Efficacy of Radiofrequency by the Topaz Technique for Chronic Plantar Fasciopathy: Systematic Review and Meta-Analysis
Abstract
1. Introduction
2. Materials and Methods
2.1. Registry of Systematic Review Protocol
2.2. Eligibility Criteria
2.2.1. Inclusion Criteria
2.2.2. Exclusion Criteria
2.3. Search Strategy
2.4. Data Extraction and Summary
2.5. Study Coding and Summary
2.6. Methodological Quality and Risk of Bias
2.7. Statistical Analysis
3. Results
3.1. Search Results
3.2. Participants and Interventions Characteristics
3.3. Risk of Bias
3.4. GRADE Quality Assessment
3.5. Meta-Analysis Results
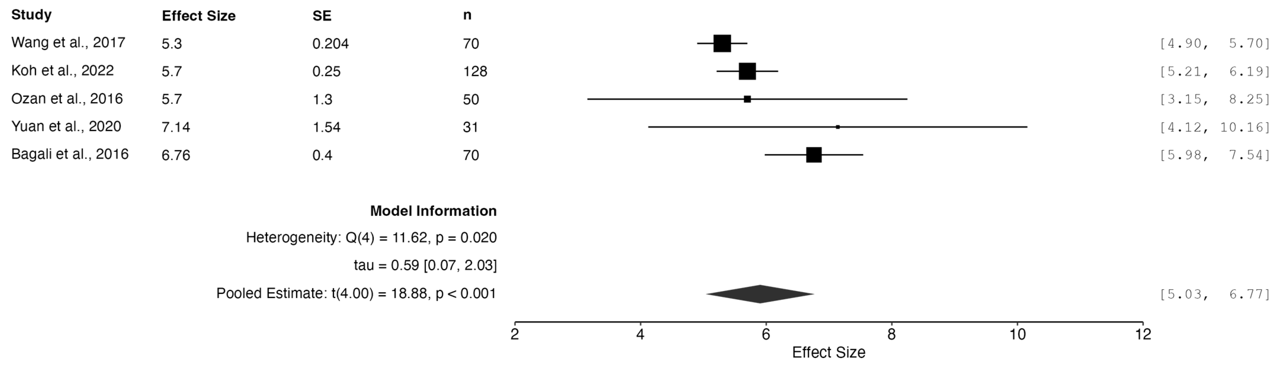
3.5.1. Pain Reduction
3.5.2. Functional Improvement Assessed with the AOFAS Scale
3.5.3. Complication Rate
3.5.4. Follow-Up Time
3.5.5. Analysis of the Variable “Use of Adjuvant Therapies”
3.6. Meta-Regression
4. Discussion
5. Conclusions
Supplementary Materials
Author Contributions
Funding
Institutional Review Board Statement
Informed Consent Statement
Data Availability Statement
Acknowledgments
Conflicts of Interest
Abbreviations
| Abbreviation | Meaning |
| AOFAS | American Orthopaedic Foot & Ankle Society |
| BMI | Body Mass Index |
| CRD | Centre for Reviews and Dissemination |
| CSI | Corticosteroid Injection |
| DVT | Deep Vein Thrombosis |
| ESWT | Extracorporeal Shock Wave Therapy |
| FAAMA | Foot and Ankle Ability Measure—Activities of Daily Living |
| FAAMS | Foot and Ankle Ability Measure—Sports |
| FADI | Foot and Ankle Disability Index |
| FHSQ-DK | Foot Health Status Questionnaire—Danish Version |
| GPE | Global Perceived Effect |
| GRADE | Grading of Recommendations, Assessment, Development, and Evaluation |
| HSRT | Heavy Slow Resistance Training |
| IPAQ | International Physical Activity Questionnaire |
| JBI | Joanna Briggs Institute |
| NRS | Numeric Rating Scale |
| PASS | Patient Acceptable Symptom State |
| PRISMA | Preferred Reporting Items for Systematic Reviews and Meta-Analyses |
| PRP | Platelet-Rich Plasma |
| RF | Radiofrequency |
| RFM | Radiofrequency Microtenotomy |
| ROB-2 | Risk Of Bias In Randomized Trials |
| ROBINS-I | Risk Of Bias In Non-randomized Studies—of Interventions |
