Correlation Between Voltage and Impedance Mapping in Patients with Atrial Fibrillation
Abstract
1. Introduction
2. Methods
2.1. Study Design and Enrollment
2.2. Ablation Procedure
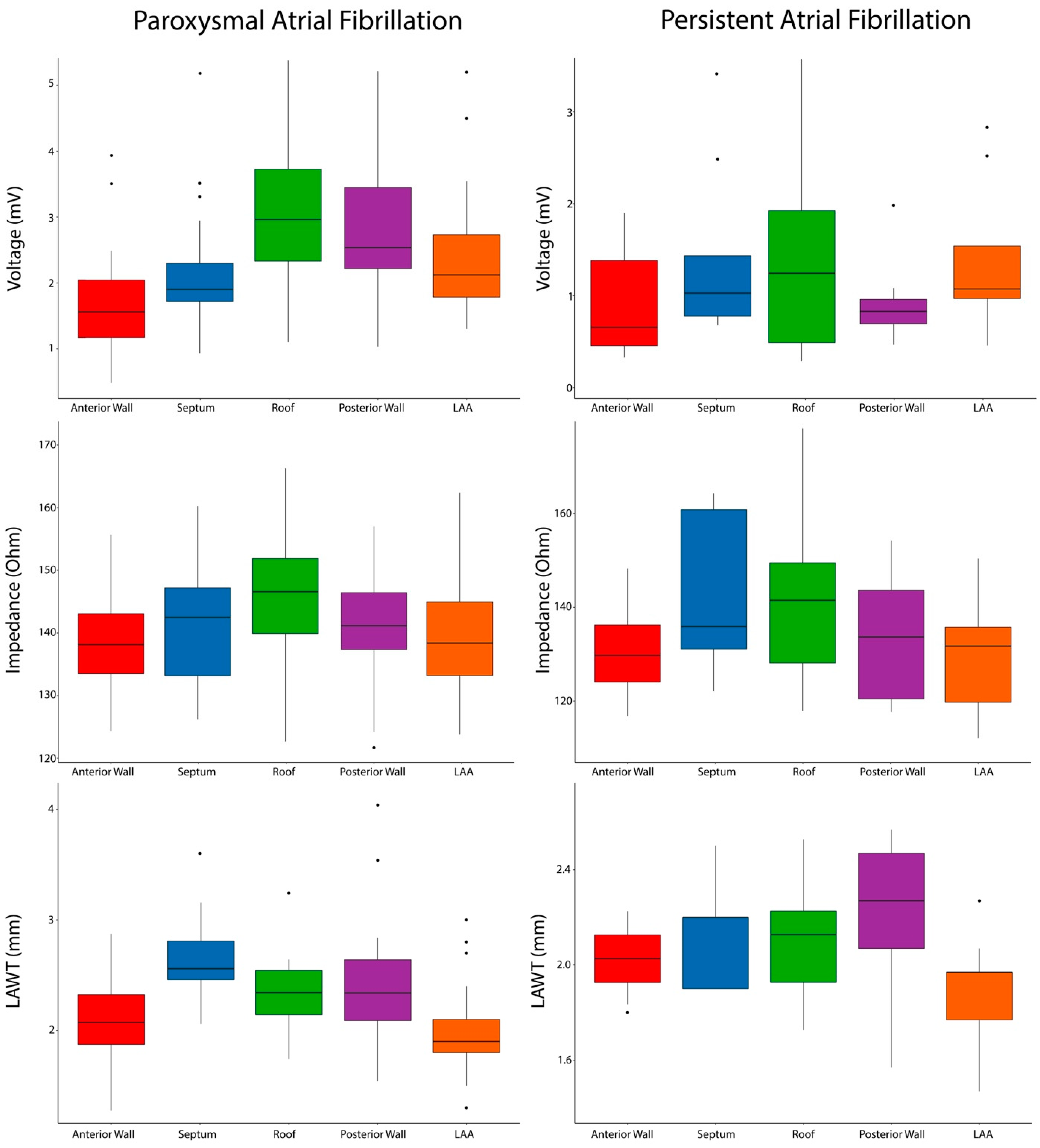
3. Results
4. Discussion
Clinical Implication
5. Limitations
6. Conclusions
Author Contributions
Funding
Institutional Review Board Statement
Informed Consent Statement
Data Availability Statement
Conflicts of Interest
Abbreviations and Acronyms
| ACT | activated clotting time |
| AI | ablation index |
| AP | anteroposterior |
| AF | atrial fibrillation |
| BMI | body mass index |
| CAD | coronary artery disease |
| EAM | electroanatomic mapping |
| EGM | electrogram |
| ILD | interlesion distance |
| LA | left atrium |
| LAWT | left atrial wall thickness |
| LVA | low-voltage area |
| MDCT | multidetector computer tomography |
| PA | posteroanterior |
| PAF | paroxysmal atrial fibrillation |
| PsAF | persistent atrial fibrillation |
| PV | pulmonary vein |
| PVI | pulmonary vein isolation |
| RAO | right anterior oblique |
| RF | radiofrequency |
| SD | standard deviation |
| SR | sinus rhythm |
| HF | heart failure |
| DM | diabetes mellitus |
| IHD | ischemic heart disease |
| CKD | chronic kidney disease |
| LAVi | left atrial volume indexed |
| LAA | left atrial appendage |
| UFH | unfractioned heparin |
References
- Kornej, J.; Börschel, C.S.; Benjamin, E.J.; Schnabel, R.B. Epidemiology of Atrial Fibrillation in the 21st Century: Novel Methods and New Insights. Circ. Res. 2020, 127, 4–20. [Google Scholar] [CrossRef]
- Dong, X.J.; Wang, B.B.; Hou, F.F.; Jiao, Y.; Li, H.W.; Lv, S.P.; Li, F.-H. Global burden of atrial fibrillation/atrial flutter and its attributable risk factors from 1990 to 2019. Europace 2023, 25, 793–803. [Google Scholar] [CrossRef]
- Alam, M.; Bandeali, S.J.; Shahzad, S.A.; Lakkis, N. Real-life global survey evaluating patients with atrial fibrillation (REALISE-AF): Results of an international observational registry. Expert Rev. Cardiovasc. Ther. 2012, 10, 283–291. [Google Scholar] [CrossRef] [PubMed]
- Lee, G.; Baker, E.; Collins, R.; Merino, J.L.; Desteghe, L.; Heidbuchel, H. The challenge of managing multimorbid atrial fibrillation: A pan-European European Heart Rhythm Association (EHRA) member survey of current management practices and clinical priorities. Europace 2022, 24, 2004–2014. [Google Scholar] [CrossRef]
- Van Gelder, I.C.; Rienstra, M.; Bunting, K.V.; Casado-Arroyo, R.; Caso, V.; Crijns, H.J.G.M.; De Potter, T.J.R.; Dwight, J.; Guasti, L.; Hanke, T.; et al. 2024 ESC Guidelines for the management of atrial fibrillation developed in collaboration with the European Association for Cardio-Thoracic Surgery (EACTS). Eur. Heart J. 2024, 45, 3314–3414. [Google Scholar]
