Effects of Age and Muscle Activation on Three-Dimensional Spine Kinematics and Asymmetry in Elderly Adults
Abstract
1. Introduction
2. Materials and Methods
2.1. Participants
2.2. Measurement of Lordosis Curvature
2.3. Marker Placement
2.4. Kinematic Model
2.5. Measurement of Muscle Activation
2.6. Experimental Protocol
2.7. Statistical Analysis
3. Results
3.1. Lordosis Curvature
3.2. Kinematic Motions
3.3. Muscle Activation
4. Discussion
5. Conclusions
Author Contributions
Funding
Institutional Review Board Statement
Informed Consent Statement
Data Availability Statement
Acknowledgments
Conflicts of Interest
References
- Suryadinata, R.V.; Wirjatmadi, B.; Adriani, M.; Lorensia, A. Effect of age and weight on physical activity. J. Public Health Res. 2020, 9, 1840. [Google Scholar] [CrossRef] [PubMed]
- Papadakis, M.; Sapkas, G.; Papadopoulos, E.C.; Katonis, P. Pathophysiology and biomechanics of the aging spine. Open Orthop. J. 2011, 5, 335. [Google Scholar] [CrossRef] [PubMed]
- Intolo, P.; Milosavljevic, S.; Baxter, D.G.; Carman, A.B.; Pal, P.; Munn, J. The effect of age on lumbar range of motion: A systematic review. Man. Ther. 2009, 14, 596–604. [Google Scholar] [CrossRef] [PubMed]
- Papi, E.; Bull, A.M.; McGregor, A.H. Is there evidence to use kinematic/kinetic measures clinically in low back pain patients? A systematic review. Clin. Biomech. 2018, 55, 53–64. [Google Scholar] [CrossRef]
- Valle, M.B.D.; Schmit, E.F.D.; Sedrez, J.A.; Candotti, C.T. Assessment of thoracic and lumbar spine range of motion: Systematic review with meta-analysis. J. Phys. Educ. 2019, 29, e2946. [Google Scholar]
- Morita, D.; Yukawa, Y.; Nakashima, H.; Ito, K.; Yoshida, G.; Machino, M.; Kanbara, S.; Iwase, T.; Kato, F. Range of motion of thoracic spine in sagittal plane. Eur. Spine J. 2014, 23, 673–678. [Google Scholar] [CrossRef]
- Gajdosik, R.L.; Bohannon, R.W. Clinical measurement of range of motion: Review of goniometry emphasizing reliability and validity. Phys. Ther. 1987, 67, 1867–1872. [Google Scholar] [CrossRef]
- Mason, D.; Preece, S.; Bramah, C.; Herrington, L. Reproducibility of kinematic measures of the thoracic spine, lumbar spine and pelvis during fast running. Gait Posture 2016, 43, 96–100. [Google Scholar] [CrossRef]
- Seerden, S.F.; Dankaerts, W.; Swinnen, T.W.; Westhovens, R.; De Vlam, K.; Vanwanseele, B. Differences in multi-segmental spine kinematics between patients with different stages of axial spondyloarthritis and healthy controls. Musculoskelet. Sci. Pract. 2021, 53, 102368. [Google Scholar] [CrossRef]
