Preeclampsia: The Interplay between Oxygen-Sensitive miRNAs and Erythropoietin
Abstract
1. Introduction
2. Experimental Section
2.1. Patient Cohort
2.2. RNA/miRNA Isolation from Placental Tissue and Peripheral Blood Plasma
2.3. MiRNA Deep Sequencing
2.4. Real-Time Quantitative RT-PCR
2.5. Biochemical Measurement of Peripheral Blood in the Patient Cohort
2.6. Statistical Data Analysis
3. Results
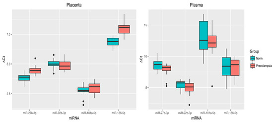
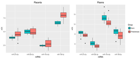
3.1. Profiling and Search for Hypoxia-Induced miRNAs in Placental Tissue and Blood Plasma at Early-Onset and Late-Onset PE
3.2. Evaluation of Hypoxia-Induced miRNA Expression
3.3. Evaluation of Expression of miR-125b-5p Acting as an Erythropoietin Modulator in Placental Tissue and Blood Plasma
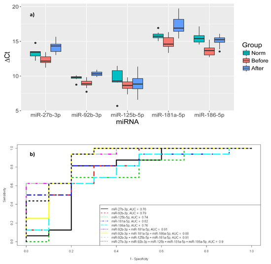
3.4. Evaluation of Hypoxia-Induced miRNA Expression in Blood Plasma on the 1st Day After Delivery
3.5. Evaluation of Erythropoietin Status, Iron and Nitrogen Metabolism in Pregnant Women with PE
4. Discussion
5. Conclusions
Author Contributions
Funding
Acknowledgments
Conflicts of Interest
References
- Roberts, J.M.; Gammill, H. Preeclampsia. Hypertens 2005, 46, 1243–1249. [Google Scholar] [CrossRef] [PubMed]
- Roberts, J.M.; Cooper, D. Pathogenesis and genetics of pre-eclampsia. Lancet 2001, 357, 53–56. [Google Scholar] [CrossRef]
- Ap Steegers, E.; Von Dadelszen, P.; Duvekot, J.J.; Pijnenborg, R. Pre-eclampsia. Lancet 2010, 376, 631–644. [Google Scholar] [CrossRef]
- Redman, C. Early and late onset preeclampsia: Two sides of the same coin. Pregnancy Hypertens. 2017, 7, 58. [Google Scholar] [CrossRef]
- Burton, G.J.; Redman, C.W.; Roberts, J.M.; Moffett, A. Pre-eclampsia: Pathophysiology and clinical implications. BMJ 2019, 366, l2381. [Google Scholar] [CrossRef]
- Hung, T.-H.; Burton, G.J. Hypoxia and Reoxygenation: A Possible Mechanism for Placental Oxidative Stress in Preeclampsia. Taiwan J. Obstet. Gynecol. 2006, 45, 189–200. [Google Scholar] [CrossRef]
- Burton, G.J. Oxygen, the Janus gas; its effects on human placental development and function. J. Anat. 2008, 215, 27–35. [Google Scholar] [CrossRef]
- Burton, G.; Yung, H.-W.; Cindrova-Davies, T.; Charnock-Jones, D.S. Placental Endoplasmic Reticulum Stress and Oxidative Stress in the Pathophysiology of Unexplained Intrauterine Growth Restriction and Early Onset Preeclampsia. Placenta 2008, 30, S43–S48. [Google Scholar] [CrossRef]
- Redman, C.; Sargent, I. Placental Stress and Pre-eclampsia: A Revised View. Placenta 2009, 30, 38–42. [Google Scholar] [CrossRef]
- Staff, A.C. The two-stage placental model of preeclampsia: An update. J. Reprod. Immunol. 2019, 134–135, 1–10. [Google Scholar] [CrossRef]
- Charnock-Jones, D.S. Soluble flt-1 and the angiopoietins in the development and regulation of placental vasculature. J. Anat. 2002, 200, 607–615. [Google Scholar] [CrossRef] [PubMed]
- Charnock-Jones, D.S.; Burton, G.J. Placental vascular morphogenesis. Best Pr. Res. Clin. Obstet. Gynaecol. 2000, 14, 953–968. [Google Scholar] [CrossRef] [PubMed]
