Real-World Effectiveness and Safety of Golimumab in Patients with Ulcerative Colitis: A Retrospective Cohort Study
Abstract
1. Introduction
2. Materials and Methods
2.1. Study Design and Patients
2.2. Baseline Assessments
2.3. Study Endpoints
2.4. Statistical Analysis
3. Results
3.1. Baseline Demographics
3.2. Persistence on Golimumab Therapy
3.3. Primary and Secondary Outcomes
3.4. Predictive Factors of Clinical Response and Remission
3.5. Requirement for Golimumab Dose Optimizations
3.6. Safety
4. Discussion
5. Conclusions
Author Contributions
Funding
Institutional Review Board Statement
Informed Consent Statement
Data Availability Statement
Acknowledgments
Conflicts of Interest
Abbreviations
| UC | Ulcerative Colitis |
| CS | Corticosteroid |
| PMS | Partial Mayo Score |
| 5-ASA | 5-Aminosalicylates |
| JAK | Janus Kinase |
| TNF | Tumor Necrosis Factor |
| SC | Subcutaneous |
| RCT | Randomized Clinical Trials |
| CEP | Ethics Committee |
| STROBE | STrengthening the Reporting of OBservational studies in Epidemiology |
| ANVISA | Brazilian Health Regulatory Agency |
| BMI | Body Mass Index |
| EIM | Extraintestinal Manifestations |
| CRP | C-reactive Protein |
| FC | Fecal Calprotectin |
| MES | Mayo Endoscopic Subscore |
| SD | Standard Deviation |
| IQR | Interquartile Range |
| CI | Confidence Interval |
| RR | Relative Risk |
| CV | Coefficient of Variation |
| IFX | Infliximab |
| ADA | Adalimumab |
| VEDO | Vedolizumab |
| UST | Ustekinumab |
| CTZ | Certolizumab pegol |
| mg | milligram |
| dL | deciliter |
| µg | microgram |
| g | gram |
| HR | Hazard Ratio |
References
- Ordás, I.; Eckmann, L.; Talamini, M.; Baumgart, D.C.; Sandborn, W.J. Ulcerative colitis. Lancet 2012, 380, 1606–1619. [Google Scholar] [CrossRef]
- Loftus, E.V., Jr.; Sandborn, W.J. Epidemiology of inflammatory bowel disease. Gastroenterol. Clin. N. Am. 2002, 31, 1–20. [Google Scholar] [CrossRef]
- Gasparini, R.G.; Sassaki, L.Y.; Saad-Hossne, R. Inflammatory bowel disease epidemiology in São Paulo State, Brazil. Clin. Exp. Gastroenterol. 2018, 11, 423–429. [Google Scholar] [CrossRef]
- Pugliese, D.; Privitera, G.; Rogai, F.; Variola, A.; Viola, A.; Laterza, L.; Privitera, A.C.; Allocca, M.; Bossa, F.; Cappello, M.; et al. Two-year effectiveness and safety of golimumab in ulcerative colitis: An IG-IBD study. United Eur. Gastroenterol. J. 2021, 9, 102–109. [Google Scholar] [CrossRef]
- Feagan, B.G.; Reinisch, W.; Rutgeerts, P.; Sandborn, W.J.; Yan, S.; Eisenberg, D.; Bala, M.; Johanns, J.; Olson, A.; Hanauer, S.B.; et al. The effects of infliximab therapy on health-related quality of life in ulcerative colitis patients. Am. J. Gastroenterol. 2007, 102, 794–802. [Google Scholar] [CrossRef]
