Low Plasma Lecithin: Cholesterol Acyltransferase (LCAT) Concentration Predicts Chronic Kidney Disease
Abstract
1. Introduction
2. Materials and Methods
2.1. Study Cohorts
2.2. Study Endpoints
2.3. Biochemistry
2.4. In Vitro Studies
2.5. Statistical Analyses
3. Results
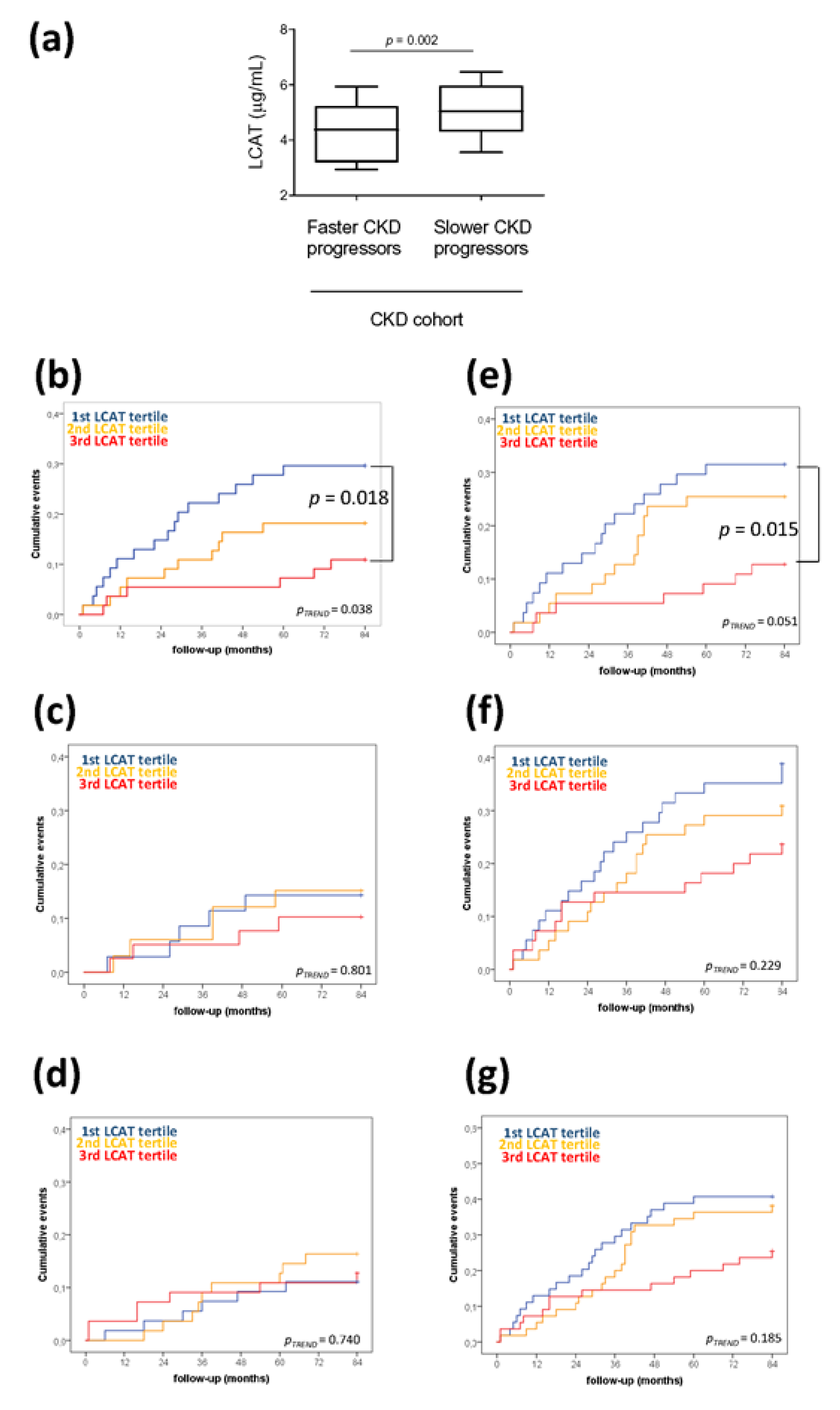
3.1. Lower Plasma LCAT Concentration Predicts Disease Progression in Patients with Chronic Kidney Disease
3.2. Lower Plasma LCAT Concentration Predicts Impairment of Kidney Function in General Population
3.3. Serum from Subjects with Low Plasma LCAT Concentration Mediates ROS Production in Renal Cells and rhLCAT Limits Serum Pro-Oxidative Effect
4. Discussion
Supplementary Materials
Author Contributions
Funding
Conflicts of Interest
References
- Zoccali, C.; Vanholder, R.; Massy, Z.A.; Alberto, O.; Pantellis, S.; Friedo, W.D.; Danilo, F.; Gunnar, H.H.; Kitty, J.J.; Mehmet, K.; et al. The systemic nature of CKD. Nat. Rev. Nephrol. 2017, 13, 344–358. [Google Scholar] [CrossRef] [PubMed]
- Stenvinkel, P.; Carrero, J.J.; Axelsson, J.; Lindholm, B.; Heimburger, O.; Massy, Z. Emerging biomarkers for evaluating cardiovascular risk in the chronic kidney disease patient: How do new pieces fit into the uremic puzzle? Clin. J. Am. Soc. Nephrol. 2008, 3, 505–521. [Google Scholar] [CrossRef] [PubMed]
- Warren, B.; Rebholz, C.M.; Sang, Y.; Lee, A.K.; Coresh, J.; Selvin, E.; Grams, M.E. Diabetes and Trajectories of Estimated Glomerular Filtration Rate: A Prospective Cohort Analysis of the Atherosclerosis Risk in Communities Study. Diabetes Care 2018, 41, 1646–1653. [Google Scholar] [CrossRef] [PubMed]
- Chang, T.I.; Streja, E.; Ko, G.J.; Naderi, N.; Rhee, C.M.; Kovesdy, C.P.; Kashyap, M.L.; Vaziri, N.D.; Kalantar-Zadeh, K.; Moradi, H.; et al. Inverse Association Between Serum Non-High-Density Lipoprotein Cholesterol Levels and Mortality in Patients Undergoing Incident Hemodialysis. J. Am. Heart Assoc. 2018, 7, e009096. [Google Scholar] [CrossRef]
- Kalantar-Zadeh, K.; Block, G.; Humphreys, M.H.; Kopple, J.D. Reverse epidemiology of cardiovascular risk factors in maintenance dialysis patients. Kidney Int. 2003, 63, 793–808. [Google Scholar] [CrossRef]
- Baragetti, A.; Norata, G.D.; Sarcina, C.; Rastelli, F.; Grigore, L.; Garlaschelli, K.; Uboldi, P.; Baragetti, I.; Pozzi, C.; Catapano, A.L. High density lipoprotein cholesterol levels are an independent predictor of the progression of chronic kidney disease. J. Intern. Med. 2013, 274, 252–262. [Google Scholar] [CrossRef]
