Sign in to use this feature.

Years

Between: -

Subjects

remove_circle_outline
remove_circle_outline
remove_circle_outline
remove_circle_outline
remove_circle_outline
remove_circle_outline
remove_circle_outline

Journals

Article Types

Countries / Regions

remove_circle_outline
remove_circle_outline
remove_circle_outline
remove_circle_outline
remove_circle_outline

Search Results (288)

Search Parameters:
Keywords = persistent atrial fibrillation

Order results
Result details
Results per page
Select all
Export citation of selected articles as:
15 pages, 636 KB  
Article
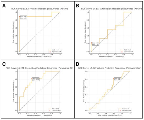
Predictive Value of Epicardial Adipose Tissue Parameters Measured by Cardiac Computed Tomography for Recurrence of Atrial Fibrillation After Pulmonary Vein Isolation
by Karol Momot, Michal Pruc, Dariusz Rodkiewicz, Edward Koźluk, Kamil Krauz, Agnieszka Piątkowska, Zuzanna Zalewska, Małgorzata Buksińska-Lisik, Lukasz Szarpak and Artur Mamcarz
J. Clin. Med. 2025, 14(19), 6963; https://doi.org/10.3390/jcm14196963 - 1 Oct 2025
Abstract
Background: Despite advances in ablation strategies, a substantial proportion of patients with atrial fibrillation (AF) experience arrhythmia recurrence, highlighting the need for improved preprocedural risk stratification. One of the emerging factors associated with arrhythmogenic remodeling is epicardial adipose tissue (EAT), particularly in the [...] Read more.
Background: Despite advances in ablation strategies, a substantial proportion of patients with atrial fibrillation (AF) experience arrhythmia recurrence, highlighting the need for improved preprocedural risk stratification. One of the emerging factors associated with arrhythmogenic remodeling is epicardial adipose tissue (EAT), particularly in the proximity of the left atrium (LA), due to its metabolic and inflammatory activity. Methods: This study investigated whether preprocedural assessment of EAT parameters on computed tomography (CT), including volume, mean attenuation, and attenuation dispersion, could predict AF recurrence following ablation. Seventy patients with AF underwent either pulsed field or cryoballoon ablation and were followed for 18 months. Results: Recurrence of AF occurred in 26 (37.1%) patients. Both higher LA-EAT attenuation (OR 1.09; 95% CI: 1.02–1.17) and greater total-EAT volume (OR 2.41; 95% CI: 1.16–4.99) were independently associated with arrhythmia recurrence. Subgroup analysis revealed that LA-EAT volume was highly predictive of recurrence in patients with persistent AF (AUC = 0.91), whereas LA-EAT attenuation demonstrated greater prognostic value in those with paroxysmal AF (AUC = 0.80). Conclusions: These findings suggest that quantitative evaluation of EAT using routine cardiac CT may enhance risk stratification before ablation. Full article
(This article belongs to the Special Issue Catheter Ablation of Atrial Fibrillation: Advances and Challenges)
Show Figures

Figure 1

15 pages, 1083 KB  
Perspective
Atrial Fibrillation Ablation After Three Decades: Mechanistic Insight or Just a Technological Race?
by Giulia Spiriti, Antonio Scarà, Alessio Borrelli, Federico Zanin, Leonardo Pignalosa, Lorenzo Buzzelli, Zefferino Palamà, Antonio Gianluca Robles, Martina Nesti and Luigi Sciarra
J. Clin. Med. 2025, 14(18), 6601; https://doi.org/10.3390/jcm14186601 - 19 Sep 2025
Viewed by 228
Abstract
Atrial fibrillation (AF) is the most common sustained supraventricular arrhythmia, affecting 2–3% of the adult population and contributing significantly to morbidity, mortality, and healthcare burden. Catheter ablation has become a cornerstone in the treatment of symptomatic, drug-refractory AF, with pulmonary vein isolation (PVI) [...] Read more.
Atrial fibrillation (AF) is the most common sustained supraventricular arrhythmia, affecting 2–3% of the adult population and contributing significantly to morbidity, mortality, and healthcare burden. Catheter ablation has become a cornerstone in the treatment of symptomatic, drug-refractory AF, with pulmonary vein isolation (PVI) established as the standard approach, especially in paroxysmal AF. Over the past three decades, ablation technologies have evolved considerably—from radiofrequency and cryoballoon to the recent advent of pulsed field ablation—enhancing procedural safety, efficiency, and lesion durability. Despite these technological advancements, long-term outcomes have plateaued, suggesting that success may depend not just solely on the energy source used, but also on a more individualized, mechanism-based approach. The classification of AF based on duration alone fails to capture the complexity of its underlying pathophysiology. Tailored strategies that consider arrhythmic mechanisms, electrophysiological triggers, and patient-specific substrates—especially in persistent AF—are increasingly recognized as essential for durable results. Tools such as high-density mapping, autonomic modulation, and substrate-targeted ablation are expanding therapeutic horizons. Moreover, special populations, such as athletes, present unique arrhythmic profiles influenced by structural and autonomic remodeling, requiring nuanced management. The integration of lifestyle interventions, neuromodulation techniques, and emerging genetic and pharmacological insights further supports a comprehensive, personalized approach. In this paper, we explore whether future success in AF ablation lies more in refining technology or in advancing our understanding of arrhythmic mechanisms to guide patient-specific therapy. Full article
(This article belongs to the Section Cardiology)
Show Figures

