The Effect of Visual Feedback on Plaque Control: An RCT Comparing Toothbrushing Methods in Periodontitis Patients
Abstract
1. Introduction
2. Materials and Methods
2.1. Patient Selection
2.2. Inclusion Criteria
- The inclusion criteria were as follows:
 
- ≥18 years of age;
 - No systemic diseases;
 - Minimum of 5 evaluable teeth in each quadrant;
 - Periodontitis stage II or III according to the EFP criteria.
 
2.3. Exclusion Criteria
- Pregnancy;
 - Smoking;
 - Systemic diseases;
 - Adverse medical history or long-term medication use;
 - Patients with partial removable dentures;
 - Active orthodontic treatment and/or orthodontic wire.
 
2.4. Sample Size Determination
2.5. Study Setup
2.6. Randomization
2.7. Non-Surgical Periodontal Treatment
2.8. Clinical Examination and Indices
2.9. Statistical Analysis
3. Results
3.1. Patients
3.2. Primary and Secondary Outcomes
4. Discussion
5. Conclusions
Author Contributions
Funding
Institutional Review Board Statement
Informed Consent Statement
Data Availability Statement
Conflicts of Interest
References
- Loe, H.; Theilade, E.; Jensen, S.B. Experimental Gingivitis in Man. J. Periodontol. 1965, 36, 177–187. [Google Scholar]
 - Papapanou, P.N.; Sanz, M.; Buduneli, N.; Dietrich, T.; Feres, M.; Fine, D.H.; Flemmig, T.F.; Garcia, R.; Giannobile, W.V.; Graziani, F.; et al. Periodontitis: Consensus report of workgroup 2 of the 2017 World Workshop on the Classification of Periodontal and Peri-Implant Diseases and Conditions. J. Clin. Periodontol. 2018, 45 (Suppl. S20), S162–S170. [Google Scholar] [PubMed]
 - Matuliene, G.; Pjetursson, B.E.; Salvi, G.E.; Schmidlin, K.; Brägger, U.; Zwahlen, M.; Lang, N.P. Influence of residual pockets on progression of periodontitis and tooth loss: Results after 11 years of maintenance. J. Clin. Periodontol. 2008, 35, 685–695. [Google Scholar] [PubMed]
 - Sanz, M.; Herrera, D.; Kebschull, M.; Chapple, I.; Jepsen, S.; Berglundh, T.; Sculean, A.; Tonetti, M.S.; Consultants, T.E.W.P.A.M.; Lambert, N.L.F. Treatment of stage I-III periodontitis-The EFP S3 level clinical practice guideline. J. Clin. Periodontol. 2020, 47 (Suppl. S22), 4–60. [Google Scholar]
 - Deacon, S.A.; Glenny, A.-M.; Deery, C.; Robinson, P.G.; Heanue, M.; Walmsley, A.D.; Shaw, W.C. Different powered toothbrushes for plaque control and gingival health. Cochrane Database Syst. Rev. 2010, 2010, Cd004971. [Google Scholar] [CrossRef]
 - Erbe, C.; Klees, V.; Braunbeck, F.; Ferrari-Peron, P.; Ccahuana-Vasquez, R.A.; Timm, H.; Grender, J.; Cunningham, P.; Adam, R.; Wehrbein, H. Comparative assessment of plaque removal and motivation between a manual toothbrush and an interactive power toothbrush in adolescents with fixed orthodontic appliances: A single-center, examiner-blind randomized controlled trial. Am. J. Orthod. Dentofac. Orthop. 2019, 155, 462–472. [Google Scholar]
