Influence of the Hall Technique on Patient Cooperation: A Retrospective Analysis
Abstract
1. Introduction
2. Materials and Methods
2.1. Ethical Approval and Study Outline
2.2. Performance of the Hall Technique at the Clinical Setting
2.3. Outcomes
- Score 1: Definitely negative behaviour, with refusal of treatment, crying forcefully, fearful, or any other overt evidence of extreme negativism.
- Score 2: Negative behaviour, with reluctance to accept treatment, uncooperative, some evidence of negative attitude but not pronounced, i.e., sullen, withdrawn.
- Score 3: Positive behaviour, cautious acceptance of treatment, displaying willingness to comply with the dentist, at times with reservation but patient follows the dentist’s directions cooperatively.
- Score 4: Definitely positive behaviour, good rapport with the dentist, interested in dental procedures, laughing, and enjoying the procedure.
2.4. Inclusion and Exclusion Criteria
2.5. Sample Size Calculation
2.6. Data Collection and Variables
2.7. Treating Dentist and Treatment Selection
2.8. Statistical Analysis
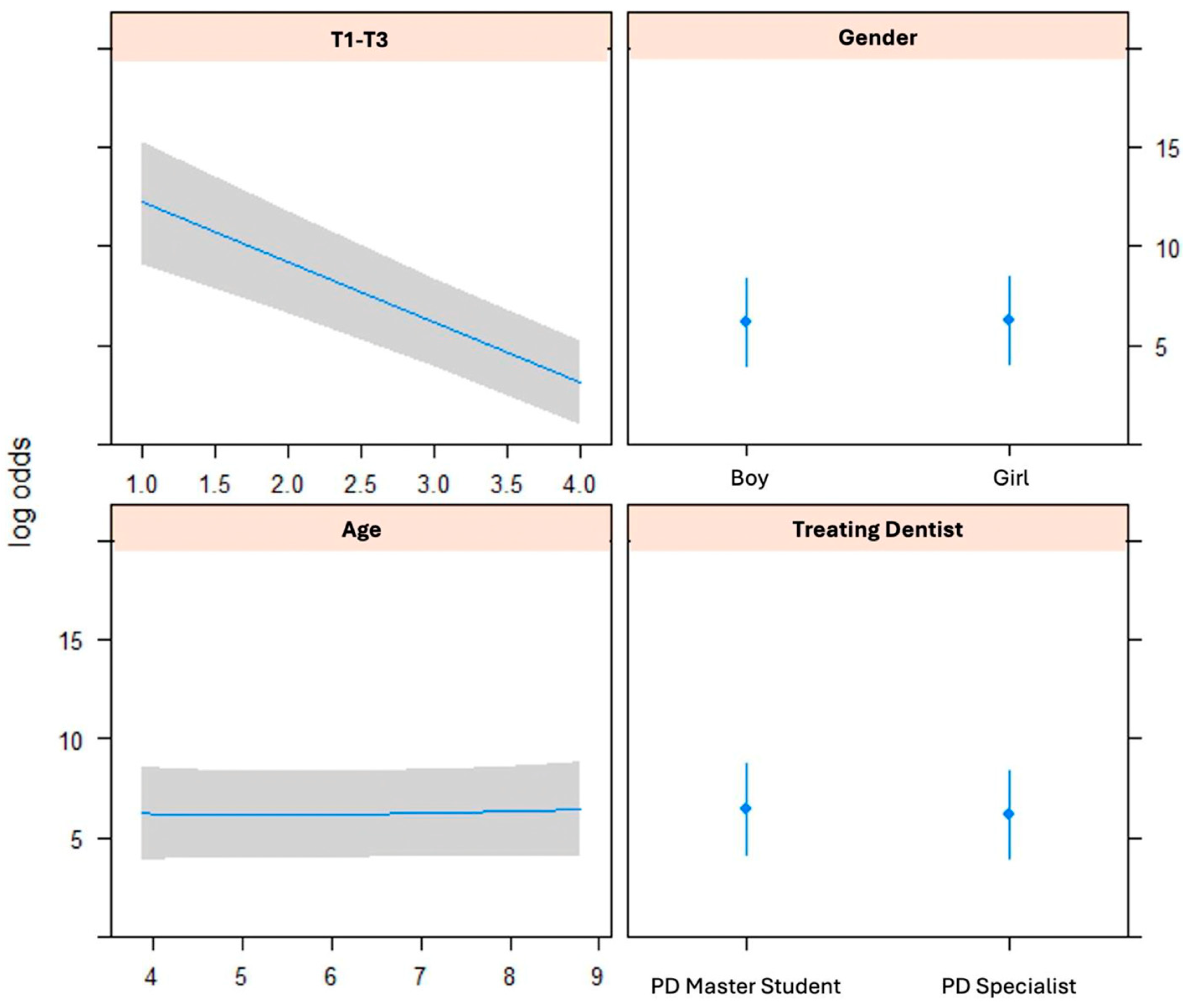
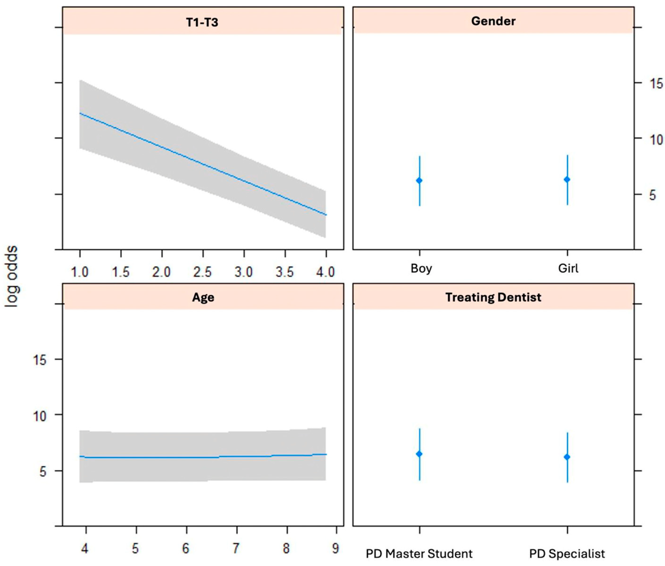
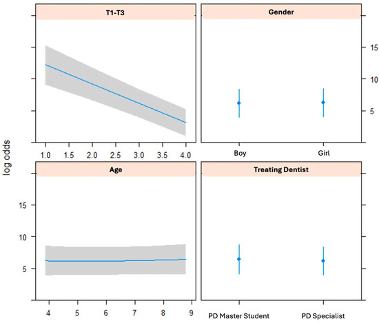
3. Results
3.1. Patient Profiles
3.2. Treatment Characteristics
3.3. Behavioural Outcomes
4. Discussion
5. Conclusions
Author Contributions
Funding
Institutional Review Board Statement
Informed Consent Statement
Data Availability Statement
Acknowledgments
Conflicts of Interest
References
- Chiu, H.H.C.; Lam, P.P.Y.; Yiu, C.K.Y. The Impact of Minimal Intervention Dentistry on Patient-Reported and Observation-Based Outcomes in the Pediatric Population: A Systematic Review and Meta-Analysis. Healthcare 2023, 11, 2241. [Google Scholar] [CrossRef] [PubMed]
- Ebrahimi, M.; Shirazi, A.S.; Afshari, E. Success and Behavior During Atraumatic Restorative Treatment, the Hall Technique, and the Stainless Steel Crown Technique for Primary Molar Teeth. Pediatr. Dent. 2020, 42, 187–192. [Google Scholar] [PubMed]