Figure 1

12 pages, 844 KB  
Article
Multimodal Evaluation of Arrhythmogenic Substrate Predicts Atrial Fibrosis and Atrial Fibrillation Recurrence After Catheter Ablation
by Ioan-Alexandru Minciună, Raluca Tomoaia, Patricia Vajda, Nicoleta Cosmina Hart, Renata Paula Agoston, Tudor Cornea, Georgiana Alexandra Birsan, Andreea-Maria Linul, Gabriel Cismaru, Mihai Puiu, Radu Ovidiu Roșu, Gelu Simu and Dana Pop
J. Clin. Med. 2025, 14(18), 6414; https://doi.org/10.3390/jcm14186414 - 11 Sep 2025
Viewed by 329
Abstract
Background/Objectives: For many years, catheter ablation (CA) has been a cornerstone in atrial fibrillation (AF) rhythm control therapy; however, recurrence remains common. Multiple parameters have been proposed to quantify AF arrhythmogenic substrate, yet reliable predictors of long-term outcomes are lacking. To assess [...] Read more.
Background/Objectives: For many years, catheter ablation (CA) has been a cornerstone in atrial fibrillation (AF) rhythm control therapy; however, recurrence remains common. Multiple parameters have been proposed to quantify AF arrhythmogenic substrate, yet reliable predictors of long-term outcomes are lacking. To assess the value of non-invasive amplified P-wave duration (PWD), echocardiographic parameters, biomarkers, and electroanatomical mapping (EAM) were used in predicting left atrial (LA) fibrosis and arrhythmia recurrence after CA. Methods: We included 196 patients undergoing first CA for paroxysmal or persistent AF. Amplified 12-lead ECG PWD parameters [Pmax, Pmin and left atrial P-wave (LAP)], echocardiographic parameters, and biomarkers were assessed pre-procedure. We measured low-voltage areas (LVA, 0.2–0.5 mV) on high-density voltage EAM during sinus rhythm as a surrogate of fibrosis. Freedom from arrhythmia was evaluated at 6 and 12 months. Results: Patients with LVA on EAM had prolonged Pmax (148 vs. 135 ms, p < 0.0001), Pmin (111 vs. 101.5 ms, p = 0.0001), LAP (73.5 vs. 55.5 ms, p < 0.0001), larger LA diameter (p = 0.0002), area (p = 0.0365) and volume (p = 0.004), higher E/E’ (p = 0.0007) and E/A ratios (p = 0.037), more mitral regurgitation (p = 0.0315), and higher pro-BNP levels (p = 0.0094). Univariate analysis showed 12-month recurrence rates higher with greater Pmax, Pmin, LAP, LVA presence and extent; however, in multivariate analysis, only P-wave parameters remained independently associated with recurrence. Conclusions: Prolonged PWD parameters strongly reflect LA substrate (Pmax, Pmin) and independently predict post-ablation AF recurrence (Pmax, Pmin, and LAP). LA size, diastolic dysfunction, and mitral regurgitation were associated with LA fibrosis, while pro-BNP was associated with both fibrosis and arrhythmia recurrence. Integrating these simple, non-invasive markers into a multimodal assessment alongside EAM could improve pre-procedural risk stratification and guide individualized ablation strategies. Full article
Show Figures