- Calabresi, L.; Simonelli, S.; Conca, P.; Busnach, G.; Cabibbe, M.; Gesualdo, L.; Gigante, M.; Penco, S.; Veglia, F.; Franceschini, G. Acquired lecithin:cholesterol acyltransferase deficiency as a major factor in lowering plasma HDL levels in chronic kidney disease. J. Intern. Med. 2015, 277, 552–561. [Google Scholar] [CrossRef]
- Bowe, B.; Xie, Y.; Xian, H.; Balasubramanian, S.; Al-Aly, Z. Low levels of high-density lipoprotein cholesterol increase the risk of incident kidney disease and its progression. Kidney Int. 2016, 89, 886–896. [Google Scholar] [CrossRef]
- Kilpatrick, R.D.; McAllister, C.J.; Kovesdy, C.P.; Derose, S.F.; Kopple, J.D.; Kalantar-Zadeh, K. Association between serum lipids and survival in hemodialysis patients and impact of race. J. Am. Soc. Nephrol. 2007, 18, 293–303. [Google Scholar] [CrossRef]
- Holzer, M.; Birner-Gruenberger, R.; Stojakovic, T.; El-Gamal, D.; Binder, V.; Wadsack, C.; Heinemann, A.; Marsche, G. Uremia alters HDL composition and function. J. Am. Soc. Nephrol. 2011, 22, 1631–1641. [Google Scholar] [CrossRef]
- Holzer, M.; Schilcher, G.; Curcic, S.; Trieb, M.; Ljubojevic, S.; Stojakovic, T.; Scharnagl, H.; Kopecky, C.M.; Resenkranz, A.R.; Heinemann, A.; et al. Dialysis Modalities and HDL Composition and Function. J. Am. Soc. Nephrol. 2015, 26, 2267–2276. [Google Scholar] [CrossRef] [PubMed]
- Speer, T.; Rohrer, L.; Blyszczuk, P.; Shroff, R.; Kuschnerus, K.; Krankel, N.; Kania, G.; Zewinger, S.; Akhmedov, A.; Shi, Y.; et al. Abnormal High-Density Lipoprotein Induces Endothelial Dysfunction via Activation of Toll-like Receptor-2. Immunity 2013, 38, 754–768. [Google Scholar] [CrossRef] [PubMed]
- Yamamoto, S.; Yancey, P.G.; Ikizler, T.A.; Jerome, W.G.; Kaseda, R.; Cox, B.; Bian, A.; Shintani, A.; Fogo, A.B.; Linton, M.F.; et al. Dysfunctional High-Density Lipoprotein in Patients on Chronic Hemodialysis. J. Am. Coll. Cardiol. 2012, 60, 2372–2379. [Google Scholar] [CrossRef] [PubMed]
- Vaziri, N.D. HDL abnormalities in nephrotic syndrome and chronic kidney disease. Nat. Rev. Nephrol. 2016, 12, 37–47. [Google Scholar] [CrossRef] [PubMed]
- Pirillo, A.; Catapano, A.L.; Norata, G.D. HDL in Infectious Diseases and Sepsis. Handb. Exp. Pharmacol. 2015, 224, 483–508. [Google Scholar] [PubMed]
- Calabresi, L.; Pisciotta, L.; Costantin, A.; Frigerio, I.; Eberini, I.; Alessandrini, P.; Arca, M.; Bon, G.B.; Busnach, G.; Frasca, G.; et al. The molecular basis of lecithin:cholesterol acyltransferase deficiency syndromes: A comprehensive study of molecular and biochemical findings in 13 unrelated Italian families. Arterioscler. Thromb. Vasc. Biol. 2005, 25, 1972–1978. [Google Scholar] [CrossRef]
- Ossoli, A.; Neufeld, E.B.; Thacker, S.G.; Vaisman, B.; Pryor, M.; Freeman, L.A.; Brantner, C.A.; Baranova, I.; Francone, N.O.; Demosky, S.J.; et al. Lipoprotein X Causes Renal Disease in LCAT Deficiency. PLoS ONE 2016, 11, e0150083. [Google Scholar] [CrossRef] [PubMed]