- Bertero, T.; Rezzonico, R.; Pottier, N.; Mari, B. Impact of MicroRNAs in the Cellular Response to Hypoxia. Int. Rev. Cell Mol. Biol. 2017, 333, 91–158. [Google Scholar]
- Greco, S.; Gaetano, C.; Martelli, F. HypoxamiR Regulation and Function in Ischemic Cardiovascular Diseases. Antioxid. Redox Signal. 2014, 21, 1202–1219. [Google Scholar] [CrossRef] [PubMed]
- Guarnieri, D.J.; Dileone, R. MicroRNAs: A new class of gene regulators. Ann. Med. 2008, 40, 197–208. [Google Scholar] [CrossRef] [PubMed]
- Li, J.Y.Z.; Yong, T.Y.; Michael, M.Z.; Gleadle, J. MicroRNAs: Are they the missing link between hypoxia and pre-eclampsia? Hypertens. Pregnancy 2013, 33, 102–114. [Google Scholar] [CrossRef]
- Li, Y.; Kowdley, K.V. MicroRNAs in common human diseases. Genom. Proteom. Bioinform. 2012, 10, 246–253. [Google Scholar] [CrossRef]
- Ivan, M.; Harris, A.; Martelli, F.; Kulshreshtha, R. Hypoxia response and microRNAs: No longer two separate worlds. J. Cell. Mol. Med. 2008, 12, 1426–1431. [Google Scholar] [CrossRef]
- Kulshreshtha, R.; Davuluri, R.V.; Calin, G.A.; Ivan, M. A microRNA component of the hypoxic response. Cell Death Differ. 2008, 15, 667–671. [Google Scholar] [CrossRef]
- Kulshreshtha, R.; Ferracin, M.; Negrini, M.; Calin, G.A.; Davuluri, R.V.; Ivan, M. Regulation of microRNA expression: The hypoxic component. Cell Cycle 2007, 6, 1425–1430. [Google Scholar] [CrossRef]
- Nallamshetty, S.; Chan, S.Y.; Loscalzo, J. Hypoxia: A master regulator of microRNA biogenesis and activity. Free. Radic. Boil. Med. 2013, 64, 20–30. [Google Scholar] [CrossRef] [PubMed]
- Kosinski, P.; Bomba-Opon, D.A.; Wielgoś, M. First trimester erythropoietin (EPO) serum concentration as a potential marker for abnormal placentation disorders. Reference values for erythropoietin (EPO) concentration at 11–13+6 weeks of gestation. J. Périnat. Med. 2016, 44, 187–193. [Google Scholar] [CrossRef] [PubMed]
- Medvedev, B.I.; Syundyukova, E.G.; Sashenkov, S.L. Serum erythropoietin and its placental expression in preeclampsia-complicated pregnancy. Akusherstvo Ginekol. 2015, 10, 47–53. [Google Scholar]
- Hershkovitz, R.; Ohel, I.; Sheizaf, B.; Nathan, I.; Erez, O.; Sheiner, E.; Pinku, A.; Mazor, M. Erythropoietin concentration among patients with and without preeclampsia. Arch. Gynecol. Obstet. 2005, 273, 140–143. [Google Scholar] [CrossRef]
- Kaupke, C.J.; Vaziri, N.D.; Powers, D.R.; Gonzales, E. Erythropoietin in preeclampsia. Obstet. Gynecol. 1991, 78, 795–799. [Google Scholar] [CrossRef]
- McMullin, M.F.; White, R.; Lappin, T.; Reeves, J.; MacKenzie, G. Haemoglobin during pregnancy: Relationship to erythropoietin and haematinic status. Eur. J. Haematol. 2003, 71, 44–50. [Google Scholar] [CrossRef]
- Kowalska-Kańka, A.; Maciejewski, T.; Niemiec, K.T. The role and regulation of secretion of erythropoietin in pregnancy. Med. Wieku Rozw. 2013, 17, 270–275. [Google Scholar]