- Sandborn, W.J.; Rutgeerts, P.; Feagan, B.G.; Reinisch, W.; Olson, A.; Johanns, J.; Lu, J.; Horgan, K.; Rachmilewitz, D.; Hanauer, S.B.; et al. Colectomy Rate Comparison After Treatment of Ulcerative Colitis With Placebo or Infliximab. Gastroenterology 2009, 137, 1250–1260. [Google Scholar] [CrossRef] [PubMed]
- Feagan, B.G.; Sandborn, W.J.; Lazar, A.; Thakkar, R.B.; Huang, B.; Reilly, N.; Chen, N.; Yang, M.; Skup, M.; Mulani, P.; et al. Adalimumab therapy is associated with reduced risk of hospitalization in patients with ulcerative colitis. Gastroenterology 2014, 146, 110–118. [Google Scholar] [CrossRef] [PubMed]
- Shealy, D.J.; Cai, A.; Staquet, K.; Baker, A.; Lacy, E.R.; Johns, L.; Vafa, O.; Gunn, G., 3rd; Tam, S.; Sague, S.; et al. Characterization of golimumab, a human monoclonal antibody specific for human tumor necrosis factor α. MAbs 2010, 2, 428–439. [Google Scholar] [CrossRef] [PubMed] [PubMed Central]
- Sandborn, W.J.; Feagan, B.G.; Marano, C.; Zhang, H.; Strauss, R.; Johanns, J.; Adedokun, O.J.; Guzzo, C.; Colombel, J.F.; Reinisch, W.; et al. Subcutaneous golimumab induces clinical response and remission in patients with moderate-to-severe ulcerative colitis. Gastroenterology 2014, 146, 85–95. [Google Scholar] [CrossRef]
- Sandborn, W.J.; Feagan, B.G.; Marano, C.; Zhang, H.; Strauss, R.; Johanns, J.; Adedokun, O.J.; Guzzo, C.; Colombel, J.F.; Reinisch, W.; et al. Subcutaneous golimumab maintains clinical response in patients with moderate-to-severe ulcerative colitis. Gastroenterology 2014, 146, 96–109. [Google Scholar] [CrossRef]
- Bossuyt, P.; Baert, F.; D’Heygere, F.; Nakad, A.; Reenaers, C.; Fontaine, F.; Franchimont, D.; Dewit, O.; Van Hootegem, P.; Branden, S.V.; et al. Early mucosal healing predicts favorable outcomes in patients with moderate to severe ulcerative colitis treated with golimumab: Data from the real-life BE-SMART cohort. Inflamm. Bowel Dis. 2019, 25, 156–162. [Google Scholar] [CrossRef]
- Bossa, F.; Biscaglia, G.; Valvano, M.R.; Costantino, G.; Lauria, A.; Clemente, R.; Ferracane, C.; Shahini, E.; Mendolaro, M.; Grossi, L.; et al. Real-life effectiveness and safety of golimumab and its predictors of response in patients with ulcerative colitis. Dig. Dis. Sci. 2020, 65, 1767–1776. [Google Scholar] [CrossRef] [PubMed]