- Packer, D.L.; Mark, D.B.; Robb, R.A.; Monahan, K.H.; Bahnson, T.D.; Poole, J.E.; Noseworthy, P.A.; Rosenberg, Y.D.; Jeffries, N.; Mitchell, L.B.; et al. Effect of Catheter Ablation vs Antiarrhythmic Drug Therapy on Mortality, Stroke, Bleeding, and Cardiac Arrest Among Patients With Atrial Fibrillation: The CABANA Randomized Clinical Trial. JAMA 2019, 321, 1261–1274. [Google Scholar] [CrossRef]
- Wolf, P.A.; Abbott, R.D.; Kannel, W.B. Atrial fibrillation as an independent risk factor for stroke: The Framingham Study. Stroke 1991, 22, 983–988. [Google Scholar] [CrossRef] [PubMed]
- Fabritz, L.; Crijns, H.J.G.M.; Guasch, E.; Goette, A.; Häusler, K.G.; Kotecha, D.; Lewalter, T.; Meyer, C.; Potpara, T.S.; Rienstra, M.; et al. Dynamic risk assessment to improve quality of care in patients with atrial fibrillation: The 7th AFNET/EHRA Consensus Conference. Europace 2021, 23, 329–344. [Google Scholar] [CrossRef]
- Wijffels, M.C.; Kirchhof, C.J.; Dorland, R.; Allessie, M.A. Atrial fibrillation begets atrial fibrillation. A study in awake chronically instrumented goats. Circulation 1995, 92, 1954–1968. [Google Scholar] [CrossRef]
- Allessie, M.; Ausma, J.; Schotten, U. Electrical, contractile and structural remodeling during atrial fibrillation. Cardiovasc. Res. 2002, 54, 230–246. [Google Scholar] [CrossRef]
- Saglietto, A.; Falasconi, G.; Soto-Iglesias, D.; Francia, P.; Penela, D.; Alderete, J.; Viveros, D.; Bellido, A.F.; Franco-Ocaña, P.; Zaraket, F.; et al. Assessing left atrial intramyocardial fat infiltration from computerized tomography angiography in patients with atrial fibrillation. Europace 2023, 25, euad351. [Google Scholar] [CrossRef]
- Nademanee, K.; Lockwood, E.; Oketani, N.; Gidney, B. Catheter ablation of atrial fibrillation guided by complex fractionated atrial electrogram mapping of atrial fibrillation substrate. J. Cardiol. 2010, 55, 1–12. [Google Scholar] [CrossRef]
- Alderete, J.; Fernández-Armenta, J.; Zucchelli, G.; Sommer, P.; Nazarian, S.; Falasconi, G.; Soto-Iglesias, D.; Silva, E.; Mazzocchetti, L.; Bergau, L.; et al. The Ablate-by-LAWT multicentre prospective study: Personalized paroxysmal atrial fibrillation ablation with ablation index adapted to local left atrial wall thickness. J. Interv. Card. Electrophysiol. 2024. [Google Scholar] [CrossRef] [PubMed]
- Falasconi, G.; Penela, D.; Soto-Iglesias, D.; Francia, P.; Saglietto, A.; Turturiello, D.; Viveros, D.; Bellido, A.; Alderete, J.; Zaraket, F.; et al. Personalized pulmonary vein isolation with very high-power short-duration lesions guided by left atrial wall thickness: The QDOT-by-LAWT randomized trial. Europace 2024, 26, euae087. [Google Scholar] [CrossRef] [PubMed]