- Ferracin, M.; Bassi, C.; Pedriali, M.; Pagotto, S.; D’Abundo, L.; Zagatti, B.; Corrà, F.; Musa, G.; Callegari, E.; Lupini, L.; et al. miR-125b targets erythropoietin and its receptor and their expression correlates with metastatic potential and ERBB2/HER2 expression. Mol. Cancer 2013, 12, 130. [Google Scholar] [CrossRef]
- Livak, K.J.; Schmittgen, T.D. Analysis of Relative Gene Expression Data Using Real-Time Quantitative PCR and the 2−ΔΔCT Method. Methods 2001, 25, 402–408. [Google Scholar] [CrossRef]
- Donker, R.B.; Mouillet, J.-F.; Nelson, D.; Sadovsky, Y. The expression of Argonaute2 and related microRNA biogenesis proteins in normal and hypoxic trophoblasts†. Mol. Hum. Reprod. 2007, 13, 273–279. [Google Scholar] [CrossRef]
- Lalevée, S.; Lapaire, O.; Bühler, M. miR455 is linked to hypoxia signaling and is deregulated in preeclampsia. Cell Death Dis. 2014, 5, e1408. [Google Scholar] [CrossRef] [PubMed]
- Mouillet, J.-F.; Chu, T.; Nelson, D.M.; Mishima, T.; Sadovsky, Y. MiR-205 silences MED1 in hypoxic primary human trophoblasts. FASEB J. 2010, 24, 2030–2039. [Google Scholar] [CrossRef] [PubMed]
- Hromadníková, I.; Kotlabova, K.; Hympanova, L.; Krofta, L. Cardiovascular and Cerebrovascular Disease Associated microRNAs Are Dysregulated in Placental Tissues Affected with Gestational Hypertension, Preeclampsia and Intrauterine Growth Restriction. PLoS ONE 2015, 10, e0138383. [Google Scholar] [CrossRef] [PubMed]
- Pineles, B.L.; Romero, R.; Montenegro, D.; Tarca, A.L.; Han, Y.M.; Kim, Y.M.; Draghici, S.; Espinoza, J.; Kusanovic, J.P.; Mittal, P.; et al. Distinct subsets of microRNAs are expressed differentially in the human placentas of patients with preeclampsia. Am. J. Obstet. Gynecol. 2007, 196, 261.e1–261.e6. [Google Scholar] [CrossRef] [PubMed]
- Enquobahrie, D.; Abetew, D.F.; Sorensen, T.K.; Willoughby, D.; Chidambaram, K.; Williams, M.A. Placental microRNA expression in pregnancies complicated by preeclampsia. Am. J. Obstet. Gynecol. 2010, 204, 178.e12–178.e21. [Google Scholar] [CrossRef] [PubMed]
- Zhu, X.; Han, T.; Sargent, I.L.; Yin, G.-W.; Yao, Y.-Q. Differential expression profile of microRNAs in human placentas from preeclamptic pregnancies vs normal pregnancies. Am. J. Obstet. Gynecol. 2009, 200, 661.e1–661.e7. [Google Scholar] [CrossRef]
- Mayor-Lynn, K.; Toloubeydokhti, T.; Cruz, A.C.; Chegini, N. Expression Profile of MicroRNAs and mRNAs in Human Placentas From Pregnancies Complicated by Preeclampsia and Preterm Labor. Reprod. Sci. 2010, 18, 46–56. [Google Scholar] [CrossRef]
- Hu, Y.; Li, P.; Hao, S.; Liu, L.; Zhao, J.; Hou, Y. Differential expression of microRNAs in the placentae of Chinese patients with severe pre-eclampsia. Clin. Chem. Lab. Med. 2009, 47, 923–929. [Google Scholar] [CrossRef]
- Van Rijn, B.B.; Bruinse, H.W.; Veerbeek, J.H.; Uiterweer, E.P.; Koenen, S.V.; Van Der Bom, J.G.; Rijkers, G.T.; Roest, M.; Franx, A. Postpartum Circulating Markers of Inflammation and the Systemic Acute-Phase Response After Early-Onset Preeclampsia. Hypertens 2016, 67, 404–414. [Google Scholar] [CrossRef]
