez, M.L.; Kairys, A.; Barjola, P.; Heitzeg, M.M.; Clauw, D.J.; Schmidt-Wilcke, T. Executive function in chronic pain patients and healthy controls: Different cortical activation during response inhibition in fibromyalgia. J. Pain 2011, 12, 1219–1229. [Google Scholar] [CrossRef]
- Leavitt, F.; Katz, R.S. Speed of mental operations in fibromyalgia a selective naming speed deficit. J. Clin. Rheumatol. 2008, 14, 214–218. [Google Scholar] [CrossRef]
- Dumontheil, I.; Roggeman, C.; Ziermans, T.; Peyrard-Janvid, M.; Matsson, H.; Kere, J.; Klingberg, T. Influence of the COMT Genotype on Working Memory and Brain Activity Changes During Development. Biol. Psychiatry 2011, 70, 222–229. [Google Scholar] [CrossRef] [PubMed]
- Manoach, D.S.; Gollub, R.L.; Benson, E.S.; Searl, M.M.; Goff, D.C.; Halpern, E.; Saper, C.B.; Rauch, S.L. Schizophrenia subjects show fMRI activation of dorsolateral prefrontal cortex and basal ganglia during a working memory task. Biol. Psychiatry 2000, 48, 99–109. [Google Scholar] [CrossRef]
- Morey, R.A.; Dolcos, F.; Petty, C.M.; Cooper, D.A.; Hayes, J.P.; LaBar, K.S.; McCarthy, G. The role of trauma-related distractors on neural systems for working memory and emotion processing in posttraumatic stress disorder. J. Psychiatr. Res. 2009, 43, 809–817. [Google Scholar] [CrossRef] [PubMed]
- Chari, S.; Minzenberg, M.J.; Solomon, M.; Ragland, J.D.; Nguyen, Q.; Carter, C.S.; Yoon, J.H. Impaired prefrontal functional connectivity associated with working memory task performance and disorganization despite intact activations in schizophrenia. Psychiatry Res. Neuroimaging 2019, 287, 10–18. [Google Scholar] [CrossRef]
- Schmidt-Wilcke, T.; Luerding, R.; Weigand, T.; Jürgens, T.; Schuierer, G.; Leinisch, E.; Bogdahn, U. Striatal grey matter increase in patients suffering from fibromyalgia—A voxel-based morphometry study. Pain 2007, 132, S109–S116. [Google Scholar] [CrossRef] [PubMed]
- Schmidt-Wilcke, T.; Kairys, A.; Ichesco, E.; Fernandez-Sanchez, M.L.; Barjola, P.; Heitzeg, M.; Harris, R.E.; Clauw, D.J.; Glass, J.; Williams, D.A. Changes in Clinical Pain in Fibromyalgia Patients Correlate with Changes in Brain Activation in the Cingulate Cortex in a Response Inhibition Task. Pain Med. 2014, 15, 1346–1358. [Google Scholar] [CrossRef]
- De Frias, C.M.; Marklund, P.; Eriksson, E.; Larsson, A.; Öman, L.; Annerbrink, K.; Bäckman, L.; Nilsson, L.G.; Nyberg, L. Influence of COMT gene polymorphism on fMRI-assessed sustained and transient activity during a working memory task. J. Cogn. Neurosci. 2010, 22, 1614–1622. [Google Scholar] [CrossRef]
- Savitz, J.; Solms, M.; Ramesar, R. The molecular genetics of cognition: Dopamine, COMT and BDNF. Genes Brain Behav. 2006, 5, 311–328. [Google Scholar] [CrossRef]
- Stahl, S.M. Fibromyalgia-pathways and neurotransmitters. Hum. Psychopharmacol. Clin. Exp. 2009, 24, S11–S17. [Google Scholar] [CrossRef]
- Ceko, M.; Bushnell, M.C.; Gracely, R.H. Neurobiology Underlying Fibromyalgia Symptoms. Pain Res. Treat. 2012, 2012, 1–8. [Google Scholar] [CrossRef]
- Cools, R.; Robbins, T.W. Chemistry of the adaptive mind. Philos. Trans. R. Soc. A Math. Phys. Eng. Sci. 2004, 362, 2871–2888. [Google Scholar] [CrossRef] [PubMed]