- Taxonera, C.; Iborra, M.; Bosca-Watts, M.M.; Rubio, S.; Nantes, O.; Higuera, R.; Bertoletti, F.; Martínez-Montiel, P.; Sierra-Ausin, M.; Manceñido, N.; et al. Early dose optimization of golimumab induces late response and long-term clinical benefit in moderately to severely active ulcerative colitis. Curr. Med. Res. Opin. 2019, 35, 1297–1304. [Google Scholar] [CrossRef]
- Taxonera, C.; Rodrıguez, C.; Bertoletti, F.; Menchén, L.; Arribas, J.; Sierra, M.; Arias, L.; Martínez-Montiel, P.; Juan, A.; Iglesias, E.; et al. Clinical outcomes of golimumab as first, second or third antiTNF agent in patients with moderate-to-severe ulcerative colitis. Inflamm. Bowel Dis. 2017, 23, 1394–1402. [Google Scholar] [CrossRef]
- Bressler, B.; Williamson, M.; Sattin, B.; Camacho, F.; Steinhart, A.H. Real world effectiveness of golimumab therapy in ulcerative colitis regardless of prior TNF exposure. J. Can. Assoc. Gastroenterol. 2018, 1, 129–134. [Google Scholar] [CrossRef]
- von Elm, E.; Altman, D.G.; Egger, M.; Pocock, S.J.; Gøtzsche, P.C.; Vandenbroucke, J.P.; STROBE Initiative. The strengthening the reporting of observational studies in epidemiology (STROBE) statement: Guidelines for reporting observational studies. Lancet 2007, 370, 1453–1457. [Google Scholar] [CrossRef]
- Lennard-Jones, J.E. Classification of Inflammatory Bowel Disease. Scand. J. Gastroenterol. 1989, 24 (Suppl. S170), 2–6. [Google Scholar] [CrossRef]
- Magro, F.; Gionchetti, P.; Eliakim, R.; Ardizzone, S.; Armuzzi, A.; Barreiro-de Acosta, M.; Burisch, J.; Gecse, K.B.; Hart, A.L.; Hindryckx, P.; et al. Third European Evidence-based Consensus on Diagnosis and Management of Ulcerative Colitis. Part 1: Definitions, Diagnosis, Extra-intestinal Manifestations, Pregnancy, Cancer Surveillance, Surgery, and Ileo-anal Pouch Disorders. J. Crohn’s Colitis 2017, 11, 649–670. [Google Scholar] [CrossRef]
- Harbord, M.; Eliakim, R.; Bettenworth, D.; Karmiris, K.; Katsanos, K.; Kopylov, U.; Kucharzik, T.; Molnár, T.; Raine, T.; Sebastian, S.; et al. Third European evidence-based consensus on diagnosis and management of ulcerative colitis. Part 2: Current management. J. Crohn’s Colitis 2017, 11, 769–784. [Google Scholar] [CrossRef] [PubMed]
- Schroeder, K.W.; Tremaine, W.J.; Ilstrup, D.M. Coated oral 5-aminosalicylic acid therapy for mildly to moderately active ulcerative colitis. A randomized study. N. Engl. J. Med. 1987, 317, 1625–1629. [Google Scholar] [CrossRef] [PubMed]
- Orlandini, B.; Dragoni, G.; Variola, A.; Massella, A.; Bagnoli, S.; Campi, R.; Rogai, F. Clinical efficacy and safety of golimumab in biologically experienced and naive patients with active ulcerative colitis: A real-life experience from two Italian IBD centers. J. Dig. Dis. 2018, 19, 468–474. [Google Scholar] [CrossRef]