| RTL | Radiofrequency Thermal Lesioning |
| SF-36 | Short Form Health Survey |
| VAS | Visual Analog Scale |
Appendix A
Appendix A.1. Search Strings for Electronic Databases
Appendix A.1.1. Search Strategy for PubMed
Appendix A.1.2. Search Strategy for Web of Science
Appendix A.1.3. Search Strategy for Scopus
Appendix A.1.4. Search EBSCOH
References
- Latt, L.D.; Jaffe, D.E.; Tang, Y.; Taljanovic, M.S. Evaluation and Treatment of Chronic Plantar Fasciitis. Foot Ankle Orthop. 2020, 5, 2473011419896763. [Google Scholar] [CrossRef] [PubMed]
- Thompson, J.V.; Saini, S.S.; Reb, C.W.; Daniel, J.N. Diagnosis and Management of Plantar Fasciitis. J. Am. Osteopath. Assoc. 2014, 114, 900–906. [Google Scholar] [CrossRef] [PubMed]
- Lim, A.T.; How, C.H.; Tan, B. Management of Plantar Fasciitis in the Outpatient Setting. Singap. Med. J. 2016, 57, 168–171. [Google Scholar] [CrossRef] [PubMed]
- Ali, Q.; Long, Y.; Ali, M. Prevalence, Causes, and Treatment of Plantar Fasciitis in Young Females of a Medical College. Bull. Fac. Phys. Ther. 2024, 29, 31. [Google Scholar] [CrossRef]
- Buchbinder, R. Plantar Fasciitis. N. Engl. J. Med. 2004, 350, 2159–2166. [Google Scholar] [CrossRef]
- Riddle, D.L.; Pulisic, M.; Pidcoe, P.; Johnson, R.E. Risk Factors for Plantar Fasciitis: A Matched Case-Control Study. J. Bone Jt. Surg. Am. 2003, 85, 872–877. [Google Scholar] [CrossRef]
- Nahin, R.L. Prevalence and Pharmaceutical Treatment of Plantar Fasciitis in United States Adults. J. Pain 2018, 19, 885–896. [Google Scholar] [CrossRef]
- Khammas, A.S.A.; Mahmud, R.; Hassan, H.A.; Ibrahim, I.; Mohammed, S.S. An Assessment of Plantar Fascia with Ultrasound Findings in Patients with Plantar Fasciitis: A Systematic Review. J Ultrasound 2023, 26, 13–38. [Google Scholar] [CrossRef]
- Bolívar, Y.A.; Belloso, A.J.P.; Sanz, J.A.; Sánchez, E.C.; Bueno, M.R.; Podología, D.E. Influencia Del Acortamiento de La Musculatura Posterior de La Extremidad Inferior En La Etiología de La Fascitis Plantar. Rev. Esp. Podol. 2012, XXIII, 92–94. Available online: https://www.revesppod.com/Documentos/ArticulosNew/X0210123812502404.pdf (accessed on 6 February 2025).
