Hashimoto’s Thyroiditis and Dry Eye Disease
Abstract
1. Introduction
2. Materials and Methods
2.1. Study Design and Groups
2.2. Tear Fluid Analysis
2.3. Data Analysis
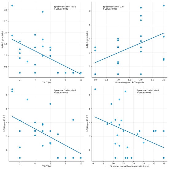
3. Results
4. Discussion
5. Conclusions
Author Contributions
Funding
Institutional Review Board Statement
Informed Consent Statement
Data Availability Statement
Acknowledgments
Conflicts of Interest
References
- Durá-Travé, T.; Gallinas-Victoriano, F. Autoimmune Thyroiditis and Vitamin D. Int. J. Mol. Sci. 2024, 25, 3154. [Google Scholar] [CrossRef] [PubMed]
- Antonelli, A.; Ferrari, S.M.; Corrado, A.; Di Domenicantonio, A.; Fallahi, P. Autoimmune thyroid disorders. Autoimmun. Rev. 2015, 14, 174–180. [Google Scholar] [CrossRef] [PubMed]
- Vanderpump, M.P.J. The epidemiology of thyroid disease. Br. Med. Bull. 2011, 99, 39–51. [Google Scholar] [CrossRef] [PubMed]
- McLeod, D.S.A.; Cooper, D.S. The incidence and prevalence of thyroid autoimmunity. Endocrine 2012, 42, 252–265. [Google Scholar] [CrossRef]
- Kaur, J.; Jialal, I. Hashimoto Thyroiditis. In StatPearls; StatPearls Publishing: Treasure Island, FL, USA, 2025. Available online: https://www.ncbi.nlm.nih.gov/books/NBK459262/ (accessed on 9 February 2025).
- Geetha, K.; Sasanka, G.; Pridvineel, S.; Banu, M.U.; Rama Rao, T. A Review on Hashimoto’s Thyroiditis. J. Drug Deliv. Ther. 2023, 13, 250–254. [Google Scholar] [CrossRef]
- Ragusa, F.; Fallahi, P.; Elia, G.; Gonnella, D.; Paparo, S.R.; Giusti, C.; Churilov, L.P.; Ferrari, S.M.; Antonelli, A. Hashimotos’ thyroiditis: Epidemiology, pathogenesis, clinic and therapy. Best. Pract. Res. Clin. Endocrinol. Metab. 2019, 33, 101367. [Google Scholar] [CrossRef]
- Tamai, H.; Ohsako, N.; Takeno, K.; Fukino, O.; Takahashi, H.; Kuma, K.; Kumagai, L.F.; Nagataki, S. Changes in thyroid function in euthyroid subjects with a family history of Graves’ disease: A follow-up study of 69 patients. J. Clin. Endocrinol. Metab. 1980, 51, 1123–1127. [Google Scholar] [CrossRef]
- McLachlan, S.M.; Rapoport, B. Breaking tolerance to thyroid antigens: Changing concepts in thyroid autoimmunity. Endocr. Rev. 2014, 35, 59–105. [Google Scholar] [CrossRef]
- Smith, T.J.; Hegedüs, L. Graves’ Disease. N. Engl. J. Med. 2016, 375, 1552–1565. [Google Scholar] [CrossRef]
- Werner, S.C. Modification of the classification of the eye changes of Graves’ disease: Recommendations of the Ad Hoc Committee of the American Thyroid Association. J. Clin. Endocrinol. Metab. 1977, 44, 203–204. [Google Scholar] [CrossRef]
- Gunay, M.; Celik, G.; Yildiz, E.; Bardak, H.; Kirmizibekmez, H.; Koc, N.; Gunay, B.O. Ocular surface evaluation in pediatric Hashimoto’s thyroiditis without thyroid-associated ophthalmopathy. Arq. Bras. Oftalmol. 2019, 82, 283–288. [Google Scholar] [CrossRef] [PubMed]
- Inoue, S.; Kawashima, M.; Arita, R.; Kozaki, A.; Tsubota, K. Investigation of Meibomian Gland Function and Dry Eye Disease in Patients with Graves’ Ophthalmopathy. J. Clin. Med. 2020, 9, 2814. [Google Scholar] [CrossRef] [PubMed]