 - Grender, J.; Adam, R.; Zou, Y. The effects of oscillating-rotating electric toothbrushes on plaque and gingival health: A meta-analysis. Am. J. Dent. 2020, 33, 3–11. [Google Scholar]
 - Robinson, P.G.; Deacon, S.A.; Deery, C.; Heanue, M.; Walmsley, A.D.; Worthington, H.V.; Glenny, A.M.; Shaw, W.C. Manual versus powered toothbrushing for oral health. Cochrane Database Syst. Rev. 2005, 2, Cd002281. [Google Scholar]
 - Rosema, N.A.; Timmerman, M.F.; Versteeg, P.A.; van Palenstein Helderman, W.H.; Van der Velden, U.; Van der Weijden, G.A. Comparison of the use of different modes of mechanical oral hygiene in prevention of plaque and gingivitis. J. Periodontol. 2008, 79, 1386–1394. [Google Scholar]
 - Van der Weijden, F.A.; Slot, D.E. Efficacy of homecare regimens for mechanical plaque removal in managing gingivitis a meta review. J. Clin. Periodontol. 2015, 42 (Suppl. S16), S77–S91. [Google Scholar] [CrossRef]
 - Yaacob, M.; Worthington, H.V.; Deacon, A.S.; Deery, C.; Walmsley, A.D.; Robinson, P.G.; Glenny, A.-M. Powered versus manual toothbrushing for oral health. Cochrane Database Syst. Rev. 2014, 2014, Cd002281. [Google Scholar] [PubMed]
 - Clark-Perry, D.; Levin, L. Systematic review and meta-analysis of randomized controlled studies comparing oscillating-rotating and other powered toothbrushes. J. Am. Dent. Assoc. 2020, 151, 265–275.e6. [Google Scholar] [CrossRef] [PubMed]
 - van der Sluijs, E.; Slot, D.E.; Hennequin-Hoenderdos, N.L.; Valkenburg, C.; van der Weijden, F.G.A. The efficacy of an oscillating-rotating power toothbrush compared to a high-frequency sonic power toothbrush on parameters of dental plaque and gingival inflammation: A systematic review and meta-analysis. Int. J. Dent. Hyg. 2023, 21, 77–94. [Google Scholar] [PubMed]
 - Thomassen, T.; Van der Weijden, F.G.A.; Slot, D.E. The efficacy of powered toothbrushes: A systematic review and network meta-analysis. Int. J. Dent. Hyg. 2022, 20, 3–17. [Google Scholar]
 - Salhi, L.; De Carvalho, B.; Reners, M. Update on the Roles of Oral Hygiene and Plaque Control on Periodontal Disease. In Periodontitis: Advances in Experimental Research; Santi-Rocca, J., Ed.; Springer International Publishing: Cham, Switzerland, 2022; pp. 329–339. [Google Scholar]
 - Pitchika, V.; Pink, C.; Völzke, H.; Welk, A.; Kocher, T.; Holtfreter, B. Long-term impact of powered toothbrush on oral health: 11-year cohort study. J. Clin. Periodontol. 2019, 46, 713–722. [Google Scholar]
