Secondary Hyperparathyroidism and Hypertension: An Intriguing Couple
Abstract
1. Introduction
2. Main Text
2.1. The Pathogenetic Cross-Link between Hypertension and Hyperparathyroidism
2.2. Past and Future Therapeutic Implications
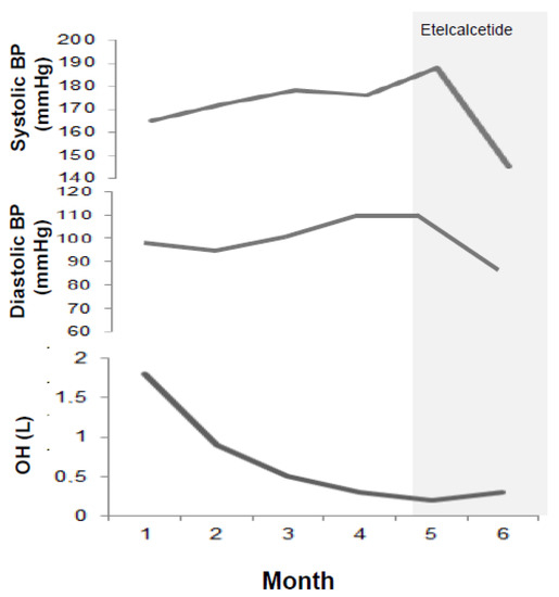
2.3. Our Experience
3. Conclusions
Author Contributions
Funding
Ethics
Conflicts of Interest
References
- Rottembourg, J.; Urena-Torres, P.; Toledano, D.; Gueutin, V.; Hamani, A.; Coldefy, O.; Hebibi, H.; Guincestre, T.; Emery, C. Factors associated with parathyroid hormone control in haemodialysis patients with secondary hyperparathyroidism treated with cinacalcet in real-world clinical practice: Mimosa study. Clin. Kidney J. 2019, 12, 871–879. [Google Scholar] [CrossRef]
- van der Plas, W.Y.; Noltes, M.E.; van Ginhoven, T.M.; Kruijff, S. Secondary and Tertiary Hyperparathyroidism: A Narrative Review. Scand J. Surg. 2019. [Google Scholar] [CrossRef]
- D’Onofrio, G.; Simeoni, M.; Rizza, P.; Caroleo, M.; Capria, M.; Mazzitello, G.; Sacco, T.; Mazzuca, E.; Panzino, M.T.; Cerantonio, A.; et al. Quality of life, clinical outcome, personality and coping in chronic hemodialysis patients. Ren. Fail. 2017, 39, 45–53. [Google Scholar] [CrossRef] [PubMed]
- Coppolino, G.; Lucisano, G.; Rivoli, L.; Simeoni, M.; De Paola, L.; Timpano, R.; Palmieri, C.; Fuiano, G. Serum β-Crosslaps as Predictor of Long-term Parathyroid Hormone Levels in Hemodialysis Patients. J. Investig. Med. 2015, 63, 539–544. [Google Scholar] [CrossRef] [PubMed]
- Levin, A.; Bakris, G.L.; Molitch, M.; Smulders, M.; Tian, J.; Williams, L.A.; Andress, D.L. Prevalence of abnormal serum vitamin D, PTH, calcium, and phosphorus in patients with chronic kidney disease: Results of the study to evaluate early kidney disease. Kidney Int. 2007, 71, 31–38. [Google Scholar] [CrossRef] [PubMed]
- Tsuchiya, K.; Nagano, N.; Nitta, K. Klotho/FGF23 Axis in CKD. Contrib. Nephrol. 2015, 185, 56–65. [Google Scholar] [CrossRef]
- Perna, A.F.; Pizza, A.; Di Nunzio, A.; Bellantone, R.; Raffaelli, M.; Cicchella, T.; Conzo, G.; Santini, L.; Zacchia, M.; Trepiccione, F.; et al. ADAM17, a New Player in the Pathogenesis of Chronic Kidney Disease-Mineral and Bone Disorder. J. Ren. Nutr. 2017, 27, 453–457. [Google Scholar] [CrossRef]
- Cunningham, J.; Locatelli, F.; Rodriguez, M. Secondary hyperparathyroidism: Pathogenesis, disease progression, and therapeutic options. Clin J. Am. Soc. Nephrol. 2011, 6, 913–921. [Google Scholar] [CrossRef]
- Karwowski, W.; Naumnik, B.; Szczepański, M.; Myśliwiec, M. The mechanism of vascular calcification—A systematic review. Med. Sci. Monit. 2012, 18, RA1-11. [Google Scholar] [CrossRef]