- Glass, J.M. Review of Cognitive Dysfunction in Fibromyalgia: A Convergence on Working Memory and Attentional Control Impairments. Rheum. Dis. Clin. N. Am. 2009, 35, 299–311. [Google Scholar] [CrossRef] [PubMed]
- Covey, T.J.; Shucard, J.L.; Shucard, D.W. Event-related brain potential indices of cognitive function and brain resource reallocation during working memory in patients with Multiple Sclerosis. Clin. Neurophysiol. 2017, 128, 604–621. [Google Scholar] [CrossRef] [PubMed]
- López Zunini, R.A.; Knoefel, F.; Lord, C.; Dzuali, F.; Breau, M.; Sweet, L.; Goubran, R.; Taler, V. Event-related potentials elicited during working memory are altered in mild cognitive impairment. Int. J. Psychophysiol. 2016, 109, 1–8. [Google Scholar] [CrossRef]
- Shah, P.; Miyake, A. The separability of working memory ressources for spatial thinking and language processing: An individual differences approach. J. Exp. Psychol. Gen. 1996, 125, 4–27. [Google Scholar] [CrossRef]
- Jonides, J.; Reuter-Lorenz, P.A.; Smith, E.E.; Awh, E.; Barnes, L.L.; Drain, M.; Glass, J.; Lauber, E.J.; Patalano, A.L.; Schumacher, E.H. Verbal and Spatial Working Memory In Humans. Psychol. Learn. Motiv. Adv. Res. Theory 1996, 35, 43–88. [Google Scholar] [CrossRef]
- Handley, S.J.; Capon, A.; Copp, C.; Harper, C. Conditional reasoning and the Tower of Hanoi: The role of spatial and verbal working memory. Br. J. Psychol. 2002, 93, 501–518. [Google Scholar] [CrossRef]
- Bell, T.; Trost, Z.; Buelow, M.T.; Clay, O.; Younger, J.; Moore, D.; Crowe, M. Meta-analysis of cognitive performance in fibromyalgia. J. Clin. Exp. Neuropsychol. 2018, 40, 698–714. [Google Scholar] [CrossRef]
- Watter, S.; Heisz, J.J.; Karle, J.W.; Shedden, J.M.; Kiss, I. Modality-specific control processes in verbal versus spatial working memory. Brain Res. 2010, 1347, 90–103. [Google Scholar] [CrossRef]
- Floresco, S.B.; Seamans, J.K.; Phillips, A.G. Selective roles for hippocampal, prefrontal cortical, and ventral striatal circuits in radial-arm maze tasks with or without a delay. J. Neurosci. 1997, 17, 1880–1890. [Google Scholar] [CrossRef]
- Kodama, T.; Hikosaka, K.; Watanabe, M. Differential changes in glutamate concentration in the primate prefrontal cortex during spatial delayed alternation and sensory-guided tasks. Exp. Brain Res. 2002, 145, 133–141. [Google Scholar] [CrossRef] [PubMed]
- Watanabe, M.; Kodama, T.; Hikosaka, K. Increase of extracellular dopamine in primate prefrontal cortex during a working memory task. J. Neurophysiol. 1997, 78, 2795–2798. [Google Scholar] [CrossRef] [PubMed]
- Thierry, A.M.; Gioanni, Y.; Dégénétais, E.; Glowinski, J. Hippocampo-prefrontal cortex pathway: Anatomical and electrophysiological characteristics. Hippocampus 2000, 10, 411–419. [Google Scholar] [CrossRef]
- Galvez-Sánchez, C.M.; Reyes del Paso, G.A.; Duschek, S. Cognitive Impairments in Fibromyalgia Syndrome: Associations With Positive and Negative Affect, Alexithymia, Pain Catastrophizing and Self-Esteem. Front. Psychol. 2018, 9, 377. [Google Scholar] [CrossRef]