- Ang, T.W.A. The Effectiveness of Corticosteroid Injection in the Treatment of Plantar Fasciitis. Singap. Med. J. 2015, 56, 423–432. [Google Scholar] [CrossRef]
- Schuitema, D.; Greve, C.; Postema, K.; Dekker, R.; Hijmans, J.M. Effectiveness of Mechanical Treatment for Plantar Fasciitis: A Systematic Review. J. Sport Rehabil. 2019, 29, 657–674. [Google Scholar] [CrossRef] [PubMed]
- Rhim, H.C.; Kwon, J.; Park, J.; Borg-Stein, J.; Tenforde, A.S. A Systematic Review of Systematic Reviews on the Epidemiology, Evaluation, and Treatment of Plantar Fasciitis. Life 2021, 11, 1287. [Google Scholar] [CrossRef] [PubMed]
- Campillo-Recio, D.; Ibañez, M.; Martin-Dominguez, L.A.; Comas-Aguilar, M.; Fernandez-Morales, M.; Alberti-Fito, G. Local Percutaneous Radiofrequency for Chronic Plantar Fasciitis. Arthrosc. Tech. 2021, 10, e1315–e1320. [Google Scholar] [CrossRef] [PubMed]
- Shah, A.; Best, A.J.; Rennie, W.J. Percutaneous Ultrasound-Guided TOPAZ Radiofrequency Coblation: A Novel Coaxial Technique for the Treatment of Recalcitrant Plantar Fasciitis—Our Experience. J. Ultrasound Med. 2016, 35, 1325–1331. [Google Scholar] [CrossRef]
- Gamba, C.; Ferrer-Catasus, T.; Serrano-Chinchilla, P.; Pérez-Prieto, D.; González-Lucena, G.; Ginés-Cespedosa, A. Fascitis Plantar Recalcitrante: ¿fasciotomía Parcial o Liberación de Gemelo Medial? Resultados Preliminares a 6 Meses. Rev. Del Pie Y Tobillo 2019, 33, 17. [Google Scholar] [CrossRef]
- Huang, D.M.; Chou, A.C.; Yeo, N.E.; Singh, I.R. Radiofrequency Microtenotomy with Concurrent Gastrocnemius Recession Improves Postoperative Vitality Scores in the Treatment of Recalcitrant plantar fasciitis. Ann. Acad. Med. Singap. 2018, 47, 509–515. [Google Scholar] [CrossRef]
- Colberg, R.E.; Kenneth-Nwosa, K.O.; Jurado Vélez, J.A.; Slowik, J.S.; Fleisig, G.S. Clinical and Imaging Outcomes of Plantar Fasciotomy Using Microdebrider Coblation Wand. Foot Ankle Orthop. 2022, 7, 24730114221091797. [Google Scholar] [CrossRef]
- Colberg, R.E.; Ketchum, M.; Javer, A.; Drogosz, M.; Gomez, M.; Fleisig, G.S. Clinical Outcomes of Percutaneous Plantar Fasciotomy Using Microdebrider Coblation Wand. Foot Ankle Int. 2020, 41, 187–192. [Google Scholar] [CrossRef] [PubMed]
- Page, M.J.; McKenzie, J.E.; Bossuyt, P.M.; Boutron, I.; Hoffmann, T.C.; Mulrow, C.D.; Larissa, S.; Jennifer, T.; Akl Elie, A.; Brennan Sue, E.; et al. The PRISMA 2020 statement: An updated guideline for reporting systematic reviews. BMJ 2021, 372, n71. [Google Scholar] [CrossRef]
- Bagali, A.M.; Saif, A.M. The Effectiveness of Radiofrequency-Based Percutaneous Microtenotomy (TOPAZ) to Treat. Refract. Plantar Fasciitis 2016, 3, 3–7. [Google Scholar]
- Chou, A.C.C.; Ng, S.Y.C.; Su, D.H.C.; Singh, I.R.; Koo, K. Radiofrequency Microtenotomy Is as Effective as Plantar Fasciotomy in the Treatment of Recalcitrant Plantar Fasciitis. Foot Ankle Surg. 2016, 22, 270–273. [Google Scholar] [CrossRef] [PubMed]
- Eke, I.; Akcal, M.A.; Sayrac, A.V.; Iyetin, Y. Effects of Intralesional Pulsed Radiofrequency Treatment on Pain in Patients with Calcaneal Spur: Results of 460 Patients. BMC Musculoskelet. Disord. 2021, 22, 1033. [Google Scholar] [CrossRef] [PubMed]