- Burmeister, J.E.; Mosmann, C.B.; Costa, V.B.; Saraiva, R.T.; Grandi, R.R.; Bastos, J.P.; Gonçalves, L.F.; Rosito, G.A. Prevalence of cardiovascular risk factors in hemodialysis patients—The CORDIAL study. Arq. Bras. Cardiol. 2014, 102, 473–480. [Google Scholar] [CrossRef]
- Shafi, T.; Waheed, S.; Zager, P.G. Hypertension in hemodialysis patients: An opinion-based update. Semin. Dial. 2014, 27, 146–153. [Google Scholar] [CrossRef] [PubMed]
- Ohsawa, M.; Kato, K.; Itai, K.; Onoda, T.; Konda, R.; Fujioka, T.; Nakamura, M.; Okayama, A.; KAREN Study Group. Cardiovascular risk factors in hemodialysis patients: Results from baseline data of kaleidoscopic approaches to patients with end-stage renal disease study. J. Epidemiol. 2005, 15, 96–105. [Google Scholar] [CrossRef]
- Agarwal, R.; Nissenson, A.R.; Batlle, D.; Coyne, D.W.; Trout, J.R.; Warnock, D.G. Prevalence, treatment, and control of hypertension in chronic hemodialysis patients in the United States. Am. J. Med. 2003, 115, 291–297. [Google Scholar] [CrossRef]
- Longenecker, J.C.; Coresh, J.; Powe, N.R.; Levey, A.S.; Fink, N.E.; Martin, A.; Klag, M.J. Traditional cardiovascular disease risk factors in dialysis patients compared with the general population: The CHOICE Study. J. Am. Soc. Nephrol. 2002, 13, 1918–1927. [Google Scholar] [CrossRef] [PubMed]
- Stern, A.; Sachdeva, S.; Kapoor, R.; Singh, J.; Sachdeva, S. High blood pressure in dialysis patients: Cause, pathophysiology, influence on morbidity, mortality and management. J. Clin. Diagn. Res. 2014, 8, ME01-4. [Google Scholar] [CrossRef] [PubMed]
- Goldsmith, D.J.; Covic, A.A.; Venning, M.C.; Ackrill, P. Blood pressure reduction after parathyroidectomy for secondary hyperparathyroidism: Further evidence implicating calcium homeostasis in blood pressure regulation. Am. J. Kidney Dis. 1996, 27, 819–825. [Google Scholar] [CrossRef]
- Sofronie, A.C.; Kooij, I.; Bursot, C.; Santagati, G.; Coindre, J.P.; Piccoli, G.B. Full normalization of severe hypertension after parathryoidectomy—A case report and systematic review. BMC Nephrol. 2018, 19, 112. [Google Scholar] [CrossRef]
- Massry, S.G.; Iseki, K.; Campese, V.M. Serum Calcium, Parathyroid Hormone, and Blood Pressure. Am. J. Nephrol. 1986, 6 (Suppl. 1), 19–28. [Google Scholar] [CrossRef]
- Conzo, G.; Perna, A.F.; Savica, V.; Palazzo, A.; Della Pietra, C.; Ingrosso, D.; Satta, E.; Capasso, G.; Santini, L.; Docimo, G. Impact of parathyroidectomy on cardiovascular outcomes and survival in chronic hemodialysis patients with secondary hyperparathyroidism. A retrospective study of 50 cases prior to the calcimimetics era. BMC Surg. 2013, 13 (Suppl. 2), S4. [Google Scholar] [CrossRef]
- Zucchelli, P.; Santoro, A.; Zucchelli, A.; Spongano, M.; Ferrari, G. Long-term effects of parathyroidectomy on cardiac and autonomic nervous system functions in haemodialysis patients. Nephrol Dial. Transpl. 1988, 3, 45–50. [Google Scholar]