- Santamarina-Fojo, S.; Hoeg, J.M.; Assmann, G.; Brewer, H.B., Jr. Lecithin cholesterol acyltransferase deficiency and fish eye disease. In The Metabolic and Molecular Bases of Inherited Diseases; Scriver, C.R., Beaudet, A.L., Sly, W.S., Valle, D., Eds.; McGraw-Hill: New-York, NY, USA, 2001; pp. 2817–2833. [Google Scholar]
- Baragetti, A.; Pisano, G.; Bertelli, C.; Garlaschelli, K.; Grigore, L.; Fracanzani, A.L.; Fargion, S.; Norata, G.D.; Catapano, A.L. Subclinical atherosclerosis is associated with Epicardial Fat Thickness and hepatic steatosis in the general population. Nutr. Metab. Cardiovasc. Dis. 2016, 26, 141–153. [Google Scholar] [CrossRef]
- Baragetti, A.; Palmen, J.; Garlaschelli, K.; Grigore, L.; Pellegatta, F.; Tragni, E.; Catapano, A.L.; Humphries, S.E.; Norata, G.D.; Talmud, P.J. Telomere shortening over 6 years is associated with increased subclinical carotid vascular damage and worse cardiovascular prognosis in the general population. J. Intern. Med. 2015, 277, 478–487. [Google Scholar] [CrossRef]
- Olmastroni, E.; Baragetti, A.; Casula, M.; Grigore, L.; Pellegatta, F.; Prillo, A.; Tragni, E.; Catapano, A.L. Multilevel Models to Estimate Carotid Intima-Media Thickness Curves for Individual Cardiovascular Risk Evaluation. Stroke 2019, 50, 1758–1765. [Google Scholar] [CrossRef]
- Baragetti, I.; Norata, G.D.; Sarcina, C.; Baragetti, A.; Rastelli, F.; Buzzi, L.; Grigore, L.; Garlachelli, K.; Pozzi, C.; Catapano, A.L. 374 T/A RAGE Polymorphism Is Associated with Chronic Kidney Disease Progression in Subjects Affected by Nephrocardiovascular Disease. PLoS ONE 2013, 8, e60089. [Google Scholar] [CrossRef] [PubMed]
- Levey, A.S.; Coresh, J. Chronic kidney disease. Lancet 2012, 379, 165–180. [Google Scholar] [CrossRef]
- Simonelli, S.; Tinti, C.; Salvini, L.; Tinti, L.; Ossoli, A.; Vitali, C.; Sousa, V.; Orisini, G.; Nolli, M.L.; Franceschini, G.; et al. Recombinant human LCAT normalizes plasma lipoprotein profile in LCAT deficiency. Biologicals 2013, 41, 446–449. [Google Scholar] [CrossRef] [PubMed]
- Jonas, A. Lecithin cholesterol acyltransferase. Biochim. Biophys. Acta 2000, 1529, 245–256. [Google Scholar] [CrossRef]
- Aztalos, B.F.; Schaefer, E.J.; Horvath, K.V.; Yamashita, S.; Miller, M.; Franceschini, G.; Calabresi, L. Role of LCAT in HDL remodeling: Investigation of LCAT deficiency states. J. Lipid Res. 2007, 48, 592–599. [Google Scholar] [CrossRef]
- Rajpal, J.S.; Mapel-Lentz, J.; Mancera, A.D.; Reed, R.C.; Kim, Y.; Chavers, B.M. Familial LCAT deficiency in a child with nephrotic syndrome. Clin. Nephrol. 2014, 82, 211–214. [Google Scholar] [CrossRef]
