Microbiological and Clinical Predictors of Surgical Intervention in Odontogenic Sinusitis
Abstract
1. Introduction
2. Materials and Methods
2.1. Study Population
2.2. Surgical Procedure
2.3. Sample Collection
2.4. Treatment Outcome
2.5. Statistical Analysis
3. Results
4. Discussion
5. Conclusions
Author Contributions
Funding
Institutional Review Board Statement
Informed Consent Statement
Data Availability Statement
Conflicts of Interest
Abbreviations
| CRS | Chronic rhinosinusitis |
| CT | Computed tomography |
| ODS | Odontogenic sinusitis |
| OMS | Oral and maxillofacial surgery |
| OAF | Oroantral fistula |
| MRONJ | Medication-related osteonecrosis of the jaw |
| HTN | Hypertension |
| DM | Diabetes mellitus |
| CLSI | Clinical and Laboratory Standards Institute |
| ESS | Endoscopic sinus surgery |
| AUC | Area under the receiver-operating characteristic curve |
References
- Fokkens, W.J.; Lund, V.J.; Hopkins, C.; Hellings, P.W.; Kern, R.; Reitsma, S.; Toppila-Salmi, S.; Bernal-Sprekelsen, M.; Mullol, J.; Alobid, I. European Position Paper on Rhinosinusitis and Nasal Polyps 2020. Rhinology 2020, 58 (Suppl. S29), 1–464. [Google Scholar] [CrossRef]
- Hastan, D.; Fokkens, W.J.; Bachert, C.; Newson, R.B.; Bislimovska, J.; Bockelbrink, A.; Bousquet, P.J.; Brozek, G.; Bruno, A.; Dahlén, S.E. Chronic rhinosinusitis in Europe—An underestimated disease. A GA2LEN study. Allergy 2011, 66, 1216–1223. [Google Scholar] [CrossRef] [PubMed]
- Mehra, P.; Jeong, D. Maxillary sinusitis of odontogenic origin. Curr. Infect. Dis. Rep. 2008, 10, 205–210. [Google Scholar] [CrossRef] [PubMed]
- Goyal, V.K.; Spillinger, A.; Peterson, E.I.; Craig, J.R. Odontogenic sinusitis publication trends from 1990 to 2019: A systematic review. Eur. Arch. Otorhinolaryngol. 2021, 278, 3857–3865. [Google Scholar] [CrossRef]
- Matsumoto, Y.; Ikeda, T.; Yokoi, H.; Kohno, N. Association between odontogenic infections and unilateral sinus opacification. Auris Nasus Larynx 2015, 42, 288–293. [Google Scholar] [CrossRef]
- Turfe, Z.; Ahmad, A.; Peterson, E.I.; Craig, J.R. Odontogenic sinusitis is a common cause of unilateral sinus disease with maxillary sinus opacification. Int. Forum Allergy Rhinol. 2019, 9, 1515–1520. [Google Scholar] [CrossRef]