- Wu, L.; Zhou, H.; Lin, H.; Qi, J.; Zhu, C.; Gao, Z.; Wang, H. Circulating microRNAs are elevated in plasma from severe preeclamptic pregnancies. Reproduction 2012, 143, 389–397. [Google Scholar] [CrossRef]
- Gunel, T.; Zeybek, Y.; Akcakaya, P.; Kalelioglu, I.; Benian, A.; Ermis, H.; Aydinli, K. Serum microRNA expression in pregnancies with preeclampsia. Genet. Mol. Res. 2011, 10, 4034–4040. [Google Scholar] [CrossRef] [PubMed]
- Li, H.; Ge, Q.; Guo, L.; Lu, Z. Maternal Plasma miRNAs Expression in Preeclamptic Pregnancies. BioMed Res. Int. 2013, 2013, 1–9. [Google Scholar] [CrossRef] [PubMed]
- Murray, A. Oxygen delivery and fetal-placental growth: Beyond a question of supply and demand? Placenta 2012, 33, e16–e22. [Google Scholar] [CrossRef] [PubMed]
- Timofeeva, A.; Gusar, V.A.; Kan, N.E.; Prozorovskaya, K.N.; Karapetyan, A.O.; Bayev, O.R.; Chagovets, V.V.; Kliver, S.; Iakovishina, D.Y.; Frankevich, V.; et al. Identification of potential early biomarkers of preeclampsia. Placenta 2018, 61, 61–71. [Google Scholar] [CrossRef]
- Timofeeva, T.A.; Gusar, V.; Prozorovskaya, P.K.; Balashov, B.I.; Lomova, L.N.; Ganichkina, G.M.; Amiraslanov, A.E.; Volochaeva, V.M.; Nizyaeva, N.N.; Borovikov, P.; et al. Identification of preeclampsia-related miRNA by a deep sequencing technique and a real-time quantitative PCR. Akusherstvo i Ginekol. 2016, 8, 60–70. [Google Scholar] [CrossRef]
- Cross, C.; Tolba, M.; Rondelli, C.M.; Xu, M.; Rahman, S.Z. Oxidative Stress Alters miRNA and Gene Expression Profiles in Villous First Trimester Trophoblasts. BioMed Res. Int. 2015, 2015, 1–11. [Google Scholar] [CrossRef]
- Saravanan, P.B.; Vasu, S.; Yoshimatsu, G.; Darden, C.M.; Wang, X.; Gu, J.; Lawrence, M.; Naziruddin, B. Differential expression and release of exosomal miRNAs by human islets under inflammatory and hypoxic stress. Diabetologia 2019, 62, 1901–1914. [Google Scholar] [CrossRef]
- Luo, H.; Li, X.; Li, T.; Zhao, L.; He, J.; Zha, L.; Qi, Q.; Yu, Z. microRNA-423-3p exosomes derived from cardiac fibroblasts mediates the cardioprotective effects of ischaemic post-conditioning. Cardiovasc. Res. 2018, 115, 1189–1204. [Google Scholar] [CrossRef]
- Chelbi, S.; Vaiman, D. Genetic and epigenetic factors contribute to the onset of preeclampsia. Mol. Cell. Endocrinol. 2008, 282, 120–129. [Google Scholar] [CrossRef]
- Yang, Y.; Wang, J.-K. The functional analysis of MicroRNAs involved in NF-?B signaling. Eur Rev Med Pharmacol Sci 2016, 20, 1764–1774. [Google Scholar]
- Ghosh, G.; Subramanian, I.V.; Adhikari, N.; Zhang, X.; Joshi, H.P.; Basi, D.; Chandrashekhar, Y.; Hall, J.L.; Roy, S.; Zeng, Y.; et al. Hypoxia-induced microRNA-424 expression in human endothelial cells regulates HIF-α isoforms and promotes angiogenesis. J. Clin. Investig. 2010, 120, 4141–4154. [Google Scholar] [CrossRef] [PubMed]
- Truong, G.; Guanzon, D.; Kinhal, V.; Elfeky, O.; Lai, A.; Longo, S.; Nuzhat, Z.; Palma, C.; Scholz-Romero, K.; Menon, R.; et al. Oxygen tension regulates the miRNA profile and bioactivity of exosomes released from extravillous trophoblast cells – Liquid biopsies for monitoring complications of pregnancy. PLoS ONE 2017, 12, e0174514. [Google Scholar] [CrossRef] [PubMed]
