Correlation of Pneumonia Severity Index and CURB-65 Score with Neutrophil/Lymphocyte Ratio, Platelet/Lymphocyte Ratio, and Monocyte/Lymphocyte Ratio in Predicting In-Hospital Mortality for Community-Acquired Pneumonia: Observational Study
Abstract
1. Introduction
2. Materials and Methods
2.1. Study Design and Population
2.2. Pneumonia Case Definition [10,11]
2.3. Severity Assessment Tools
2.4. Ethical Approval
2.5. Statistical Analysis
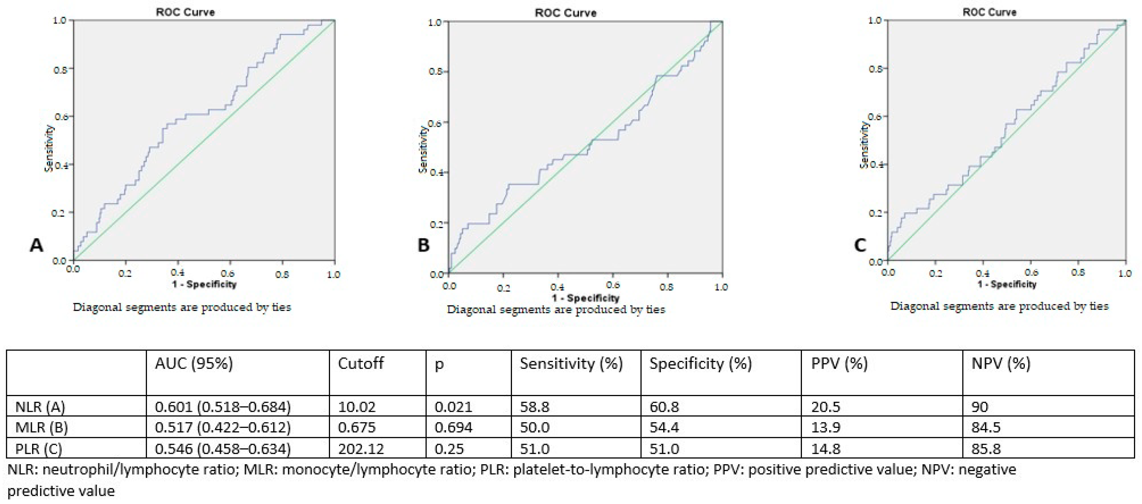
3. Results
4. Discussion
5. Conclusions
Author Contributions
Funding
Institutional Review Board Statement
Informed Consent Statement
Data Availability Statement
Acknowledgments
Conflicts of Interest
References
- Bender, M.T.; Niederman, M.S. Improving Outcomes in Community-Acquired Pneumonia. Curr. Opin. Pulm. Med. 2016, 22, 235–242. [Google Scholar] [CrossRef] [PubMed]
- Serisier, D.J.; Williams, S.; Bowler, S.D. Australasian Respiratory and Emergency Physicians Do Not Use the Pneumonia Severity Index in Community-Acquired Pneumonia. Respiratory 2013, 18, 291–296. [Google Scholar] [CrossRef] [PubMed]
- Lindhardt, T.; Klausen, H.H.; Christiansen, C.; Smith, L.L.; Pedersen, J.; Andersen, O. Elderly Patients with Community-Acquired Pneumonia Are Not Treated According to Current Guidelines. Dan. Med. J. 2013, 60, A4572. [Google Scholar]
- Ng, W.W.-S.; Lam, S.-M.; Yan, W.-W.; Shum, H.-P. NLR, MLR, PLR and RDW to Predict Outcome and Differentiate between Viral and Bacterial Pneumonia in the Intensive Care Unit. Sci. Rep. 2022, 12, 15974. [Google Scholar] [CrossRef] [PubMed]
- Diao, Y.J.; Hua, J.N.; Xu, L.; Wu, Q. [The relationship between the comprehensive blood inflammation indexes and stage I pneumoconiosis and its combined lung infections]. Zhonghua Lao Dong Wei Sheng Zhi Ye Bing Za Zhi Zhonghua Laodong Weisheng Zhiyebing Zazhi Chin. J. Ind. Hyg. Occup. Dis. 2024, 42, 350–355. [Google Scholar] [CrossRef]
- Orfanu, A.E.; Popescu, C.; Leuștean, A.; Negru, A.R.; Tilişcan, C.; Aramă, V.; Aramă, Ș.S. The Importance of Haemogram Parameters in the Diagnosis and Prognosis of Septic Patients. J. Crit. Care Med. 2017, 3, 105–110. [Google Scholar] [CrossRef] [PubMed]
- Curbelo, J.; Rajas, O.; Arnalich, B.; Galván-Román, J.M.; Luquero-Bueno, S.; Ortega-Gómez, M.; Lancho, A.; Roy, E.; Sánchez Azofra, A.; Mateo Jiménez, G.; et al. Neutrophil Count Percentage and Neutrophil-Lymphocyte Ratio as Prognostic Markers in Patients Hospitalized for Community-Acquired Pneumonia. Arch. Bronconeumol. 2019, 55, 472–477. [Google Scholar] [CrossRef] [PubMed]