- Rashid, G.; Bernheim, J.; Green, J.; Benchetrit, S. Parathyroid hormone stimulates endothelial expression of atherosclerotic parameters through protein kinase pathways. Am. J. Physiol. Ren. Physiol. 2007, 292, F1215–F1218. [Google Scholar] [CrossRef] [PubMed]
- Saleh, F.N.; Schirmer, H.; Sundsfjord, J.; Jorde, R. Parathyroid hormone and left ventricular hypertrophy. Eur. Heart J. 2003, 24, 2054–2060. [Google Scholar] [CrossRef] [PubMed]
- Brown, S.J.; Ruppe, M.D.; Tabatabai, L.S. The Parathyroid Gland and Heart Disease. Methodist Debakey Cardiovasc. J. 2017, 13, 49–54. [Google Scholar] [CrossRef] [PubMed]
- Yamada, S.; Giachelli, C.M. Vascular calcification in CKD-MBD: Roles for phosphate, FGF23, and Klotho. Bone 2017, 100, 87–93. [Google Scholar] [CrossRef] [PubMed]
- Andrukhova, O.; Slavic, S.; Smorodchenko, A.; Zeitz, U.; Shalhoub, V.; Lanske, B.; Pohl, E.E.; Erben, R.G. FGF23 regulates renal sodium handling and blood pressure. EMBO Mol. Med. 2014, 6, 744–759. [Google Scholar] [CrossRef] [PubMed]
- Perkovic, V.; Hewitson, T.D.; Kelynack, K.J.; Martic, M.; Tait, M.G.; Becker, G.J. Parathyroid hormone has a prosclerotic effect on vascular smooth muscle cells. Nephrology 2002, 7, A69. [Google Scholar] [CrossRef]
- Roman, S.A.; Sosa, J.A.; Pietrzak, R.H.; Snyder, P.J.; Thomas, D.C.; Udelsman, R.; Mayes, L. The Effects of Serum Calcium and Parathyroid Hormone Changes on Psychological and Cognitive Function in Patients Undergoing Parathyroidectomy for Primary Hyperparathyroidism. Ann. Surg. 2011, 253, 131–137. [Google Scholar] [CrossRef]
- Shih, C.J.; Tarng, D.C.; Yang, W.C.; Yang, C.Y. Parathyroidectomy Reduces Intradialytic Hypotension in Hemodialysis Patients with Secondary Hyperparathyroidism. Kidney Blood Press. Res. 2013, 37, 323–331. [Google Scholar] [CrossRef]
- Leiba, A.; Cohen, M.S.; Dinour, D.; Holtzman, E.J. Severe and long-lasting hypotension occuring immediately after parathyroidectomy in hypertensive hemodialysis patients: A case series. J. Hum. Hypertens. 2013, 27, 399–401. [Google Scholar] [CrossRef]
- De Santo, R.M.; Livrea, A.; De Santo, N.G.; Conzo, G.; Bilancio, G.; Celsi, S.; Cirillo, M. The High Prevalence of Alexithymia in Hemodialyzed Patients With Secondary Hyperparathyroidism Unsuppressed by Medical Therapy Is Cured by Parathyroidectomy. J. Ren. Nutr. 2010, 20, S64–S70. [Google Scholar] [CrossRef]
- Almirall, J.; Lopez, T.; Comerma, I.; Garcia, E.; Marques, G. Effect of Parathyroidectomy on Blood Pressure in Dialysis Patients. Nephron 2002, 92, 495–496. [Google Scholar] [CrossRef] [PubMed]