- Huang, D.; Xu, N.; Song, Y.; Wang, P.; Yang, H. Inflammatory cytokine profiles in the tears of thyroid-associated ophthalmopathy. Graefes Arch. Clin. Exp. Ophthalmol. 2012, 250, 619–625. [Google Scholar] [CrossRef] [PubMed]
- Altay, M.; Şahin, T.; Yıldız, Z.; Şimşek, G.; Çıtırık, M.; Ateş, İ.; Dagdeviren, M.; Bitiren, M. Changes in Conjunctiva Morphology Using Impression Cytology in Patients with Hashimoto’s Thyroiditis without Thyroid-Associated Ophthalmopathy. Turk. Patoloji Derg. 2019, 35, 213–220. [Google Scholar]
- Altin Ekin, M.; Karadeniz Ugurlu, S.; Egrilmez, E.D.; Oruk, G.G. Ocular Surface Changes in Hashimoto’s Thyroiditis Without Thyroid Ophthalmopathy. Eye Contact Lens 2021, 47, 32–37. [Google Scholar] [CrossRef]
- Kan, E.; Kılıçkan, E.; Ecemiş, G.; Beyazyildiz, E.; Çolak, R. Presence of Dry Eye in Patients with Hashimoto’s Thyroiditis. J. Ophthalmol. 2014, 2014, 754923. [Google Scholar] [CrossRef]
- Betterle, C.; Garelli, S.; Coco, G.; Burra, P. A rare combination of type 3 autoimmune polyendocrine syndrome (APS-3) or multiple autoimmune syndrome (MAS-3). Auto-Immun. Highlights 2014, 5, 27. [Google Scholar] [CrossRef]
- Anaya, J.M.; Restrepo-Jiménez, P.; Rodríguez, Y.; Rodríguez-Jiménez, M.; Acosta-Ampudia, Y.; Monsalve, D.M.; Pacheco, Y.; Ramírez-Santana, C.; Molano-González, N.; Mantilla, R.D. Sjögren’s Syndrome and Autoimmune Thyroid Disease: Two Sides of the Same Coin. Clin. Rev. Allergy Immunol. 2019, 56, 362–374. [Google Scholar] [CrossRef]
- Michels, A.W.; Gottlieb, P.A. Autoimmune polyglandular syndromes. Nat. Rev. Endocrinol. 2010, 6, 270–277. [Google Scholar] [CrossRef]
- Schiffman, R.M.; Christianson, M.D.; Jacobsen, G.; Hirsch, J.D.; Reis, B.L. Reliability and validity of the Ocular Surface Disease Index. Arch. Ophthalmol. 2000, 118, 615–621. [Google Scholar] [CrossRef]
- Schargus, M.; Ivanova, S.; Kakkassery, V.; Dick, H.B.; Joachim, S. Correlation of Tear Film Osmolarity and 2 Different MMP-9 Tests With Common Dry Eye Tests in a Cohort of Non-Dry Eye Patients. Cornea 2015, 34, 739–744. [Google Scholar] [CrossRef] [PubMed]
- Soifer, M.; Mousa, H.M.; Stinnett, S.S.; Galor, A.; Perez, V.L. Matrix metalloproteinase 9 positivity predicts long term decreased tear production. Ocul. Surf. 2021, 19, 270–274. [Google Scholar] [CrossRef] [PubMed]
- Baudouin, C.; Irkeç, M.; Messmer, E.M.; Benítez-Del-Castillo, J.M.; Bonini, S.; Figueiredo, F.C.; Geerling, G.; Labetoulle, M.; Lemp, M.; Rolando, M.; et al. Clinical impact of inflammation in dry eye disease: Proceedings of the ODISSEY group meeting. Acta Ophthalmol. 2018, 96, 111–119. [Google Scholar] [CrossRef]
- Tan, X.; Sun, S.; Liu, Y.; Zhu, T.; Wang, K.; Ren, T.; Wu, Z.; Xu, H.; Zhu, L. Analysis of Th17-associated cytokines in tears of patients with dry eye syndrome. Eye 2014, 28, 608–613. [Google Scholar] [CrossRef] [PubMed]
- Luo, L.; Li, D.Q.; Doshi, A.; Farley, W.; Corrales, R.M.; Pflugfelder, S.C. Experimental dry eye stimulates production of inflammatory cytokines and MMP-9 and activates MAPK signaling pathways on the ocular surface. Investig. Ophthalmol. Vis. Sci. 2004, 45, 4293–4301. [Google Scholar] [CrossRef]