Figure 1

18 pages, 2338 KB  
Article
Hierarchical Multiattention Temporal Fusion Network for Dual-Task Atrial Fibrillation Subtyping and Early Risk Prediction
by Liang-Hung Wang, Jia-Wen Wang, Chao-Xin Xie, Zne-Jung Lee, Bing-Jie Cai, Tsung-Yi Chen, Shih-Lun Chen, Chiung-An Chen, Patricia Angela R. Abu and Tao Yang
Mathematics 2025, 13(17), 2872; https://doi.org/10.3390/math13172872 - 5 Sep 2025
Viewed by 511
Abstract
Atrial fibrillation (AF) is a common arrhythmia associated with major adverse cardiovascular events. Early detection and short-horizon risk prediction are therefore clinically critical. Prior attention-based electrocardiogram (ECG) models typically treated subtype classification and short-horizon onset risk prediction as separate tasks and optimized attention [...] Read more.
Atrial fibrillation (AF) is a common arrhythmia associated with major adverse cardiovascular events. Early detection and short-horizon risk prediction are therefore clinically critical. Prior attention-based electrocardiogram (ECG) models typically treated subtype classification and short-horizon onset risk prediction as separate tasks and optimized attention in only one representational dimension rather than in a coordinated hierarchy. We propose a hierarchical multiattention temporal fusion network (HMA-TFN). The proposed framework jointly integrates lead-level, morphology-level, and rhythm-level attention, enabling the model to simultaneously highlight diagnostically informative leads, capture waveform abnormalities, and characterize long-range temporal dependencies. Moreover, the model is trained for dual tasks—AF subtype classification and 30-min onset prediction. Experiments were conducted on three open-source databases and the Fuzhou University–Fujian Provincial Hospital (FZU-FPH) clinical database, comprising thousands of dual-lead ECG recordings from a diverse subject population. Experimental results show that HMA-TFN achieves 95.77% accuracy in classifying paroxysmal AF (PAAF) and persistent AF (PEAF), and 96.36% accuracy in predicting PAAF occurrence 30 min in advance. Ablations show monotonic gains as each attention level is added, delivering 14.0% accuracy over the baseline for subtyping and 5.2% for prediction. Grad-CAM visualization highlights clinically relevant features such as absent P-waves, confirming model interpretability. On the FZU-FPH clinical database, it achieves a generalization performance of 94.31%, demonstrating its strong potential for clinical application. Full article
(This article belongs to the Section E: Applied Mathematics)
Show Figures

Figure 1

16 pages, 2245 KB  
Article
Geographic Variation in Persistence of Oral Anticoagulant Treatment Among Patients with Non-Valvular Atrial Fibrillation in the United States
by Brett D. Atwater, Risho Singh, Ali Bonakdar, Dong Cheng, Serina Deeba, Samina Dhuliawala, Michelle Zhang and Elisabeth Vodicka
J. Clin. Med. 2025, 14(17), 6265; https://doi.org/10.3390/jcm14176265 - 5 Sep 2025
Viewed by 547
Abstract
Background/Objectives: Geographical variations in outcomes and oral anticoagulant (OAC) initiation among patients with nonvalvular atrial fibrillation (NVAF) in the United States (US) have been characterized; however, regional effects on OAC persistence are unknown. The study described variation in persistence with OACs among [...] Read more.
Background/Objectives: Geographical variations in outcomes and oral anticoagulant (OAC) initiation among patients with nonvalvular atrial fibrillation (NVAF) in the United States (US) have been characterized; however, regional effects on OAC persistence are unknown. The study described variation in persistence with OACs among patients with NVAF across different US regions. Methods: The Komodo Healthcare Map was used to evaluate adult patients with NVAF, elevated stroke risk, and ≥1 pharmacy claim for an OAC between 1 January 2015 and 31 August 2022. Patients initiating treatment with an OAC (treatment-naïve) and having ≥12 months continuous enrollment were included. Persistence rates were assessed at 6, 9, 12 and 18 months among OAC- and direct OAC (DOAC)-naïve patients by 3-digit zip codes. Results: Of the 260,001 (Northeast = 72,507, Midwest = 59,979, South = 83,880, West = 42,778, Other/Unknown = 857) OAC-naïve patients identified, 82.2% were DOAC-naïve while 17.8% initiated warfarin. Mean follow-up time was 1101 (median = 964) and 1073 days (median = 938) in OAC and DOAC cohorts, respectively, while mean time to discontinuation was 342 (median = 190) and 329 days (median = 181), respectively. At 12 months, persistence rates ranged from 40.3% to 78.8% for OAC-naïve patients and 40.6% to 81.4% for DOAC-naïve patients. Average OAC and DOAC 12-month persistence rates were highest in the Northeast (63.5% and 63.7%, respectively) and lowest in the South (57.1% and 56.9%, respectively). Conclusions: Variations in 12-month persistence were consistent with existing evidence on geographic variation in NVAF-related disease burden and treatment initiation. Understanding geographic trends in prescribing patterns may provide insights into differences in treatment persistence that are relevant for clinicians seeking to address real-world barriers to care. Full article
(This article belongs to the Section Cardiology)
Show Figures

