A Glimpse into the Role and Effectiveness of Splenectomy for Isolated Metachronous Spleen Metastasis of Colorectal Cancer Origin: Long-Term Survivals Can Be Achieved
Abstract
1. Introduction
2. Patients and Methods
2.1. Patients
2.2. Statistical Analysis
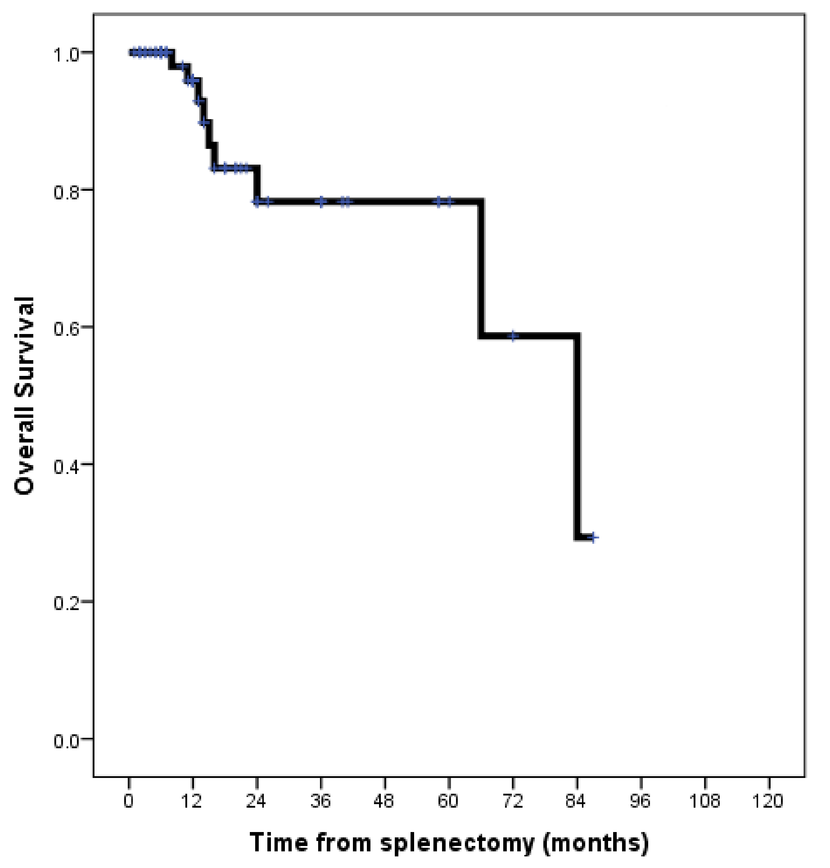
3. Results
4. Discussion
5. Conclusions
Supplementary Materials
Author Contributions
Funding
Institutional Review Board Statement
Informed Consent Statement
Data Availability Statement
Conflicts of Interest
References
- Siegel, R.L.; Giaquinto, A.N.; Jemal, A. Cancer Statistics, 2024. CA Cancer J. Clin. 2024, 74, 12–49. [Google Scholar] [CrossRef] [PubMed]
- Klimeck, L.; Heisser, T.; Hoffmeister, M.; Brenner, H. Colorectal Cancer: A Health and Economic Problem. Best Pract. Res. Clin. Gastroenterol. 2023, 66, 101839. [Google Scholar] [CrossRef] [PubMed]
- Siegel, R.L.; Wagle, N.S.; Cercek, A.; Smith, R.A.; Jemal, A. Colorectal Cancer Statistics, 2023. CA Cancer J. Clin. 2023, 73, 233–254. [Google Scholar] [CrossRef] [PubMed]
- Van Gestel, Y.R.B.M.; De Hingh, I.H.J.T.; Van Herk-Sukel, M.P.P.; Van Erning, F.N.; Beerepoot, L.V.; Wijsman, J.H.; Slooter, G.D.; Rutten, H.J.T.; Creemers, G.-J.M.; Lemmens, V.E.P.P. Patterns of Metachronous Metastases after Curative Treatment of Colorectal Cancer. Cancer Epidemiol. 2014, 38, 448–454. [Google Scholar] [CrossRef] [PubMed]
- Qiu, M.; Hu, J.; Yang, D.; Cosgrove, D.P.; Xu, R. Pattern of Distant Metastases in Colorectal Cancer: A SEER Based Study. Oncotarget 2015, 6, 38658–38666. [Google Scholar] [CrossRef] [PubMed]
- Van Der Geest, L.G.M.; Lam-Boer, J.; Koopman, M.; Verhoef, C.; Elferink, M.A.G.; De Wilt, J.H.W. Nationwide Trends in Incidence, Treatment and Survival of Colorectal Cancer Patients with Synchronous Metastases. Clin. Exp. Metastasis 2015, 32, 457–465. [Google Scholar] [CrossRef] [PubMed]
- Riihimäki, M.; Hemminki, A.; Sundquist, J.; Hemminki, K. Patterns of Metastasis in Colon and Rectal Cancer. Sci. Rep. 2016, 6, 29765. [Google Scholar] [CrossRef] [PubMed]
- Väyrynen, V.; Wirta, E.-V.; Seppälä, T.; Sihvo, E.; Mecklin, J.-P.; Vasala, K.; Kellokumpu, I. Incidence and Management of Patients with Colorectal Cancer and Synchronous and Metachronous Colorectal Metastases: A Population-Based Study. BJS Open 2020, 4, 685–692. [Google Scholar] [CrossRef] [PubMed]
- Wang, J.; Li, S.; Liu, Y.; Zhang, C.; Li, H.; Lai, B. Metastatic Patterns and Survival Outcomes in Patients with Stage IV Colon Cancer: A Population-based Analysis. Cancer Med. 2020, 9, 361–373. [Google Scholar] [CrossRef] [PubMed]
- Morris, V.K.; Kennedy, E.B.; Baxter, N.N.; Benson, A.B.; Cercek, A.; Cho, M.; Ciombor, K.K.; Cremolini, C.; Davis, A.; Deming, D.A.; et al. Treatment of Metastatic Colorectal Cancer: ASCO Guideline. J. Clin. Oncol. 2023, 41, 678–700. [Google Scholar] [CrossRef]