- Dinarello, C.A. Historical Review of Cytokines. Eur. J. Immunol. 2007, 37, S34–S45. [Google Scholar] [CrossRef]
- Gabay, C. Interleukin-6 and chronic inflammation. Arthritis Res. Ther. 2006, 8, S3. [Google Scholar] [CrossRef]
- Craig, J.P.; Nichols, K.K.; Akpek, E.K.; Caffery, B.; Dua, H.S.; Joo, C.K.; Liu, Z.; Nelson, J.D.; Nichols, J.J.; Tsubota, K.; et al. TFOS DEWS II Definition and Classification Report. Ocul. Surf. 2017, 15, 276–283. [Google Scholar] [CrossRef]
- Bandlitz, S.; Purslow, C.; Murphy, P.J.; Pult, H. Lid-parallel conjunctival fold (LIPCOF) morphology imaged by optical coherence tomography and its relationship to LIPCOF grade. Contact Lens Anterior Eye 2019, 42, 299–303. [Google Scholar] [CrossRef]
- Wolffsohn, J.S.; Arita, R.; Chalmers, R.; Djalilian, A.; Dogru, M.; Dumbleton, K.; Gupta, P.K.; Karpecki, P.; Lazreg, S.; Pult, H.; et al. TFOS DEWS II Diagnostic Methodology report. Ocul. Surf. 2017, 15, 539–574. [Google Scholar] [CrossRef]
- Tirakunwichcha, S.; Lerdchanapornchai, V.; Reinprayoon, U.; Saonanon, P.; Snabboon, T. Prevalence of dry eye disease in autoimmune thyroid disease and the association of dry eye with clinical signs of thyroid associated ophthalmopathy: Observational, noncomparative, cross-sectional study. Asian Biomed. 2016, 10, 133–138. [Google Scholar] [CrossRef]
- Kalra, N.; Puri, S.; Sharma, J.; Baranwal, V. Presence of Inflammatory Dry Eye in Patients with Thyroid Disorders. IOSR-JDMS 2020, 19, 14–17. [Google Scholar]
- Lai, E.W.; Tai, Y.H.; Wu, H.L.; Dai, Y.X.; Chen, T.J.; Cherng, Y.G.; Lai, S.-C. The Association between Autoimmune Thyroid Disease and Ocular Surface Damage: A Retrospective Population-Based Cohort Study. J. Clin. Med. 2023, 12, 3203. [Google Scholar] [CrossRef] [PubMed]
- Ren, Y.; Tian, J.; Shi, W.; Feng, J.; Liu, Y.; Kang, H.; Chen, B.; He, Y. Evaluation and correlation analysis of ocular surface disorders and quality of life in autoimmune rheumatic diseases: A cross-sectional study. BMC Ophthalmol. 2023, 23, 229. [Google Scholar] [CrossRef]
- de Almeida, S.F.F.; de Sousa, L.B.; Vieira, L.A.; Chiamollera, M.I.; Barros, J.d.N. Clinic-Cytologic Study of Conjunctivochalasis and Its Relation to Thyroid Autoimmune Diseases: Prospective Cohort Study. Cornea 2006, 25, 789–793. [Google Scholar] [CrossRef]
- Fröhlich, E.; Wahl, R. Thyroid Autoimmunity: Role of Anti-thyroid Antibodies in Thyroid and Extra-Thyroidal Diseases. Front. Immunol. 2017, 8, 521. [Google Scholar] [CrossRef]
- Li, J.; Huang, Q.; Sun, S.; Zhou, K.; Wang, X.; Pan, K.; Zhang, Y.; Wang, Y.; Han, Q.; Si, C.; et al. Thyroid antibodies in Hashimoto’s thyroiditis patients are positively associated with inflammation and multiple symptoms. Sci. Rep. 2024, 14, 27902. [Google Scholar] [CrossRef]
- Bothun, E.D.; Scheurer, R.A.; Harrison, A.R.; Lee, M.S. Update on thyroid eye disease and management. Clin. Ophthalmol. 2009, 3, 543–551. [Google Scholar]