Figure 1

11 pages, 3689 KB  
Case Report
Combined Cardiac Arrhythmias Leading to Electrical Chaos Developed in the Convalescent Phase of SARS-CoV-2 Infection: A Case Report and Literature Review
by Emilie Han, Ena Hasimbegovic, Robert Schönbauer, Dietrich Beitzke and Mariann Gyöngyösi
J. Clin. Med. 2025, 14(17), 6053; https://doi.org/10.3390/jcm14176053 - 27 Aug 2025
Viewed by 616
Abstract
Background: Acute SARS-CoV-2 infection may induce cardiac arrhythmias associated with viral myocarditis, which typically disappear in the convalescent phase after healing of the myocardial inflammation. Methods: We report the case of a 37-year-old woman with a childhood history of atrial septal [...] Read more.
Background: Acute SARS-CoV-2 infection may induce cardiac arrhythmias associated with viral myocarditis, which typically disappear in the convalescent phase after healing of the myocardial inflammation. Methods: We report the case of a 37-year-old woman with a childhood history of atrial septal defect repair and stable normofrequent atrial rhythm, who presented two months post-COVID-19 with palpitations and dizziness. Diagnostic evaluation included cardiac magnetic resonance imaging (CMR), 24 h Holter electrocardiogram (ECG) monitoring, and laboratory assessments over a 3-year period. Results: CMR suggested subacute myocarditis, and Holter ECG revealed multiple discernible complex cardiac arrhythmias including atrial bradycardia, intermittent junctional rhythm (JR), atrial fibrillation (AF), and non-sustained ventricular tachycardia. Laboratory results showed a moderate but transient increase in lactate dehydrogenase, persistently mildly elevated N-terminal pro–B-type natriuretic peptide (NT-proBNP), and immunoglobulin A (IgA), with all other cardiac, inflammatory, immunologic, and organ function parameters remaining normal. In spite of chaotic cardiac rhythm with alternating JR, AF, and atrial normofrequent rhythm with frequent blocked supraventricular beats and increasing atrioventricular conduction time, no therapeutic intervention was necessary during follow-up, and a conservative treatment approach was agreed with the patient. Two years post-COVID-19 infection, the patient returned to a normofrequent atrial rhythm with a markedly prolonged PQ time (500 ms) and a different P wave morphology compared to pre-COVID, without other rhythm disturbances. Conclusions: This case demonstrates a rare pattern of post-viral arrhythmias first emerging in the convalescent phase and resolving spontaneously after two years. It underscores the need for long-term rhythm surveillance following COVID-19, even in patients with prior structural heart disease and a stable baseline rhythm. Full article
Show Figures

Figure 1

8 pages, 1681 KB  
Case Report
A Case of Success: Guidelines-Based Treatment to Control Atrial Fibrillation-Induced Cardiomyopathy—Atrioventricular Node Ablation and Cardiac Resynchronization Therapy to the Rescue
by Neda Jonaitienė, Grytė Ramantauskaitė and Jolanta Laukaitienė
Reports 2025, 8(3), 150; https://doi.org/10.3390/reports8030150 - 20 Aug 2025
Viewed by 644
Abstract
Background and Clinical Significance: Heart failure with reduced ejection fraction (HFrEF) and atrial fibrillation (AF) frequently coexist, creating a complex clinical interplay that exacerbates morbidity and mortality. AF can directly precipitate or worsen HFrEF through mechanisms such as tachycardia-induced cardiomyopathy, loss of [...] Read more.
Background and Clinical Significance: Heart failure with reduced ejection fraction (HFrEF) and atrial fibrillation (AF) frequently coexist, creating a complex clinical interplay that exacerbates morbidity and mortality. AF can directly precipitate or worsen HFrEF through mechanisms such as tachycardia-induced cardiomyopathy, loss of atrial contribution to ventricular filling, and irregular ventricular response. The use of evidence-based therapies improves clinical outcomes in patients with HFrEF. Case Presentation: We present a clinical case of a 58-year-old man with left bundle branch block (LBBB), tachysystolic AF, and the aforementioned induced HFrEF. The patient’s medical treatment was optimized according to recent guidelines. Subsequent to the improvements in HF treatment, the patient’s echocardiographic data showed a higher left ventricle ejection fraction (LVEF); however, it remained below 35%. Moreover, tachysystolia persisted and was not sufficiently controlled with medications. Therefore, an upgrade of the pacemaker to cardiac resynchronization therapy (CRT) following the destruction of the AV node was performed to control tachysystolic AF and worsening of HF. After the treatment adjustments, the patient’s symptoms regressed, and echocardiography showed improved LVEF up to 41%. Conclusions: This case highlights the successful identification and timely application of intensive heart rate control management and heart failure induced by AF treatment. Full article
Show Figures