- Teres, C.; Soto-Iglesias, D.; Penela, D.; Falasconi, G.; Viveros, D.; Meca-Santamaria, J.; Bellido, A.; Alderete, J.; Chauca, A.; Augusto; et al. Relationship between the posterior atrial wall and the esophagus: Esophageal position and temperature measurement during atrial fibrillation ablation (AWESOME-AF). A randomized controlled trial. J. Interv. Card. Electrophysiol. 2022, 65, 651–661. [Google Scholar] [CrossRef] [PubMed]
- Unger, L.A.; Schicketanz, L.; Oesterlein, T.; Stritt, M.; Haas, A.; Martínez Antón, C.; Schmidt, K.; Doessel, O.; Luik, A. Local Electrical Impedance Mapping of the Atria: Conclusions on Substrate Properties and Confounding Factors. Front. Physiol. 2021, 12, 788885. [Google Scholar] [CrossRef]
- Jacobson, J.T.; Hutchinson, M.D.; Cooper, J.M.; Woo, Y.J.; Shandler, R.S.; Callans, D.J. Tissue-specific variability in human epicardial impedance. J. Cardiovasc. Electrophysiol. 2011, 22, 436–439. [Google Scholar] [CrossRef] [PubMed]
- Fallert, M.A.; Mirotznik, M.S.; Downing, S.W.; Savage, E.B.; Foster, K.R.; Josephson, M.E.; Bogen, D.K. Myocardial electrical impedance mapping of ischemic sheep hearts and healing aneurysms. Circulation 1993, 87, 199–207. [Google Scholar] [CrossRef] [PubMed]
- Hindricks, G.; Potpara, T.; Dagres, N.; Arbelo, E.; Bax, J.J.; Blomström-Lundqvist, C.; Boriani, G.; Castella, M.; Dan, G.-A.; Dilaveris, P.E.; et al. 2020 ESC Guidelines for the diagnosis and management of atrial fibrillation developed in collaboration with the European Association for Cardio-Thoracic Surgery (EACTS): The Task Force for the diagnosis and management of atrial fibrillation of the European Society of Cardiology (ESC) Developed with the special contribution of the European Heart Rhythm Association (EHRA) of the ESC. Eur. Heart J. 2021, 42, 373–498. [Google Scholar]
- Association, W.M. World Medical Association Declaration of Helsinki: Ethical principles for medical research involving human subjects. JAMA 2013, 310, 2191–2194. [Google Scholar]
- Garcia, R.; Waldmann, V.; Vanduynhoven, P.; Nesti, M.; Jansen de Oliveira Figueiredo, M.; Narayanan, K.; Conte, G.; Guerra, J.M.; Boveda, S.; Duncker, D. Worldwide sedation strategies for atrial fibrillation ablation: Current status and evolution over the last decade. Europace 2021, 23, 2039–2045. [Google Scholar] [CrossRef]
- Gabriels, J.; Donnelly, J.; Khan, M.; Anca, D.; Beldner, S.; Willner, J.; Epstein, L.M.; Patel, A. High-Frequency, Low Tidal Volume Ventilation to Improve Catheter Stability During Atrial Fibrillation Ablation. JACC Clin. Electrophysiol. 2019, 5, 1224–1226. [Google Scholar] [CrossRef]