- Liw, H.; Simpson, I.; Kanellis, J.; Mulley, W.R. Recurrent glomerulopathy in a renal allograft due to lecithin cholesterol acyltransferase deficiency. Nephrology (Carlton) 2016, 21, 73–74. [Google Scholar] [CrossRef]
- Vaziri, N.D.; Liang, K.; Parks, J.S. Down-regulation of hepatic lecithin:cholesterol acyltransferase gene expression in chronic renal failure. Kidney Int. 2001, 59, 2192–2196. [Google Scholar] [CrossRef]
- Calabresi, L.; Simonelli, S.; Gomaraschi, M.; Franceschini, G. Genetic lecithin:cholesterol acyltransferase deficiency and cardiovascular disease. Atherosclerosis 2012, 222, 299–306. [Google Scholar] [CrossRef]
- Holleboom, A.G.; Kuivenhoven, J.A.; Vergeer, M.; Hovingh, G.K.; van Miert, J.N.; Wareham, N.J.; Kastelein, J.J.P.; Khaw, K.-T.; Boekholdt, S.M. Plasma Levels of Lecithin:cholesterol Acyltransferase and Risk of Future Coronary Artery Disease in Apparently Healthy Men and Women: A Prospective Case-Control Analysis Nested in the EPIC-Norfolk Population Study. J. Lipid Res. 2010, 51, 416–421. [Google Scholar] [CrossRef]
- Chen, S.; Meng, X.F.; Zhang, C. Role of NADPH oxidase-mediated reactive oxygen species in podocyte injury. Biomed. Res. Int. 2013, 2013, 839761. [Google Scholar] [CrossRef] [PubMed]
- Mertens, A.; Verhamme, P.; Bielicki, J.K. Increased low-density lipoprotein oxidation and impaired high-density lipoprotein antioxidant defense are associated with increased macrophage homing and atherosclerosis in dyslipidemic obese mice: LCAT gene transfer decreases atherosclerosis. Circulation 2003, 107, 1640–1646. [Google Scholar] [CrossRef] [PubMed]
- Ossoli, A.; Simonelli, S.; Varrenti, M. Recombinant LCAT (Lecithin:Cholesterol Acyltransferase) Rescues Defective HDL (High-Density Lipoprotein)-Mediated Endothelial Protection in Acute Coronary Syndrome. Arterioscler. Thromb. Vasc. Biol. 2019, 39, 915–924. [Google Scholar] [CrossRef] [PubMed]
- Shroff, R.; Speer, T.; Colin, S. HDL in Children with CKD Promotes Endothelial Dysfunction and an Abnormal Vascular Phenotype. J. Am. Soc. Nephrol. 2014, 25, 2658–2668. [Google Scholar] [CrossRef] [PubMed]


| Entire CKD Cohort | Slow CKD Progression | Fast CKD Progression | p | |
|---|---|---|---|---|
| N | 164 | 132 | 32 | |
| Age (years) | 68 (61–75) | 68 (59–74) | 73 (66–79) | <0.001 |
| Gender (men, n (%)) | 107 (65.2) | 86 (65.1) | 21 (65.6) | 0.957 |
| BMI (kg/m2) | 29.44 (5.46) | 29.64 (5.55) | 28.67 (5.24) | 0.589 |
| Waist/hip | 0.970 (0.071) | 0.969 (0.069) | 0.974 (0.083) | 0.568 |
| Systolic Blood Pressure (mmHg) | 144 (18) | 144 (18) | 144 (21) | 0.418 |