- Arias-Irimia, O.; Barona-Dorado, C.; Santos-Marino, J.A.; Martínez-Rodriguez, N.; Martínez-González, J.M. Meta-analysis of the etiology of odontogenic maxillary sinusitis. Med. Oral Patol. Oral Cir. Bucal 2010, 15, e70–e73. [Google Scholar] [CrossRef]
- Goyal, V.K.; Ahmad, A.; Turfe, Z.; Peterson, E.I.; Craig, J.R. Predicting odontogenic sinusitis in unilateral sinus disease: A prospective multivariate analysis. Am. J. Rhinol. Allergy 2021, 35, 164–171. [Google Scholar] [CrossRef] [PubMed]
- Simuntis, R.; Kubilius, R.; Tusas, P.; Leketas, M.; Vaitkus, J.; Vaitkus, S. Chronic Odontogenic Rhinosinusitis: Optimization of Surgical Treatment Indications. Am. J. Rhinol. Allergy 2020, 34, 767–774. [Google Scholar] [CrossRef]
- Saibene, A.M.; Vassena, C.; Pipolo, C.; Trimboli, M.; De Vecchi, E.; Felisati, G. Odontogenic and rhinogenic chronic sinusitis: A modern microbiological comparison. Int. Forum Allergy Rhinol. 2016, 6, 41–45. [Google Scholar] [CrossRef]
- Puglisi, S.; Privitera, S.; Maiolino, L.; Serra, A.; Garotta, M.; Blandino, G. Bacteriological findings and antimicrobial resistance in odontogenic and non-odontogenic chronic maxillary sinusitis. J. Med. Microbiol. 2011, 60, 1353–1359. [Google Scholar] [CrossRef]
- Thol, F.; Warwas, F.B.; Spuck, N.; Kramer, F.J.; Heim, N. Microbial spectrum and resistance of odontogenic abscesses—Microbiological analysis using next generation sequencing. Clin. Oral Investig. 2024, 29, 8. [Google Scholar] [CrossRef]
- Nash, D.; Wald, E. Sinusitis. Pediatr. Rev. 2001, 22, 111–117. [Google Scholar] [CrossRef]
- Allevi, F.; Fadda, G.L.; Rosso, C.; Martino, F.; Pipolo, C.; Cavallo, G.; Felisati, G.; Saibene, A.M. Diagnostic criteria for odontogenic sinusitis: A systematic review. Am. J. Rhinol. Allergy 2021, 35, 713–721. [Google Scholar] [CrossRef] [PubMed]
- Bittner, C.B.; Plach, M.; Steindl, H.; Abramov-Sommariva, D.; Abels, C.; Kostev, K. Prevalence of antibiotic prescription in patients with acute rhinosinusitis treated by general practitioners and otolaryngologists in Germany—A retrospective cohort study. Antibiotics 2022, 11, 1576. [Google Scholar] [CrossRef] [PubMed]
- Aukštakalnis, R.; Simonavičiutė, R.; Simuntis, R. Treatment options for odontogenic maxillary sinusitis: A review. Stomatologija 2018, 20, 22–26. [Google Scholar]