Figure 1

26 pages, 2071 KB  
Review
Functional Mitral Regurgitation in the Transcatheter Era: Diagnostic and Therapeutic Pathways
by Francesca Maria Di Muro, Luigi Spadafora, Angela Buonpane, Francesco Leuzzi, Giulia Nardi, Eduardo Bossone, Giuseppe Biondi Zoccai, Tiziana Attisano, Francesco Meucci, Carlo Di Mario, Carmine Vecchione and Gennaro Galasso
J. Pers. Med. 2025, 15(8), 372; https://doi.org/10.3390/jpm15080372 - 13 Aug 2025
Viewed by 726
Abstract
Functional mitral regurgitation (FMR) is a common condition with significant prognostic implications, primarily driven by left atrial or ventricular remodeling secondary to ischemic or non-ischemic cardiomyopathies. While guideline-directed medical therapy (GDMT) remains the cornerstone of management, reducing mitral regurgitation severity in up to [...] Read more.
Functional mitral regurgitation (FMR) is a common condition with significant prognostic implications, primarily driven by left atrial or ventricular remodeling secondary to ischemic or non-ischemic cardiomyopathies. While guideline-directed medical therapy (GDMT) remains the cornerstone of management, reducing mitral regurgitation severity in up to 40–45% of cases, additional interventions are often necessary. In patients where atrial fibrillation (AF) or ventricular dyssynchrony due to abnormal electrical conduction contributes to disease progression, guideline-directed AF management or cardiac resynchronization therapy plays a pivotal role. For those with persistent moderate to severe MR and unresolved symptoms despite optimal GDMT, percutaneous intervention may be warranted, provided specific clinical and echocardiographic criteria are met. This review highlights a precision-medicine approach to patient selection for transcatheter treatment of functional mitral regurgitation (FMR), emphasizing the integration of clinical characteristics with advanced multimodal imaging, including echocardiography, cardiac magnetic resonance, and computed tomography. In anatomically or clinically complex cases, complementary use of these imaging modalities is essential to ensure accurate phenotyping and procedural planning. Once a suitable candidate for percutaneous intervention has been identified, we provide a detailed overview of current transcatheter strategies, with a focus on device selection tailored to anatomical and pathophysiological features. Finally, we discuss emerging technologies and evolving therapeutic paradigms that are shaping the future of individualized FMR management. Full article
Show Figures

Figure 1

13 pages, 1495 KB  
Article
Exploring Left Atrial Appendage Thrombi in Large Vessel Occlusion Stroke by Cardiac CT: Thrombus Features, LAA Characteristics and the Impact of Direct Oral Anticoagulation
by Karim Mostafa, Sarah Krutmann, Cosima Wünsche, Naomi Larsen, Alexander Seiler, Hatim Seoudy, Domagoj Schunk, Olav Jansen and Patrick Langguth
Neurol. Int. 2025, 17(8), 127; https://doi.org/10.3390/neurolint17080127 - 11 Aug 2025
Viewed by 437
Abstract
Background: Large vessel occlusion (LVO) strokes account for a significant proportion of ischemic strokes and are often cardioembolic in origin, particularly following atrial fibrillation (AF) with thrombus formation in the left atrial appendage (LAA). Although direct oral anticoagulation (DOAC) therapy reduces stroke risk [...] Read more.
Background: Large vessel occlusion (LVO) strokes account for a significant proportion of ischemic strokes and are often cardioembolic in origin, particularly following atrial fibrillation (AF) with thrombus formation in the left atrial appendage (LAA). Although direct oral anticoagulation (DOAC) therapy reduces stroke risk in AF, anatomical and flow-related factors may still allow thrombi to form and persist, revealing the limitations of anticoagulation in high-risk patients. Examining structural and hemodynamic factors contributing to thrombus persistence is essential for optimizing patient management. Methods: We retrospectively analyzed 169 AF patients with LVO stroke who underwent cardiac CT (cCT) during acute stroke assessment. Patients were categorized based on the presence or absence of persistent LAA thrombi and further stratified by DOAC status. LAA volume, blood stasis and left ventricular (LV) diameter were measured. Thrombi were assessed using Hounsfield Unit (HU) analysis to evaluate potential differences in thrombus composition. Logistic regression analysis was performed to identify independent predictors of thrombus persistence with adjustment for DOAC therapy. Results: Persistent LAA thrombi were identified in 23 patients (13.6%). Patients with thrombi had significantly higher rates of stasis (p = 0.004), larger left ventricular diameters (p = 0.0019) and higher LAA volumes (p = 0.004). When adjusted for DOAC therapy, larger LAA volume (OR 1.05, p = 0.011), presence of LAA stasis (OR 6.14, p = 0.013) and increased LV diameter (OR 1.06, p = 0.006) were independent predictors of thrombus persistence. Thrombus size and HU values did not differ significantly between DOAC and non-DOAC groups. Notably, 30.4% of patients with persistent thrombi were on adequate DOAC therapy. Conclusions: LAA volume, stasis and LV enlargement predict thrombus persistence in the LAA of AF patients with LVO stroke, even under adequate DOAC therapy. These findings highlight the potential need for alternative antithrombotic strategies, including interventional LAA occlusion, and warrant further investigation into individualized stroke prevention in high-risk AF populations. Full article
Show Figures