- Bahn, R.S.; Dutton, C.M.; Natt, N.; Joba, W.; Spitzweg, C.; Heufelder, A.E. Thyrotropin receptor expression in Graves’ orbital adipose/connective tissues: Potential autoantigen in Graves’ ophthalmopathy. J. Clin. Endocrinol. Metab. 1998, 83, 998–1002. [Google Scholar] [CrossRef]
- Lehmann, G.M.; Feldon, S.E.; Smith, T.J.; Phipps, R.P. Immune mechanisms in thyroid eye disease. Thyroid 2008, 18, 959–965. [Google Scholar] [CrossRef]
- Eckstein, A.K.; Finkenrath, A.; Heiligenhaus, A.; Renzing-Köhler, K.; Esser, J.; Krüger, C.; Quadbeck, B.; Steuhl, K.-P.; Gieseler, R.K. Dry eye syndrome in thyroid-associated ophthalmopathy: Lacrimal expression of TSH receptor suggests involvement of TSHR-specific autoantibodies. Acta Ophthalmol. Scand. 2004, 82, 291–297. [Google Scholar] [CrossRef] [PubMed]
- Brasil, M.V.O.M.; Brasil, O.F.M.; Vieira, R.P.; Vaisman, M.; Amaral Filho, O.M.B.D. Tear film analysis and its relation with palpebral fissure height and exophthalmos in Graves’ ophthalmopathy. Arq. Bras. Oftalmol. 2005, 68, 615–618. [Google Scholar] [CrossRef] [PubMed]
- Ludgate, M.; Baker, G. Unlocking the immunological mechanisms of orbital inflammation in thyroid eye disease. Clin. Exp. Immunol. 2002, 127, 193–198. [Google Scholar] [CrossRef] [PubMed]
- Ujhelyi, B.; Gogolak, P.; Erdei, A.; Nagy, V.; Balazs, E.; Rajnavolgyi, E.; Berta, A.; Nagy, E.V. Graves’ orbitopathy results in profound changes in tear composition: A study of plasminogen activator inhibitor-1 and seven cytokines. Thyroid 2012, 22, 407–414. [Google Scholar] [CrossRef]
- Esfahanian, F.; Naimi, E.; Doroodgar, F.; Jadali, Z. Th1/Th2 cytokines in patients with Graves’ disease with or without ophthalmopathy. Iran. J. Allergy Asthma Immunol. 2013, 12, 168–175. [Google Scholar]
- Liang, C.; Du, W.; Dong, Q.; Liu, X.; Li, W.; Wang, Y.; Gao, G. Expression levels and genetic polymorphisms of interleukin-2 and interleukin-10 as biomarkers of Graves’ disease. Exp. Ther. Med. 2015, 9, 925–930. [Google Scholar] [CrossRef]
- Nowak, M.; Siemińska, L.; Karpe, J.; Marek, B.; Kos-Kudła, B.; Kajdaniuk, D. Serum concentrations of HGF and IL-8 in patients with active Graves’ orbitopathy before and after methylprednisolone therapy. J. Endocrinol. Investig. 2016, 39, 63–72. [Google Scholar] [CrossRef]
- Kishazi, E.; Dor, M.; Eperon, S.; Oberic, A.; Turck, N.; Hamedani, M. Differential profiling of lacrimal cytokines in patients suffering from thyroid-associated orbitopathy. Sci Rep. 2018, 8, 10792. [Google Scholar] [CrossRef]
- Kim, S.E.; Yoon, J.S.; Kim, K.H.; Lee, S.Y. Increased serum interleukin-17 in Graves’ ophthalmopathy. Graefes Arch. Clin. Exp. Ophthalmol. 2012, 250, 1521–1526. [Google Scholar] [CrossRef]
- Huang, D.; Luo, Q.; Yang, H.; Mao, Y. Changes of lacrimal gland and tear inflammatory cytokines in thyroid-associated ophthalmopathy. Investig. Ophthalmol. Vis. Sci. 2014, 55, 4935–4943. [Google Scholar] [CrossRef]
- Lacka, K.; Manuszewska, E.; Korczowska, I.; Lacki, J.K. The effect of methylprednisolone pulse treatment on cytokine network in Graves ophthalmopathy. Curr. Eye Res. 2007, 32, 291–297. [Google Scholar] [CrossRef] [PubMed]