- Ferrante, M.; Vermeire, S.; Katsanos, K.H.; Noman, M.; van Assche, G.; Schnitzler, F.; Arijs, I.; De Hertogh, G.; Hoffman, I.; Geboes, J.K.; et al. Predictors of early response to infliximab in patients with ulcerative colitis. Inflamm. Bowel Dis. 2007, 13, 123–128. [Google Scholar] [CrossRef]
- Taxonera, C.; Iglesias, E.; Muñoz, F.; Calvo, M.; Barreiro-de Acosta, M.; Busquets, D.; Calvet, X.; Rodríguez, A.; Pajares, R.; Gisbert, J.P.; et al. Adalimumab maintenance treatment in ulcerative colitis: Outcomes by prior anti-TNF use and efficacy of dose escalation. Dig. Dis. Sci. 2017, 62, 481–490. [Google Scholar] [CrossRef] [PubMed]
- Taxonera, C.; Barreiro-de Acosta, M.; Calvo, M.; Saro, C.; Bastida, G.; Martín-Arranz, M.D.; Gisbert, J.P.; García-Sánchez, V.; Marín-Jiménez, I.; Bermejo, F.; et al. Infliximab dose escalation as an effective strategy for managing secondary loss of response in ulcerative colitis. Dig. Dis. Sci. 2015, 60, 3075–3084. [Google Scholar] [CrossRef] [PubMed]
- Vande Casteele, N.; Ferrante, M.; van Assche, G.; Ballet, V.; Compernolle, G.; van Steen, K.; Simoens, S.; Rutgeerts, P.; Gils, A.; Vermeire, S.; et al. Trough concentrations of infliximab guide dosing for patients with inflammatory bowel disease. Gastroenterology 2015, 148, 1320–1329e1323. [Google Scholar] [CrossRef]
- Cesarini, M.; Katsanos, K.; Papamichael, K.; Ellul, P.; Lakatos, P.L.; Caprioli, F.; Kopylov, U.; Tsianos, E.; Mantzaris, G.J.; Ben-Horin, S.; et al. Dose optimization is effective in ulcerative colitis patients losing response to infliximab: A collaborative multicentre retrospective study. Dig. Liver Dis. 2014, 46, 135–139. [Google Scholar] [CrossRef] [PubMed]
- O’Donnell, S.; Stempak, J.M.; Steinhart, A.H.; Silverberg, M.S. Higher rates of dose optimisation for infliximab responders in ulcerative colitis than in Crohn’s disease. J. Crohn’s Colitis 2015, 9, 830–836. [Google Scholar] [CrossRef]
- Watts, M.M.B.; Cortes, X.; Iborra, M.; Huguet, J.M.; Sempere, L.; Garcia, G.; Gil, R.; Garcia, M.; Muñoz, M.; Almela, P.; et al. Short-term effectiveness of golimumab for ulcerative colitis: Observational multicenter study. World J. Gastroenterol. 2016, 22, 10432–10439. [Google Scholar] [CrossRef]
- Fumery, M.; Nancey, S.; Filippi, J.; Altwegg, R.; Hébuterne, X.; Boshetti, G.; Barraud, M.; Meynier, J.; Paul, S.; Roblin, X. Effectiveness of golimumab intensification in ulcerative colitis: A multicentric prospective study. Aliment Pharmacol Ther. 2023, 57, 1290–1298. [Google Scholar] [CrossRef]