- Choi, S.Y.; Yun, J.; Lee, O.-J.; Han, H.-S.; Yeo, M.-K.; Lee, M.-A.; Suh, K.-S. MicroRNA expression profiles in placenta with severe preeclampsia using a PNA-based microarray. Placenta 2013, 34, 799–804. [Google Scholar] [CrossRef] [PubMed]
- Liu, F.J.; Lim, K.Y.; Kaur, P.; Sepramaniam, S.; Armugam, A.; Wong, P.T.H.; Jeyaseelan, K. microRNAs Involved in Regulating Spontaneous Recovery in Embolic Stroke Model. PLoS ONE 2013, 8, e66393. [Google Scholar] [CrossRef] [PubMed]
- Jeyaseelan, K.; Lim, K.Y.; Armugam, A. MicroRNA Expression in the Blood and Brain of Rats Subjected to Transient Focal Ischemia by Middle Cerebral Artery Occlusion. Stroke 2008, 39, 959–966. [Google Scholar] [CrossRef] [PubMed]
- Hale, A.; Lee, C.; Annis, S.; Min, P.-K.; Pande, R.; Creager, M.A.; Julian, C.G.; Moore, L.G.; Mitsialis, A.; Hwang, S.J.; et al. An Argonaute 2 switch regulates circulating miR-210 to coordinate hypoxic adaptation across cells. Biochim. et Biophys. Acta Bioenerg. 2014, 1843, 2528–2542. [Google Scholar] [CrossRef]
- Turchinovich, A.; Weiz, L.; Langheinz, A.; Burwinkel, B. Characterization of extracellular circulating microRNA. Nucleic Acids Res. 2011, 39, 7223–7233. [Google Scholar] [CrossRef]
- Tili, E.; Michaille, J.-J.; Croce, C.M. MicroRNAs play a central role in molecular dysfunctions linking inflammation with cancer. Immunol. Rev. 2013, 253, 167–184. [Google Scholar] [CrossRef]
- Hromadníková, I.; Kotlabova, K.; Hympanova, L.; Krofta, L.; Information, P.E.K.F.C. Gestational hypertension, preeclampsia and intrauterine growth restriction induce dysregulation of cardiovascular and cerebrovascular disease associated microRNAs in maternal whole peripheral blood. Thromb. Res. 2016, 137, 126–140. [Google Scholar] [CrossRef]
- Yang, W.; Wang, A.; Zhao, C.; Li, Q.; Pan, Z.; Han, X.; Zhang, C.; Wang, G.; Ji, C.; Wang, G.; et al. miR-125b Enhances IL-8 Production in Early-Onset Severe Preeclampsia by Targeting Sphingosine-1-Phosphate Lyase 1. PLoS ONE 2016, 11, e0166940. [Google Scholar] [CrossRef]
- Zamudio, S. High-altitude hypoxia and preeclampsia. Front. Biosci. 2007, 12, 2967–2977. [Google Scholar] [CrossRef] [PubMed]
- Wolfson, G.H.; Vargas, E.; Browne, V.A.; Moore, L.G.; Julian, C.G. Erythropoietin and Soluble Erythropoietin Receptor: A Role for Maternal Vascular Adaptation to High-Altitude Pregnancy. J. Clin. Endocrinol. Metab. 2016, 102, 242–250. [Google Scholar] [CrossRef] [PubMed]
- Teramo, K.; Hiilesmaa, V.; Schwartz, R.; Clemons, G.; Widness, J.A. Amniotic fluid and cord plasma erythropoietin levels in pregnancies complicated by preeclampsia, pregnancy-induced hypertension and chronic hypertension. J. Périnat. Med. 2004, 32, 240–247. [Google Scholar] [CrossRef] [PubMed]