- Cataudella, E.; Giraffa, C.M.; Di Marca, S.; Pulvirenti, A.; Alaimo, S.; Pisano, M.; Terranova, V.; Corriere, T.; Ronsisvalle, M.L.; Di Quattro, R.; et al. Neutrophil-To-Lymphocyte Ratio: An Emerging Marker Predicting Prognosis in Elderly Adults with Community-Acquired Pneumonia. J. Am. Geriatr. Soc. 2017, 65, 1796–1801. [Google Scholar] [CrossRef]
- Moldovan, F. Role of Serum Biomarkers in Differentiating Periprosthetic Joint Infections from Aseptic Failures after Total Hip Arthroplasties. J. Clin. Med. 2024, 13, 5716. [Google Scholar] [CrossRef] [PubMed]
- Pascual-Guardia, S.; Amati, F.; Marin-Corral, J.; Aliberti, S.; Gea, J.; Soni, N.J.; Rodriguez, A.; Sibila, O.; Sanz, F.; Sotgiu, G.; et al. Bacterial Patterns and Empiric Antibiotic Use in COPD Patients with Community-Acquired Pneumonia. Arch. Bronconeumol. 2023, 59, 90–100. [Google Scholar] [CrossRef] [PubMed]
- Metlay, J.P.; Waterer, G.W.; Long, A.C.; Anzueto, A.; Brozek, J.; Crothers, K.; Cooley, L.A.; Dean, N.C.; Fine, M.J.; Flanders, S.A.; et al. Diagnosis and Treatment of Adults with Community-Acquired Pneumonia. An Official Clinical Practice Guideline of the American Thoracic Society and Infectious Diseases Society of America. Am. J. Respir. Crit. Care Med. 2019, 200, e45–e67. [Google Scholar] [CrossRef] [PubMed]
- Carlos, P.; Gomes, R.; Coelho, J.; Chaves, C.; Tuna, C.; Louro, M. CURB-65 and Long-Term Mortality of Community-Acquired Pneumonia: A Retrospective Study on Hospitalized Patients. Cureus 2023, 15, e36052. [Google Scholar] [CrossRef] [PubMed]
- Fine, M.J.; Auble, T.E.; Yealy, D.M.; Hanusa, B.H.; Weissfeld, L.A.; Singer, D.E.; Coley, C.M.; Marrie, T.J.; Kapoor, W.N. A Prediction Rule to Identify Low-Risk Patients with Community-Acquired Pneumonia. New Engl. J. Med. 1997, 336, 243–250. [Google Scholar] [CrossRef] [PubMed]
- Tokioka, F.; Okamoto, H.; Yamazaki, A.; Itou, A.; Ishida, T. The Prognostic Performance of qSOFA for Community-Acquired Pneumonia. J. Intensive Care 2018, 6, 46. [Google Scholar] [CrossRef] [PubMed]
- Huang, Y.; Liu, A.; Liang, L.; Jiang, J.; Luo, H.; Deng, W.; Lin, G.; Wu, M.; Li, T.; Jiang, Y. Diagnostic Value of Blood Parameters for Community-Acquired Pneumonia. Int. Immunopharmacol. 2018, 64, 10–15. [Google Scholar] [CrossRef] [PubMed]
- Güven, D.; Kişlal, F.M. The Diagnostic Value of Complete Blood Parameters in Determining the Severity of Community-Acquired Pneumonia in Children. J. Health Sci. Med. 2022, 5, 1592–1599. [Google Scholar] [CrossRef]
- Enersen, C.C.; Egelund, G.B.; Petersen, P.T.; Andersen, S.; Ravn, P.; Rohde, G.; Lindegaard, B.; Jensen, A.V. The Ratio of Neutrophil-to-Lymphocyte and Platelet-to-Lymphocyte and Association with Mortality in Community-Acquired Pneumonia: A Derivation-Validation Cohort Study. Infection 2023, 51, 1339–1347. [Google Scholar] [CrossRef] [PubMed]