- Erden, T.; Toker, B.; Cengiz, O.; Ince, B.; Asci, S.; Toprak, A. Outcome of Corticosteroid Injections, Extracorporeal Shock Wave Therapy, and Radiofrequency Thermal Lesioning for Chronic Plantar Fasciitis. Foot Ankle Int. 2021, 42, 69–75. [Google Scholar] [CrossRef] [PubMed]
- Lucas, D.E.; Ekroth, S.R.; Hyer, C.F. Intermediate-Term Results of Partial Plantar Fascia Release with Microtenotomy Using Bipolar Radiofrequency Microtenotomy. J. Foot Ankle Surg. 2015, 54, 179–182. [Google Scholar] [CrossRef]
- Møller, S.; Riel, H.; Wester, J.; Simony, A.; Viberg, B.; Jensen, C. Surgical or Non-Surgical Treatment of Plantar Fasciopathy (SOFT): Study Protocol for a Randomized Controlled Trial. Trials 2022, 23, 845. [Google Scholar] [CrossRef]
- Ozan, F.; Koyuncu, Ş.; Gürbüz, K.; Öncel, E.S.; Altay, T. Radiofrequency Thermal Lesioning and Extracorporeal Shockwave Therapy: A Comparison of Two Methods in the Treatment of Plantar Fasciitis. Foot Ankle Spec. 2017, 10, 204–209. [Google Scholar] [CrossRef]
- Wang, W.; Rikhraj, I.S.; Chou, A.C.C.; Chong, H.C.; Koo, K.O.T. Endoscopic Plantar Fasciotomy vs. Open Radiofrequency Microtenotomy for Recalcitrant Plantar Fasciitis. Foot Ankle Int. 2018, 39, 11–17. [Google Scholar] [CrossRef]
- Wu, Y.T.; Chang, C.Y.; Chou, Y.C.; Yeh, C.C.; Li, T.Y.; Chu, H.Y.; Chen, L.C. Ultrasound-Guided Pulsed Radiofrequency Stimulation of Posterior Tibial Nerve: A Potential Novel Intervention for Recalcitrant Plantar Fasciitis. Arch. Phys. Med. Rehabil. 2017, 98, 964–970. [Google Scholar] [CrossRef]
- Yuan, Y.; Qian, Y.; Lu, H.; Kou, Y.; Xu, Y.; Xu, H. Comparison of the Therapeutic Outcomes between Open Plantar Fascia Release and Percutaneous Radiofrequency Ablation in the Treatment of Intractable Plantar Fasciitis. J. Orthop. Surg. Res. 2020, 15, 55. [Google Scholar] [CrossRef]
- Koh, D.T.S.; Yeo, W.; Koo, K.O.T.; Singh, I.R.; Yeo, N.E.M. Radiofrequency Plantar Fascia Coblation With and Without Gastrocnemius Recession in the Management of Recalcitrant Plantar Fasciitis. Foot Ankle Int. 2022, 43, 1167–1173. [Google Scholar] [CrossRef]
- Wu, P.T.; Lee, J.S.; Wu, K.C.; Wu, T.T.; Shao, C.J.; Liang, F.W.; Chern, T.C.; Su, F.C.; Jou, I.M. Ultrasound-Guided Percutaneous Radiofrequency Lesioning When Treating Recalcitrant Plantar Fasciitis: Clinical Results. Ultraschall Medizin 2016, 37, 56–62. [Google Scholar] [CrossRef]







| Author/Year | Sample (n) | Age | Follow-Up | Intervention | Outcomes Evaluated | Complications |
|---|---|---|---|---|---|---|
| Al Bagali et al., 2016 [20] | 70 | 47 years (22–66) | 6 weeks, 3 months, 6 months | Percutaneous microtenotomy with TOPAZ device | Pain: VAS. Function: FAOS | No significant postoperative complications |
| Chou et al., 2016 [21] | 91 | Fasciotomy: 48.9 ± 10.8, Microtenotomy: 43.4 ± 11.5, Combined: 55.5 ± 14.9 | 6 months, 1 year | Group 1: Plantar fasciotomy (n = 27). Group 2: Radiofrequency microtenotomy (n = 55). Group 3: Combined interventions (n = 9) | Pain: VAS. Function: AOFAS, SF-36, Expectations and satisfaction | Higher complication rate in combined group. Persistent pain in 11% (fasciotomy), 7.3% (microtenotomy), 33% (combined) |