- Philip, G.; Cornillie, F.; Adedokun, J.O.; Melsheimer, R.; Rutgeerts, P.; Colombel, J.F.; Marano, C. Early Dose Optimisation of Golimumab in Nonresponders to Induction Treatment for Ulcerative Colitis Is Effective and Supported by Pharmacokinetic Data. J. Crohn’s Colitis 2019, 13, 1257–1264. [Google Scholar] [CrossRef]
- Weinstein, C.L.J.; Meehan, A.G.; Govoni, M.; Lin, J.; Reinisch, W. Low Occurrence of Colectomy With Long-Term (up to 4 Years) Golimumab Treatment in Patients With Moderate-to-Severe Active Ulcerative Colitis: Data From the PURSUIT Maintenance and Long-Term Extension Studies. Crohn’s Colitis 360 2023, 5, otad044. [Google Scholar] [CrossRef]
- Park, S.H. Golimumab for Ulcerative Colitis: One More Option to SAVE the Colon. Crohn’s Colitis 360 2023, 5, otad046. [Google Scholar] [CrossRef] [PubMed]
- O’Connell, J.; Rowan, C.; Stack, R.; Harkin, G.; Parihar, V.; Chan, G.; Breslin, N.; Cullen, G.; Dunne, C.; Egan, L.; et al. Golimumab effectiveness and safety in clinical practice for moderately active ulcerative colitis. Eur. J. Gastroenterol. Hepatol. 2018, 30, 1019–1026. [Google Scholar] [CrossRef] [PubMed]
- Taxonera, C.; Fernández-Aceñero, M.J.; Olivares, D.; Calvo, M.; Casis, B.; Bermejo, F.; Serrano, P.L.; Iborra, M.; Mesonero, F.; Watts, M.B.; et al. Association of golimumab trough concentrations during maintenance with clinical, biological, endoscopic and histologic remission in patients with ulcerative colitis. Aliment. Pharmacol. Ther. 2022, 56, 614–624. [Google Scholar] [CrossRef] [PubMed]
- Ha, C.; Mathur, J.; Kornbluth, A. Anti-TNF levels and anti-drug antibodies, immunosuppressants and clinical outcomes in inflammatory bowel disease. Expert Rev. Gastroenterol. Hepatol. 2015, 9, 497–505. [Google Scholar] [CrossRef]







| Mean | SD | CV% | Quartile | |||
|---|---|---|---|---|---|---|
| Median | 25th | 75th | ||||
| Age (years) | 40.7 | 15.3 | 37.6 | 38.0 | 29.0 | 52.0 |
| Age at diagnosis (years) | 34.0 | 13.9 | 40.7 | 32.0 | 24.0 | 48.0 |
| Baseline weight (kg) | 66.2 | 13.2 | 19.9 | 65.0 | 59.0 | 79.0 |
| Baseline height (m) | 1.67 | 0.09 | 5.23 | 1.66 | 1.60 | 1.72 |
| Baseline BMI (kg/m2) | 27.4 | 25.1 | 91.6 | 23.3 | 21.7 | 26.7 |
| n | % Total | % Valid | ||
|---|---|---|---|---|
| Sex | Male | 45 | 61.6 | 61.6 |
| Female | 28 | 38.4 | 38.4 | |
| Ethnicity | White | 49 | 67.1 | 72.1 |
| Black | 11 | 15.1 | 16.2 | |
| Brown | 8 | 11.0 | 11.8 | |
| No data | 5 | 6.8 | ||
| Smoking | No | 60 | 82.2 | 84.5 |
| Yes | 11 | 15.1 | 15.5 | |
| No data | 2 | 2.7 | ||
| Comorbidity | No | 43 | 58.9 | 59.7 |