- Bertero, T.; Lu, Y.; Annis, S.; Hale, A.; Bhat, B.; Saggar, R.; Saggar, R.; Wallace, W.D.; Ross, D.J.; Vargas, S.O.; et al. Systems-level regulation of microRNA networks by miR-130/301 promotes pulmonary hypertension. J. Clin. Investig. 2014, 124, 3514–3528. [Google Scholar] [CrossRef]







| <34 GW | >34 GW | |||||
|---|---|---|---|---|---|---|
| Pregnant Women Cohort with PE (n = 16) | Control Group (n = 10) | p-Value | Pregnant Women Cohort with PE (n = 12) | Control Group (n = 16) | p-Value | |
| Gestational age at the time of delivery, weeks | 31 ± 3 | 30 ± 3 | 0.42 | 37 ± 2 | 37 ± 3 | 1 |
| Manifestation PE, weeks | 28 ± 4 | absent | - | 36.5 ± 1 | absent | - |
| Systolic blood pressure (110–130 mmHg) | 153.6 ± 18.3 | 113.4 ± 4.8 | <0.001 | 142.08 ± 14.2 | 112.4 ± 4.7 | <0.001 |
| Diastolic blood pressure (65–80 mmHg) | 98.6 ± 11.1 | 68.2 ± 3.8 | <0.001 | 91.6 ± 9.3 | 68.3 ± 3.4 | <0.001 |
| Proteinuria (0–0.2 g/L) | 3.53 (1.28–4.37) | absent | - | 0.7 (0.17–2.92) | absent | - |
| Peripheral edema, n (%) | 7 (43.7%) | absent | - | 8 (66.7%) | absent | - |
| Ratio of placental dysfunction markers (sFLT-1/PLGF; 1.5–7) | 315.65 (134.28–475.18) | NA | - | 173.3 ± 116.04 | NA | - |
| Platelet level (150–400 × 109 c/L) | 204 ± 77.04 | 238.5 ± 54.9 | 0.2 | 212.08 ± 56.63 | 227.6 ± 61.5 | 0.5 |
| Liver function test: | ||||||
| ALT level (0–40 u/L) | 23.05 (11.8-59.32) | NA | - | 20.8±7.6 | NA | - |
| AST level (0–40 u/L) | 27.15 (17.08-35.53) | NA | - | 25.4±9.2 | NA | - |
| Birth weight, grams (centiles) | 1587 ± 204 (42.53 ± 29.82) | VLBW - | - | 2912 ± 168 (55.55 ± 32.09) | 3457 ± 133 (75.92 ± 30.04) | <0.001 |
| Pregnant Women Cohort with PE | p-Value <34 GW vs. >34 GW | Control Group (n = 18) | p-Value | |||
|---|---|---|---|---|---|---|
| <34 GW (n = 12) | >34 GW (n = 14) | <34 GW | >34 GW | |||
| Gestational age at the time of delivery, weeks | 30 ± 2 | 37 ± 1 | <0.001 | 39 ± 1 | <0.001 | <0.001 |
| Systolic blood pressure (110–130 mmHg) | 147.1 ± 19.9 | 138.0 ± 17.3 | 0.245 | 114.3 ± 6.0 | <0.001 | <0.001 |
| Diastolic blood pressure (65–80 mmHg) | 94.5 ± 14.4 | 86.1 ± 13.8 | 0.156 | 72.1 ± 5.9 | <0.001 | 0.002 |
| Proteinuria (0–0.2 g/L) | 0.65 (0.12–1.44) | 1.07 (0.41–4.17) | 0.265 | absent | - | - |
| Peripheral edema, n (%) | 6 (50.0%) | 7 (50.0%) | - | absent | - | - |
| Ratio of placental dysfunction markers (sFLT-1/PLGF; 1.5–7) | 261.0 ± 96.5 | 175.10 (109.18–324.45) | 0.549 | NA | - | - |
| Platelet level (150–400 × 109 c/L) | 237.5 ± 71.3 | 237.00 (207.75–256.00) | 0.537 | 237.5 ± 43.2 | 1 | 0.94 |
| Liver function test: | ||||||
| ALT level (0–40 u/L) | 29.75 (18.33–34.90) | 62.4 ± 31.1 | 0.225 | NA | - | - |
| AST level (0–40 u/L) | 25.6 (19.68–32.90) | 53.2 ± 23.4 | 0.852 | NA | - | - |
| Birth weight, grams (centiles) | 1689 ± 831 (40 ± 27.39) | 2939 ± 575 (62.86 ± 26.71) | 0.001 | 3531 ± 134 (82.33 ± 25.27) | <0.001 | 0.001 |
| Pregnant Women Cohort with PE | Control Group (n = 18) | P-Value | |||
|---|---|---|---|---|---|
| <34 GW (n = 12) | >34 GW (n = 14) | <34 GW | >34 GW | ||
| Erythropoietin, МЕ/mL * | 0.27 ± 0.08 | 0.43 ± 0.12 | 0.05 ± 0.01 | 0.05 | 0.04 |
