Leucine-Rich Alpha-2 Glycoprotein 1 as a Biomarker for Evaluation of Inflammatory Bowel Disease Activity in Children †
Abstract
1. Background
2. Methods
3. Results
3.1. Characteristics of the Patients
3.2. Comparison of s-LRG, u-LRG, and Laboratory Parameters
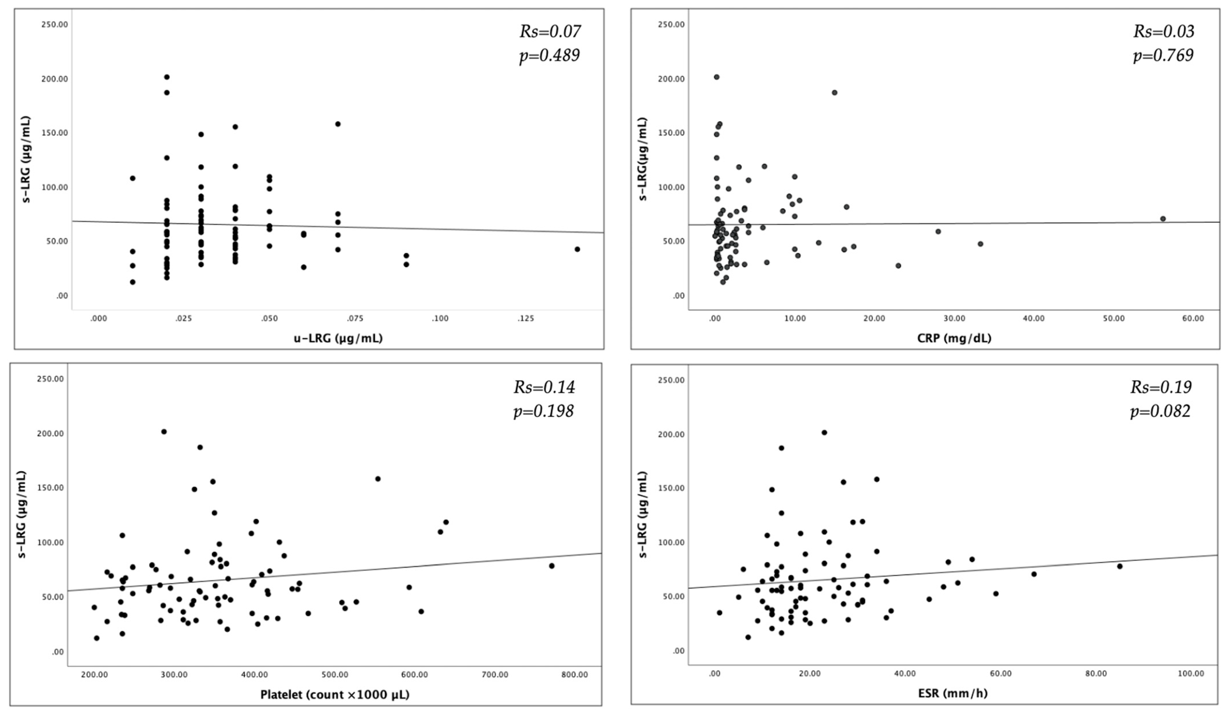
3.3. Correlation of Serum LRG with Clinical and Endoscopic Activity Scoring
3.4. Association Between Laboratory Parameters and Disease Activity in Patients with IBD
4. Discussion
5. Conclusions
Author Contributions
Funding
Institutional Review Board Statement
Informed Consent Statement
Data Availability Statement
Acknowledgments
Conflicts of Interest
Abbreviations
| IBD | Inflammatory bowel disease |
| CD | Crohn’s disease |
| UC | Ulcerative colitis |
| IBD-U | Unclassified inflammatory bowel disease |
| PCDAI | Paediatric Crohn’s Disease Activity Index |
| PUCAI | Paediatric Ulcerative Colitis Activity Index |
| CRP | C-reactive protein |
| FC | Faecal calprotectin |
| LRG | Leucine rich α-2 glycoprotein |
| IL | Interleukin |
| TNF | Tumour necrosis factor |
| s-LRG | Serum leucine rich α-2 glycoprotein |
| u-LRG | Urinary leucine rich α-2 glycoprotein |
| ESR | Erythrocyte sedimentation rate |
| PLT | Platelet |
| ELISA | Enzyme-linked immunosorbent assay |
| SES-CD | Simple endoscopic score for Crohn’s disease |
| MES | Mayo endoscopic score |
| SPSS | Statistical Package for Social Sciences |
References
- Conrad, M.A.; Rosh, J.R. Pediatric Inflammatory Bowel Disease. Pediatr. Clin. N. Am. 2017, 64, 577–591. [Google Scholar] [CrossRef] [PubMed]
- Rodrigues, B.L.; Mazzaro, M.C.; Nagasako, C.K.; Ayrizono, M.L.S.; Fagundes, J.J.; Leal, R.F. Assessment of disease activity in inflammatory bowel diseases: Non-invasive biomarkers and endoscopic scores. World J. Gastrointest. Endosc. 2020, 12, 504–520. [Google Scholar] [CrossRef] [PubMed] [PubMed Central]
- Shaoul, R.; Day, A.S. An Overview of Tools to Score Severity in Pediatric Inflammatory Bowel Disease. Front. Pediatr. 2021, 9, 615216. [Google Scholar] [CrossRef] [PubMed] [PubMed Central]
- Nakov, R. New markers in ulcerative colitis. Clin. Chim. Acta 2019, 497, 141–146. [Google Scholar] [CrossRef] [PubMed]
- Lasson, A.; Stotzer, P.O.; Öhman, L.; Isaksson, S.; Sapnara, M.; Strid, H. The intra-individual variability of faecal calprotectin: A prospective study in patients with active ulcerative colitis. J. Crohns Colitis 2015, 9, 26–32. [Google Scholar] [CrossRef] [PubMed]
- Ichimiya, T.; Kazama, T.; Ishigami, K.; Yokoyama, Y.; Hayashi, Y.; Takahashi, S.; Itoi, T.; Nakase, H. Application of plasma alternative to serum for measuring leucine-rich α2-glycoprotein as a biomarker of inflammatory bowel disease. PLoS ONE 2023, 18, e0286415. [Google Scholar] [CrossRef] [PubMed] [PubMed Central]