| Colberg et al., 2019 [18] | 36 | 54 ± 15 years | 14 months (6–27 months) | Percutaneous plantar fasciotomy using coblation wand (Topaz EZ) | Pain: VAS. Function: FAAM | No severe complications. Some tendinitis resolved with therapy. Tarsal tunnel syndrome in three patients |
| Colberg et al., 2022 [17] | 40 | 53.4 ± 9.9 years | 2 weeks, 6 weeks, 3 months, 6 months, 1 year | Percutaneous plantar fasciotomy using coblation wand | Pain: NRS. Function: FADI, FAAMA, FAAMS, Plantar fascia thickness | No significant complications. Mild postoperative discomfort and tendinitis in few cases |
| Eke et al., 2021 [22] | 460 | 50.8 ± 10.9 years | 6 weeks | Intralesional pulsed radiofrequency treatment (RF) | Pain: Wong-Baker Scale. Function: AOFAS Ankle-Hindfoot Score | No serious complications. No significant adverse effects |
| Erden et al., 2020 [23] | 217 | CSI: 45 ± 9.1, ESWT: 43 ± 9.6, RTL: 41 ± 10.1 | 1, 3, 6 months | Group 1: Corticosteroid injection (CSI). Group 2: ESWT. Group 3: Radiofrequency thermal lesioning (RTL) | Pain: VAS. Evaluations at 1, 3, and 6 months | No complications in any treatment group |
| Huang et al., 2018 [16] | 43 | Median of 45 years | 3, 6, 12 months | Group 1: Radiofrequency microtenotomy. Group 2: Gastrocnemius recession. Group 3: Combined treatment | Function: AOFAS, SF-36. Satisfaction and expectations. Vitality and recovery comparison | No serious postoperative complications. Greater vitality improvement in combined group (SF-36) |
| Lucas et al., 2015 [24] | 61 | 46.9 ± 11.0 years (19–74 years) | 33.3 months (16.1–46.6 months) | Bipolar percutaneous radiofrequency microtenotomy for plantar fascia release | Pain: VAS. Foot function: FFI. Patient satisfaction survey | No surgical complications. 1 revision surgery (1.6%). 1 DVT (1.6%). 2 pressure ulcers (3.3%) |
| Møller et al., 2022 [25] | 70 | ≥18 years | 1, 3, 6, 12 months | Group 1: Heavy slow resistance training (HSRT). Group 2: Radiofrequency microtenotomy (RFM) | Primary: Pain score (FHSQ-DK) at 6 months. Secondary: Other FHSQ-DK domains, GPE, IPAQ, PASS | Minimal complications with RFM. Monitoring for adverse effects, adherence, barriers |
| Ozan et al., 2016 [26] | 56 | ESWT: 46.03 years (25–62), RTL: 48.94 years (39–76) | 1, 3, 6 months | Group 1: ESWT. Group 2: RTL | Pain: VAS. Function: Modified Roles-Maudsley Scale (RM) | No complications in any treatment group |
| Shah et al., 2016 [14] | 3 patients (4 feet) | 40–51 years | 12 months | Ultrasound-guided radiofrequency coblation with lateral heel approach | Pain and function improvement. Real-time microdebridement visualization | No complications. Preserved foot biomechanics and proper healing |
| Wang et al., 2017 [27] | 34 | Median of 47 years | 3, 6, 12 months | Group 1: Endoscopic plantar fasciotomy. Group 2: Open radiofrequency microtenotomy | Function: AOFAS, SF-36. Satisfaction and expectations | No serious complications. Persistent and recurrent pain in some patients |