| Diastolic Blood Pressure (mmHg) | 83 (12) | 83 (10) | 84 (18) | 0.283 |
| ACE Inhibitors (n (%), yes) | 77 (46.9) | 63 (47.7) | 14 (43.7) | 0.976 |
| ARBs (n (%), yes) | 54 (32.9) | 43 (32.6) | 11 (34.4) | 0.609 |
| ACE Inhibitors + ARBs Association (n (%), yes) | 31 (18.9) | 23 (17.4) | 8 (25.0) | 0.326 |
| Diuretics (n (%), yes) | 59 (35.9) | 46 (34.8) | 13 (40.6) | 0.383 |
| Diuretics + ARBs Association (n (%), yes) | 28 (17.1) | 21 (15.9) | 7 (21.8) | 0.421 |
| Beta-Blockers (n (%), yes) | 30 (18.3) | 28 (21.2) | 2 (6.2) | 0.064 |
| C-Reactive Protein (mg/L) | 0.23 (0.12–0.45) | 0.37 (0.12–0.41) | 0.43 (0.18–0.51) | 0.149 |
| Fasting Glucose Levels (mg/dL) | 126.5 (100.0–157.5) | 132.0 (103.0–165.0) | 112.5 (94.0–147.0) | 0.044 |
| Glycated Hemoglobin (%) | 6.6 (6.1–7.4) | 6.8 (6.2–7.4) | 6.2 (6.0–6.9) | 0.104 |
| OGLT (n (%), yes) | 70 (42.7) | 60 (45.4) | 10 (31.2) | 0.145 |
| OGLT Vintage Before Basal Evaluation (months) | 84 (36–180) | 84 (36–180) | 120 (31–168) | 0.952 |
| Insulin Analogues (n (%), yes) | 27 (16.4) | 23 (17.4) | 4 (12.5) | 0.500 |
| Insulin Analogues Vintage Before Basal Evaluation (months) | 24 (12–120) | 24 (12–120) | 48 (7–108) | 0.846 |
| Creatinine (mg/dL) | 1.52 (1.00–2.02) | 1.30 (0.90–1.80) | 2.77 (1.8–4.1) | <0.001 |
| eGFR (mL/min/1.73 m2) | 44.65 (30.00–68.46) | 49.42 (35.06–71.23) | 19.55 (16.01–35.63) | <0.01 |
| Urinary Creatinine/Albumin (mg/g) | 6.68 (1.74–36.14) | 5.55 (1.56–26.61) | 39.93 (2.74–276.73) | 0.004 |
| Urinary Albumin (mg/L) | 33.66 (10.30–228.33) | 28.06 (9.85–174.85) | 434.53 (47.80–1049.55) | 0.001 |
| Blood Urea Nitrogen (mg/dL) | 52.00 (40.00–82.00) | 49.85 (38.02–69.52) | 98.50 (61.67–127.77) | <0.001 |
| Calcium (mmol/L) | 2.36 (2.30–2.44) | 2.36 (2.30–2.44) | 2.35 (2.24–2.43) | 0.543 |
| Phosphorous (mmol/L) | 1.09 (0.94–1.20) | 1.05 (0.94–1.18) | 1.21 (1.05–1.33) | 0.005 |
| Total Cholesterol (mg/dL) | 201.5 (46.2) | 197.2 (43.4) | 217.8 (54.8) | 0.133 |
| Triglycerides (mg/dL) | 136.0 (88.0–187.0) | 128.0 (87.2–182.0) | 143.5 (101.7–223.0) | 0.061 |
| LDL-Cholesterol (mg/dL) | 120.9 (42.0) | 116.6 (38.7) | 136.3 (51.2) | 0.086 |
| HDL-Cholesterol (mg/dL) | 50.40 (15.22) | 51.94 (14.60) | 44.40 (15.07) | 0.010 |
| Non-HDL-Cholesterol (mg/dL) | 151.1 (46.8) | 145.2 (43.5) | 173.4 (53.9) | 0.013 |
| Apolipoprotein A-I (mg/dL) | 147.0 (131.0–164.0) | 148.0 (132.0–166.0) | 143.5 (121.5–152.7) | 0.043 |
| Apolipoprotein B (mg/dL) | 127.0 (111.0–146.0) | 126.0 (111.0–142.0) | 130.5 (114.2–169.5) | 0.385 |
| Hypolipidemic Treatments, Statins (n, yes) | 57 (34.5) | 50 (37.8) | 7 (21.8) | 0.152 |
| Hypolipidemic Treatments, Fibrates (n, yes) | 7 (4.2) | 5 (3.7) | 2 (6.2) | 0.484 |