| N (%) | |
|---|---|
| Female | 163 (47.0) |
| Smoker (current/ex-smoker) | 127 (36.6) |
| Hypertension | 192 (55.3) |
| Diabetes mellitus | 142 (40.9) |
| Chronic lung disease | 144 (41.5) |
| Coronary artery disease | 103 (29.7) |
| Cerebrovascular event | 58 (16.7) |
| Malignancy | 43 (12.4) |
| Multilobar | 162 (46.7) |
| Intensive care unit admission | 108 (31.1) |
| Monotherapy | 171 (49.3) |
| Antibiotic upgrade | 79 (22.8) |
| mean ± sd | |
| Age/yr | 72.4 ± 11.8 |
| CURB-65 score | 1.7 ± 1.0 |
| Length of stay/day | 11.6 ± 10.8 |
| qSOFA score | 0.6 ± 0.8 |
| PSI | 108.4 ± 34.6 |
| White blood cells (/mm3) | 14,355.7 ± 7980.3 |
| CRP (mg/L) | 124.1 ± 110.5 |
| HGB (g/dL) | 11.6 ± 2.0 |
| Platelets (/mm3) | 266,249.7 ± 121,816.3 |
| Neutrophils (/mm3) | 11,848.0 ± 7471.8 |
| Monocytes (/mm3) | 936.9 ± 658.0 |
| Lymphocytes (/mm3) | 1430.8 ± 1115.7 |
| Neutrophils/lymphocytes | 13.1 ± 14.9 |
| Monocytes/lymphocytes | 0.8 ± 0.9 |
| Platelets/lymphocytes | 277.5 ± 254.7 |
| Time of antibiotic upgrade/day | 4.5 ± 2.2 |
| Duration of antibiotic treatment/day | 10.4 ± 7.2 |
| Patients That Died | Patients That Survived | p | |
|---|---|---|---|
| Age/yr | 76.5 ± 8.4 | 71.7 ± 12.3 | 0.007 |
| Length of stay/day | 16.2 ± 12.3 | 10.8 ± 10.4 | 0.001 |
| CURB-65 score | 2.9 ± 1.0 | 1.5 ± 0.9 | <0.001 |
| PSI | 143.7 ± 30.2 | 102.3 ± 31.6 | <0.001 |
| qSOFA score | 1.6 ± 0.8 | 0.5 ± 0.6 | <0.001 |
| CRP | 148.6 ± 109.6 | 119.9 ± 110.3 | 0.088 |
| White blood cells | 14,548.8 ± 7364.7 | 14,322.5 ± 8092.9 | 0.852 |
| Platelets | 258,980.3 ± 140,636 | 267,502.1 ± 118,497 | 0.645 |
| Neutrophils | 12,484.5 ± 6860.3 | 11,738.4 ± 7577.6 | 0.511 |
| Lymphocytes | 1173.5 ± 713.0 | 1475.2 ± 1166.4 | 0.075 |
| Monocytes | 842.7 ± 517.5 | 953.2 ± 678.7 | 0.269 |
| Neutrophils/lymphocytes | 18.1 ± 22.1 | 12.2 ± 13.1 | 0.009 |
| Monocytes/lymphocytes | 1.2 ± 1.5 | 0.8 ± 0.8 | 0.018 |
| Platelets/lymphocytes | 707.3 ± 656.4 | 376.6 ± 375.1 | 0.025 |
| Duration of antibiotic treatment/days | 15.3 ± 11.6 | 9.6 ± 5.8 | <0.001 |
| CURB-65 | PSI | qSOFA | NLR | MLR | PLR | ||
|---|---|---|---|---|---|---|---|
| CURB-65 | r | 1 | 0.659 | 0.591 | 0.175 | 0.115 | 0.181 |
| p | <0.001 | <0.001 | 0.001 | 0.032 | 0.152 | ||
| PSI | r | 0.659 | 1 | 0.606 | 0.192 | 0.081 | 0.267 |
| p | <0.001 | <0.001 | <0.001 | 0.132 | 0.033 | ||
| qSOFA | r | 0.591 | 0.606 | 1 | 0.146 | 0.063 | 0.294 |
| p | <0.001 | <0.001 | 0.007 | 0.239 | 0.018 |
| S.E | p | Exp(B) | |
|---|---|---|---|
| Age (y) | 0.020 | 0.494 | 0.986 |