- Saibene, A.M.; Pipolo, C.; Borloni, R.; Felisati, G. ENT and dentist cooperation in the management of odontogenic sinusitis: A review. Acta Otorhinolaryngol. Ital. 2021, 41 (Suppl. 1), S116–S123. [Google Scholar] [CrossRef]
- Han, S.A.; Kim, S.; Seo, Y.; Yang, S.K.; Rhee, C.S.; Han, D.H. Dental implant as a potential risk factor for maxillary sinus fungus ball. Sci. Rep. 2024, 14, 2483. [Google Scholar] [CrossRef]
- Bottger, S.; Zechel-Gran, S.; Schmermund, D.; Streckbein, P.; Wilbrand, J.F.; Knitschke, M.; Pons-Kuhnemann, J.; Hain, T.; Weigel, M.; Imirzalioglu, C.; et al. Clinical Relevance of the Microbiome in Odontogenic Abscesses. Biology 2021, 10, 916. [Google Scholar] [CrossRef]
- Bottger, S.; Zechel-Gran, S.; Schmermund, D.; Streckbein, P.; Wilbrand, J.F.; Knitschke, M.; Pons-Kuhnemann, J.; Hain, T.; Weigel, M.; Howaldt, H.P.; et al. Microbiome of Odontogenic Abscesses. Microorganisms 2021, 9, 1307. [Google Scholar] [CrossRef] [PubMed]
- Siqueira, J.F., Jr.; Rocas, I.N. Microbiology and treatment of acute apical abscesses. Clin. Microbiol. Rev. 2013, 26, 255–273. [Google Scholar] [CrossRef]
- Shakya, N.; Sharma, D.; Newaskar, V.; Agrawal, D.; Shrivastava, S.; Yadav, R. Epidemiology, Microbiology and Antibiotic Sensitivity of Odontogenic Space Infections in Central India. J. Maxillofac. Oral Surg. 2018, 17, 324–331. [Google Scholar] [CrossRef] [PubMed]
- Boyanova, L.; Kolarov, R.; Gergova, G.; Deliverska, E.; Madjarov, J.; Marinov, M.; Mitov, I. Anaerobic bacteria in 118 patients with deep-space head and neck infections from the University Hospital of Maxillofacial Surgery, Sofia, Bulgaria. J. Med. Microbiol. 2006, 55, 1285–1289. [Google Scholar] [CrossRef] [PubMed]
- Socransky, S.S.; Haffajee, A.D.; Cugini, M.A.; Smith, C.; Kent, R.L., Jr. Microbial complexes in subgingival plaque. J. Clin. Periodontol. 1998, 25, 134–144. [Google Scholar] [CrossRef]
- Igoumenakis, D.; Gkinis, G.; Kostakis, G.; Mezitis, M.; Rallis, G. Severe odontogenic infections: Causes of spread and their management. Surg. Infect. 2014, 15, 64–68. [Google Scholar] [CrossRef] [PubMed]
- Rocas, I.N.; Siqueira, J.F., Jr. Antibiotic resistance genes in anaerobic bacteria isolated from primary dental root canal infections. Anaerobe 2012, 18, 576–580. [Google Scholar] [CrossRef]