- Hu, S.; BaniHani, A.; Nevitt, S.; Maden, M.; Santamaria, R.M.; Albadri, S. Hall technique for primary teeth: A systematic review and meta-analysis. Jpn. Dent. Sci. Rev. 2022, 58, 286–297. [Google Scholar] [CrossRef]
- Innes, N.P.T.; Evans, D.J.P.; Bonifacio, C.C.; Geneser, M.; Hesse, D.; Heimer, M.; Kanellis, M.; Machiulskiene, V.; Narbutaité, J.; Olegário, I.C.; et al. The Hall Technique 10 years on: Questions and answers. Br. Dent. J. 2017, 222, 478–483. [Google Scholar] [CrossRef]
- Khan, F.R.; Badar, S.B.; Tabassum, S.; Ghafoor, R. Effectiveness of Hall Technique for Primary Carious Molars: A Systematic Review and Meta-analysis. Int. J. Clin. Pediatr. Dent. 2019, 12, 445–452. [Google Scholar] [CrossRef] [PubMed]
- Innes, N.P.; Evans, D.J.; Stirrups, D.R. The Hall Technique; a randomized controlled clinical trial of a novel method of managing carious primary molars in general dental practice: Acceptability of the technique and outcomes at 23 months. BMC Oral Health 2007, 7, 18. [Google Scholar] [CrossRef]
- van Bochove, J.A.; van Amerongen, W.E. The influence of restorative treatment approaches and the use of local analgesia, on the children’s discomfort. Eur. Arch. Paediatr. Dent. 2006, 1, 11–16. [Google Scholar] [CrossRef]
- Garbim, J.R.; Laux, C.M.; Tedesco, T.K.; Braga, M.M.; Raggio, D.P. Atraumatic restorative treatment restorations performed in different settings: Systematic review and meta-analysis. Aust. Dent. J. 2021, 66, 430–443. [Google Scholar] [CrossRef]
- Nash, D.A. Engaging children’s cooperation in the dental environment through effective communication. Pediatr. Dent. 2006, 28, 455–459. [Google Scholar]
- Shao, A.; Kahabuka, F.; Mbawalla, H. Children’s Behaviour in the Dental Setting according to Frankl Behaviour Rating and their Influencing Factors. Open Access J. Dent. Sci. 2016, 1, 103. [Google Scholar] [CrossRef]
- Frankl, S.N. Should the parent remain with the child in the dental operatory? J. Dent. Child. 1962, 29, 150–163. [Google Scholar]