- Mandić, J.J.; Kozmar, A.; Kusačić-Kuna, S.; Jazbec, A.; Mandić, K.; Mrazovac, D.; Vukojević, N. The levels of 12 cytokines and growth factors in tears: Hyperthyreosis vs euthyreosis. Graefes Arch. Clin. Exp. Ophthalmol. 2018, 256, 845–852. [Google Scholar] [CrossRef] [PubMed]
- Kook, K.Y.; Jin, R.; Li, L.; Yoon, H.J.; Yoon, K.C. Tear Osmolarity and Matrix Metallopeptidase-9 in Dry Eye Associated with Sjögren’s Syndrome. Korean J. Ophthalmol. 2020, 34, 179. [Google Scholar] [CrossRef] [PubMed]
- Pflugfelder, S.C.; Bian, F.; Paiva, C.D. Matrix metalloproteinase-9 in the pathophysiology and diagnosis of dry eye syndrome. Met. Med. 2017, 4, 37–46. [Google Scholar] [CrossRef]
- Lee, S.Y.; Han, S.J.; Nam, S.M.; Yoon, S.C.; Ahn, J.M.; Kim, T.I.; Kim, E.K.; Seo, K.Y. Analysis of tear cytokines and clinical correlations in Sjögren syndrome dry eye patients and non-Sjögren syndrome dry eye patients. Am. J. Ophthalmol. 2013, 156, 247–253. [Google Scholar] [CrossRef]
- Aljohani, S.; Jazzar, A. Tear Cytokine Levels in Sicca Syndrome-Related Dry Eye: A Meta-Analysis. Diagnostics 2023, 13, 2184. [Google Scholar] [CrossRef]
- Hirano, T. IL-6 in inflammation, autoimmunity and cancer. Int. Immunol. 2020, 33, 127–148. [Google Scholar] [CrossRef]
- Luo, G.; Xin, Y.; Qin, D.; Yan, A.; Zhou, Z.; Liu, Z. Correlation of interleukin-33 with Th cytokines and clinical severity of dry eye disease. Indian J. Ophthalmol. 2018, 66, 39–43. [Google Scholar] [CrossRef]
- Zhao, H.; Li, Q.; Ye, M.; Yu, J. Tear Luminex Analysis in Dry Eye Patients. Med. Sci. Monit. 2018, 24, 7595–7602. [Google Scholar] [CrossRef]
- Akpek, E.K.; Wu, H.Y.; Karakus, S.; Zhang, Q.; Masli, S. Differential Diagnosis of Sjögren Versus Non-Sjögren Dry Eye Through Tear Film Biomarkers. Cornea 2020, 39, 991–997. [Google Scholar] [CrossRef]
- Roescher, N.; Tak, P.P.; Illei, G.G. Cytokines in Sjögren’s syndrome: Potential therapeutic targets. Ann. Rheum. Dis. 2010, 69, 945–948. [Google Scholar] [CrossRef] [PubMed]
- Takeoka, K.; Watanabe, M.; Matsuzuka, F.; Miyauchi, A.; Iwatani, Y. Increase of serum interleukin-10 in intractable Graves’ disease. Thyroid 2004, 14, 201–205. [Google Scholar] [CrossRef] [PubMed]
- Roncarolo, M.G.; Bacchetta, R.; Bordignon, C.; Narula, S.; Levings, M.K. Type 1 T regulatory cells. Immunol. Rev. 2001, 182, 68–79. [Google Scholar] [CrossRef] [PubMed]
- Fillatreau, S.; Sweenie, C.H.; McGeachy, M.J.; Gray, D.; Anderton, S.M. B cells regulate autoimmunity by provision of IL-10. Nat. Immunol. 2002, 3, 944–950. [Google Scholar] [CrossRef]
- Skapenko, A.; Niedobitek, G.U.; Kalden, J.R.; Lipsky, P.E.; Schulze-Koops, H. Generation and regulation of human Th1-biased immune responses in vivo: A critical role for IL-4 and IL-10. J. Immunol. 2004, 172, 6427–6434. [Google Scholar] [CrossRef]
- Joosten, L.A.; Lubberts, E.; Durez, P.; Helsen, M.M.; Jacobs, M.J.; Goldman, M.; Van Den Berg, W.B. Role of interleukin-4 and interleukin-10 in murine collagen-induced arthritis. Protective effect of interleukin-4 and interleukin-10 treatment on cartilage destruction. Arthritis Rheum. 1997, 40, 249–260. [Google Scholar] [CrossRef]