- Oweira, H.; Mehrabi, A.; Reissfelder, C.; Abdel-Rahman, O. A Real-World, Population-Based Analysis of the Outcomes of Colorectal Cancer Patients with Isolated Synchronous Liver or Lung Metastases Treated with Metastasectomy. World J. Surg. 2020, 44, 1604–1611. [Google Scholar] [CrossRef] [PubMed]
- Itenberg, E.R.; Lozano, A.M. Surgical and Interventional Management of Liver Metastasis. Clin. Colon Rectal Surg. 2024, 37, 80–84. [Google Scholar] [CrossRef]
- Holch, J.W.; Demmer, M.; Lamersdorf, C.; Michl, M.; Schulz, C.; Von Einem, J.C.; Modest, D.P.; Heinemann, V. Pattern and Dynamics of Distant Metastases in Metastatic Colorectal Cancer. Visc. Med. 2017, 33, 70–75. [Google Scholar] [CrossRef] [PubMed]
- Angelsen, J.-H.; Horn, A.; Sorbye, H.; Eide, G.E.; Løes, I.M.; Viste, A. Population-Based Study on Resection Rates and Survival in Patients with Colorectal Liver Metastasis in Norway. Br. J. Surg. 2017, 104, 580–589. [Google Scholar] [CrossRef] [PubMed]
- Bang, K.; Kim, J.E.; Kim, T.W.; Kim, S.Y.; Lim, S.; Park, I.J.; Kim, C.W.; Yoon, Y.S.; Hong, Y.S. Clinical Outcomes of Curative Surgical Resection of Peritoneal Metastasis in Patients with Colorectal Cancer: A Long-term Follow-up Study. Cancer Med. 2023, 12, 2861–2868. [Google Scholar] [CrossRef]
- Kim, J.C.; Jeong, C.S.; Kim, H.C.; Yu, C.S.; Kang, G.H.; Lee, M.G. Isolated Splenic Metastasis from Colorectal Carcinoma: A Case Report. J. Korean Med. Sci. 2000, 15, 355. [Google Scholar] [CrossRef]
- Fujita, N.; Shirai, Y.; Shimoda, S.; Yamai, K.; Hatakeyama, K. Clinical Significance of Splenectomy for Colorectal Cancer Metastases to the Spleen. Int. J. Clin. Oncol. 2000, 5, 121–125. [Google Scholar] [CrossRef]
- Okuyama, T. Isolated Splenic Metastasis of Sigmoid Colon Cancer: A Case Report. Jpn. J. Clin. Oncol. 2001, 31, 341–345. [Google Scholar] [CrossRef]
- Pisanu, A. Synchronous Isolated Splenic Metastasis from Colon Carcinoma and Concomitant Splenic Abscess: A Case Report and Review of the Literature. World J. Gastroenterol. 2007, 13, 5516. [Google Scholar] [CrossRef]
- Altaf, K.; Mckernan, G.; Skaife, P.; Slawik, S. Splenic Metastasis in Colorectal Cancer. Tech. Coloproctol. 2016, 20, 795–796. [Google Scholar] [CrossRef]
- Kurumiya, Y.; Kobayashi, S.; Sugawara, G. A Case of Long-Term Survival after Splenectomy for Metachronous Solitary Splenic Metastasis of Cecal Carcinoma:A Study of 75 Cases of Splenic Metastasis of Colon Cancer in Japan. J. Jpn. Soc. Coloproctol. 2019, 72, 215–219. [Google Scholar] [CrossRef][Green Version]
- Zhao, L.; Sui, M.; Li, J.; Zhang, K. Case Report of Isolated Synchronous Multiple Splenic Metastases from Rectal Cancer: A Case Report and Brief Review of the Literature. Medicine 2022, 101, e29613. [Google Scholar] [CrossRef]
- Inaba, S.; Tanaka, T.; Yamagishi, H.; Iguchi, K.; Kurioka, H.; Oka, T. A Case of Colon Cancer Metastasizing to the Spleen. Jpn. J. Clin. Oncol. 1984, 14, 425–430. [Google Scholar] [PubMed]