- Cuevas-Gonzalez, M.V.; Mungarro-Cornejo, G.A.; Espinosa-Cristobal, L.F.; Donohue-Cornejo, A.; Tovar Carrillo, K.L.; Saucedo Acuna, R.A.; Garcia Calderon, A.G.; Guzman Gastelum, D.A.; Zambrano-Galvan, G.; Cuevas-Gonzalez, J.C. Antimicrobial resistance in odontogenic infections: A protocol for systematic review. Medicine 2022, 101, e31345. [Google Scholar] [CrossRef]
- Poeschl, P.W.; Spusta, L.; Russmueller, G.; Seemann, R.; Hirschl, A.; Poeschl, E.; Klug, C.; Ewers, R. Antibiotic susceptibility and resistance of the odontogenic microbiological spectrum and its clinical impact on severe deep space head and neck infections. Oral Surg. Oral Med. Oral Pathol. Oral Radiol. Endod. 2010, 110, 151–156. [Google Scholar] [CrossRef]



| OMS Intervention | ||||
|---|---|---|---|---|
| All Patients (%) | No (Group A) | Yes (Group B) | ||
| (n = 47) | (n = 26) | (n = 21) | p | |
| Sex (male) | 1.000 | |||
| Male | 20 (42.6%) | 10 (38.5%) | 10 (47.6%) | 0.738 |
| Female | 27 (57.4%) | 16 (61.5%) | 11 (52.4%) | |
| Age (years) | 59.5 ± 15.1 | 64.4 ± 14.8 | 53.5 ± 13.5 | 0.012 a/0.009 b |
| Underlying disease | ||||
| HTN | 12 (25.5%) | 10 (38.5%) | 2 (9.5%) | 0.020 c |
| DM | 14 (29.8%) | 9 (34.6%) | 5 (23.8%) | 0.528 |
| Osteoporosis | 1 (2.1%) | 1 (3.8%) | 0 (0.0%) | 1.000 c |
| Cancer Hx | 1 (2.1%) | 1 (3.8%) | 0 (0.0%) | 1.000 c |
| Hematologic disease | 1 (2.1%) | 1 (3.8%) | 0 (0.0%) | 1.000 c |
| Symptom | ||||
| Cheek pain | 1 (2.1%) | 0 (0.0%) | 1 (4.8%) | 0.447 c |
| Nasal obstruction | 4 (8.5%) | 4 (15.4%) | 0 (0.0%) | 0.117 c |
| Purulent rhinorrhea | 15 (31.9%) | 7 (26.9%) | 8 (38.1%) | 0.533 |
| Foul odor | 10 (21.3%) | 5 (19.2%) | 5 (23.8%) | 0.734 |
| Postnasal drip | 7 (14.9%) | 6 (23.1%) | 1 (4.8%) | 0.112 c |
| Gingival pain and swelling | 7 (14.9%) | 1 (3.8%) | 6 (28.6%) | 0.035 c |
| Headache | 1 (2.1%) | 1 (3.8%) | 0 (0.0%) | 1.000 c |
| CT abnormality (No Sx) | 2 (4.3%) | 2 (7.7%) | 0 (0.0%) | 0.495 c |
| Symptom duration (weeks) | 31.0 ± 54.8 | 36.8 ± 54.8 | 23.8 ± 55.3 | 0.427/0.146 b |
| Dental Sx/Treatment Hx | 39 (83.0%) | 19 (73.1%) | 20 (95.2%) | 0.059 c |
| Dental Problem | ||||
| No | 7 (14.9%) | 6 (23.1%) | 1 (4.8%) | 0.112 c |