- Reyes del Paso, G.A.; Pulgar, Á.; Duschek, S.; Garrido, S. Cognitive impairment in fibromyalgia syndrome: The impact of cardiovascular regulation, pain, emotional disorders and medication. Eur. J. Pain 2012, 16, 421–429. [Google Scholar] [CrossRef]
- Park, D.C.; Glass, J.M.; Minear, M.; Crofford, L.J. Cognitive Function in Fibromyalgia Patients. Arthritis Rheum. 2001, 44, 2125–2133. [Google Scholar] [CrossRef]
- Munguía-Izquierdo, D.; Legaz-Arrese, A.; Moliner-Urdiales, D.; Reverter-Masía, J. Neuropsychological performance in patients with fibromyalgia syndrome: Relation to pain and anxiety. Psicothema 2008, 20, 427–431. [Google Scholar]
- Gibbs, S.E.B.; D’Esposito, M. Individual capacity differences predict working memory performance and prefrontal activity following dopamine receptor stimulation. Cogn. Affect. Behav. Neurosci. 2005, 5, 212–221. [Google Scholar] [CrossRef]
- Bertolino, A.; Taurisano, P.; Pisciotta, N.M.; Blasi, G.; Fazio, L.; Romano, R.; Gelao, B.; Lo Bianco, L.; Lozupone, M.; Di Giorgio, A.; et al. Genetically determined measures of striatal D2 signaling predict prefrontal activity during working memory performance. PLoS ONE 2010, 5, e9348. [Google Scholar] [CrossRef]


| Clinical Variables | Fibromyalgia Patients | Healthy Control | p-Value |
|---|---|---|---|
| Age | 51.38 (7.43) | 51.42 (7.51) | 0.975 |
| STAI | |||
| STAI-Trait | 65.23 (28.13) | 34.60 (26.67) | 0.001 |
| STAI-State | 43.27 (26.70) | 29.53 (25.49) | 0.001 |
| BDI | 18.69 (9.28) | 6.47 (4.86) | 0.001 |
| VAS Pain | 6.26 (2.08) | 0.977 (1.69) | 0.001 |
| FIQ-S | 55.89 (18.09) | - | - |
| Drug consumption | |||
| Antidepressants (%) | 53.5 | 0.02 | 0.001 |
| Analgesics (%) | 59.30 | 0.02 | 0.001 |
| Benzodiazepines (%) | 33.7 | 0.02 | 0.001 |
| Others (%) | 50 | 25.93 | 0.001 |
| Educational level | |||
| Elementary studies (%) | 16.28 | 16.05 | 0.347 |
| Middle level (%) | 60.47 | 50.62 | |
| Superior university studies (%) | 23.25 | 33.33 |
| Genotype Frequencies n (%) | Allele Frequencies | ||||
|---|---|---|---|---|---|
| Genotypes | HC (n = 81) | Fibromyalgia (n = 86) | HC (n = 81) | Fibromyalgia (n = 86) | |
| Val/Val | 28 (19.8) | 22 (25.6) | Val | 0.49 | 0.43 |
| Met/Val | 37 (45.7) | 44 (51.2) | Met | 0.51 | 0.57 |
| Met/Met | 16 (34.6) | 20 (23.3) | |||
| COMT | p-Value | ||||||
|---|---|---|---|---|---|---|---|
| Healthy Control | Fibromyalgia | ||||||
| Test | Val/Val | Met/Val | Met/Met | Val/Val | Met/Val | Met/Met | |
| Span of LNST | 5.04 (0.88) | 5.08 (0.89) | 5.38 (0.62) | 4.77 (1.11) | 5.09 (1.15) | 4.80 (0.91) | 0.327 |
| LNST score | 10 (2.35) | 10.05 (2.38) | 10.75 (1.34) | 9.05 (2.75) | 9.86 (2.86) | 8.75 (2.26) | 0.191 |
| Span of SST forward | 5.79 (0.78) | 5.89 (0.77) | 5.69 (0.87) | 5.14 (1.20) | 5.70 (1.01) | 5.30 (1.12) | 0.412 |
| SST forward score | 8.57 (1.42) | 8.43 (1.55) | 8.63 (1.66) | 7.36 (1.98)) | 8.39 (1.88) | 7.70 (1.83) | 0.147 |
| Span of SST backward | 5.79 (1.97) | 5.16 (1.11) | 5.35 (1.06) | 4.77 (1.06) | 5.25 (0.94) | 4.95 (1.27) | 0.020 |
| SST backward score | 8.21 (1.72) | 7.27 (1.82) | 7.25 (1.73) | 6.14 (1.91) | 7.39 (1.82) | 6.80 (2.01) | 0.005 |