| Yes | 29 | 39.7 | 40.3 | |
| No data | 1 | 1.4 | ||
| Extraintestinal manifestations (EIM) | No | 39 | 53.4 | 54.2 |
| Yes | 33 | 45.2 | 45.8 | |
| Total | 72 | 98.6 | 100.0 | |
| No data | 1 | 1.4 | ||
| Extent of disease (Montreal) | E1 | 14 | 19.2 | 21.5 |
| E2 | 28 | 38.4 | 43.1 | |
| E3 | 23 | 31.5 | 35.4 | |
| No data | 8 | 11.0 | ||
| Corticosteroid | No | 7 | 9.6 | 10.0 |
| Yes | 63 | 86.3 | 90.0 | |
| No data | 3 | 4.1 | ||
| 5-Aminosalicylates | No | 29 | 39.7 | 39.7 |
| Yes | 44 | 60.3 | 60.3 | |
| Immunomodulators | No | 67 | 91.8 | 91.8 |
| Yes | 6 | 8.2 | 8.2 | |
| Infliximab (IFX) | No | 64 | 87.7 | 87.7 |
| Yes | 9 | 12.3 | 12.3 | |
| Adalimumab (ADA) | No | 68 | 93.2 | 93.2 |
| Yes | 5 | 6.8 | 6.8 | |
| Vedolizumab (VEDO) | No | 60 | 82.2 | 82.2 |
| Yes | 13 | 17.8 | 17.8 | |
| Ustekinumab (UST) | No | 72 | 98.6 | 98.6 |
| Yes | 1 | 1.4 | 1.4 | |
| Certolizumab pegol (CTZ) | No | 70 | 95.9 | 95.9 |
| Yes | 3 | 4.1 | 4.1 |
| Variable | n | Mean | SD | CV% | Quartile | ||
|---|---|---|---|---|---|---|---|
| Median | 25th | 75th | |||||
| Partial Mayo score (0–9 points) | 63 | 6.53 | 1.85 | 28.3 | 7.00 | 5.00 | 8.00 |
| Mayo endoscopic subscore (0–3 points) | 72 | 2.47 | 0.71 | 28.8 | 3.00 | 2.00 | 3.00 |
| Mayo score (0–12 points) | 63 | 8.39 | 2.54 | 30.3 | 9.00 | 8.00 | 10.00 |
| CRP (mg/dL) | 66 | 11.10 | 12.70 | 114.4 | 6.85 | 2.06 | 12.44 |
| Calprotectin (mcg/g) | 62 | 1939.7 | 1375.6 | 70.9 | 1800.0 | 848.5 | 2925.0 |
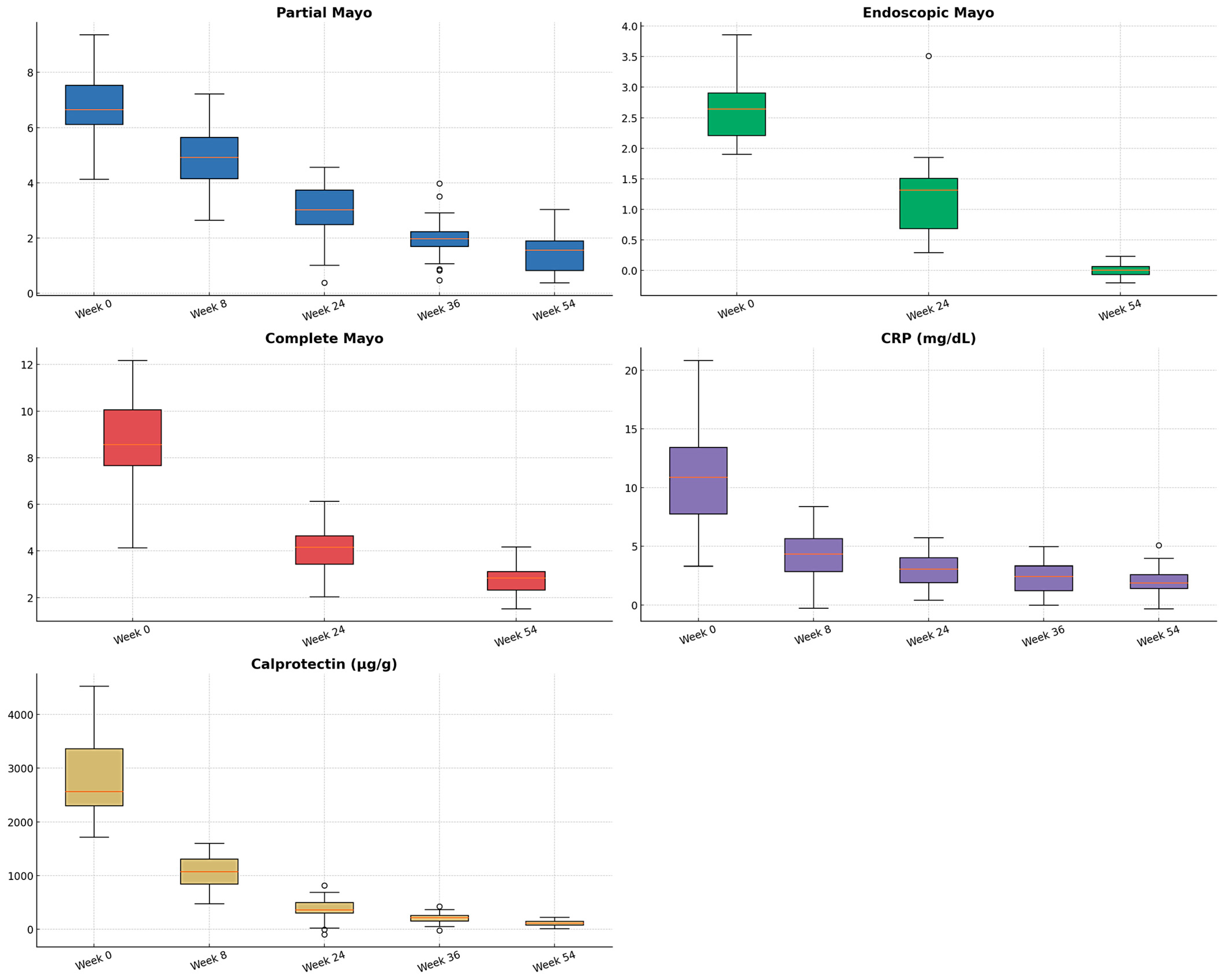
| Median | 25th | 75th | p-Value | |
|---|---|---|---|---|
| Partial Mayo Week 0 (0–9 points) | 7.00 a | 5.00 | 8.00 | <0.001 * |
| Partial Mayo Week 8 (0–9 points) | 3.00 b | 2.50 | 6.00 | |
| Partial Mayo Week 24 (0–9 points) | 2.00 c | 1.00 | 4.00 | |
| Partial Mayo Week 36 (0–9 points) | 1.00 d | 0.00 | 2.00 | |
| Partial Mayo Week 54 (0–9 points) | 1.00 d | 0.00 | 2.00 | |
| Complete Mayo Week 0 (0–12 points) | 9.00 a | 8.00 | 10.00 | <0.001 * |
| Complete Mayo Week 24 (0–12 points) | 4.00 b | 2.00 | 5.00 | |
| Complete Mayo Week 54 (0–12 points) | 2.00 c | 0.00 | 3.00 | |
| Endoscopic Mayo Week 0 (0–3 points) | 3.00 a | 2.00 | 3.00 | <0.001 * |
| Endoscopic Mayo Week 24 (0–3 points) | 1.00 b | 0.00 | 2.00 | |
| Endoscopic Mayo Week 54 (0–3 points) | 0.00 c | 0.00 | 1.00 | |
| CRP week 0 (mg/dL) | 6.85 a | 2.06 | 12.44 | <0.001 * |
| CRP week 8 (mg/dL) | 3.45 b | 1.05 | 6.80 | |
| CRP week 24 (mg/dL) | 2.45 c | 0.90 | 4.00 | |
| CRP week 36 (mg/dL) | 2.10 c,d | 0.40 | 3.50 | |
| CRP week 54 (mg/dL) | 1.06 d | 0.35 | 2.00 | |