- Papi, E.; Bull, A.M.; McGregor, A.H. Spinal segments do not move together predictably during daily activities. Gait Posture 2019, 67, 277–283. [Google Scholar] [CrossRef]
- Eichelberger, P.; Ferraro, M.; Minder, U.; Denton, T.; Blasimann, A.; Krause, F.; Baur, H. Analysis of accuracy in optical motion capture–A protocol for laboratory setup evaluation. J. Biomech. 2016, 49, 2085–2088. [Google Scholar] [CrossRef] [PubMed]
- Suo, M.; Zhang, J.; Sun, T.; Wang, J.; Liu, X.; Huang, H.; Li, Z. The association between morphological characteristics of paraspinal muscle and spinal disorders. Ann. Med. 2023, 55, 2258922. [Google Scholar] [CrossRef] [PubMed]
- Burton, A.K.; Tillotson, K.M. Reference values for ‘normal’regional lumbar sagittal mobility. Clin. Biomech. 1988, 3, 106–113. [Google Scholar] [CrossRef]
- Rajabi, R.; Seidi, F.; Mohamadi, F. Which method is accurate when using the flexible ruler to measure the lumbar curvature angle? Deep point or mid-point of arch. World Appl. Sci. J. 2008, 4, 849–852. [Google Scholar]
- Chao, E.Y. Justification of triaxial goniometer for the measurement of joint rotation. J. Biomech. 1980, 13, 989–1006. [Google Scholar] [CrossRef]
- Yu, B.; Gabriel, D.; Noble, L.; An, K.-N. Estimate of the optimum cutoff frequency for the Butterworth low-pass digital filter. J. Appl. Biomech. 1999, 15, 318–329. [Google Scholar] [CrossRef]
- Cheng, C.-H.; Rezaei, A.; Kaufman, K. Effects of age/gender profiles and physical activity level on symmetry of lumbar muscle activation in pain-free older adults during various spinal movements. Gait Posture 2025, 117, 136–142. [Google Scholar] [CrossRef]
- Hermens, H.J.; Freriks, B.; Disselhorst-Klug, C.; Rau, G. Development of recommendations for SEMG sensors and sensor placement procedures. J. Electromyogr. Kinesiol. 2000, 10, 361–374. [Google Scholar] [CrossRef]
- Kamachi, S.; Mizuta, T.; Otsuka, T.; Nakashita, S.; Ide, Y.; Miyoshi, A.; Kitahara, K.; Eguchi, Y.; Ozaki, I.; Anzai, K. Sarcopenia is a risk factor for the recurrence of hepatocellular carcinoma after curative treatment. Hepatol. Res. 2016, 46, 201–208. [Google Scholar] [CrossRef]
- Schweitzer, L.; Geisler, C.; Pourhassan, M.; Braun, W.; Gluer, C.C.; Bosy-Westphal, A.; Muller, M.J. What is the best reference site for a single MRI slice to assess whole-body skeletal muscle and adipose tissue volumes in healthy adults? Am. J. Clin. Nutr. 2015, 102, 58–65. [Google Scholar] [CrossRef]
- Carvalho, C.R.; Fernández, J.M.; Del-Ama, A.J.; Oliveira Barroso, F.; Moreno, J.C. Review of electromyography onset detection methods for real-time control of robotic exoskeletons. J. NeuroEng. Rehabil. 2023, 20, 141. [Google Scholar] [CrossRef] [PubMed]