- Sauer, J.; Sobolewski, K.; Dommisch, K. Splenic Metastases—Not a Frequent Problem, but an Underestimate Location of Metastases: Epidemiology and Course. J. Cancer Res. Clin. Oncol. 2009, 135, 667–671. [Google Scholar] [CrossRef] [PubMed]
- Miller, J.N.; Milton, G.W. An Experimental Comparison between Tumour Growth in the Spleen and Liver. J. Pathol. 1965, 90, 515–521. [Google Scholar] [CrossRef]
- Dunbar, W.H.; Beahrs, O.H.; Morlock, C.G. Solitary Splenic Metastasis Incidental to Rectal Carcinoma: Report of a Case. Mayo Clin. Proc. 1969, 44, 40–45. [Google Scholar]
- Waller, R.M.; Fajman, W.A. An Unusual Cause of an Isolated, Focal Splenic Defect Demonstrated By Liver-Spleen Scintigraphy. Clin. Nucl. Med. 1982, 7, 5–7. [Google Scholar] [CrossRef]
- Slavin, J.D.; Mathews, J.; Spencer, R.P. Splenectomy for Splenic Metastasis from Carcinoma of Colon. Clin. Nucl. Med. 1986, 11, 491–492. [Google Scholar] [CrossRef]
- Capizzi, P.J.; Allen, K.B.; Amerson, J.R.; Skandalakis, J.E. Isolated Splenic Metastasis From Rectal Carcinoma. South. Med. J. 1992, 85, 1003–1005. [Google Scholar] [CrossRef]
- Thomas, S.M.; Fitzgerald, J.B.; Pollock, R.E.; Evans, D.B. Isolated Splenic Metastases from Colon Carcinoma. Eur. J. Surg. Oncol. 1993, 19, 485–490. [Google Scholar]
- Pedrazzoli, P.; Catona, A.; Pavesi, L.; Gossemberg, M.; Cuna, G.R.D. Splenic Metastases in Patients with Portal Hypertension. Eur. J. Cancer 1995, 31, 1885–1886. [Google Scholar] [CrossRef]
- Mainprize, K.S.; Berry, A.R. Solitary Splenic Metastasis from Colorectal Carcinoma. Br. J. Surg. 1997, 84, 70. [Google Scholar]
- Ishida, H.; Konno, K.; Ishida, J.; Shirayama, K.; Naganuma, H.; Komatsuda, T.; Hamashima, Y.; Masamune, O. Isolated Splenic Metastases. J. Ultrasound Med. 1997, 16, 743–749. [Google Scholar] [CrossRef]
- Indudhara, R.; Vogt, D.; Levin, H.S.; Church, J. Isolated Splenic Metastases From Colon Cancer. South. Med. J. 1997, 90, 633–636. [Google Scholar] [CrossRef]
- Weathers, K.B.; Modesto, V.L.; Gordon, D. Isolated Splenic Metastasis from Colorectal Carcinoma: Report of a Case and Review of the Literature. Dis. Colon Rectum 1999, 42, 1345–1348. [Google Scholar] [CrossRef]
- Achuthan, R.; Joseph, A.; Haray, P.N. Splenic Metastasis from a Rectal Tumour: An Unusual Presentation. Ann. R. Coll. Surg. Engl. 1999, 81, 139. [Google Scholar]
- Lee, S.S.; Morgenstern, L.; Phillips, E.H.; Hiatt, J.R.; Margulies, D.R. Splenectomy for Splenic Metastases: A Changing Clinical Spectrum. Am. Surg. 2000, 66, 837–840. [Google Scholar]
- Place, R.J. Isolated Colon Cancer Metastasis to the Spleen. Am. Surg. 2001, 67, 454–457. [Google Scholar]
- Genna, M.; Leopardi, F.; Valloncini, E.; Molfetta, M.; De Manzoni, G.; Castelli, A. Metachronus splenic metastasis of colon cancer. A case report. Minerva Chir. 2003, 58, 811–814. [Google Scholar]