Graphical abstract

14 pages, 1388 KB  
Review
Cardiovascular Complications of COVID-19 Disease: A Narrative Review
by Andrea Denegri, Valeria Dall’Ospedale, Marco Covani, Michal Pruc, Lukasz Szarpak and Giampaolo Niccoli
Diseases 2025, 13(8), 252; https://doi.org/10.3390/diseases13080252 - 8 Aug 2025
Viewed by 1019
Abstract
Background: The coronavirus disease 2019 (COVID-19), caused by SARS-CoV-2, has had a profound impact on global health, extending beyond pulmonary complications. Cardiovascular involvement in COVID-19 is multifactorial and may be influenced by viral load, inflammatory response, and pre-existing comorbidities. Discussion: Acute complications include [...] Read more.
Background: The coronavirus disease 2019 (COVID-19), caused by SARS-CoV-2, has had a profound impact on global health, extending beyond pulmonary complications. Cardiovascular involvement in COVID-19 is multifactorial and may be influenced by viral load, inflammatory response, and pre-existing comorbidities. Discussion: Acute complications include myocardial injury, arrhythmias, acute coronary syndromes (ACS), heart failure, Takotsubo cardiomyopathy, myopericarditis, and cardiac arrest. Notably, atrial fibrillation (AF) emerges as a frequent arrhythmic complication, particularly among critically ill patients, and is associated with increased mortality. COVID-19-patients with concomitant ACS present more severe clinical profiles and higher rates of thrombotic events, including stent thrombosis. Cardiac arrest predominantly presents with non-shockable rhythms and is associated with dismal outcomes. COVID-19 also exacerbates heart failure, both by aggravating existing cardiac dysfunction or by precipitating de novo heart failure. Takotsubo cardiomyopathy and myocarditis, although less frequent, have been reported and are often underdiagnosed due to subtle clinical presentations. Right ventricular dysfunction, linked to pulmonary involvement, has emerged as a key prognostic marker. Post-COVID-19 syndrome include persistent cardiac abnormalities such as reduced ventricular function and myocardial inflammation. Cardiac magnetic resonance imaging and strain echocardiography have proven useful in identifying subclinical cardiac involvement. Conclusions: Early recognition and monitoring of cardiovascular complications are crucial for improving outcomes in patients affected by COVID-19. This review summarizes current evidence regarding cardiovascular manifestations associated with COVID-19. Full article
Show Figures

Figure 1

12 pages, 1873 KB  
Case Report
Adaptive Servo-Ventilation for Central Sleep Apnea in an Anemic Patient with Cardiac Disease: A Case Report
by Bianca Domokos-Gergely, Gabriel-Flaviu Brișan and Doina Todea
Reports 2025, 8(3), 140; https://doi.org/10.3390/reports8030140 - 7 Aug 2025
Viewed by 722
Abstract
Background and Clinical Significance: Obstructive sleep apnea (OSA) is a common comorbidity in patients with cardiac and metabolic disorders. The coexistence of central sleep apnea with Cheyne–Stokes breathing (CSA-CSB) in heart failure patients, especially those with preserved ejection fraction (HFpEF), represents a [...] Read more.
Background and Clinical Significance: Obstructive sleep apnea (OSA) is a common comorbidity in patients with cardiac and metabolic disorders. The coexistence of central sleep apnea with Cheyne–Stokes breathing (CSA-CSB) in heart failure patients, especially those with preserved ejection fraction (HFpEF), represents a diagnostic and therapeutic challenge. Data on continuous positive airway pressure (CPAP) failure and successful adaptation to servo-ventilation (ASV) in the context of complex comorbidities remain limited. Case Presentation: We present the case of a 74-year-old male with a history of type 2 diabetes mellitus, paroxysmal atrial fibrillation, HFpEF, essential hypertension, and bladder carcinoma. He was referred for pre-operative OSA screening, reporting excessive daytime sleepiness, insomnia, and witnessed apneas. Initial respiratory polygraphy revealed severe sleep-disordered breathing with dominant CSA-CSB and moderate OSA. Laboratory investigations also revealed severe iron-deficiency anemia, which was managed with parenteral iron supplementation. The patient underwent CPAP titration, which led to modest improvement and residual high apnea–hypopnea index (AHI). After persistent symptoms and an inadequate CPAP response, an ASV device was initiated with significant clinical and respiratory improvement, demonstrating normalization of hypoxic burden and optimal adherence. Conclusions: CSA-CSB in HFpEF patients with anemia poses unique therapeutic difficulties. This case highlights the importance of individualized diagnostic and therapeutic strategies, including transitioning to ASV in CPAP-refractory cases, which can lead to improved adherence, reduced hypoxia, and better overall outcomes in high-risk patients. Full article
Show Figures