- Faul, F.; Erdfelder, E.; Lang, A.-G.; Buchner, A. G*Power 3: A flexible statistical power analysis program for the social, behavioral, and biomedical sciences. Behav. Res. Methods 2007, 39, 175–191. [Google Scholar] [CrossRef] [PubMed]
- Santamaría, R.M.; Innes, N.; Machiulskiene, V.; Schmoeckel, J.; Alkilzy, M.; Splieth, C.H. Alternative Caries Management Options for Primary Molars: 2.5-Year Outcomes of a Randomised Clinical Trial. Caries Res. 2017, 51, 605–614. [Google Scholar] [CrossRef] [PubMed]
- Harrell, F.E. Ordinal Logistic Regression. In Regression Modeling Strategies: With Applications to Linear Models, Logistic and Ordinal Regression, and Survival Analysis; Harrell, F.E., Jr., Ed.; Springer International Publishing: Cham, Switzerland, 2015; pp. 311–325. [Google Scholar] [CrossRef]
- Innes, N.P.T.; Stirrups, D.R.; Evans, D.J.P.; Hall, N.; Leggate, M. A novel technique using preformed metal crowns for managing carious primary molars in general practice—A retrospective analysis. Br. Dent. J. 2006, 200, 451–454; discussion 444. [Google Scholar] [CrossRef]
- BaniHani, A.; Deery, C.; Toumba, J.; Duggal, M. Effectiveness, Costs and Patient Acceptance of a Conventional and a Biological Treatment Approach for Carious Primary Teeth in Children. Caries Res. 2018, 53, 65–75. [Google Scholar] [CrossRef]
- Ludwig, K.H.; Fontana, M.; Vinson, L.A.; Platt, J.A.; Dean, J.A. The success of stainless steel crowns placed with the Hall technique. J. Am. Dent. Assoc. 2014, 145, 1248–1253. [Google Scholar] [CrossRef]
- Santamaria, R.M.; Innes, N.P.; Machiulskiene, V.; Evans, D.J.; Alkilzy, M.; Splieth, C.H. Acceptability of different caries management methods for primary molars in a RCT. Int. J. Paediatr. Dent. 2015, 25, 9–17. [Google Scholar] [CrossRef]
- Evans, D.J.P.; Southwick, C.A.P.; Foley, J.; Innes, N.; Pavitt, S. The Hall Technique: A Pilot Trial of a Novel Use of Preformed Metal Crowns for Managing Carious Primary Teeth. January 2000. Available online: https://www.researchgate.net/publication/261064457_The_Hall_technique_a_pilot_trial_of_a_novel_use_of_preformed_metal_crowns_for_managing_carious_primary_teeth (accessed on 11 October 2024).