- Hashemzadeh, S.; Safari, M. Solitary Splenic Metastasis of Colon Cancer: A Case Report. Acta Med. Iran. 2004, 42, 467–470. [Google Scholar]
- Pizzirusso, F.; Gillet, J.-P.; Fobe, D. Isolated Spleen Metastatic Involvement From a Colorectal Adenocarcinoma Complicated With a Gastrosplenic Fistula: A Case Report and Literature Review. Acta Chir. Belg. 2004, 104, 214–216. [Google Scholar] [CrossRef]
- Cavallaro, A.; Modugno, P.; Specchia, M.; Pontenza, A.E.; Loschiavo, V.; Colli, R.; Lauriola, L.; Barone, C. Isolated Splenic Metastasis from Colon Cancer. J. Exp. Clin. Cancer Res. 2004, 23, 143–146. [Google Scholar] [PubMed]
- Lobato, L.; Pérez-Lara, J.; Moreno, F.J.; Oliva, H. Metástasis Esplénica Metacrónica de Cáncer de Colon: Presentación de Un Caso Infrecuente. Rev. Española Enfermedades Dig. 2006, 98, 629–631. [Google Scholar] [CrossRef][Green Version]
- Avninder, S.; Bhatnagar, A.; Agrawal, U.; Saxena, S. Isolated Splenic Metastasis from Colorectal Mucinous Carcinoma. Int. J. Gastrointest. Cancer 2006, 37, 98–101. [Google Scholar] [CrossRef] [PubMed]
- Gencosmanoglu, R.; Aker, F.; Kir, G.; Tozun, N. Isolated Metachronous Splenic Metastasis from Synchronous Colon Cancer. World J. Surg. Oncol. 2006, 4, 42. [Google Scholar] [CrossRef] [PubMed]
- Popovic, M.; Barisic, G.; Krivokapic, Z. Isolated Splenic Metastases of Colorectal Carcinoma—Case Report and Review of Literature. Acta Chir. Iugosl. 2008, 55, 73–76. [Google Scholar] [CrossRef]
- Bigot, P.; Goodman, C.; Hamy, A.; Teyssedou, C.; Arnaud, J.P. Isolated Splenic Metastasis from Colorectal Cancer: Report of a Case. J. Gastrointest. Surg. 2008, 12, 981–982. [Google Scholar] [CrossRef] [PubMed]
- Gasent Blesa, J.M.; De La Morena, E.; Canales, J.B.L.; Martínez, D.V.; Vázquez, C. Clinical Case Report and Literature Review: Metachronous Colorectal Splenic Metastases. Clin. Transl. Oncol. 2008, 10, 445–447. [Google Scholar] [CrossRef] [PubMed]
- Montemurro, S.; Maselli, E.; Ruggieri, E.; Caliandro, C.; Rucci, A.; Zito, A.F.; Sciscio, V. Isolated Splenic Metastasis from Colon Cancer. Report of a Case. Tumori 2008, 94, 422–425. [Google Scholar] [CrossRef]
- Sileri, P.; D’Ugo, S.; Benavoli, D.; Stolfi, V.M.; Palmieri, G.; Mele, A.; Gaspari, A.L. Metachronous Splenic Metastasis from Colonic Carcinoma Five Years After Surgery: A Case Report and Literature Review. South. Med. J. 2009, 102, 733–735. [Google Scholar] [CrossRef]
- Busić, Z.; Cupurdija, K.; Kolovrat, M.; Cavka, V.; Cavka, M.; Patrlj, L.; Servis, D.; Kvesić, A. Isolated Splenic Metastasis from Colon Cancer—Case Report and Literature Review. Coll. Antropol. 2010, 34 (Suppl. S1), 287–290. [Google Scholar] [PubMed]
- Genc, V.; Akbari, M.; Karaca, A.S.; Cakmak, A.; Ekinci, C.; Gurel, M. Why Is Isolated Spleen Metastasis a Rare Entity? Turk. J. Gastroenterol. 2010, 21, 452–453. [Google Scholar] [CrossRef] [PubMed]