Figure 1

14 pages, 1252 KB  
Article
Non-Invasive Prediction of Atrial Fibrosis Using a Regression Tree Model of Mean Left Atrial Voltage
by Javier Ibero, Ignacio García-Bolao, Gabriel Ballesteros, Pablo Ramos, Ramón Albarrán-Rincón, Leire Moriones, Jean Bragard and Inés Díaz-Dorronsoro
Biomedicines 2025, 13(8), 1917; https://doi.org/10.3390/biomedicines13081917 - 6 Aug 2025
Viewed by 455
Abstract
Background: Atrial fibrosis is a key contributor to atrial cardiomyopathy and can be assessed invasively using mean left atrial voltage (MLAV) from electroanatomical mapping. However, the invasive nature of this procedure limits its clinical applicability. Machine learning (ML), particularly regression tree-based models, [...] Read more.
Background: Atrial fibrosis is a key contributor to atrial cardiomyopathy and can be assessed invasively using mean left atrial voltage (MLAV) from electroanatomical mapping. However, the invasive nature of this procedure limits its clinical applicability. Machine learning (ML), particularly regression tree-based models, may offer a non-invasive approach for predicting MLAV using clinical and echocardiographic data, improving non-invasive atrial fibrosis characterisation beyond current dichotomous classifications. Methods: We prospectively included and followed 113 patients with paroxysmal or persistent atrial fibrillation (AF) undergoing pulmonary vein isolation (PVI) with ultra-high-density voltage mapping (uHDvM), from whom MLAV was estimated. Standardised two-dimensional transthoracic echocardiography was performed before ablation, and clinical and echocardiographic variables were analysed. A regression tree model was constructed using the Classification and Regression Trees—CART-algorithm to identify key predictors of MLAV. Results: The regression tree model exhibited moderate predictive accuracy (R2 = 0.63; 95% CI: 0.55–0.71; root mean squared error = 0.90; 95% CI: 0.82–0.98), with indexed minimum LA volume and passive emptying fraction emerging as the most influential variables. No significant differences in AF recurrence-free survival were found among MLAV tertiles or model-based generated groups (log-rank p = 0.319 and p = 0.126, respectively). Conclusions: We present a novel ML-based regression tree model for non-invasive prediction of MLAV, identifying minimum LA volume and passive emptying fraction as the most significant predictors. This model offers an accessible, non-invasive tool for refining atrial cardiomyopathy characterisation by reflecting the fibrotic substrate as a continuum, a crucial advancement over existing dichotomous approaches to guide tailored therapeutic strategies. Full article
Show Figures

Graphical abstract

15 pages, 2903 KB  
Article
Electrophysiological Substrate and Pulmonary Vein Reconnection Patterns in Recurrent Atrial Fibrillation: Comparing Thermal Strategies in Patients Undergoing Redo Ablation
by Krisztian Istvan Kassa, Adwity Shakya, Zoltan Som, Csaba Foldesi and Attila Kardos
J. Cardiovasc. Dev. Dis. 2025, 12(8), 298; https://doi.org/10.3390/jcdd12080298 - 2 Aug 2025
Viewed by 573
Abstract
Background: The influence of the initial ablation modality on pulmonary vein (PV) reconnection and substrate characteristics in redo procedures for recurrent atrial fibrillation (AF) remains unclear. We assessed how different thermal strategies—ablation index (AI)-guided radiofrequency (RF) versus cryoballoon (CB) ablation—affect remapping findings during [...] Read more.
Background: The influence of the initial ablation modality on pulmonary vein (PV) reconnection and substrate characteristics in redo procedures for recurrent atrial fibrillation (AF) remains unclear. We assessed how different thermal strategies—ablation index (AI)-guided radiofrequency (RF) versus cryoballoon (CB) ablation—affect remapping findings during redo pulmonary vein isolation (PVI). Methods: We included patients undergoing redo ablation between 2015 and 2024 with high-density electroanatomic mapping. Initial PVI modalities were retrospectively classified as low-power, long-duration (LPLD) RF; high-power, short-duration (HPSD) RF; or second-/third-generation CB. Reconnection sites were mapped using multielectrode catheters. Redo PVI was performed using AI-guided RF. Segments showing PV reconnection were reisolated; if all PVs remained isolated and AF persisted, posterior wall isolation was performed. Results: Among 195 patients (LPLD: 63; HPSD: 30; CB: 102), complete PVI at redo was observed in 0% (LPLD), 23.3% (HPSD), and 10.1% (CB) (p < 0.01 for LPLD vs. HPSD). Reconnection patterns varied by technique; LPLD primarily affected the right carina, while HPSD and CB showed reconnections at the LSPV ridge. Organized atrial tachycardia was least frequent after CB (12.7%, p < 0.002). Conclusion: Initial ablation strategy significantly influences PV reconnection and post-PVI arrhythmia patterns, with implications for redo procedure planning. Full article
(This article belongs to the Special Issue Atrial Fibrillation: New Insights and Perspectives)
Show Figures