- Rezaei, A.; Bhat, S.G.; Cheng, C.H.; Pignolo, R.J.; Lu, L.; Kaufman, K.R. Age-related changes in gait, balance, and strength parameters: A cross-sectional study. PLoS ONE 2024, 19, e0310764. [Google Scholar] [CrossRef] [PubMed]
- Jung, H.; Tanaka, S.; Iwamoto, Y.; Kawano, T.; Yamasaki, M.; Tanaka, R. Reductions in muscle strength and range of motion cause locomotion disability via locomotion-related functional limitation in Japanese older adults: A cross-sectional study. J. Aging Res. 2021, 2021, 6627767. [Google Scholar] [CrossRef] [PubMed]
- Weiler, C.; Schietzsch, M.; Kirchner, T.; Nerlich, A.G.; Boos, N.; Wuertz, K. Age-related changes in human cervical, thoracal and lumbar intervertebral disc exhibit a strong intra-individual correlation. Eur. Spine J. 2012, 21, 810–818. [Google Scholar] [CrossRef]
- Mimura, M.; Panjabi, M.; Oxland, T.; Crisco, J.J.; Yamamoto, I.; Vasavada, A. Disc degeneration affects the multidirectional flexibility of the lumbar spine. Spine 1994, 19, 1371–1380. [Google Scholar] [CrossRef]
- Farshad, M.; Aichmair, A.; Götschi, T.; Senteler, M.; Urbanschitz, L. How is spinal range of motion affected by disc- and facet degeneration and spinopelvic anatomy? N. Am. Spine Soc. J. 2021, 7, 100076. [Google Scholar] [CrossRef]
- Coyle, P.C.; Velasco, T.; Sions, J.M.; Hicks, G.E. Lumbar Mobility and Performance-Based Function: An Investigation in Older Adults with and without Chronic Low Back Pain. Pain Med. 2017, 18, 161–168. [Google Scholar] [CrossRef]
- Norris, C.M. Spinal stabilisation: 2. Limiting factors to end-range motion in the lumbar spine. Physiotherapy 1995, 81, 64–72. [Google Scholar] [CrossRef]
- Fereydoonpour, M.; Rezaei, A.; Schreiber, A.; Lu, L.; Ziejewski, M.; Karami, G. Prediction of vertebral failure under general loadings of compression, flexion, extension, and side-bending. J. Mech. Behav. Biomed. Mater. 2025, 162, 106827. [Google Scholar] [CrossRef]
- Tamura, A.; Akasaka, K.; Otsudo, T.; Igarashi, H.; Yoshida, S. Evaluation of the relationship between history of lower back pain and asymmetrical trunk range of motion. J. Back Musculoskelet. Rehabil. 2021, 34, 975–981. [Google Scholar] [CrossRef]
- Gombatto, S.P.; Collins, D.R.; Sahrmann, S.A.; Engsberg, J.R.; Van Dillen, L.R. Patterns of lumbar region movement during trunk lateral bending in 2 subgroups of people with low back pain. Phys. Ther. 2007, 87, 441–454. [Google Scholar] [CrossRef] [PubMed]
- Gomez, T.T. Symmetry of lumbar rotation and lateral flexion range of motion and isometric strength in subjects with and without low back pain. J. Orthop. Sports Phys. Ther. 1994, 19, 42–48. [Google Scholar] [CrossRef][Green Version]