| Wu et al., 2017 [28] | 36 | 49.45 ± 9.90 years | 1, 4, 8, 12 weeks | Group 1: Pulsed radiofrequency stimulation (PRF). Group 2: Lidocaine injection (control) | Pain: VAS for first step and general pain. Function: AOFAS. Plantar fascia thickness | No severe complications. Some temporary plantar numbness in control group |
| Yuan et al., 2020 [29] | 31 | 52.13 years (24–77 years) | 58.77 months | Group 1: Open plantar fascia release. Group 2: Percutaneous radiofrequency ablation | Pain: VAS. Function: AOFAS-AH. Recovery and surgical time | No severe complications. Two unsatisfied open release patients |
| Koh et al., 2022 [30] | 128 | Group A: 47.5 ± 11.1, Group B: 44.9 ± 12.9 | 6, 24 months | Group A: Radiofrequency coblation. Group B: Coblation with endoscopic gastrocnemius recession | Pain: VAS. Function: AOFAS hindfoot score, SF-36, Satisfaction and expectations | No wound complications. Persistent pain in some patients. 1 case of tarsal tunnel syndrome in Group B |
| Author/Year | it. 1 | it. 2 | it. 3 | it. 4 | it. 5 | it. 6 | it. 7 | it. 8 | it. 9 | it. 10 | Overall Quality |
|---|---|---|---|---|---|---|---|---|---|---|---|
| Colberg et al., 2022 [17] | ![]() | ![]() | ![]() | ![]() | ![]() | ![]() | ![]() | ![]() | ![]() | ![]() | High |
| Colberg et al., 2019 [18] | ![]() | ![]() | ![]() | ![]() | ![]() | ![]() | ![]() | ![]() | ![]() | ![]() | Moderate |
| Bagali et al., 2016 [20] | ![]() | ![]() | ![]() | ![]() | ![]() | ![]() | ![]() | ![]() | ![]() | ![]() | Moderate |
| Shah et al., 2016 [14] | ![]() | ![]() | ![]() | ![]() | ![]() | ![]() | ![]() | ![]() | ![]() | ![]() | Low |
| Autohr/Year | it. 1 | it. 2 | it. 3 | it. 4 | it. 5 | it. 6 | it. 7 | it. 8 |
|---|---|---|---|---|---|---|---|---|
| Koh et al., 2022 [30] | ![]() | ![]() | ![]() | ![]() | ![]() | ![]() | ![]() | ![]() |
| Yuan et al., 2020 [29] | ![]() | ![]() | ![]() | ![]() | ![]() | ![]() | ![]() | ![]() |
| Eke et al., 2021 [22] | ![]() | ![]() | ![]() | ![]() | ![]() | ![]() | ![]() | ![]() |
| Erden et al., 2020 [23] | ![]() | ![]() | ![]() | ![]() | ![]() | ![]() | ![]() | ![]() |
| Chou et al., 2016 [21] | ![]() | ![]() | ![]() | ![]() | ![]() | ![]() | ![]() | ![]() |
| Lucas et al., 2015 [24] | ![]() | ![]() | ![]() | ![]() | ![]() | ![]() | ![]() | ![]() |
| Ozan et al., 2016 [26] | ![]() | ![]() | ![]() | ![]() | ![]() | ![]() | ![]() | ![]() |
| Wang et al., 2017 [27] | ![]() | ![]() | ![]() | ![]() | ![]() | ![]() | ![]() | ![]() |
| Huang et al., 2018 [16] | ![]() | ![]() | ![]() | ![]() | ![]() | ![]() | ![]() | ![]() |
| Author/Year | it. 1 | it. 2 | it. 3 | it. 4 | it. 5 | it. 6 |
|---|---|---|---|---|---|---|
| Wu et al., 2017 [28] | ![]() | ![]() | ![]() | ![]() | ![]() | ![]() |
| Møller et al., 2022 [25] | ![]() | ![]() | ![]() | ![]() | ![]() | ![]() |
| Author(s) & Year | Study Design | Risk of Bias | Inconsistency | Indirectness | Imprecision | Publication Bias | Overall GRADE Assessment |
|---|---|---|---|---|---|---|---|
| Shah et al., 2016 [14] | Case Series | High | Unclear | Moderate | High | Unclear | Low |
| Colberg et al., 2022 [17] | Case Series | Moderate | Low | Low | Moderate | Low | Moderate |
| Colberg et al., 2019 [18] | Case Series | Moderate | Moderate | Low | Moderate | Moderate | Low |