- Houssiau, F.A.; Lefebvre, C.; Vanden Berghe, M.; Lambert, M.; Devogelaer, J.P.; Renauld, J.C. Serum interleukin 10 titers in systemic lupus erythematosus reflect disease activity. Lupus 1995, 4, 393–395. [Google Scholar] [CrossRef]
- Somers, E.C.; Thomas, S.L.; Smeeth, L.; Hall, A.J. Are individuals with an autoimmune disease at higher risk of a second autoimmune disorder? Am. J. Epidemiol. 2009, 169, 749–755. [Google Scholar] [CrossRef]
- Fallahi, P.; Ferrari, S.M.; Ruffilli, I.; Elia, G.; Biricotti, M.; Vita, R.; Benvenga, S.; Antonelli, A. The association of other autoimmune diseases in patients with autoimmune thyroiditis: Review of the literature and report of a large series of patients. Autoimmun. Rev. 2016, 15, 1125–1128. [Google Scholar] [CrossRef]
- Boelaert, K.; Newby, P.; Simmonds, M.; Holder, R.; Carr-Smith, J.; Heward, M.; Manji, N.; Allahabadia, A.; Armitage, M.; Chatterjee, K.V.; et al. Prevalence and Relative Risk of Other Autoimmune Diseases in Subjects with Autoimmune Thyroid Disease. Am. J. Med. 2010, 123, 183. [Google Scholar] [CrossRef]
- Pflugfelder, S.C.; Foulks, G.N.; Foster, C.S.; Akpek, E.K.; Sheppard, J.D.; Starr, C.E. Special Supplement: Improving Diagnosis and Outcomes of Sjögren’s Disease through Targeting Dry Eye Patients: A Continuing Medical Education Enduring Material. Ocul. Surf. 2015, 13, S1–S33. [Google Scholar]


| Characteristics | Hashimoto’s Thyroiditis (HT) | Dry Eye Disease Without Hashimoto’s Thyroiditis (non-HT DED) | Control | p Value (HT vs. non-HT DED) | p Value (HT vs. Control) | p Value (non-HT DED vs. Control) |
|---|---|---|---|---|---|---|
| Number of patients | 50 | 50 | 50 | |||
| Age (years) ± SD | 39.22 ± 11.20 | 38.78 ± 10.49 | 35.08 ± 9.60 | 0.834 | 0.148 | 0.157 |
| Sex (M/F) | 10/40 | 15/35 | 15/35 | 0.248 | 0.248 | 1.000 |
| OSDI (0–100) ± SD | 21.78 ± 16.85 | 28.10 ± 13.64 | 3.22 ± 3.94 | 0.014 | <0.001 | <0.001 |
| Oxford scale (0–5) ± SD | 1.56 ± 1.05 | 1.78 ± 1.00 | 0.10 ± 0.30 | 0.323 | <0.001 | <0.001 |
| Lissamine green SICCA grade (0–4) ± SD | 1.20 ± 0.95 | 0.86 ± 0.78 | 0.04 ± 0.20 | 0.105 | <0.001 | <0.001 |
| TBUT (s) ± SD | 6.36 ± 4.63 | 3.56 ± 2.09 | 12.94 ± 3.62 | 0.002 | <0.001 | <0.001 |
| Schirmer test without anesthetic (mm) ± SD | 18.52 ± 9.51 | 16.40 ± 9.13 | 21.48 ± 8.61 | 0.265 | 0.204 | 0.018 |
| LIPCOF grade (0–3) ± SD | 1.80 ± 1.39 | 1.04 ± 0.95 | 0.24 ± 0.43 | 0.010 | <0.001 | <0.001 |
| Characteristics | Hashimoto’s Thyroiditis with Dry Eye Disease (DED HT) | Dry Eye Disease Without Hashimoto’s Thyroiditis (non-HT DED) | Control | p Value (DED HT vs. non-HT DED) | p Value (DED HT vs. Control) | p Value (non-HT DED vs. Control) |
|---|---|---|---|---|---|---|
| Number of patients | 27 | 50 | 50 | |||
| OSDI (0–100) ± SD | 33.41 ± 14.45 | 28.10 ± 13.64 | 3.22 ± 3.94 | 0.049 | <0.001 | <0.001 |
| Oxford scale (0–5) ± SD | 1.74 ± 1.00 | 1.78 ± 1.00 | 0.10 ± 0.30 | 0.838 | <0.001 | <0.001 |