| SST total score | 16.79 (2.58) | 15.62 (3.32) | 15.87 (2.96) | 13.50 (3.48) | 15.77 (3.32) | 14.50 (2.87) | 0.008 |
| WMI | 108.63 (10.06) | 103.11 (12.69) | 108.54 (12.21) | 98.92 (14.95) | 104.23 (14.75) | 97.45 (13.29) | 0.018 |
| State Anxiety | Trait Anxiety | Depression | Pain | |
|---|---|---|---|---|
| Span of LNST | −0.057 | −0.051 | −0.093 | −0.068 |
| LNST score | −0.087 | −0.095 | −0.157 * | −0.137 |
| Span of SST forward | −0.083 | −0.219 ** | −0.129 | −0.157 * |
| SST forward score | −0.116 | −0.209 ** | −0.134 | −0.121 |
| Span of SST backward | −0.143 | −0.206 ** | −0.150 | −0.119 |
| SST backward score | −0.085 | −0.133 | −0.130 | −0.146 |
| SST total score | −0.114 | 0.192* | −0.148 | −0.149 |
| WMI | −0.012 | −0.131 | −0.166 * | −0.117 |
| Antidepressant ANOVAs | Benzodiazepine ANOVAs | |||||
|---|---|---|---|---|---|---|
| Medication | No Medication | p-Value | Medication | No Medication | p-Value | |
| Span of LNST | 4.98 (0.97) | 4.90 (1.236) | 0.744 | 4.83 (0.92) | 5.00 (1.18) | 0.495 |
| LNST score | 9.43 (2.50) | 9.35 (2.99) | 0.887 | 8.97 (2.42) | 9.61 (2.85) | 0.299 |
| Span of SST forward | 5.61 (0.97) | 5.30 (1.22) | 0.197 | 5.59 (1.01) | 5.40 (1.14) | 0.471 |
| SST forward score | 8.24 (1.66) | 7.65 (2.17) | 0.159 | 8.14 (1.66) | 7.88 (2.06) | 0.557 |
| Span of SST backward | 5.15 (1.13) | 4.95 (0.98) | 0.384 | 5.14 (0.95) | 5.02 (1.12) | 0.624 |
| SST backward score | 7.17 (1.99) | 6.65 (1.86) | 0.213 | 7.10 (1.67) | 6.84 (2.06) | 0.558 |
| SST total score | 15.41 (2.98) | 14.30 (3.71) | 0.127 | 15.24 (2.98) | 14.72 (3.56) | 0.500 |
| WMI | 101.63 (13.31) | 100.43 (16.25) | 0.706 | 100.31 (13.29) | 101.46 (15.43) | 0.734 |
© 2020 by the authors. Licensee MDPI, Basel, Switzerland. This article is an open access article distributed under the terms and conditions of the Creative Commons Attribution (CC BY) license (http://creativecommons.org/licenses/by/4.0/).
Share and Cite
Ferrera, D.; Gómez-Esquer, F.; Peláez, I.; Barjola, P.; Fernandes-Magalhaes, R.; Carpio, A.; De Lahoz, M.E.; Díaz-Gil, G.; Mercado, F. Effects of COMT Genotypes on Working Memory Performance in Fibromyalgia Patients. J. Clin. Med. 2020, 9, 2479. https://doi.org/10.3390/jcm9082479
Ferrera D, Gómez-Esquer F, Peláez I, Barjola P, Fernandes-Magalhaes R, Carpio A, De Lahoz ME, Díaz-Gil G, Mercado F. Effects of COMT Genotypes on Working Memory Performance in Fibromyalgia Patients. Journal of Clinical Medicine. 2020; 9(8):2479. https://doi.org/10.3390/jcm9082479
Chicago/Turabian StyleFerrera, David, Francisco Gómez-Esquer, Irene Peláez, Paloma Barjola, Roberto Fernandes-Magalhaes, Alberto Carpio, María E. De Lahoz, Gema Díaz-Gil, and Francisco Mercado. 2020. "Effects of COMT Genotypes on Working Memory Performance in Fibromyalgia Patients" Journal of Clinical Medicine 9, no. 8: 2479. https://doi.org/10.3390/jcm9082479
APA StyleFerrera, D., Gómez-Esquer, F., Peláez, I., Barjola, P., Fernandes-Magalhaes, R., Carpio, A., De Lahoz, M. E., Díaz-Gil, G., & Mercado, F. (2020). Effects of COMT Genotypes on Working Memory Performance in Fibromyalgia Patients. Journal of Clinical Medicine, 9(8), 2479. https://doi.org/10.3390/jcm9082479