- Takenaka, K.; Kitazume, Y.; Kawamoto, A.; Fujii, T.; Udagawa, Y.; Wanatabe, R.; Shimizu, H.; Hibiya, S.; Nagahori, M.; Ohtsuka, K.; et al. Serum Leucine-Rich α2 Glycoprotein: A Novel Biomarker for Transmural Inflammation in Crohn’s Disease. Am. J. Gastroenterol. 2023, 118, 1028–1035. [Google Scholar] [CrossRef] [PubMed]
- Yoshimura, T.; Mitsuyama, K.; Sakemi, R.; Takedatsu, H.; Yoshioka, S.; Kuwaki, K.; Mori, A.; Fukunaga, S.; Araki, T.; Morita, M.; et al. Evaluation of Serum Leucine-Rich Alpha-2 Glycoprotein as a New Inflammatory Biomarker of Inflammatory Bowel Disease. Mediat. Inflamm. 2021, 2021, 8825374. [Google Scholar] [CrossRef] [PubMed]
- Arredondo Montero, J.; Pérez Riveros, B.P.; Bueso Asfura, O.E.; Rico Jiménez, M.; López-Andrés, N.; Martín-Calvo, N. Leucine-Rich Alpha-2-Glycoprotein as a non-invasive biomarker for pediatric acute appendicitis: A systematic review and meta-analysis. Eur. J. Pediatr. 2023, 182, 3033–3044, Erratum in Eur. J. Pediatr. 2023, 182, 3045–3047. [Google Scholar] [CrossRef] [PubMed] [PubMed Central]
- Arredondo Montero, J.; Ros Briones, R.; Fernández-Celis, A.; López-Andrés, N.; Martín-Calvo, N. Diagnostic Performance of Serum Leucine-Rich Alpha-2-Glycoprotein 1 in Pediatric Acute Appendicitis: A Prospective Validation Study. Biomedicines 2024, 12, 1821. [Google Scholar] [CrossRef] [PubMed] [PubMed Central]
- Turner, D.; Otley, A.R.; Mack, D.; Hyams, J.; de Bruijne, J.; Uusoue, K.; Walters, T.D.; Zachos, M.; Mamula, P.; Beaton, D.E.; et al. Development, validation, and evaluation of a pediatric ulcerative colitis activity index: A prospective multicenter study. Gastroenterology 2007, 133, 423–432. [Google Scholar] [CrossRef] [PubMed]
- Shepanski, M.A.; Markowitz, J.E.; Mamula, P.; Hurd, L.B.; Baldassano, R.N. Is an abbreviated Pediatric Crohn’s Disease Activity Index better than the original? J. Pediatr. Gastroenterol. Nutr. 2004, 39, 68–72. [Google Scholar] [CrossRef] [PubMed]
- Shinzaki, S.; Matsuoka, K.; Iijima, H.; Mizuno, S.; Serada, S.; Fujimoto, M.; Arai, N.; Koyama, N.; Morii, E.; Watanabe, M.; et al. Leucinerich Alpha-2 glycoprotein is a serum biomarker of mucosal healing in ulcerative colitis. J. Crohn’s Colitis 2017, 11, 84–91. [Google Scholar] [CrossRef] [PubMed]
- Komatsu, M.; Sagami, S.; Hojo, A.; Karashima, R.; Maeda, M.; Yamana, Y.; Serizawa, K.; Umeda, S.; Asonuma, K.; Nakano, M.; et al. Leucine-Rich Alpha-2 Glycoprotein Is Associated With Transmural Inflammation Assessed by Intestinal Ultrasound in Patients With Crohn’s Disease. Aliment. Pharmacol. Ther. 2025, 61, 658–666. [Google Scholar] [CrossRef] [PubMed]