- Iglesias-Caamaño, M.; Álvarez-Yates, T.; Carballo-López, J.; Cuba-Dorado, A.; García-García, Ó. Is asymmetry different depending on how it is calculated? Symmetry 2022, 14, 2195. [Google Scholar] [CrossRef]
- Parkinson, A.O.; Apps, C.L.; Morris, J.G.; Barnett, C.T.; Lewis, M.G. The calculation, thresholds and reporting of inter-limb strength asymmetry: A systematic review. J. Sports Sci. Med. 2021, 20, 594. [Google Scholar] [CrossRef] [PubMed]
- Sung, P.S.; Danial, P.; Lee, D.C. Comparison of the different kinematic patterns during lateral bending between subjects with and without recurrent low back pain. Clin. Biomech. 2016, 38, 50–55. [Google Scholar] [CrossRef]
- Lee, J.C.; Choi, S.W. Adjacent Segment Pathology after Lumbar Spinal Fusion. Asian Spine J. 2015, 9, 807–817. [Google Scholar] [CrossRef]
- Kato, S.; Demura, S.; Shinmura, K.; Yokogawa, N.; Kabata, T.; Matsubara, H.; Kajino, Y.; Igarashi, K.; Inoue, D.; Kurokawa, Y. Association of low back pain with muscle weakness, decreased mobility function, and malnutrition in older women: A cross-sectional study. PLoS ONE 2021, 16, e0245879. [Google Scholar] [CrossRef]
- Hayden, J.A.; Van Tulder, M.W.; Tomlinson, G. Systematic review: Strategies for using exercise therapy to improve outcomes in chronic low back pain. Ann. Intern. Med. 2005, 142, 776–785. [Google Scholar] [CrossRef]
- Crisco, J.J., 3rd; Panjabi, M.M. The intersegmental and multisegmental muscles of the lumbar spine: A biomechanical model comparing lateral stabilizing potential. Spine 1991, 16, 793–799. [Google Scholar] [CrossRef]
- Cooper, R.; Forbes, W.S.C.; Jayson, M. Radiographic demonstration of paraspinal muscle wasting in patients with chronic low back pain. Rheumatology 1992, 31, 389–394. [Google Scholar] [CrossRef]
- Tak, I.; Wiertz, W.-P.; Barendrecht, M.; Langhout, R. Validity of a new 3-D motion analysis tool for the assessment of knee, hip and spine joint angles during the single leg squat. Sensors 2020, 20, 4539. [Google Scholar] [CrossRef] [PubMed]
- Kiernan, D.; Simms, C. Reliability and measurement error of multi-segment trunk kinematics and kinetics during cerebral palsy gait. Med. Eng. Phys. 2020, 75, 53–58. [Google Scholar] [CrossRef] [PubMed]
- Narimani, M.; Arjmand, N. Three-dimensional primary and coupled range of motions and movement coordination of the pelvis, lumbar and thoracic spine in standing posture using inertial tracking device. J. Biomech. 2018, 69, 169–174. [Google Scholar] [CrossRef] [PubMed]
- Kienbacher, T.; Paul, B.; Habenicht, R.; Starek, C.; Wolf, M.; Kollmitzer, J.; Mair, P.; Ebenbichler, G. Age and gender related neuromuscular changes in trunk flexion-extension. J. Neuroeng. Rehabil. 2015, 12, 3. [Google Scholar] [CrossRef]