| Anti-Platelets (ASA) (n, yes) | 64 (39.0) | 54 (40.9) | 10 (31.2) | 0.444 |
| LCAT Tertiles | ||||
|---|---|---|---|---|
| LCAT (μg/mL) (Mean (Range)) | 1st (n = 54) 3.65 (3.16–3.95) | 2nd (n = 55) 4.91 (4.60–5.18) | 3rd (n = 55) 6.13 (5.80–647) | pTREND |
| Age (years) | 68 (62–71) | 70 (64–75) | 66 (58–75) | 0.232 |
| Gender (men, n (%)) | 39 (72.2) | 34 (61.3) | 34 (61.3) | 0.421 |
| BMI (kg/m2) | 29.22 (25.68–33.36) | 27.91 (24.87–32.23) | 27.88 (25.71–32.38) | 0.480 |
| Waist/hip | 0.97 (0.07) | 0.95 (0.07) | 0.98 (0.07) | 0.275 |
| Systolic Blood Pressure (mmHg) | 145 (131–160) | 140 (130–155) | 140 (130–160) | 0.620 |
| Diastolic Blood Pressure (mmHg) | 80 (80–90) | 80 (80–90) | 85 (80–90) | 0.266 |
| ACE Inhibitors (n (%), yes) | 24 (44.4) | 26 (47.3) | 27 (49.1) | 0.973 |
| ARBs (n (%), yes) | 14 (25.9) | 19 (34.5) | 21 (38.2) | 0.495 |
| ACE Inhibitors + ARBs Association (n (%), yes) | 8 (14.8) | 10 (18.1) | 13 (23.6) | 0.518 |
| Diuretics (n (%), yes) | 18 (33.3) | 22 (40) | 19 (34.5) | 0.815 |
| Diuretics + ARBs Association (n (%), yes) | 7 (13.0) | 10 (18.1) | 11 (20.0) | 0.627 |
| Beta-Blockers (n (%), yes) | 6 (11.1) | 12 (21.8) | 12 (21.8) | 0.313 |
| C-Reactive Protein (mg/L) | 0.26 (0.15–0.50) | 0.28 (0.10–0.49) | 0.19 (0.11–0.40) | 0.341 |
| Fasting Glucose Levels (mg/dL) | 135.5 (101.0–174.5) | 123.0 (102.0–159.0) | 123.0 (99.0–154.0) | 0.777 |
| Glycated Hemoglobin (%) | 6.55 (6.10–7.47) | 6.60 (6.00–7.40) | 7.00 (6.30–7.55) | 0.324 |
| OGLT (n (%), yes) | 20 (37.1) | 26 (47.2) | 24 (43.6) | 0.549 |
| OGLT Vintage (Months Before Basal Evaluation) | 72 (36–174) | 78 (36–210) | 90 (27–180) | 0.666 |
| Insulin Analogues (n (%), yes) | 6 (11.1) | 14 (25.4) | 7 (12.7) | 0.086 |
| Insulin Analogues Vintage (Months Before Basal Evaluation) | 60 (9–120) | 24 (12–120) | 48 (11–156) | 0.849 |
| Creatinine (mg/dL) | 1.63 (1.09–2.13) | 1.16 (0.90–1.90) | 1.61 (1.10–1.85) | 0.238 |
| eGFR (mL/min/1.73 m2) | 47.56 (25.43–48.91) | 44.49 (32.82–73.67) | 42.24 (29.73–59.36) | 0.738 |
| Urinary Creatinine/Albumin (mg/g) | 6.14 (2.24–73.90) | 8.57 (1.62–28.91) | 5.45 (1.21–37.11) | 0.663 |
| Urinary Albumin (mg/L) | 30.80 (12.50–316.20) | 39.43 (10.27–203.00) | 32.90 (9.44–225.63) | 0.890 |
| Blood Urea Nitrogen (mg/dL) | 52.0 (40.5–85.7) | 50.9 (37.1–70.8) | 56.5 (44.9–86.3) | 0.477 |
| Calcium (mmol/L) | 2.37 (2.33–2.44) | 2.34 (2.27–2.44) | 2.37 (2.30–2.43) | 0.401 |
| Phosphorous (mmol/L) | 1.12 (0.18) | 1.05 (0.18) | 1.06 (0.18) | 0.178 |
| Total Cholesterol (mg/dL) | 204.6 (50.3) | 200.6 (41.2) | 198.4 (47.4) | 0.512 |
| Triglycerides (mg/dL) | 140.0 (93.2–189.2) | 122.0 (88.0–183.0) | 143.0 (88.0–176.0) | 0.723 |