| Lissamine green SICCA grade (0–4) ± SD | 1.41 ± 0.95 | 0.86 ± 0.78 | 0.04 ± 0.20 | <0.001 | <0.001 | <0.001 |
| TBUT (s) ± SD | 4.89 ± 2.48 | 3.56 ± 2.09 | 12.94 ± 3.62 | 0.055 | <0.001 | <0.001 |
| Schirmer test without anesthetic (mm) ± SD | 18.15 ± 9.19 | 16.40 ± 9.13 | 21.48 ± 8.61 | 0.417 | 0.246 | 0.016 |
| LIPCOF grade (0–3) ± SD | 2.15 ± 1.35 | 1.04 ± 0.95 | 0.24 ± 0.43 | <0.001 | <0.001 | <0.001 |
| Cytokine | Hashimoto’s Thyroiditis with Dry Eye Disease (DED HT) Med (IQR) | Dry Eye Disease Without Hashimoto’s Thyroiditis (non-HT DED) Med (IQR) | Control Med (IQR) | p Value (DED HT vs. non-HT DED) | p Value (DED HT vs. Control) | p Value (non-HT DED vs. Control) |
|---|---|---|---|---|---|---|
| MMP-9 (ng/mL) | 216.6 (69.9–328.2) | 104.9 (52.3–253.9) | 12.5 (3.6–29.8) | 0.109 | <0.001 | <0.001 |
| IL-1β (pg/mL) | 28.5 (8.6–50.9) | 28.5 (28.5–28.5) | 28.5 (10.3–28.5) | 1.000 | 1.000 | 0.846 |
| TNF-α (pg/mL) | 25.0 (13.5–53.4) | 38.2 (28.5–60.3) | 35.8 (16.4–73.3) | 0.246 | 0.463 | 0.461 |
| IL-6 (pg/mL) | 68.6 (24.8–138.1) | 22.1 (13.3–37.6) | 19.7 (12.3–44.9) | 0.010 | 0.010 | 0.995 |
| IL-8 (pg/mL) | 6.1 (2.2–510.2) | 3.6 (3.0–4.1) | 7.4 (2.9–675.8) | 0.482 | 0.482 | 0.022 |
| IL-10 (pg/mL) | 1.7 (0.3–2.9) | 3.7 (2.6–4.9) | 3.0 (0.1–5.8) | 0.008 | 0.163 | 0.163 |
| IL-17A (pg/mL) | 13.0 (2.1–53.4) | 10.9 (6.7–18.0) | 6.4 (0.5–15.7) | 0.824 | 0.085 | 0.022 |
Disclaimer/Publisher’s Note: The statements, opinions and data contained in all publications are solely those of the individual author(s) and contributor(s) and not of MDPI and/or the editor(s). MDPI and/or the editor(s) disclaim responsibility for any injury to people or property resulting from any ideas, methods, instructions or products referred to in the content. |
© 2025 by the authors. Licensee MDPI, Basel, Switzerland. This article is an open access article distributed under the terms and conditions of the Creative Commons Attribution (CC BY) license (https://creativecommons.org/licenses/by/4.0/).
Share and Cite
Ranđelović, K.; Jukić, T.; Tešija Kuna, A.; Sušić, T.; Hanžek, M.; Štajduhar, A.; Vatavuk, Z.; Petric Vicković, I. Hashimoto’s Thyroiditis and Dry Eye Disease. J. Clin. Med. 2025, 14, 1710. https://doi.org/10.3390/jcm14051710
Ranđelović K, Jukić T, Tešija Kuna A, Sušić T, Hanžek M, Štajduhar A, Vatavuk Z, Petric Vicković I. Hashimoto’s Thyroiditis and Dry Eye Disease. Journal of Clinical Medicine. 2025; 14(5):1710. https://doi.org/10.3390/jcm14051710
Chicago/Turabian StyleRanđelović, Karla, Tomislav Jukić, Andrea Tešija Kuna, Tamara Sušić, Milena Hanžek, Andrija Štajduhar, Zoran Vatavuk, and Ivanka Petric Vicković. 2025. "Hashimoto’s Thyroiditis and Dry Eye Disease" Journal of Clinical Medicine 14, no. 5: 1710. https://doi.org/10.3390/jcm14051710
APA StyleRanđelović, K., Jukić, T., Tešija Kuna, A., Sušić, T., Hanžek, M., Štajduhar, A., Vatavuk, Z., & Petric Vicković, I. (2025). Hashimoto’s Thyroiditis and Dry Eye Disease. Journal of Clinical Medicine, 14(5), 1710. https://doi.org/10.3390/jcm14051710