- Yasuda, R.; Arai, K.; Kudo, T.; Nambu, R.; Aomatsu, T.; Abe, N.; Kakiuchi, T.; Hashimoto, K.; Sogo, T.; Takahashi, M.; et al. Serum leucine-rich alpha-2 glycoprotein and calprotectin in children with inflammatory bowel disease: A multicenter study in Japan. J. Gastroenterol. Hepatol. 2023, 38, 1131–1139. [Google Scholar] [CrossRef] [PubMed]
- Takada, Y.; Kiyohara, H.; Mikami, Y.; Taguri, M.; Sakakibara, R.; Aoki, Y.; Nanki, K.; Kawaguchi, T.; Yoshimatsu, Y.; Sugimoto, S.; et al. Leucine-rich alpha-2 glycoprotein in combination with C-reactive protein for predicting endoscopic activity in Crohn’s disease: A single-centre, cross-sectional study. Ann. Med. 2025, 57, 2453083. [Google Scholar] [CrossRef] [PubMed] [PubMed Central]
- Karashima, R.; Sagami, S.; Yamana, Y.; Maeda, M.; Hojo, A.; Miyatani, Y.; Nakano, M.; Matsuda, T.; Hibi, T.; Kobayashi, T.; et al. Early change in serum leucine-rich α-2-glycoprotein predicts clinical and endoscopic response in ulcerative colitis. Intest. Res. 2024, 22, 473–483. [Google Scholar] [CrossRef] [PubMed] [PubMed Central]
- Yoshida, T.; Shimodaira, Y.; Fukuda, S.; Watanabe, N.; Koizumi, S.; Matsuhashi, T.; Onochi, K.; Iijima, K. Leucine-Rich Alpha-2 Glycoprotein in Monitoring Disease Activity and Intestinal Stenosis in Inflammatory Bowel Disease. Tohoku J. Exp. Med. 2022, 257, 301–308. [Google Scholar] [CrossRef] [PubMed]
- Sands, B.E. Biomarkers of Inflammation in Inflammatory Bowel Disease. Gastroenterology 2015, 149, 1275–1285.e2. [Google Scholar] [CrossRef] [PubMed]
- Nakarai, A.; Kato, J.; Hiraoka, S.; Inokuchi, T.; Takei, D.; Morito, Y.; Akita, M.; Takahashi, S.; Hori, K.; Harada, K.; et al. Slight Increases in the Disease Activity Index and Platelet Count Imply the Presence of Active Intestinal Lesions in C-reactive Protein-negative Crohn’s Disease Patients. Inten. Med. 2014, 53, 1905–1911. [Google Scholar] [CrossRef] [PubMed]
- Serada, S.; Fujimoto, M.; Ogata, A.; Terabe, F.; Hirano, T.; Iijima, H.; Shinzaki, S.; Nishikawa, T.; Ohkawara, T.; Iwahori, K.; et al. iTRAQ-based proteomic identification of leucine-rich alpha-2 glycoprotein as a novel inflammatory biomarker in autoimmune diseases. Ann. Rheum. Dis. 2010, 69, 770–774. [Google Scholar] [CrossRef] [PubMed]
- Abe, I.; Shiga, H.; Chiba, H.; Miyazawa, T.; Oomori, S.; Shimoyama, Y.; Moroi, R.; Kuroha, M.; Kakuta, Y.; Kinouchi, Y.; et al. Serum leucine-rich alpha-2 glycoprotein as a predictive factor of endoscopic remission in Crohn’s disease. J. Gastroenterol. Hepatol. 2022, 37, 1741–1748. [Google Scholar] [CrossRef] [PubMed]