- Saatci, U.; Akman, B.; Akcay, A.; Ozdemir, F.N.; Budak, B.; Haberal, M. Effects of secondary hyperparathyroidism treatments on blood pressure and lipid levels in chronic renal failure patients. Transpl. Proc. 2002, 34, 2041–2043. [Google Scholar] [CrossRef]
- Coen, G.; Calabria, S.; Bellinghieri, G.; Pecchini, F.; Conte, F.; Chiappini, M.G.; Ferrannini, M.; Lagona, C.; Mallamace, A.; Manni, M.; et al. Parathyroidectomy in Chronic Renal Failure: Short- and Long-Term Results on Parathyroid Function, Blood Pressure and Anemia. Nephron 2001, 88, 149–155. [Google Scholar] [CrossRef] [PubMed]
- Chow, K.M.; Szeto, C.C.; Kum, L.C.; Kwan, B.C.; Fung, T.M.; Wong, T.Y.; Leung, C.B.; Li, P.K. Improved health-related quality of life and left ventricular hypertrophy among dialysis patients treated with parathyroidectomy. J. Nephrol. 2003, 16, 878–885. [Google Scholar]
- Pereira, L.; Meng, C.; Marques, D.; Frazao, J.M. Old and new calcimimetics for treatment of secondary hyperparathyroidism: Impact on biochemical and relevant clinical outcomes. Clin. Kidney J. 2018, 11, 80–88. [Google Scholar] [CrossRef]
- The EVOLVE Trial Investigators. Effect of Cinacalcet on Cardiovascular Disease in Patients Undergoing Dialysis. N. Engl. J. Med. 2012, 367, 2482–2494. [Google Scholar] [CrossRef]
- Chang, T.I.; Abdalla, S.; London, G.M.; Block, G.A.; Correa-Rotter, R.; Drüeke, T.B.; Floege, J.; Herzog, C.A.; Mahaffey, K.W.; Moe, S.M.; et al. The effects of cinacalcet on blood pressure, mortality and cardiovascular endpoints in the EVOLVE trial. J. Hum. Hypertens. 2016, 30, 204–209. [Google Scholar] [CrossRef] [PubMed]
- Block, G.A.; Bushinsky, D.A.; Cunningham, J.; Drueke, T.B.; Ketteler, M.; Kewalramani, R.; Martin, K.J.; Mix, T.C.; Moe, S.M.; Patel, U.D.; et al. Effect of Etelcalcetide vs Placebo on Serum Parathyroid Hormone in Patients Receiving Hemodialysis With Secondary Hyperparathyroidism: Two Randomized Clinical Trials. JAMA 2017, 317, 146–155. [Google Scholar] [CrossRef] [PubMed]
- Block, G.A.; Bushinsky, D.A.; Cheng, S.; Cunningham, J.; Dehmel, B.; Drueke, T.B.; Ketteler, M.; Kewalramani, R.; Martin, K.J.; Moe, S.M.; et al. Effect of Etelcalcetide vs Cinacalcet on Serum Parathyroid Hormone in Patients Receiving Hemodialysis With Secondary Hyperparathyroidism: A Randomized Clinical Trial. JAMA 2017, 317, 156–164. [Google Scholar] [CrossRef] [PubMed]
- Block, G.A.; Chertow, G.M.; Sullivan, J.T.; Deng, H.; Mather, O.; Tomlin, H.; Serenko, M. An integrated analysis of safety and tolerability of etelcalcetide in patients receiving hemodialysis with secondary hyperparathyroidism. PLoS ONE 2019, 14, e0213774. [Google Scholar] [CrossRef]