- Falasconi, G.; Penela, D.; Soto-Iglesias, D.; Jáuregui, B.; Chauca, A.; Antonio, R.S.; Ordoñez, A.; Teres, C.; Carreño, J.M.; Scherer, C.; et al. A standardized stepwise zero-fluoroscopy approach with transesophageal echocardiography guidance for atrial fibrillation ablation. J. Interv. Card. Electrophysiol. 2022, 64, 629–639. [Google Scholar] [CrossRef] [PubMed]
- Donal, E.; Lip, G.Y.; Galderisi, M.; Goette, A.; Shah, D.; Marwan, M.; Lederlin, M.; Mondillo, S.; Edvardsen, T.; Sitges, M.; et al. EACVI/EHRA Expert Consensus Document on the role of multi-modality imaging for the evaluation of patients with atrial fibrillation. Eur. Heart J. Cardiovasc. Imaging 2016, 17, 355–383. [Google Scholar] [CrossRef] [PubMed]
- Pappone, C.; Vicedomini, G.; Manguso, F.; Gugliotta, F.; Mazzone, P.; Gulletta, S.; Sora, N.; Sala, S.; Marzi, A.; Augello, G.; et al. Robotic magnetic navigation for atrial fibrillation ablation. J. Am. Coll. Cardiol. 2006, 47, 1390–1400. [Google Scholar] [CrossRef] [PubMed]
- Chun, K.R.; Wissner, E.; Koektuerk, B.; Konstantinidou, M.; Schmidt, B.; Zerm, T.; Metzner, A.; Tilz, R.; Boczor, S.; Fuernkranz, A.; et al. Remote-controlled magnetic pulmonary vein isolation using a new irrigated-tip catheter in patients with atrial fibrillation. Circ. Arrhythm. Electrophysiol. 2010, 3, 458–464. [Google Scholar] [CrossRef] [PubMed]
- Taghji, P.; El Haddad, M.; Phlips, T.; Wolf, M.; Knecht, S.; Vandekerckhove, Y.; Tavernier, R.; Nakagawa, H.; Duytschaever, M. Evaluation of a Strategy Aiming to Enclose the Pulmonary Veins With Contiguous and Optimized Radiofrequency Lesions in Paroxysmal Atrial Fibrillation: A Pilot Study. JACC Clin. Electrophysiol. 2018, 4, 99–108. [Google Scholar] [CrossRef] [PubMed]
- Pambrun, T.; Combes, S.; Sousa, P.; Bloa, M.L.; El Bouazzaoui, R.; Grand-Larrieu, D.; Thompson, N.; Martin, R.; Combes, N.; Boveda, S.; et al. Contact-force guided single-catheter approach for pulmonary vein isolation: Feasibility, outcomes, and cost-effectiveness. Heart Rhythm. 2017, 14, 331–338. [Google Scholar] [CrossRef]
- January, C.T.; Wann, L.S.; Alpert, J.S.; Calkins, H.; Cigarroa, J.E.; Cleveland, J.C.; Conti, J.B.; Ellinor, P.T.; Ezekowitz, M.D.; Field, M.E.; et al. 2014 AHA/ACC/HRS guideline for the management of patients with atrial fibrillation: Executive summary: A report of the American College of Cardiology/American Heart Association Task Force on practice guidelines and the Heart Rhythm Society. Circulation 2014, 130, 2071–2104. [Google Scholar] [CrossRef] [PubMed]