- Kakar, M.; Berezovska, M.M.; Broks, R.; Asare, L.; Delorme, M.; Crouzen, E.; Zviedre, A.; Reinis, A.; Engelis, A.; Kroica, J.; et al. Serum and Urine Biomarker Leucine-Rich Alpha-2 Glycoprotein 1 Differentiates Pediatric Acute Complicated and Uncomplicated Appendicitis. Diagnostics 2021, 11, 860. [Google Scholar] [CrossRef] [PubMed] [PubMed Central]
- Salö, M.; Roth, B.; Stenström, P.; Arnbjörnsson, E.; Ohlsson, B. Urinary biomarkers in pediatric appendicitis. Pediatr. Surg. Int. 2016, 32, 795–804. [Google Scholar] [CrossRef] [PubMed]
- Lee, H.; Fujimoto, M.; Ohkawara, T.; Honda, H.; Serada, S.; Terada, Y.; Naka, T. Leucine rich α-2 glycoprotein is a potential urinary biomarker for renal tubular injury. Biochem. Biophys. Res. Commun. 2018, 498, 1045–1051. [Google Scholar] [CrossRef] [PubMed]
- Aksoy, B.; Çağan Appak, Y.; Akşit, M.; Çetinoğlu, S.; Kahveci, S.; Onbaşı Karabağ, Ş.; Güler, S.; Demir, İ.; Karakoyun, İ.; Baran, M. Leucine-Rich Alpha-2 Glycoprotein 1 As A Biomarker For Evaluation Of Inflammatory Bowel Disease Activity İn Children. In Proceedings of the 56th Annual Meeting, ESPGHAN, Milan, Italy, 15–18 May 2024. [Google Scholar]

| Patients with Disease Activation (n = 42) | Patients in Remission (n = 42) | p Value | |
|---|---|---|---|
| Age (years) (Mean ± SD) | 14.09 ± 3.73 | 14.88 ± 2.38 | 0.709 |
| Sex (% Female) | 40.5 | 42.9 | 0.825 |
| UC [n (%)] | 32 (76.2) | 30 (71.4) | 0.804 |
| CD [n (%)] | 10 (23.8) | 12 (28.6) | |
| PUCAI (Median (min-max)) | 32.7 (15–65) | 0 (0–5) | 0.000 |
| PCDAI (Median (min-max)) | 37.5 (12.5–52.5) | 0 (0–7.5) | 0.000 |
| Duration of disease (months) (Mean ± SD) | 24.2 ± 19.5 | 29.4 ± 21.3 | 0.242 |
| Weight (z-score) (Median (min-max)) | −0.9 (−3.6–1.3) | −0.4 (−3.2–2.8) | 0.690 |
| Height (z-score) (Median (min-max)) | −0.5 (−2.8–2.4) | −0.08 (−2.2–1.6) | 0.016 |
| BMI (z-score) (Median (min-max)) | −0.6 (−5.2–1.8) | −0.32 (−4.9–2.3) | 0.129 |
| MES (Mean ± SD) | 2.0 ± 0.6 | ||
| SES-CD (Mean ± SD) | 6.6 ± 3.3 |
| Parameters | Patients with Disease Activation (n = 42) | Patients in Remission (n = 42) | p Value |
|---|---|---|---|
| Haemoglobin (g/dL) (Mean ± SD) | 11.6 ± 2.3 | 12.7 ± 1.7 | 0.009 |
| Platelet (count ×103 μL) (Mean ± SD) | 402 ± 123 | 310 ± 66 | 0.000 |
| Albumin (g/dL) (Mean ± SD) | 4.1 ± 0.6 | 4.4 ± 0.3 | 0.041 |
| CRP (mg/dL) (Median (min-max)) | 2.6 (0.2–56.2) | 1.2 (0.2–23.0) | 0.046 |
| ESR (mm/h) (Mean ± SD) | 28.5 ± 17.0 | 17.4 ± 7.7 | 0.001 |
| Serum LRG (μg/mL) (Mean ± SD) | 75.2 ± 42.7 | 54.4 ± 25.4 | 0.020 |
| Urinary LRG (μg/mL) (Mean ± SD) | 0.03 ± 0.02 | 0.03 ± 0.01 | 0.407 |
| Sensitivity, % | Specificity, % | PPV, % | NPV, % | |
|---|---|---|---|---|