| Calprotectin week 0 (mcg/g) | 1800.0 a | 848.5 | 2925.0 | <0.001 * |
| Calprotectin week 8 (mcg/g) | 569.0 b | 246.0 | 1362.8 | |
| Calprotectin week 24 (mcg/g) | 220.0 c | 80.8 | 632.0 | |
| Calprotectin week 36 (mcg/g) | 128.0 c | 76.5 | 297.5 | |
| Calprotectin week 54 (mcg/g) | 63.0 c | 39.0 | 121.5 |
| Exposure Factor and Predictors | Level | Dependent Variable HR (Multivariable) | |||
|---|---|---|---|---|---|
| Response Week 24 | Remission Week 24 | Response Week 54 | Remission Week 54 | ||
| Sex | Male | - | - | - | - |
| Female | HR = 1.02 95% CI: 0.37–2.84 p = 0.968 | HR = 1.31 95% CI: 0.45–3.78 p = 0.616 | HR = 1.45 95% CI: 0.62–3.41 p = 0.397 | HR = 1.59 95% CIO: 0.66–3.84 p = 0.305 | |
| Smoking | No | - | - | - | - |
| Yes | HR = 0.18 95% CI: 0.02–1.36 p = 0.097 | HR = 0.21 95% CI: 0.02–2.64 p = 0.229 | HR = 0.85 95% CI: 0.27–2.68 p = 0.787 | HR = 0.79 95% CI: 0.22–2.80 p = 0.712 | |
| Montreal Classification (disease extension) | E3 | HR = 0.15 95% CI: 0.03–0.86 p = 0.033 * | HR = 0.08 95% CI: 0.01–0.65 p = 0.018 * | HR = 0.27 95% CI: 0.07–1.09 p = 0.067 | HR = 0.26 95% CI: 0.06–1.15 p = 0.076 |
| Corticosteroid at baseline | No | - | - | - | - |
| Yes | HR = 0.57 95% CI: 0.11–3.02 p = 0.508 | HR = 0.50 95% CI: 0.08–2.94 p = 0.441 | HR = 0.78 95% CI: 0.19–3.13 p = 0.724 | HR = 0.59 95% CI: 0.15–2.35 p = 0.450 | |
| Concomitant immunomodulators | No | - | - | - | - |
| Yes | HR = 11.97 95% CI: 2.14–66.89 p = 0.005 * | 0.00 (0.00-Inf, p = 0.998) | HR = 5.31 95% CI: 0.46–60.96 p = 0.180) | HR = 0.00 95% CI: 0.00-Inf p = 0.998 | |
| Biologic exposure | No | - | - | - | - |
| Yes | HR = 1.04 95% CI: 0.40–2.72 p = 0.940 | HR = 0.82 95% CI: 0.26–2.57 p = 0.732 | HR = 1.35 95% CI: 0.65–2.81 p = 0.427 | HR = 1.38 95% CI: 0.64–3.01 p = 0.414 | |
| Age (years) | Mean (SD) | HR = 0.99 95% CI: 0.95–1.02 p = 0.489 | HR: 0.98 95% CI: 0.98 (0.94–1.02, p = 0.399 | HR = 0.97 95% CI: 0.94–1.01 p = 0.100 | HR = 0.97 95% CI: 0.94–1.01 p = 0.120 |
| Duration of disease (years) | Mean (SD) | HR: 1.03 95% CI: 0.94–1.13 p = 0.499) | HR: 1.07 95% CI: 0.97–1.17 p = 0.186 | HR = 1.01 95% CI: 0.94–1.09 p = 0.814 | HR: 1.02 95% CI: 0.94–1.10 p = 0.686 |
| Model Metrics (Likelihood ratio test) | R-squared | 0.217 | 0.231 | 0.257 | 0.275 |
| p-value | 0.240 | 0.188 | 0.275 | 0.213 | |
| Type of Adverse Event | n (%) |
|---|---|
| Infections | 9 (13.3%) |
| Respiratory: mild respiratory infections (5), tuberculosis (1), pneumonia (1) | |
| Urinary tract infections (2) | |
| Dermatologic | 12 (16.4%) |
| Rash at the injection site (7), folliculitis (1), pruritus and urticaria (3), psoriasis (1) | |