- Rosa, G.; Quintanilla, J.G.; Salgado, R.; González-Ferrer, J.J.; Cañadas-Godoy, V.; Pérez-Villacastín, J.; Pérez-Castellano, N.; Jalife, J.; Filgueiras-Rama, D. Mapping Technologies for Catheter Ablation of Atrial Fibrillation Beyond Pulmonary Vein Isolation. Eur. Cardiol. 2021, 16, e21. [Google Scholar] [CrossRef]
- Rolf, S.; Kircher, S.; Arya, A.; Eitel, C.; Sommer, P.; Richter, S.; Gaspar, T.; Bollmann, A.; Altmann, D.; Piedra, C.; et al. Tailored atrial substrate modification based on low-voltage areas in catheter ablation of atrial fibrillation. Circ. Arrhythm. Electrophysiol. 2014, 7, 825–833. [Google Scholar] [CrossRef] [PubMed]
- Huo, Y.; Gaspar, T.; Schönbauer, R.; Wójcik, M.; Fiedler, L.; Roithinger, F.X.; Martinek, M.; Pürerfellner, H.; Kirstein, B.; Richter, U.; et al. Low-Voltage Myocardium-Guided Ablation Trial of Persistent Atrial Fibrillation. NEJM Evid. 2022, 1, EVIDoa2200141. [Google Scholar] [CrossRef] [PubMed]
- Smith, J.G.; Newton-Cheh, C.; Almgren, P.; Struck, J.; Morgenthaler, N.G.; Bergmann, A.; Platonov, P.G.; Hedblad, B.; Engström, G.; Wang, T.J.; et al. Assessment of conventional cardiovascular risk factors and multiple biomarkers for the prediction of incident heart failure and atrial fibrillation. J. Am. Coll. Cardiol. 2010, 56, 1712–1719. [Google Scholar] [CrossRef] [PubMed]
- Lepillier, A.; Maggio, R.; De Sanctis, V.; Malacrida, M.; Stabile, G.; Zakine, C.; Champ-Rigot, L.; Anselmino, M.; Segreti, L.; Dell, G.; et al. Insight into contact force local impedance technology for predicting effective pulmonary vein isolation. Front. Cardiovasc. Med. 2023, 10, 1169037. [Google Scholar] [CrossRef]









| Total (n = 60) | PAF (n = 40) | PsAF (n = 20) | |
|---|---|---|---|
| Male | 51 (85%) | 33 (82.5%) | 18 (90%) |
| Age | 58.95 ± 11.97 | 59.61 ± 10.07 | 56.66 ± 17.63 |
| BMI | 26.88 ± 4.02 | 27.3 ± 3.85 | 25.68 ± 4.63 |
| HF | 12 (20%) | 9 (22.5%) | 3 (15%) |
| CAD | 1 (1.6%) | 1 (2.5%) | 0 (0%) |
| Hypertension | 24 (40%) | 17 (42.5%) | 7 (35%) |
| DM | 5 (8.3%) | 2 (5%) | 3 (15%) |
| CKD (eGFR < 60 mL/min/1.73 m2) | 0 (0%) | 0 (0%) | 0 (0%) |
| OSAS | 3 | 1 | 2 |
| Dyslipidemia | 18 (30%) | 12 (30%) | 6 (30%) |
| LVEF, % | 52.37 ± 9.33 | 51.68 ± 9.80 | 54.78 ± 7.51 |
| LAVi, mL/m2 | 36.89 ± 9.14 | 35.53 ± 9.50 | 51 ± 6.06 |
| Amiodarone assumption | 11 (18.3%) | 9 (22.5%) | 2 (10%) |
| Class IC antiarrhythmic assumption | 12 (20%) | 10 (25%) | 2 (10%) |
| LA Segments of Patients with Paroxysmal Atrial Fibrillation | |||||
|---|---|---|---|---|---|
| Anterior Wall (n = 40) | Septum (n = 40) | Roof (n = 40) | Posterior Wall (n = 40) | LAA (n = 40) | |
| Voltage (mV) | 1.49 ± 0.88 | 1.69 ± 0.86 | 2.32 ± 1.21 | 2.07 ± 1.21 | 1.83 ± 1.12 |
| Impedance (Ohm) | 138.5 ± 7.2 | 143.6 ± 7.5 | 146.6 ± 8.7 | 141.3 ± 5.6 | 140.1 ± 6.9 |