- Bushinsky, D.A.; Chertow, G.M.; Cheng, S.; Deng, H.; Kopyt, N.; Martin, K.J.; Rastogi, A.; Ureña-Torres, P.; Vervloet, M.; Block, G.A. One-year safety and efficacy of intravenous etelcalcetide in patients on hemodialysis with secondary hyperparathyroidism. Nephrol. Dial. Transplant. 2019. [Google Scholar] [CrossRef] [PubMed]
- Simeoni, M.; Nicotera, R.; Colao, M.; Citraro, M.L.; Pelagi, E.; Cerantonio, A.; Coppolino, G.; Fuiano, G. Direct inhibition of plasmatic renin activity with aliskiren: A promising but under-investigated therapeutic option for non-diabetic glomerulonephritis. Int. Urol. Nephrol. 2016, 48, 229–237. [Google Scholar] [CrossRef] [PubMed]
- Cianfrone, P.; Simeoni, M.; Comi, N.; Piraina, V.; Talarico, R.; Cerantonio, A.; Gentile, I.; Fabiano, F.F.; Lucisano, G.; Foti, D.; et al. How to improve duration and efficiency of the antiproteinuric response to Ramipril: RamiPROT—A prospective cohort study. J. Nephrol. 2017, 30, 95–102. [Google Scholar] [CrossRef] [PubMed]




| Study ID | Study Design | n | Intervention vs. Comparator | Follow-Up (Weeks) | Outcome −30% iPTH Reduction (% pts) | SAE Hypocalcemia n | SAE Hypotension n | |||
|---|---|---|---|---|---|---|---|---|---|---|
| ETEL | COMPARATOR | ETEL | COMPARATOR | ETEL | COMPARATOR | |||||
| Block G.A. et al. JAMA 2017 | 2 Phase III RCT (A-B) | 1023 | Etelcalcetide vs. Placebo | 26 | 74.6 | 8.9 | 35 | 1 | 31 | 29 |
| Block G.A. et al.; PLOS One 2019 | Pooled data from 5 RCT | 3005 | Etelcalcetide vs. Cinacalcet or Placebo | Mixed (26-52-extended) | 71.4 | 33.3 | 52 | 9 | 53 | 36 |
| Block G.A. et al.; JAMA 2017 | RCT | 683 | Etelcalcetide vs. Cinacalcet | 26 | 68.2 | 57.7 | 17 | 8 | 23 | 10 |
| Bushinsky D.A. et al.; NDT 2019 | RCT | 158 | ‘Switch’ study from Cinacalcet to Etelcalcetide | 52 | 68 | 33 | 35 | 75 | 30 | |
© 2020 by the authors. Licensee MDPI, Basel, Switzerland. This article is an open access article distributed under the terms and conditions of the Creative Commons Attribution (CC BY) license (http://creativecommons.org/licenses/by/4.0/).
Share and Cite
Simeoni, M.; Perna, A.F.; Fuiano, G. Secondary Hyperparathyroidism and Hypertension: An Intriguing Couple. J. Clin. Med. 2020, 9, 629. https://doi.org/10.3390/jcm9030629
Simeoni M, Perna AF, Fuiano G. Secondary Hyperparathyroidism and Hypertension: An Intriguing Couple. Journal of Clinical Medicine. 2020; 9(3):629. https://doi.org/10.3390/jcm9030629
Chicago/Turabian StyleSimeoni, Mariadelina, Alessandra F. Perna, and Giorgio Fuiano. 2020. "Secondary Hyperparathyroidism and Hypertension: An Intriguing Couple" Journal of Clinical Medicine 9, no. 3: 629. https://doi.org/10.3390/jcm9030629
APA StyleSimeoni, M., Perna, A. F., & Fuiano, G. (2020). Secondary Hyperparathyroidism and Hypertension: An Intriguing Couple. Journal of Clinical Medicine, 9(3), 629. https://doi.org/10.3390/jcm9030629