| LDL-Cholesterol (mg/dL) | 123.1 (45.7) | 120.7 (36.1) | 117.4 (44.3) | 0.487 |
| HDL-Cholesterol (mg/dL) | 46.0 (37.0–61.0) | 49.0 (42.0–60.0) | 48.0 (42.0–57.0) | 0.469 |
| Non-HDL-cholesterol (mg/dL) | 161.0 (120.7–185.5) | 147.0 (119.0–175.0) | 142.0 (119.0–167.0) | 0.436 |
| Apolipoprotein A-I (mg/dL) | 146.8 (32.1) | 148.8 (27.4) | 151.9 (29.7) | 0.893 |
| Apolipoprotein B (mg/dL) | 130.6 (33.1) | 129.8 (28.6) | 132.02 (32.5) | 0.999 |
| Hypolipidemic Treatments, Statins (n, yes) | 19 (35.2) | 14 (25.4) | 24 (43.6) | 0.132 |
| Hypolipidemic Treatments, Fibrates (n, yes) | 1 (1.8) | 5 (9.1) | 1 (1.8) | 0.104 |
| Anti-Platelets (ASA) (n, yes) | 23 (42.6) | 22 (40.0) | 19 (34.5) | 0.547 |
| LCAT (μg/mL) (Mean (Range)) | Entire Cohort | LCAT Tertiles | |||
|---|---|---|---|---|---|
| (n = 165) 4.85 (4.22–5.58) | 1st (n = 54) 3.89 (3.34–4.21) | 2nd (n = 56) 4.82 (4.67–5.09) | 3rd (n = 55) 6.01 (5.00–6.34) | pTREND | |
| Age (years) | 68 (66–72) | 69 (66–73) | 67 (65–72) | 69 (66–72) | 0.742 |
| Gender (men, n (%)) | 26 (48.1) | 27 (48.2) | 27 (49.1) | 0.994 | |
| BMI (kg/m2) | 26.31 (24.53–28.70) | 26.49 (24.37–29.15) | 25.85 (24.16–29.25) | 26.33 (24.86–28.07) | 0.949 |
| Waist/hip | 0.89 (0.07) | 0.89 (0.07) | 0.90 (0.08) | 0.89 (0.07) | 0.826 |
| Systolic Blood Pressure (mmHg) | 135 (120–150) | 135 (120–149) | 132 (120–150) | 140 (120–150) | 0.860 |
| Diastolic Blood Pressure (mmHg) | 80 (75–80) | 80 (76–80) | 80 (75–80) | 80 (70–80) | 0.431 |
| Anti-Hypertensive Treatments (n (%), yes) | 45 (27.3) | 19 (35.2) | 18 (32.14) | 8 (14.5) | 0.025 |
| C-Reactive Protein (mg/L) | 0.19 (0.08–0.39) | 0.16 (0.04–0.32) | 0.19 (0.09–0.38) | 0.20 (0.07–0.41) | 0.592 |
| Fasting Glucose Levels (mg/dL) | 98.0 (90.0–107.0) | 99.0 (90.0–110.2) | 96.0 (91.0–104.0) | 97.0 (90.0–109.0) | 0.614 |
| OGLT (n (%), yes) | 12 (7.3) | 9 (16.7) | 2 (3.6) | 1 (1.8) | 0.004 |
| OGLT Vintage (Months Before Basal Evaluation) | 32(24–80) | 24 (22–56) | 80; 80 ∗ | 80 | 0.051 |
| Creatinine (mg/dL) | 0.91 (0.80–1.03) | 0.92 (0.79–1.00) | 0.89 (0.79–1.02) | 0.96 (0.80–1.08) | 0.418 |
| eGFR (mL/min/1.73 m2) | 67.51 (63.15–73.27) | 68.71 (63.78–74.67) | 68.14 (63.74–74.36) | 66.52 (62.02–72.05) | 0.178 |
| Total Cholesterol (mg/dL) | 232.8 (44.94) | 223.4 (48.7) | 237.2 (45.9) | 237.8 (38.8) | 0.112 |
| Triglycerides (mg/dL) | 95.5 (69.2–123.7) | 96.5 (73.2–131.0) | 98.0 (76.0–133.2) | 84.0 (61.0–106.0) *,† | 0.039 |
| LDL-Cholesterol (mg/dL) | 153.0 (41.4) | 142.0 (42.9) | 157.5 (43.0) | 158.9 (36.1) | 0.080 |
| HDL-Cholesterol (mg/dL) | 56.0 (49.0–65.7) | 54.5 (48.0–67.2) | 55.0 (48.2–61.7) | 59.0 (51.0–68.0) | 0.209 |