| Haemoglobin, g/L | 114.2 ± 32.3 | 109.3 ± 29.2 | 121.1 ± 28.5 | 0.27 | 0.07 |
| Haematocrit, l/L * | 0.34 ± 0.10 | 0.34 ± 0.09 | 0.37 ± 0.09 | 0.04 | 0.04 |
| Ferritin, μg/L | 23.09 ± 6.6 | 19.10 ± 5.1 | 25.08 ± 5.9 | 0.15 | 0.47 |
| Transferrin, mg/dL | 420.04 ± 121.2 | 494.1 ± 132 | 432.7 ± 102 | 0.24 | 0.79 |
| Iron, µM | 17.2 ± 4.9 | 13.8 ± 3.7 | 18.6 ± 4.4 | 0.07 | 0.06 |
| Blood urea, mmol/L | 3.08 ± 0.9 | 4.07 ± 1.09 | 2.9 ± 0.7 | 0.78 | 0.06 |
| Creatinine, mmol/L | 70.3 ± 20.3 | 77.9 ± 20.8 | 73.4 ± 17.3 | 0.65 | 0.06 |
| Combinations of miRNAs | Signaling Pathway Potentially Regulated by Studied miRNAs (p-Value ≤ 0.05) |
|---|---|
| hsa-miR-27b-3p/hsa-miR-92b-3p/hsa-miR-125b-5p/hsa-miR-181a-5p/hsa-miR-186-5p | Angiogenesis FGF signaling pathway |
| PDGF signaling pathway | |
| EGF receptor signaling pathway | |
| TGF beta signaling pathway | |
| Endothelin signaling pathway | |
| Apoptosis signaling pathway | |
| Interleukin signaling pathway | |
| Wnt signaling pathway | |
| Oxytocin receptor mediated signaling pathway | |
| hsa-miR-27b-3p/hsa-miR-92b-3p/hsa-miR-125b-5p/hsa-miR-181a-5p | VEGF signaling pathway PI3 kinase pathway |
| hsa-miR-27b-3p/hsa-miR-92b-3p/hsa-miR-186-5p | Hypoxia response via HIF activation |
| hsa-miR-27b-3p/hsa-miR-92b-3p/hsa-miR-125b-5p/hsa-miR-186-5p | Oxidative stress response Hedgehog signaling pathway p53 pathway by glucose deprivation |
| hsa-miR-27b-3p/hsa-miR-125b-5p/hsa-miR-181a-5p | Inflammation mediated by chemokine and cytokine signaling pathway |
| hsa-miR-27b-3p/hsa-miR-181a-5p/hsa-miR-186-5p | Ubiquitin proteasome pathway |
| Cadherin signaling pathway |
© 2020 by the authors. Licensee MDPI, Basel, Switzerland. This article is an open access article distributed under the terms and conditions of the Creative Commons Attribution (CC BY) license (http://creativecommons.org/licenses/by/4.0/).
Share and Cite
Gusar, V.; Timofeeva, A.; Chagovets, V.; Kan, N.; Vasilchenko, O.; Prozorovskaya, K.; Ivanets, T.; Sukhikh, G. Preeclampsia: The Interplay between Oxygen-Sensitive miRNAs and Erythropoietin. J. Clin. Med. 2020, 9, 574. https://doi.org/10.3390/jcm9020574
Gusar V, Timofeeva A, Chagovets V, Kan N, Vasilchenko O, Prozorovskaya K, Ivanets T, Sukhikh G. Preeclampsia: The Interplay between Oxygen-Sensitive miRNAs and Erythropoietin. Journal of Clinical Medicine. 2020; 9(2):574. https://doi.org/10.3390/jcm9020574
Chicago/Turabian StyleGusar, Vladislava, Angelika Timofeeva, Vitaliy Chagovets, Nataliya Kan, Oksana Vasilchenko, Kseniya Prozorovskaya, Tatyana Ivanets, and Gennadiy Sukhikh. 2020. "Preeclampsia: The Interplay between Oxygen-Sensitive miRNAs and Erythropoietin" Journal of Clinical Medicine 9, no. 2: 574. https://doi.org/10.3390/jcm9020574
APA StyleGusar, V., Timofeeva, A., Chagovets, V., Kan, N., Vasilchenko, O., Prozorovskaya, K., Ivanets, T., & Sukhikh, G. (2020). Preeclampsia: The Interplay between Oxygen-Sensitive miRNAs and Erythropoietin. Journal of Clinical Medicine, 9(2), 574. https://doi.org/10.3390/jcm9020574