- Dogan, M.; Ozal, G.; Ekinci, C.; Utkan, G.; Urun, Y.; Yalcin, B.; Icli, F. Two Cases with Atypical Metastasis in Colorectal Cancer: Splenic and Renal Metastasis. Exp. Oncol. 2010, 32, 277–279. [Google Scholar] [PubMed]
- El M’rabet, F.Z.; Brahmi, S.A.; Rachidi, S.; Tizniti, S.; Amaarti, A.; Ait Taleb, K.; El Mesbahi, O. Splenic metastasis from colonic adenocarcinoma—About a case and literature review. Pan Afr. Med. J. 2011, 10, 44. [Google Scholar] [PubMed]
- Jain, S.; Munjal, S.; Yantiss, R.K.; Sonoda, T.; Fahey, T.J.; Ruggiero, J.T.; Anand, A.; Gersten, A.; Goldsmith, S.J.; Ocean, A.J. Isolated Splenic Metastasis from Rectal Carcinoma: A Rare Occurrence. Case Rep. Oncol. 2011, 4, 499–504. [Google Scholar] [CrossRef]
- Gatenby, P.A.C.; Mudan, S.S.; Wotherspoon, A.C. Splenectomy for Non-Haematological Metastatic Malignant Disease. Langenbecks Arch. Surg. 2011, 396, 625–638. [Google Scholar] [CrossRef] [PubMed]
- Pavlović, M.; Separović, R.; Vukelić-Marković, M.; Patrlj, L.; Kolovrat, M.; Kopljar, M.; Babić, N.; Kosuta, D.; Babić, Z. Isolated Splenic Metastasis from Colorectal Carcinoma in a High-Risk Patient: A Case Report. Coll. Antropol. 2011, 35, 1307–1310. [Google Scholar] [PubMed]
- Chekrine, T.; Tawfiq, N.; Benissa, N.; El Attar, H.; Bouchbika, Z.; Benchakroun, N.; Jouhadi, H.; Badre, L.; Sahraoui, S.; Benider, A. Métastase splénique isolée métachrone d’un adénocarcinome colique. Méd. Nucléaire 2012, 36, 329–331. [Google Scholar] [CrossRef]
- Takeuchi, T.; Desaki, R.; Ohkura, Y.; Noda, N.; Yuasa, H.; Ito, F. A Case of a Metachronous Solitary Splenic Metastasis from a Cecal Cancer. Nihon Rinsho Geka Gakkai Zasshi (J. Jpn. Surg. Assoc.) 2013, 74, 1071–1074. [Google Scholar] [CrossRef][Green Version]
- Lopez Monclova, J.; Targarona Soler, E.; Peraza Solis, Y.; Vidal Gonzalez, P.; Balague Ponz, C.; Rodriguez Luppi, C.; Trias Folch, M. Laparoscopic Approach for Isolated Splenic Metastasis: Comprehensive Literature Review and Report of 6 Cases. Surg. Laparosc. Endosc. Percutaneous Tech. 2013, 23, 21–24. [Google Scholar] [CrossRef]
- Toyoshima, Y.; Nakano, S.; Akabane, H.; Inagaki, M.; Yanagida, N.; Shomura, H.; Sakurai, K. A Case of Colon Cancer Developed Metachronous Solitary Splenic Metastasis. Nihon Rinsho Geka Gakkai Zasshi (J. Jpn. Surg. Assoc.) 2014, 75, 134–139. [Google Scholar] [CrossRef][Green Version]
- Badak, B. Isolated Splenic Metastasis of Colorectal Carcinoma: A Case Report. Turk. J. Colorectal Dis. 2016, 26, 101–103. [Google Scholar] [CrossRef]
- Efared, B.; Mazti, A.; Atsame-Ebang, G.; Tahiri, L.; El Bouhaddouti, H.; Hammas, N.; El Fatemi, H.; Chbani, L. An Unusual Site of Metastasis: Splenic Metastastasis from a Colon Cancer. J. Surg. Case Rep. 2016, 2016, rjw175. [Google Scholar] [CrossRef] [PubMed]