 - Slot, D.E.; Valkenburg, C.; Van der Weijden, G.A.F. Mechanical plaque removal of periodontal maintenance patients: A systematic review and network meta-analysis. J. Clin. Periodontol. 2020, 47 (Suppl. S22), 107–124. [Google Scholar]
 - Sicilia, A.; Arregui, I.; Gallego, M.; Cabezas, B.; Cuesta, S. A systematic review of powered vs manual toothbrushes in periodontal cause-related therapy. J. Clin. Periodontol. 2002, 29 (Suppl. S3), 39–54 discussion 90–91. [Google Scholar]
 - Warren, P.R.; Chater, B. The role of the electric toothbrush in the control of plaque and gingivitis: A review of 5 years clinical experience with the Braun Oral-B Plaque Remover [D7]. Am. J. Dent. 1996, 9, S5–S11. [Google Scholar]
 - Deleuse, M.; Meiffren, C.; Bruwier, A.; Maes, N.; Le Gall, M.; Charavet, C. Smartphone application-assisted oral hygiene of orthodontic patients: A multicentre randomized controlled trial in adolescents. Eur. J. Orthod. 2020, 42, 605–611. [Google Scholar]
 - Scheerman, J.F.M.; Van Meijel, B.; Van Empelen, P.; Kramer, G.J.C.; Verrips, G.H.W.; Pakpour, A.H.; van den Braak, M.C.T.; Van Loveren, C. Study protocol of a randomized controlled trial to test the effect of a smartphone application on oral-health behavior and oral hygiene in adolescents with fixed orthodontic appliances. BMC Oral Health 2018, 18, 19. [Google Scholar]
 - Gürbüz, S.; Çankaya, Z.T.; Cinal, E.; Koçyiğit, E.G.; Bodur, A. Effects of interactive power toothbrush with or without application assistance on the plaque, gingivitis, and gingival abrasion among dental students: A randomized controlled clinical trial. Clin. Oral Investig. 2022, 26, 5931–5941. [Google Scholar] [CrossRef] [PubMed]
 - Shida, H.; Okabayashi, S.; Yoshioka, M.; Takase, N.; Nishiura, M.; Okazawa, Y.; Kiyohara, K.; Konda, M.; Nishioka, N.; Kawamura, T.; et al. Effectiveness of a digital device providing real-time visualized tooth brushing instructions: A randomized controlled trial. PLoS ONE 2020, 15, e0235194. [Google Scholar] [CrossRef] [PubMed]
 - Gurnani, H.; Naik, S.; Dsouza, A.; Thakur, K. Using a mobile phone-based application as an adjunct to facilitate oral hygiene practices in children with Attention Deficit Hyperactivity Disorder (ADHD). Eur. J. Paediatr. Dent. 2023, 24, 267–271. [Google Scholar] [PubMed]
 - Carlson, R.V.; Boyd, K.M.; Webb, D.J. The revision of the Declaration of Helsinki: Past, present and future. Br. J. Clin. Pharmacol. 2004, 57, 695–713. [Google Scholar]
 - Schmalz, G.; Mueller, M.; Schmickler, J.; Rinke, S.; Haak, R.; Mausberg, R.F.; Ziebolz, D. Influence of manual and power toothbrushes on clinical and microbiological findings in initial treatment of periodontitis—A randomized clinical study. Am. J. Dent. 2017, 30, 40–46. [Google Scholar]