| Spontaneous tooth loss | 4 (8.5%) | 2 (7.7%) | 2 (9.5%) | 1.000 c |
| Tooth extraction | 13 (27.7%) | 7 (26.9%) | 6 (28.6%) | 1.000 |
| Dental implant | 13 (27.7%) | 7 (26.9%) | 6 (28.6%) | 1.000 |
| Tooth mobility | 10 (21.3%) | 4 (15.4%) | 6 (28.6%) | 0.306 c |
| Dental Diagnosis | ||||
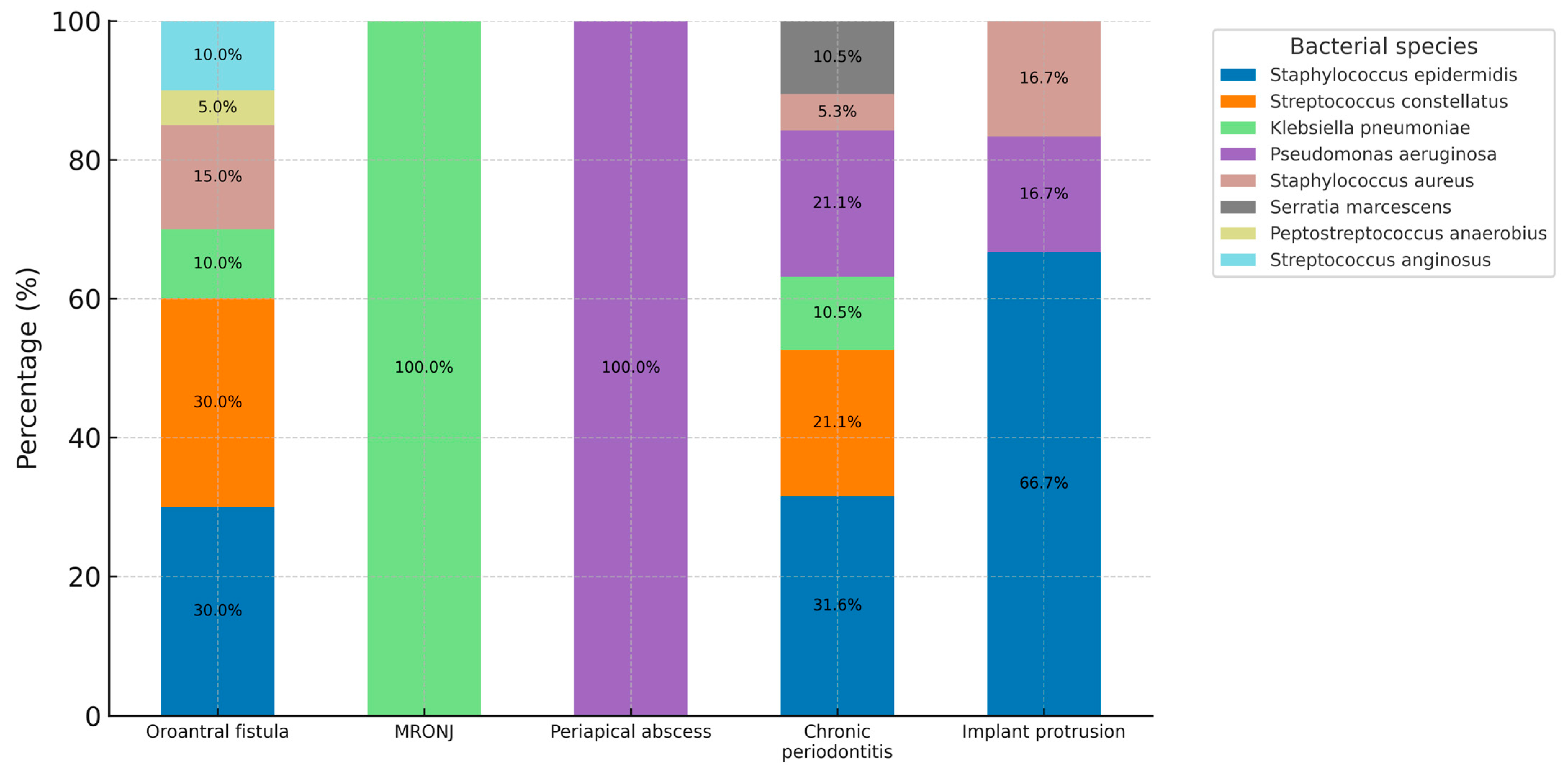
| Oroantral fistula | 20 (42.6%) | 6 (23.1%) | 14 (66.7%) | 0.007 |
| MRONJ | 1 (2.1%) | 0 (0.0%) | 1 (4.8%) | 0.447 c |
| Periapical abscess | 1 (2.1%) | 1 (3.8%) | 0 (0.0%) | 1.000 c |
| Chronic periodontitis | 19 (40.4%) | 13 (50.0%) | 6 (28.6%) | 0.234 |
| Implant protrusion | 6 (12.8%) | 6 (23.1%) | 0 (0.0%) | 0.026 c |
| OMS Intervention | ||||
|---|---|---|---|---|
| All Patients (%) | No (Group A) | Yes (Group B) | ||
| (n = 47) | (n = 26) | (n = 21) | p | |
| Bacterial species | ||||
| Staphylococcus epidermidis | 16 (34.0%) | 11 (42.3%) | 5 (23.8%) | 0.307 |
| Streptococcus constellatus | 10 (21.3%) | 2 (7.7%) | 8 (38.1%) | 0.028 c |
| Klebsiella pneumoniae | 5 (10.6%) | 3 (11.5%) | 2 (9.5%) | 1.000 c |
| Pseudomonas aeruginosa | 6 (12.8%) | 6 (23.1%) | 0 (0.0%) | 0.026 c |
| Staphylococcus aureus | 5 (10.6%) | 3 (11.5%) | 2 (9.5%) | 1.000 c |
| Serratia marcescens | 2 (4.3%) | 1 (3.8%) | 1 (4.8%) | 1.000 c |
| Peptostreptococcus anaerobius | 1 (2.1%) | 0 (0.0%) | 1 (4.8%) | 0.447 c |
| Streptococcus anginosus | 2 (4.3%) | 0 (0.0%) | 2 (9.5%) | 0.194 c |
| Polymicrobial infection | ||||
| Yes | 14 (29.8%) | 2 (7.7%) | 12 (57.1%) | 1.000 c |
| No | 33 (70.2%) | 24 (92.3%) | 9 (42.9%) | 1.000 c |
| Antibiotic resistance | ||||
| Resistant | 14 (29.8%) | 2 (7.7%) | 12 (57.1%) | <0.001 c |
| Non-resistant | 33 (70.2%) | 24 (92.3%) | 9 (42.9%) | <0.001 c |
| Fungal culture | ||||
| Positive | 16 (34.0%) | 16 (61.5%) | 0 (0.0%) | <0.001 c |
| Negative | 31 (34.0%) | 10 (38.5%) | 21 (100.0%) | <0.001 c |
| Antibiotic | Resistant n (%) | Sensitive n (%) |
|---|---|---|
| Penicillin | 24 (51.1%) | 23 (48.9%) |
| Erythromycin | 18 (38.3%) | 29 (61.7%) |
| Oxacillin | 18 (38.3%) | 29 (61.7%) |
| Ciprofloxacin | 8 (17.0%) | 39 (83.0%) |
| Clindamycin | 7 (14.9%) | 40 (85.1%) |
| Ampicillin | 7 (14.9%) | 40 (85.1%) |
| Tetracycline | 7 (14.9%) | 40 (85.1%) |
| Gentamicin | 4 (8.5%) | 43 (91.5%) |