| Serum LRG | 40.4 (25.6–56.7) | 88.1 (74.3–96.0) | 77.2 (58.0–89.3) | 59.6 (52.9–66.0) |
| Parameter | Univariate Regression Model | Multivariate Regression Model | ||
|---|---|---|---|---|
| OR (95% CI Lower–Upper) | p Value | OR (95% CI Lower–Upper) | p Value | |
| Serum LRG (μg/mL) | 0.981 (0.967–0.996) | 0.014 | 0.981 (0.967–0.996) | 0.044 |
| CRP (mg/dL) | 0.903 (0.823–0.991) | 0.032 | ||
| ESR (mm/h) | 0.923 (0.879–0.969) | 0.001 | 0.948 (0.903–0.996) | 0.036 |
| Albumin (g/dL) | 3.963 (1.308–12.007) | 0.015 | ||
| Haemoglobin (g/dL) | 1.330 (1.056–1.674) | 0.015 | ||
| Platelet (count ×103 μL) | 0.989 (0.983–0.995) | 0.001 | 0.991 (0.985–0.998) | 0.011 |
Disclaimer/Publisher’s Note: The statements, opinions and data contained in all publications are solely those of the individual author(s) and contributor(s) and not of MDPI and/or the editor(s). MDPI and/or the editor(s) disclaim responsibility for any injury to people or property resulting from any ideas, methods, instructions or products referred to in the content. |
© 2025 by the authors. Licensee MDPI, Basel, Switzerland. This article is an open access article distributed under the terms and conditions of the Creative Commons Attribution (CC BY) license (https://creativecommons.org/licenses/by/4.0/).
Share and Cite
Aksoy, B.; Çağan Appak, Y.; Akşit, M.; Çetinoğlu, S.; Kahveci, S.; Onbaşı Karabağ, Ş.; Güler, S.; Demir, İ.; Karakoyun, İ.; Baran, M. Leucine-Rich Alpha-2 Glycoprotein 1 as a Biomarker for Evaluation of Inflammatory Bowel Disease Activity in Children. J. Clin. Med. 2025, 14, 2803. https://doi.org/10.3390/jcm14082803
Aksoy B, Çağan Appak Y, Akşit M, Çetinoğlu S, Kahveci S, Onbaşı Karabağ Ş, Güler S, Demir İ, Karakoyun İ, Baran M. Leucine-Rich Alpha-2 Glycoprotein 1 as a Biomarker for Evaluation of Inflammatory Bowel Disease Activity in Children. Journal of Clinical Medicine. 2025; 14(8):2803. https://doi.org/10.3390/jcm14082803
Chicago/Turabian StyleAksoy, Betül, Yeliz Çağan Appak, Murat Akşit, Serenay Çetinoğlu, Sinem Kahveci, Şenay Onbaşı Karabağ, Selen Güler, İlksen Demir, İnanç Karakoyun, and Maşallah Baran. 2025. "Leucine-Rich Alpha-2 Glycoprotein 1 as a Biomarker for Evaluation of Inflammatory Bowel Disease Activity in Children" Journal of Clinical Medicine 14, no. 8: 2803. https://doi.org/10.3390/jcm14082803
APA StyleAksoy, B., Çağan Appak, Y., Akşit, M., Çetinoğlu, S., Kahveci, S., Onbaşı Karabağ, Ş., Güler, S., Demir, İ., Karakoyun, İ., & Baran, M. (2025). Leucine-Rich Alpha-2 Glycoprotein 1 as a Biomarker for Evaluation of Inflammatory Bowel Disease Activity in Children. Journal of Clinical Medicine, 14(8), 2803. https://doi.org/10.3390/jcm14082803