 - Grender, J.; Goyal, C.R.; Qaqish, J.; Timm, H.; Adam, R. A 12-Week Randomized Controlled Trial Comparing a Novel Electric Toothbrush With an Extra Gentle Brush Head to a Manual Toothbrush for Plaque and Gingivitis Reduction. Compend. Contin. Educ. Dent. 2022, 43, f20–f29. [Google Scholar]
 - Erbe, C.; Klees, V.; Ferrari-Peron, P.; Ccahuana-Vasquez, R.A.; Timm, H.; Grender, J.; Cunningham, P.; Adam, R.; Farrell, S.; Wehrbein, H. A comparative assessment of plaque removal and toothbrushing compliance between a manual and an interactive power toothbrush among adolescents: A single-center, single-blind randomized controlled trial. BMC Oral Health 2018, 18, 130. [Google Scholar]
 - Grender, J.; Goyal, C.R.; Qaqish, J.; Adam, R. An 8-week randomized controlled trial comparing the effect of a novel oscillating-rotating toothbrush versus a manual toothbrush on plaque and gingivitis. Int. Dent. J. 2020, 70 (Suppl. S1), S7–S15. [Google Scholar]
 - Pardo, A.; Signoriello, A.; Signoretto, C.; Messina, E.; Carelli, M.; Tessari, M.; De Manna, N.D.; Rossetti, C.; Albanese, M.; Lombardo, G.; et al. Detection of Periodontal Pathogens in Oral Samples and Cardiac Specimens in Patients Undergoing Aortic Valve Replacement: A Pilot Study. J. Clin. Med. 2021, 10, 3874. [Google Scholar] [CrossRef]
 


| MTB | ETB | ETBV | |
|---|---|---|---|
| Age | 54 (SD = 16) | 55 (SD = 14) | 52 (SD = 16) | 
| Teeth | 26 (SD = 3) | 25 (SD = 3) | 27 (SD = 4) | 
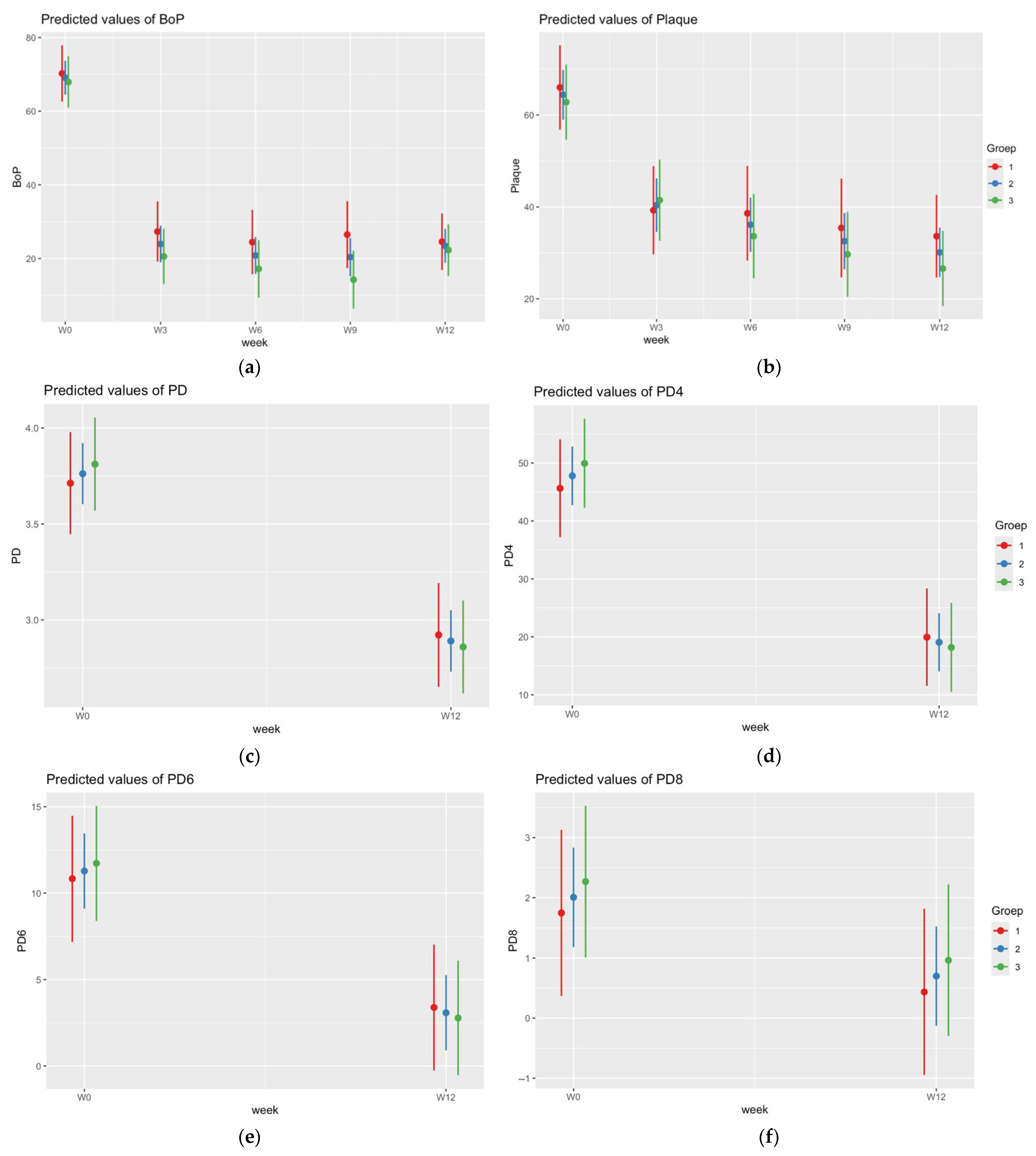
| Group | W0  (Mean ± SD)  | W3  (Mean ± SD)  | W6  (Mean ± SD)  | W9  (Mean ± SD)  | W12  (Mean ± SD)  | p-Value  (Group × Time Interaction)  | |
|---|---|---|---|---|---|---|---|
| (PD) (mm) | MTB | 3.62 ± 0.45 | 3.71 ± 0.45 | 3.42 ± 0.43 | 3.15 ± 0.44 | 2.99 ± 0.45 | 0.940 | 
| ETB | 3.90 ± 0.72 | 3.88 ± 0.72 | 3.65 ± 0.72 | 3.15 ± 0.50 | 2.81 ± 0.44 | ||
| ETBV | 3.74 ± 0.52 | 3.80 ± 0.55 | 3.55 ± 0.51 | 3.12 ± 0.47 | 2.90 ± 0.47 | ||
| BoP (%) | MTB | 71.81 ± 22.43 | 66.50 ± 21.83 | 54.35 ± 19.54 | 46.68 ± 18.27 | 25.68 ± 15.64 | 0.041 | 
| ETB | 66.92 ± 27.00 | 62.75 ± 25.24 | 50.88 ± 23.47 | 42.32 ± 20.98 | 22.32 ± 15.35 | ||
| ETBV | 69.14 ± 22.05 | 64.10 ± 20.15 | 52.78 ± 21.58 | 44.45 ± 19.35 | 23.14 ± 13.68 | ||
| Plaque Index (%) | MTB | 65.57 ± 27.08 | 61.25 ± 26.67 | 57.12 ± 25.47 | 48.50 ± 21.87 | 33.26 ± 15.49 | 0.190 | 
| ETB | 64.17 ± 22.45 | 61.21 ± 20.38 | 57.02 ± 22.01 | 46.88 ± 20.03 | 31.49 ± 14.36 | ||
| ETBV | 63.04 ± 30.10 | 59.90 ± 27.91 | 55.11 ± 27.47 | 45.67 ± 24.88 | 26.25 ± 15.73 | ||