- Won, Y.-S.; Shim, Y.-S.; An, S.-Y. The relationship between subjective oral health and dental fear in Korean adolescents. J. Dent. Anesth. Pain Med. 2017, 17, 289–295. [Google Scholar] [CrossRef]
- Helkimo, A.N.; Rolander, B.; Koch, G. Dental fear in school children and young adults attending public dental health care: Prevalence and relationship to gender, oral disease and dental treatment; trends over 40 years. BMC Oral Health 2022, 22, 146. [Google Scholar] [CrossRef]
- Rath, S.; Das, D.; Sahoo, S.K.; Raj, A.; Guddala, N.R.; Rathee, G. Childhood dental fear in children aged 7-11 years old by using the Children’s Fear Survey Schedule-Dental Subscale. J. Med. Life 2021, 14, 45–49. [Google Scholar] [CrossRef]
- Slabšinskienė, E.; Kavaliauskienė, A.; Žemaitienė, M.; Vasiliauskienė, I.; Zaborskis, A. Dental Fear and Associated Factors among Children and Adolescents: A School-Based Study in Lithuania. Int. J. Environ. Res. Public Health 2021, 18, 8883. [Google Scholar] [CrossRef] [PubMed]
- Baier, K.; Milgrom, P.; Russell, S.; Mancl, L.; Yoshida, T. Children’s fear and behavior in private pediatric dentistry practices. Pediatr. Dent. 2004, 26, 316–321. [Google Scholar] [PubMed]
- Ghaderi, F.; Ahmadbeigi, M. Pain Perception Due to Dental Injection by Smartject: Split Mouth Design Study. J. Dent. 2018, 19, 57–62. [Google Scholar]
- Klingberg, G. Dental anxiety and behaviour management problems in paediatric dentistry—A review of background factors and diagnostics. Eur. Arch. Paediatr. Dent. 2008, 9, 11–15. [Google Scholar] [CrossRef]
- Gustafsson, A.; Broberg, A.; Bodin, L.; Berggren, U.; Arnrup, K. Dental behaviour management problems: The role of child personal characteristics. Int. J. Paediatr. Dent. 2010, 20, 242–253. [Google Scholar] [CrossRef]
- Midani, R.; Splieth, C.H.; Ali, M.M.; Schmoeckel, J.; Mourad, S.M.; Santamaria, R.M. Success rates of preformed metal crowns placed with the modified and standard hall technique in a paediatric dentistry setting. Int. J. Paediatr. Dent. 2019, 29, 550–556. [Google Scholar] [CrossRef]
- GBD 2017 Oral Disorders Collaborators; Bernabe, E.; Marcenes, W.; Hernandez, C.R.; Bailey, J.; Abreu, L.G.; Alipour, V.; Amini, S.; Arabloo, J.; Arefi, Z.; et al. Global, Regional, and National Levels and Trends in Burden of Oral Conditions from 1990 to 2017: A Systematic Analysis for the Global Burden of Disease 2017 Study. J. Dent. Res. 2020, 99, 362–373. [Google Scholar] [CrossRef]
- Mathur, V.P.; Dhillon, J.K. Dental Caries: A Disease Which Needs Attention. Indian J. Pediatr. 2018, 85, 202–206. [Google Scholar] [CrossRef]
- Kazeminia, M.; Abdi, A.; Shohaimi, S.; Jalali, R.; Vaisi-Raygani, A.; Salari, N.; Mohammadi, M. Dental caries in primary and permanent teeth in children’s worldwide, 1995 to 2019: A systematic review and meta-analysis. Head Face Med. 2020, 16, 22. [Google Scholar] [CrossRef]
- Levine, R.S.; Pitts, N.; Nugent, Z.J. The fate of 1587 unrestored carious deciduous teeth: A retrospective general dental practice based study from northern England. Br. Dent. J. 2002, 193, 99–103. [Google Scholar] [CrossRef]