| Koh et al., 2022 [30] | Cohort Study | Moderate | Low | Low | Moderate | Low | Moderate |
| Yuan et al., 2020 [29] | Comparative Study | Moderate | Moderate | Moderate | High | Moderate | Low |
| Eke et al., 2021 [22] | Retrospective Study | High | High | Moderate | High | Moderate | Low |
| Erden et al., 2020 [23] | Cohort Study | Moderate | Low | Low | Moderate | Low | Moderate |
| Wu et al., 2017 [28] | Randomized Controlled Trial | Low | Low | Low | Low | Low | High |
| Chou et al., 2016 [21] | Cohort Study | Moderate | Low | Low | Moderate | Low | Moderate |
| Lucas et al., 2015 [24] | Retrospective Study | High | High | Moderate | High | Moderate | Low |
| Ozan et al., 2016 [26] | Prospective Comparative Study | Moderate | Low | Low | Moderate | Low | Moderate |
| Bagali et al., 2016 [20] | Case Series | Moderate | Moderate | Low | Moderate | Moderate | Low |
| Møller et al., 2022 [25] | Randomized Controlled Trial | Low | Low | Low | Low | Low | High |
| Wang et al., 2017 [27] | Retrospective Comparative Study | Moderate | Moderate | Moderate | High | Moderate | Low |
| Huang et al., 2018 [16] | Retrospective Study | High | High | Moderate | High | Moderate | Low |
Disclaimer/Publisher’s Note: The statements, opinions and data contained in all publications are solely those of the individual author(s) and contributor(s) and not of MDPI and/or the editor(s). MDPI and/or the editor(s) disclaim responsibility for any injury to people or property resulting from any ideas, methods, instructions or products referred to in the content. |
© 2025 by the authors. Licensee MDPI, Basel, Switzerland. This article is an open access article distributed under the terms and conditions of the Creative Commons Attribution (CC BY) license (https://creativecommons.org/licenses/by/4.0/).
Share and Cite
Domingo-Marques, S.; Nieto-García, E.; Fernández-Erhling, N.; Ramírez-Andrés, L.; Vicente-Mampel, J.; Ferrer-Torregrosa, J. Efficacy of Radiofrequency by the Topaz Technique for Chronic Plantar Fasciopathy: Systematic Review and Meta-Analysis. J. Clin. Med. 2025, 14, 2843. https://doi.org/10.3390/jcm14082843
Domingo-Marques S, Nieto-García E, Fernández-Erhling N, Ramírez-Andrés L, Vicente-Mampel J, Ferrer-Torregrosa J. Efficacy of Radiofrequency by the Topaz Technique for Chronic Plantar Fasciopathy: Systematic Review and Meta-Analysis. Journal of Clinical Medicine. 2025; 14(8):2843. https://doi.org/10.3390/jcm14082843
Chicago/Turabian StyleDomingo-Marques, Sandra, Eduardo Nieto-García, Nadia Fernández-Erhling, Leonor Ramírez-Andrés, Juan Vicente-Mampel, and Javier Ferrer-Torregrosa. 2025. "Efficacy of Radiofrequency by the Topaz Technique for Chronic Plantar Fasciopathy: Systematic Review and Meta-Analysis" Journal of Clinical Medicine 14, no. 8: 2843. https://doi.org/10.3390/jcm14082843
APA StyleDomingo-Marques, S., Nieto-García, E., Fernández-Erhling, N., Ramírez-Andrés, L., Vicente-Mampel, J., & Ferrer-Torregrosa, J. (2025). Efficacy of Radiofrequency by the Topaz Technique for Chronic Plantar Fasciopathy: Systematic Review and Meta-Analysis. Journal of Clinical Medicine, 14(8), 2843. https://doi.org/10.3390/jcm14082843