- Tartaro, M.L.; Cardona, M.A.; Serrano, M.S.; Cantin, M.; Ottone, N.E. Solitary Splenic Metastasis from a Mucinous Adenocarcinoma of the Cecum. A Case Report. Indian. J. Surg. 2016, 78, 490–492. [Google Scholar] [CrossRef]
- Abdou, J. Isolated Splenic Metastasis from Colon Cancer: Case Report. World J. Gastroenterol. 2016, 22, 4610. [Google Scholar] [CrossRef] [PubMed]
- Lucke-Wold, B.; Bonasso, P.C.; Turner, R.; Cassim, R. Adenocarcinoma of the Cecum with Rare Splenic Metastasis. West Va. Med. J. 2017, 113, 32–34. [Google Scholar]
- Gilardi, L.; Vadrucci, M. Isolated Metachronous Splenic Metastasis From Colon Cancer Found by 18F-FDG PET/CT. Clin. Nucl. Med. 2017, 42, 79–80. [Google Scholar] [CrossRef] [PubMed]
- Rizzo, F.; Calamia, S.; Mingoia, G.; Fulfaro, F.; Grassi, N.; Cipolla, C. Isolated Metachronous Splenic Metastasis from Colon Cancer: Possible Explanations for This Rare Entity. J. Gastrointest. Cancer 2019, 50, 143–146. [Google Scholar] [CrossRef] [PubMed]
- Dimitrov Dimitrov, D. Laparoscopic Splenectomy for Solitary Splenic Metastasis in Patients with Previous Open Surgery—Case Series. Int. J. Surg. Case Rep. 2019, 65, 83–86. [Google Scholar] [CrossRef]
- Miller-Ocuin, J.; Ashburn, J.; Zhou, Y.; Water, G. Rectal Cancer Recurrence as Isolated Splenic Metastasis Treated with Laparoscopic Splenectomy. ACS Case Rev. Surg. 2021, 3, 10–13. [Google Scholar]
- Hu, L.; Zhu, J.-Y.; Fang, L.; Yu, X.-C.; Yan, Z.-L. Isolated Metachronous Splenic Multiple Metastases after Colon Cancer Surgery: A Case Report and Literature Review. World J. Clin. Cases 2020, 8, 3320–3328. [Google Scholar] [CrossRef] [PubMed]
- Ognerubov, N.A.; Antipova, T.S.; Ognerubova, M.A. Isolated Splenic Metastases from Colon Cancer: Clinical Observations. J. Mod. Oncol. 2021, 23, 162–166. [Google Scholar] [CrossRef]
- Totikov, V.Z.; Totikov, Z.V.; Remizov, O.V.; Epkhiev, A.A. Isolated Splenic Metastasis from Colorectal Cancer. Pirogov Russ. J. Surg. 2022, 4, 91–95. [Google Scholar] [CrossRef]
- Xu, J.; Cai, Y.; Chen, Q.; Huang, Y.; He, Y. Isolated Splenic Metastases from Rectal Carcinoma Five Years after Surgery: Case Report. Am. J. Surg. Clin. Case Rep. 2022, 5, e32493. [Google Scholar]
- Chaudhary, K.; Basukala, S.; Neupane, M.; Bhulan, B.; Malla, K.; Bhugai, N.; Shrestha, K.; Shah, K. Splenic Metastasis Secondary to Sigmoid Colon Carcinoma: A Case Report and Literature Review. Authorea 2023. [Google Scholar] [CrossRef]
- Ramos, C.; Santos, V.; Lopes, A.; Ferreira, C.; Viana, P.; Quirino, F.; Miranda, L. Isolated Splenic Metastasis from Colon Cancer: Case Report. Clin. Surg. 2023, 8, 3618. [Google Scholar]
- Hong, Y.; Li, H.; Teng, F.; Chen, Z. Isolated Splenic Metastasis from Rectal Cancer 12 Years after the Primary Surgery: A Rare Case Report. Asian J. Surg. 2024, 47, 710–711. [Google Scholar] [CrossRef] [PubMed]