- Hussein, I.; Al Halabi, M.; Kowash, M.; Salami, A.; Ouatik, N.; Yang, Y.-M.; Duggal, M.; Chandwani, N.; Nazzal, H.; Albadri, S.; et al. Use of the Hall technique by specialist paediatric dentists: A global perspective. Br. Dent. J. 2020, 228, 33–38. [Google Scholar] [CrossRef]
- Gonzalez, C.; Hodgson, B.; Singh, M.; Okunseri, C. Hall Technique: Knowledge and Attitudes of Pediatric Dentists in the United States. J. Dent. Child. 2021, 88, 86–93. [Google Scholar]


| Treatment Session/Variables | Treatment Session 1 (T1) | Treatment Session 2 (T2) | Treatment Session 3 (T3) | ||||||||
|---|---|---|---|---|---|---|---|---|---|---|---|
| Dentist Treating | PD Specialists n (%) | PD Postgraduate Students n (%) | PD Specialists n (%) | PD Post-graduate Students n (%) | PD Specialists n (%) | PD Postgraduate Students n (%) | |||||
| 21 (23.3%) | 69 (76.7%) | 26 (28.9%) | 64 (71.1%) | 25 (27.8%) | 65 (72.2%) | ||||||
| Local Anaesthesia Used | 5 (5.6%) | 0 (0%) | 13 (14.4%) | ||||||||
| Treatment Performed | Diagnosis/prevention n (%) | Restorative procedure n (%) | Extraction n (%) | Pulp Therapy n (%) | Other n (%) | HT n (%) | Diagnosis/prevention n (%) | Restorative procedure n (%) | Extraction n (%) | Pulp Therapy n (%) | |
| 40 (44.4%) | 38 (42.2%) | 5 (5.6%) | 0 | 7 (7.8%) | 90 | 34 (37.7%) | 46 (51.1%) | 5 (5.6%) | 5 (5.6%) | ||
| Frankl’s Behaviour Rating Scale | T1 | T2 | T3 | |
|---|---|---|---|---|
| n (%) | n (%) | n (%) | p-Values | |
| Definitely negative | 18 (20%) | 3 (3.3%) | 1 (1.1%) | p < 0.0001 |
| Negative | 21 (23.3%) | 18 (20%) | 7 (7.8%) | |
| Positive | 23 (25.6%) | 43 (47.8%) | 23 (25.6%) | |
| Definitely positive | 28 (31.1%) | 26 (28.9%) | 59 (65.5%) | p < 0.0001 |
| Total | 90 (100%) | 90 (100%) | 90 (100%) |
Disclaimer/Publisher’s Note: The statements, opinions and data contained in all publications are solely those of the individual author(s) and contributor(s) and not of MDPI and/or the editor(s). MDPI and/or the editor(s) disclaim responsibility for any injury to people or property resulting from any ideas, methods, instructions or products referred to in the content. |
© 2025 by the authors. Licensee MDPI, Basel, Switzerland. This article is an open access article distributed under the terms and conditions of the Creative Commons Attribution (CC BY) license (https://creativecommons.org/licenses/by/4.0/).
Share and Cite
Santamaría, R.M.; Gomma, A.; Khole, M.R.; Splieth, C.H.; Alkilzy, M. Influence of the Hall Technique on Patient Cooperation: A Retrospective Analysis. J. Clin. Med. 2025, 14, 304. https://doi.org/10.3390/jcm14020304
Santamaría RM, Gomma A, Khole MR, Splieth CH, Alkilzy M. Influence of the Hall Technique on Patient Cooperation: A Retrospective Analysis. Journal of Clinical Medicine. 2025; 14(2):304. https://doi.org/10.3390/jcm14020304
Chicago/Turabian StyleSantamaría, Ruth M., Amr Gomma, Manasi R. Khole, Christian H. Splieth, and Mohammad Alkilzy. 2025. "Influence of the Hall Technique on Patient Cooperation: A Retrospective Analysis" Journal of Clinical Medicine 14, no. 2: 304. https://doi.org/10.3390/jcm14020304
APA StyleSantamaría, R. M., Gomma, A., Khole, M. R., Splieth, C. H., & Alkilzy, M. (2025). Influence of the Hall Technique on Patient Cooperation: A Retrospective Analysis. Journal of Clinical Medicine, 14(2), 304. https://doi.org/10.3390/jcm14020304