| PD ≥ 4 mm (%) | MTB | 40.61 ± 20.32 | 39.50 ± 18.78 | 36.50 ± 19.00 | 33.33 ± 18.50 | 21.81 ± 16.85 | 0.549 | 
| ETB | 55.68 ± 20.46 | 52.25 ± 21.35 | 48.65 ± 20.17 | 42.13 ± 19.72 | 16.11 ± 15.59 | ||
| ETBV | 45.98 ± 18.97 | 43.40 ± 17.30 | 41.15 ± 17.85 | 36.22 ± 16.24 | 19.66 ± 14.68 | ||
| PD ≥ 6 mm (%) | MTB | 10.01 ± 9.62 | 8.50 ± 7.80 | 7.28 ± 6.72 | 6.10 ± 5.24 | 3.35 ± 5.17 | 0.808 | 
| ETB | 12.58 ± 12.90 | 11.25 ± 11.55 | 10.25 ± 11.45 | 8.12 ± 10.60 | 3.14 ± 6.11 | ||
| ETBV | 11.08 ± 6.82 | 9.50 ± 5.91 | 8.60 ± 6.25 | 7.28 ± 5.17 | 2.75 ± 3.06 | ||
| PD ≥ 8 mm (%) | MTB | 1.66 ± 2.69 | 1.50 ± 2.40 | 1.45 ± 2.12 | 1.20 ± 2.10 | 0.37 ± 0.87 | 0.747 | 
| ETB | 2.14 ± 5.16 | 1.80 ± 4.76 | 1.65 ± 4.43 | 1.20 ± 3.72 | 0.80 ± 2.59 | ||
| ETBV | 2.20 ± 3.01 | 2.00 ± 2.50 | 1.85 ± 2.70 | 1.60 ± 2.10 | 0.92 ± 1.61 | 
Disclaimer/Publisher’s Note: The statements, opinions and data contained in all publications are solely those of the individual author(s) and contributor(s) and not of MDPI and/or the editor(s). MDPI and/or the editor(s) disclaim responsibility for any injury to people or property resulting from any ideas, methods, instructions or products referred to in the content.  | 
© 2025 by the authors. Licensee MDPI, Basel, Switzerland. This article is an open access article distributed under the terms and conditions of the Creative Commons Attribution (CC BY) license (https://creativecommons.org/licenses/by/4.0/).
Share and Cite
Tytgat, M.; Glibert, M.; Callens, J.; Lamoral, S.; Van Gyseghem, P.; Decabooter, F.; Christiaens, V. The Effect of Visual Feedback on Plaque Control: An RCT Comparing Toothbrushing Methods in Periodontitis Patients. J. Clin. Med. 2025, 14, 436. https://doi.org/10.3390/jcm14020436
Tytgat M, Glibert M, Callens J, Lamoral S, Van Gyseghem P, Decabooter F, Christiaens V. The Effect of Visual Feedback on Plaque Control: An RCT Comparing Toothbrushing Methods in Periodontitis Patients. Journal of Clinical Medicine. 2025; 14(2):436. https://doi.org/10.3390/jcm14020436
Chicago/Turabian StyleTytgat, Manon, Maarten Glibert, Jeroen Callens, Sabine Lamoral, Paulien Van Gyseghem, Fien Decabooter, and Véronique Christiaens. 2025. "The Effect of Visual Feedback on Plaque Control: An RCT Comparing Toothbrushing Methods in Periodontitis Patients" Journal of Clinical Medicine 14, no. 2: 436. https://doi.org/10.3390/jcm14020436
APA StyleTytgat, M., Glibert, M., Callens, J., Lamoral, S., Van Gyseghem, P., Decabooter, F., & Christiaens, V. (2025). The Effect of Visual Feedback on Plaque Control: An RCT Comparing Toothbrushing Methods in Periodontitis Patients. Journal of Clinical Medicine, 14(2), 436. https://doi.org/10.3390/jcm14020436
        