- Arshad, R.; Pan, F.; Reitmaier, S.; Schmidt, H. Effect of age and sex on lumbar lordosis and the range of motion. A systematic review and meta-analysis. J. Biomech. 2019, 82, 1–19. [Google Scholar] [CrossRef]
- Aurand, A.M.; Dufour, J.S.; Marras, W.S. Accuracy map of an optical motion capture system with 42 or 21 cameras in a large measurement volume. J. Biomech. 2017, 58, 237–240. [Google Scholar] [CrossRef]
- Zemp, R.; List, R.; Gülay, T.; Elsig, J.P.; Naxera, J.; Taylor, W.R.; Lorenzetti, S. Soft tissue artefacts of the human back: Comparison of the sagittal curvature of the spine measured using skin markers and an open upright MRI. PLoS ONE 2014, 9, e95426. [Google Scholar] [CrossRef]
- Mörl, F.; Blickhan, R. Three-dimensional relation of skin markers to lumbar vertebrae of healthy subjects in different postures measured by open MRI. Eur. Spine J. 2006, 15, 742–751. [Google Scholar] [CrossRef]
- Ripic, Z.; Nienhuis, M.; Signorile, J.F.; Best, T.M.; Jacobs, K.A.; Eltoukhy, M. A comparison of three-dimensional kinematics between markerless and marker-based motion capture in overground gait. J. Biomech. 2023, 159, 111793. [Google Scholar] [CrossRef]






| Male | Female | p-Value | |
|---|---|---|---|
| Participants | 20 | 20 | - |
| Age (years) | 66.9 (10.0) | 63.1 (10.0) | 0.24 |
| Height (cm) | 176.8 (6.7) | 162.9 (6.4) | <0.001 |
| Weight (kg) | 84.6 (12.2) | 71.5 (10.5) | <0.001 |
| BMI (kg/m2) | 27.0 (3.5) | 27.0 (4.0) | 0.96 |
| Tasks | Sacrum | Lumbar | Thoracic | Trunk | |
|---|---|---|---|---|---|
| Flexion | Female | 64(10) | 14(8) | 35(7) | 113(13) |
| Male | 61(15) | 17(9) | 31(7) | 108(14) | |
| All | 63(13) | 15(9) | 33(8) | 111(13) | |
| Extension | Female | 16(8) | 5(8) | 17(8) | 38(12) |
| Male | 16(7) | 5(6) | 17(8) | 38(10) | |
| All | 16(7) | 5(7) | 17(8) | 38(11) | |
| Non-dominant sidebending | Female | 7(3) | 10(5) | 27(8) | 44(9) |
| Male | 8(5) | 12(7) | 25(10) | 45(11) | |
| All | 8(4) | 11(6) | 26(9) | 44(10) | |
| Dominant sidebending | Female | 7(2) | 11(5) | 30(8) | 48(10) |
| Male | 10(6) | 10(6) | 26(6) | 45(8) | |
| All | 9(5) | 10(6) | 28(8) | 47(9) | |
| Non-dominant axial rotation | Female | 49(13) | 4(6) | 28(9) | 80(14) |
| Male | 58(12) | 4(2) | 32(8) | 93(13) | |
| All | 54(13) | 4(4) | 30(9) | 87(15) | |
| Dominant axial rotation | Female | 49(13) | 4(4) | 29(8) | 82(15) |
| Male | 55(11) | 4(3) | 32(7) | 90(15) | |
| All | 52(12) | 4(4) | 30(8) | 86(16) |
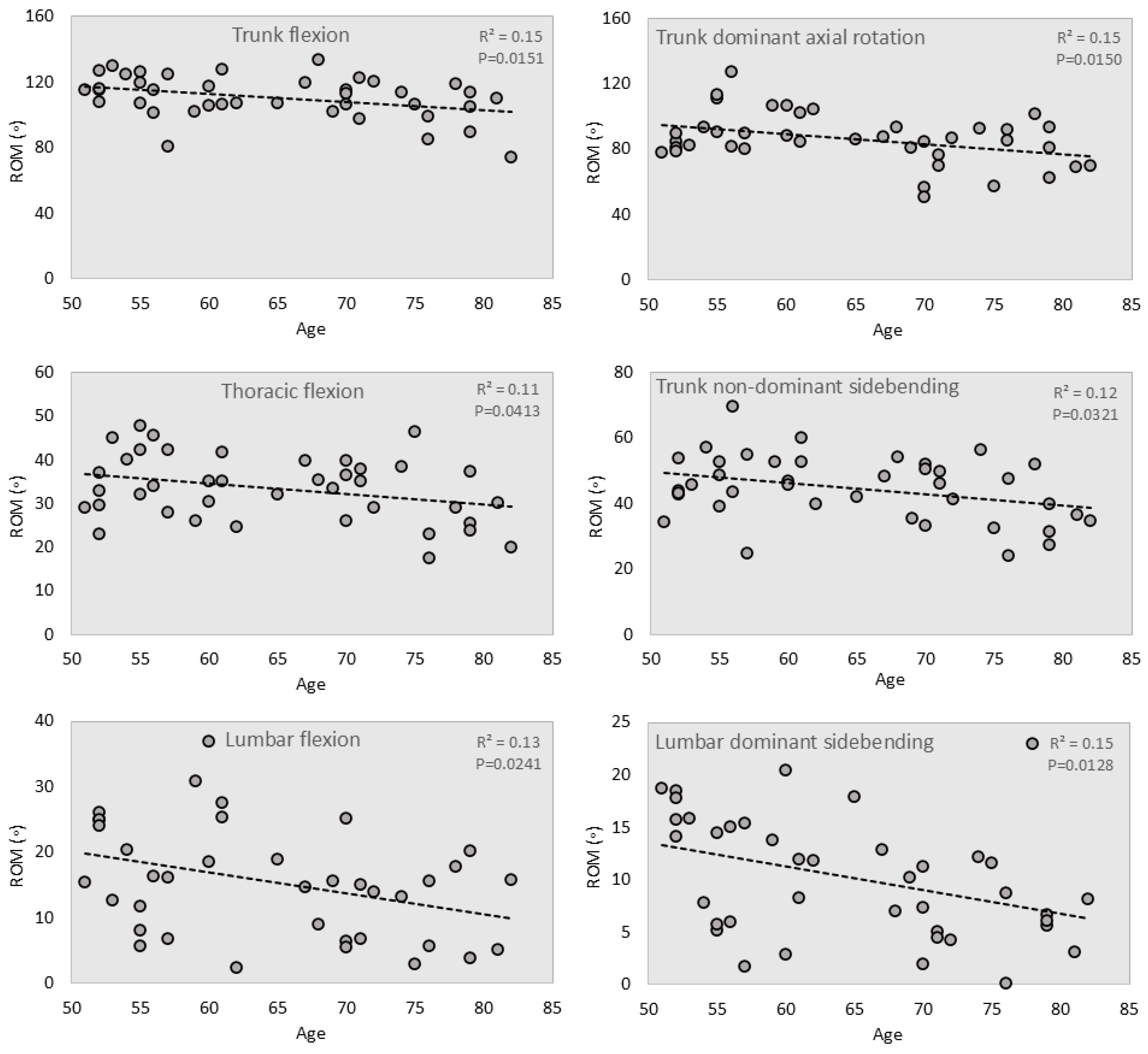
| Tasks | ROM | Age |
|---|---|---|