| Atrial Thickness (mm) | 2.09 ± 0.27 | 2.46 ± 0.49 | 2.31 ± 0.35 | 2.30 ± 0.37 | 1.97 ± 0.34 |
| LA Segments of Patients with Persistent Atrial Fibrillation | |||||
|---|---|---|---|---|---|
| Anterior Wall (n = 20) | Septum (n = 20) | Roof (n = 20) | Posterior Wall (n = 20) | LAA (n = 20) | |
| Voltage (mV) | 0.63 ± 0.39 | 0.99 ± 0.55 | 1.24 ± 0.64 | 0.92 ± 0.55 | 1.03 ± 0.75 |
| Impedance (Ohm) | 129.8 ± 6.1 | 134.8 ± 7.7 | 141.0 ± 9.2 | 134.5 ± 4.9 | 132.1 ± 7.0 |
| Left Atrial Wall Thickness (mm) | 2.05 ± 0.30 | 2.22 ± 0.28 | 2.16 ± 0.23 | 2.25 ± 0.35 | 1.95 ± 0.36 |
Disclaimer/Publisher’s Note: The statements, opinions and data contained in all publications are solely those of the individual author(s) and contributor(s) and not of MDPI and/or the editor(s). MDPI and/or the editor(s) disclaim responsibility for any injury to people or property resulting from any ideas, methods, instructions or products referred to in the content. |
© 2024 by the authors. Licensee MDPI, Basel, Switzerland. This article is an open access article distributed under the terms and conditions of the Creative Commons Attribution (CC BY) license (https://creativecommons.org/licenses/by/4.0/).
Share and Cite
Taormina, A.; Grossi, B.; Ragaini, E.M.; Falasconi, G.; Penela, D.; Ceriotti, C.; Poggio, L.; Galimberti, P.; Latini, A.C.; Carli, S.; et al. Correlation Between Voltage and Impedance Mapping in Patients with Atrial Fibrillation. J. Clin. Med. 2025, 14, 130. https://doi.org/10.3390/jcm14010130
Taormina A, Grossi B, Ragaini EM, Falasconi G, Penela D, Ceriotti C, Poggio L, Galimberti P, Latini AC, Carli S, et al. Correlation Between Voltage and Impedance Mapping in Patients with Atrial Fibrillation. Journal of Clinical Medicine. 2025; 14(1):130. https://doi.org/10.3390/jcm14010130
Chicago/Turabian StyleTaormina, Antonio, Benedetta Grossi, Elisa Maria Ragaini, Giulio Falasconi, Diego Penela, Carlo Ceriotti, Luca Poggio, Paola Galimberti, Alessia Chiara Latini, Sebastiano Carli, and et al. 2025. "Correlation Between Voltage and Impedance Mapping in Patients with Atrial Fibrillation" Journal of Clinical Medicine 14, no. 1: 130. https://doi.org/10.3390/jcm14010130
APA StyleTaormina, A., Grossi, B., Ragaini, E. M., Falasconi, G., Penela, D., Ceriotti, C., Poggio, L., Galimberti, P., Latini, A. C., Carli, S., Del Monaco, G., Chiarito, M., Sticchi, A., Giunti, F., Antonelli, G., Preda, A., Guarracini, F., Mazzone, P., & Condorelli, G. (2025). Correlation Between Voltage and Impedance Mapping in Patients with Atrial Fibrillation. Journal of Clinical Medicine, 14(1), 130. https://doi.org/10.3390/jcm14010130