| Non-HDL-Cholesterol (mg/dL) | 173.0 (142.2–206.0) | 166.0 (134.5–189.2) | 180.0 (144.0–213.0) | 176.0 (146.0–204.0) | 0.133 |
| Apolipoprotein A-I (mg/dL) | 153.3 (22.7) | 152.3 (21.9) | 151.0 (23.9) | 157.7 (21.1) | 0.160 |
| Apolipoprotein B (mg/dL) | 123.1 (35.36) | 115.4 (37.3) | 126.6 (36.9) | 127.4 (31.0) | 0.111 |
| Hypolipidemic Treatments, Statins (n, yes) | 53 (32.2) | 15 (27.8) | 19 (33.9) | 19 (34.5) | 0.717 |
| Anti-Platelets (ASA) (n, yes) | 34 (20.6) | 12 (22.2) | 12 (21.4) | 10 (18.2) | 0.937 |
| Model | 1st Tertile | 2nd Tertile | 3rd Tertile |
|---|---|---|---|
| 1 | −2.249 (−1.524– −2.974) | −1.273 (−0.562– −1.985) | −0.533 (−0.186– −1.251) (p = 0.018 vs. 1st tertile) |
| 2 | −2.260 (−1.550– −2.969) | −1.279 (−0.582– −1.976) | −0.516 (−0.187– −1.220) (p = 0.014 vs. 1st tertile) |
| 3 | −2.015 (−1.278– −2.752) | −1.344 (−0.645– −2.042) | −0.684 (−0.043– −1.411) (p = 0.001 vs. 1st tertile) |
| 4 | −2.096 (−1.283– −2.908) | −1.260 (−0.522– −1.998) | −0.693 (−0.074– −1.459) p = 0.001 vs. 1st tertile |
© 2020 by the authors. Licensee MDPI, Basel, Switzerland. This article is an open access article distributed under the terms and conditions of the Creative Commons Attribution (CC BY) license (http://creativecommons.org/licenses/by/4.0/).
Share and Cite
Baragetti, A.; Ossoli, A.; Strazzella, A.; Simonelli, S.; Baragetti, I.; Grigore, L.; Pellegatta, F.; Catapano, A.L.; Norata, G.D.; Calabresi, L. Low Plasma Lecithin: Cholesterol Acyltransferase (LCAT) Concentration Predicts Chronic Kidney Disease. J. Clin. Med. 2020, 9, 2289. https://doi.org/10.3390/jcm9072289
Baragetti A, Ossoli A, Strazzella A, Simonelli S, Baragetti I, Grigore L, Pellegatta F, Catapano AL, Norata GD, Calabresi L. Low Plasma Lecithin: Cholesterol Acyltransferase (LCAT) Concentration Predicts Chronic Kidney Disease. Journal of Clinical Medicine. 2020; 9(7):2289. https://doi.org/10.3390/jcm9072289
Chicago/Turabian StyleBaragetti, Andrea, Alice Ossoli, Arianna Strazzella, Sara Simonelli, Ivano Baragetti, Liliana Grigore, Fabio Pellegatta, Alberico L. Catapano, Giuseppe Danilo Norata, and Laura Calabresi. 2020. "Low Plasma Lecithin: Cholesterol Acyltransferase (LCAT) Concentration Predicts Chronic Kidney Disease" Journal of Clinical Medicine 9, no. 7: 2289. https://doi.org/10.3390/jcm9072289
APA StyleBaragetti, A., Ossoli, A., Strazzella, A., Simonelli, S., Baragetti, I., Grigore, L., Pellegatta, F., Catapano, A. L., Norata, G. D., & Calabresi, L. (2020). Low Plasma Lecithin: Cholesterol Acyltransferase (LCAT) Concentration Predicts Chronic Kidney Disease. Journal of Clinical Medicine, 9(7), 2289. https://doi.org/10.3390/jcm9072289