| Flexion | sacrum | 0.79 |
| lumbar | 0.0241 * | |
| thoracic | 0.0413 * | |
| trunk | 0.0151 * | |
| Extension | sacrum | 0.50 |
| lumbar | 0.08 | |
| thoracic | 0.39 | |
| trunk | 0.19 | |
| Non-dominant Sidebending | sacrum | 0.78 |
| lumbar | 0.06 | |
| thoracic | 0.33 | |
| trunk | 0.0321 * | |
| Dominant Sidebending | sacrum | 0.46 |
| lumbar | 0.0128 * | |
| thoracic | 0.73 | |
| trunk | 0.15 | |
| Non-dominant axial rotation | sacrum | 0.61 |
| lumbar | 0.19 | |
| thoracic | 0.14 | |
| trunk | 0.16 | |
| Dominant axial rotation | sacrum | 0.12 |
| lumbar | 0.13 | |
| thoracic | 0.08 | |
| trunk | 0.0150 * |
| Tasks | Average EMG Signal | Average EMG (p-Value) |
|---|---|---|
| Flexion | 11.2 (6.3) | 0.09 |
| Extension | 3.2 (3) | 0.41 |
| Non dominant Sidebending † | 4.3 (3) | 0.0001 * |
| Dominant Sidebending † | 4.4 (4) | 0.0364 * |
| Non-dominant axial rotation | 4.2 (3.5) | 0.80 |
| Dominant axial rotation | 4.3 (2.8) | 0.34 |
Disclaimer/Publisher’s Note: The statements, opinions and data contained in all publications are solely those of the individual author(s) and contributor(s) and not of MDPI and/or the editor(s). MDPI and/or the editor(s) disclaim responsibility for any injury to people or property resulting from any ideas, methods, instructions or products referred to in the content. |
© 2025 by the authors. Licensee MDPI, Basel, Switzerland. This article is an open access article distributed under the terms and conditions of the Creative Commons Attribution (CC BY) license (https://creativecommons.org/licenses/by/4.0/).
Share and Cite
Rezaei, A.; Cheng, C.-H.; Pignolo, R.J.; Lu, L.; Kaufman, K. Effects of Age and Muscle Activation on Three-Dimensional Spine Kinematics and Asymmetry in Elderly Adults. J. Clin. Med. 2025, 14, 1610. https://doi.org/10.3390/jcm14051610
Rezaei A, Cheng C-H, Pignolo RJ, Lu L, Kaufman K. Effects of Age and Muscle Activation on Three-Dimensional Spine Kinematics and Asymmetry in Elderly Adults. Journal of Clinical Medicine. 2025; 14(5):1610. https://doi.org/10.3390/jcm14051610
Chicago/Turabian StyleRezaei, Asghar, Chih-Hsiu Cheng, Robert J. Pignolo, Lichun Lu, and Kenton Kaufman. 2025. "Effects of Age and Muscle Activation on Three-Dimensional Spine Kinematics and Asymmetry in Elderly Adults" Journal of Clinical Medicine 14, no. 5: 1610. https://doi.org/10.3390/jcm14051610
APA StyleRezaei, A., Cheng, C.-H., Pignolo, R. J., Lu, L., & Kaufman, K. (2025). Effects of Age and Muscle Activation on Three-Dimensional Spine Kinematics and Asymmetry in Elderly Adults. Journal of Clinical Medicine, 14(5), 1610. https://doi.org/10.3390/jcm14051610