| Neurological | 1 (1.4%) |
| Headaches (1) | |
| Articular | 2 (2.8%) |
| Arthralgia (2) | |
| Total | 24 (32.8%) |
Disclaimer/Publisher’s Note: The statements, opinions and data contained in all publications are solely those of the individual author(s) and contributor(s) and not of MDPI and/or the editor(s). MDPI and/or the editor(s) disclaim responsibility for any injury to people or property resulting from any ideas, methods, instructions or products referred to in the content. |
© 2025 by the authors. Licensee MDPI, Basel, Switzerland. This article is an open access article distributed under the terms and conditions of the Creative Commons Attribution (CC BY) license (https://creativecommons.org/licenses/by/4.0/).
Share and Cite
Gasparini, R.G.; Taxonera, C.; Júnior, A.J.T.A.; Schiavetti, B.L.P.; Penna, F.G.C.e.; Magalhães, R.B.; da Costa Ferreira, S.; de Sá Brito Fróes, R.; dos Santos, C.H.M.; Flores, C.; et al. Real-World Effectiveness and Safety of Golimumab in Patients with Ulcerative Colitis: A Retrospective Cohort Study. J. Clin. Med. 2025, 14, 6827. https://doi.org/10.3390/jcm14196827
Gasparini RG, Taxonera C, Júnior AJTA, Schiavetti BLP, Penna FGCe, Magalhães RB, da Costa Ferreira S, de Sá Brito Fróes R, dos Santos CHM, Flores C, et al. Real-World Effectiveness and Safety of Golimumab in Patients with Ulcerative Colitis: A Retrospective Cohort Study. Journal of Clinical Medicine. 2025; 14(19):6827. https://doi.org/10.3390/jcm14196827
Chicago/Turabian StyleGasparini, Rodrigo Galhardi, Carlos Taxonera, Antônio José Tibúrcio Alves Júnior, Bianca Loyo Pona Schiavetti, Francisco Guilherme Cancela e Penna, Richard Borba Magalhães, Sandro da Costa Ferreira, Renata de Sá Brito Fróes, Carlos Henrique Marques dos Santos, Cristina Flores, and et al. 2025. "Real-World Effectiveness and Safety of Golimumab in Patients with Ulcerative Colitis: A Retrospective Cohort Study" Journal of Clinical Medicine 14, no. 19: 6827. https://doi.org/10.3390/jcm14196827
APA StyleGasparini, R. G., Taxonera, C., Júnior, A. J. T. A., Schiavetti, B. L. P., Penna, F. G. C. e., Magalhães, R. B., da Costa Ferreira, S., de Sá Brito Fróes, R., dos Santos, C. H. M., Flores, C., da Silva, B. C., Parra, R. S., Chagas, E. F. B., Venâncio, A., Rzetelna, H., Rosa, C. F. P. P. A., Andrade, A. R., Freire, C. C. F., & Faria, M. A. G. (2025). Real-World Effectiveness and Safety of Golimumab in Patients with Ulcerative Colitis: A Retrospective Cohort Study. Journal of Clinical Medicine, 14(19), 6827. https://doi.org/10.3390/jcm14196827