| Length of stay (hospital) | 0.027 | 0.565 | 0.984 |
| PSI | 0.008 | 0.040 | 1.016 |
| CURB-65 | 0.258 | 0.079 | 1.575 |
| qSOFA | 0.298 | 0.005 | 2.298 |
| Duration of antibiotics (day) | 0.037 | 0.147 | 1.055 |
| NLR | 0.022 | 0.163 | 0.970 |
| MLR | 0.219 | 0.033 | 1.0593 |
| PLR | 0.001 | 0.277 | 1.001 |
Disclaimer/Publisher’s Note: The statements, opinions and data contained in all publications are solely those of the individual author(s) and contributor(s) and not of MDPI and/or the editor(s). MDPI and/or the editor(s) disclaim responsibility for any injury to people or property resulting from any ideas, methods, instructions or products referred to in the content. |
© 2025 by the authors. Licensee MDPI, Basel, Switzerland. This article is an open access article distributed under the terms and conditions of the Creative Commons Attribution (CC BY) license (https://creativecommons.org/licenses/by/4.0/).
Share and Cite
Calis, A.G.; Karaboga, B.; Uzer, F.; Kaplan, N.; Karaca, M.; Gedik, R.B.; Durmuş, A.A. Correlation of Pneumonia Severity Index and CURB-65 Score with Neutrophil/Lymphocyte Ratio, Platelet/Lymphocyte Ratio, and Monocyte/Lymphocyte Ratio in Predicting In-Hospital Mortality for Community-Acquired Pneumonia: Observational Study. J. Clin. Med. 2025, 14, 728. https://doi.org/10.3390/jcm14030728
Calis AG, Karaboga B, Uzer F, Kaplan N, Karaca M, Gedik RB, Durmuş AA. Correlation of Pneumonia Severity Index and CURB-65 Score with Neutrophil/Lymphocyte Ratio, Platelet/Lymphocyte Ratio, and Monocyte/Lymphocyte Ratio in Predicting In-Hospital Mortality for Community-Acquired Pneumonia: Observational Study. Journal of Clinical Medicine. 2025; 14(3):728. https://doi.org/10.3390/jcm14030728
Chicago/Turabian StyleCalis, Aliye Gamze, Burcu Karaboga, Fatih Uzer, Nermin Kaplan, Mustafa Karaca, Rojan Barış Gedik, and Ahmet Alper Durmuş. 2025. "Correlation of Pneumonia Severity Index and CURB-65 Score with Neutrophil/Lymphocyte Ratio, Platelet/Lymphocyte Ratio, and Monocyte/Lymphocyte Ratio in Predicting In-Hospital Mortality for Community-Acquired Pneumonia: Observational Study" Journal of Clinical Medicine 14, no. 3: 728. https://doi.org/10.3390/jcm14030728
APA StyleCalis, A. G., Karaboga, B., Uzer, F., Kaplan, N., Karaca, M., Gedik, R. B., & Durmuş, A. A. (2025). Correlation of Pneumonia Severity Index and CURB-65 Score with Neutrophil/Lymphocyte Ratio, Platelet/Lymphocyte Ratio, and Monocyte/Lymphocyte Ratio in Predicting In-Hospital Mortality for Community-Acquired Pneumonia: Observational Study. Journal of Clinical Medicine, 14(3), 728. https://doi.org/10.3390/jcm14030728