Graphical abstract

15 pages, 651 KB  
Article
The Impact of Comorbidities on Pulmonary Function Measured by Spirometry in Patients After Percutaneous Cryoballoon Pulmonary Vein Isolation Due to Atrial Fibrillation
by Monika Różycka-Kosmalska, Marcin Kosmalski, Michał Panek, Alicja Majos, Izabela Szymczak-Pajor, Agnieszka Śliwińska, Jacek Kasznicki, Jerzy Krzysztof Wranicz and Krzysztof Kaczmarek
J. Clin. Med. 2025, 14(15), 5431; https://doi.org/10.3390/jcm14155431 - 1 Aug 2025
Viewed by 487
Abstract
Background/Objectives: Pulmonary vein isolation (PVI) via cryoballoon ablation (CBA) is a recommended therapeutic strategy for patients with symptomatic paroxysmal and persistent atrial fibrillation (AF) who are refractory to antiarrhythmic drugs. Although PVI has demonstrated efficacy in reducing AF recurrence and improving patients’ quality [...] Read more.
Background/Objectives: Pulmonary vein isolation (PVI) via cryoballoon ablation (CBA) is a recommended therapeutic strategy for patients with symptomatic paroxysmal and persistent atrial fibrillation (AF) who are refractory to antiarrhythmic drugs. Although PVI has demonstrated efficacy in reducing AF recurrence and improving patients’ quality of life, its impact on respiratory function is not well understood, particularly in patients with comorbid conditions. The aim of the study was to search for functional predictors of the respiratory system in the process of evaluating the efficiency of clinical assessment of CBA in patients with AF. Methods: We conducted a prospective study on 42 patients with symptomatic AF who underwent CBA, assessing their respiratory function through spirometry before and 30 days after the procedure. Exclusion criteria included pre-existing lung disease and cardiac insufficiency. The impact of variables such as body mass index (BMI), coronary artery disease (CAD) and heart failure (HF) on spirometry parameters was analyzed using statistical tests. Results: No significant changes were observed in overall post-PVI spirometry parameters for the full cohort. However, post hoc analyses revealed a significant decline in ΔMEF75 in patients with CAD and BMI ≥ 30 kg/m2, whereas ΔFEV1/FVCex was significantly increased in patients with HF, as well as in patients with ejection fraction (EF) < 50%. Conclusions: CBA for AF does not universally affect respiratory function in the short term, but specific subgroups, including patients with CAD and a higher BMI, may require post-procedure respiratory monitoring. In addition, PVI may improve lung function in patients with HF and reduced EF. Full article
(This article belongs to the Special Issue Clinical Aspects of Cardiac Arrhythmias and Arrhythmogenic Disorders)
Show Figures

Figure 1

11 pages, 261 KB  
Review
Minimally Invasive Surgical Strategies for the Treatment of Atrial Fibrillation: An Evolving Role in Contemporary Cardiac Surgery
by Luciana Benvegnù, Giorgia Cibin, Fabiola Perrone, Vincenzo Tarzia, Augusto D’Onofrio, Giovanni Battista Luciani, Gino Gerosa and Francesco Onorati
J. Cardiovasc. Dev. Dis. 2025, 12(8), 289; https://doi.org/10.3390/jcdd12080289 - 29 Jul 2025
Viewed by 687
Abstract
Atrial fibrillation remains the most frequent sustained arrhythmia, particularly in the elderly population, and is associated with increased risks of stroke, heart failure, and reduced quality of life. While catheter ablation is widely used for rhythm control, its efficacy is limited in persistent [...] Read more.
Atrial fibrillation remains the most frequent sustained arrhythmia, particularly in the elderly population, and is associated with increased risks of stroke, heart failure, and reduced quality of life. While catheter ablation is widely used for rhythm control, its efficacy is limited in persistent and long-standing atrial fibrillation. Over the past two decades, minimally invasive surgical strategies have emerged as effective alternatives, aiming to replicate the success of the Cox-Maze procedure while reducing surgical trauma. This overview critically summarizes the current minimally invasive techniques available for atrial fibrillation treatment, including mini-thoracotomy ablation, thoracoscopic ablation, and hybrid procedures such as the convergent approach. These methods offer the potential for durable sinus rhythm restoration by enabling direct visualization, transmural lesion creation, and left atrial appendage exclusion, with lower perioperative morbidity compared to traditional open surgery. The choice of energy source plays a key role in lesion efficacy and safety. Particular attention is given to the technical steps of each procedure, patient selection criteria, and the role of left atrial appendage closure in stroke prevention. Hybrid strategies, which combine epicardial surgical ablation with endocardial catheter-based procedures, have shown encouraging outcomes in patients with refractory or long-standing atrial fibrillation. Despite the steep learning curve, minimally invasive techniques provide significant benefits in terms of recovery time, reduced hospital stay, and fewer complications. As evidence continues to evolve, these approaches represent a key advancement in the surgical management of atrial fibrillation, deserving integration into contemporary treatment algorithms and multidisciplinary heart team planning. Full article
(This article belongs to the Special Issue Hybrid Ablation of the Atrial Fibrillation)
Show Figures

Graphical abstract

Back to TopTop