| Amoxicillin/Clavulanic acid | 4 (8.5%) | 43 (91.5%) |
| Cefotaxime | 1 (2.1%) | 46 (97.9%) |
| Trimethoprim/Sulfamethoxazole | 1 (2.1%) | 46 (97.9%) |
| Linezolid | 0 (0.0%) | 47 (100.0%) |
| Ceftriaxone | 0 (0.0%) | 47 (100.0%) |
| Rifampin | 0 (0.0%) | 47 (100.0%) |
| Teicoplanin | 0 (0.0%) | 47 (100.0%) |
| Vancomycin | 0 (0.0%) | 47 (100.0%) |
| Predictor | OR (95% CI) | p-Value |
|---|---|---|
| Age (years) | 0.95 (0.90–1.01) | 0.094 |
| Hypertension | 0.07 (0.01–1.10) | 0.200 |
| Gingival pain and swelling | 5.40 (0.61–47.7) | 0.130 |
| Antibiotic resistance (any) | 3.12 (0.55–17.8) | 0.011 * |
| Fungal culture (positive) | 0.01 (0.00–0.12) | <0.011 * |
| Polymicrobial infection | 2.87 (0.46–17.9) | 0.260 |
| Oroantral fistula | 4.25 (1.10–16.4) | 0.019 * |
| Implant protrusion to sinus | 0.00 (NA–NA) | 0.020 * |
Disclaimer/Publisher’s Note: The statements, opinions and data contained in all publications are solely those of the individual author(s) and contributor(s) and not of MDPI and/or the editor(s). MDPI and/or the editor(s) disclaim responsibility for any injury to people or property resulting from any ideas, methods, instructions or products referred to in the content. |
© 2025 by the authors. Licensee MDPI, Basel, Switzerland. This article is an open access article distributed under the terms and conditions of the Creative Commons Attribution (CC BY) license (https://creativecommons.org/licenses/by/4.0/).
Share and Cite
Kim, S.J.; Bae, J.H. Microbiological and Clinical Predictors of Surgical Intervention in Odontogenic Sinusitis. J. Clin. Med. 2025, 14, 7342. https://doi.org/10.3390/jcm14207342
Kim SJ, Bae JH. Microbiological and Clinical Predictors of Surgical Intervention in Odontogenic Sinusitis. Journal of Clinical Medicine. 2025; 14(20):7342. https://doi.org/10.3390/jcm14207342
Chicago/Turabian StyleKim, So Jeong, and Jung Ho Bae. 2025. "Microbiological and Clinical Predictors of Surgical Intervention in Odontogenic Sinusitis" Journal of Clinical Medicine 14, no. 20: 7342. https://doi.org/10.3390/jcm14207342
APA StyleKim, S. J., & Bae, J. H. (2025). Microbiological and Clinical Predictors of Surgical Intervention in Odontogenic Sinusitis. Journal of Clinical Medicine, 14(20), 7342. https://doi.org/10.3390/jcm14207342