- Lam, K.Y.; Tang, V. Metastatic Tumors to the Spleen. Arch. Pathol. Lab. Med. 2000, 124, 526–530. [Google Scholar] [CrossRef]
- Schön, C.A.; Görg, C.; Ramaswamy, A.; Barth, P.J. Splenic Metastases in a Large Unselected Autopsy Series. Pathol.—Res. Pract. 2006, 202, 351–356. [Google Scholar] [CrossRef]
- Compérat, E.; Bardier-Dupas, A.; Camparo, P.; Capron, F.; Charlotte, F. Splenic Metastases: Clinicopathologic Presentation, Differential Diagnosis, and Pathogenesis. Arch. Pathol. Lab. Med. 2007, 131, 965–969. [Google Scholar] [CrossRef]
- Fernández-Aceñero, M.J.; Muela, M.A.; Portela, S.C.; Vorwald, P.W. Metastasis to the Pancreas and the Spleen: An Increasing Diagnostic and Therapeutic Challenge. Clin. Pract. 2011, 1, e44. [Google Scholar] [CrossRef] [PubMed]
- Delaunoit, T.; Peny, M.O.; Mignon, M.; Dili, A. Splenic Metastasis from Gastrointestinal Neoplasms: A Review. Acta Gastroenterol. Belg. 2012, 75, 3–4. [Google Scholar]
- Görg, C.; Hoffmann, A. Milzmetastasen bei 59 Patienten mit Karzinomen: Eine klinisch sonografische Studie über einen Zeitraum von 14 Jahren. Ultraschall Med. 2007, 29, 173–178. [Google Scholar] [CrossRef]
- Agha-Mohammadi, S.; Calne, R.Y. Solitary Splenic Metastasis: Case Report and Review of the Literature. Am. J. Clin. Oncol. 2001, 24, 306–310. [Google Scholar] [CrossRef]
- Pugalenthi, A.; Bradley, C.; Gonen, M.; Do, K.G.; Strong, V.; Jarnagin, W.; Coit, D.; Kingham, T.P. Splenectomy to Treat Splenic Lesions: An Analysis of 148 Cases at a Cancer Center. J. Surg. Oncol. 2013, 108, 521–525. [Google Scholar] [CrossRef]
- Berge, T. Splenic Metastases. Frequencies and Patterns. Acta Pathol. Microbiol. Scand. A 1974, 82, 499–506. [Google Scholar]
- Abi Saad, G.S.; Hussein, M.; El-Saghir, N.S.; Termos, S.; Sharara, A.I.; Shamseddine, A. Isolated Splenic Metastasis from Colorectal Cancer. Int. J. Clin. Oncol. 2011, 16, 306–313. [Google Scholar] [CrossRef] [PubMed]
- Peters, A.M. Why the Spleen Is a Very Rare Site for Metastases from Epithelial Cancers. Med. Hypotheses 2012, 78, 26–28. [Google Scholar] [CrossRef]
- Hiraiwa, K. Isolated Splenic Vein Thrombosis Secondary to Splenic Metastasis: A Case Report. World J. Gastroenterol. 2006, 12, 6561. [Google Scholar] [CrossRef]
- Verger, P.; Weinfeld, C.; Henni, Z.; Henni, T.; Blais, J.; Garnier, P.P. Hémopéritoine révélant une métastase splénique isolée secondairement attribuée à un adénocarcinome du cæcum. Rev. Méd. Interne 2000, 21, 463. [Google Scholar] [CrossRef]
- Aijaz, M.; Hasan, M.; Alam, F. Isolated Splenic Metastasis: An Unusual Presentation of Colonic Adenocarcinoma. Arch. Clin. Gastroenterol. 2019, 5, 27–30. [Google Scholar] [CrossRef]
- Giovagnoni, A. Tumours of the Spleen. Cancer Imaging 2005, 5, 73–77. [Google Scholar] [CrossRef] [PubMed]
- Kamaya, A.; Weinstein, S.; Desser, T.S. Multiple Lesions of the Spleen: Differential Diagnosis of Cystic and Solid Lesions. Semin. Ultrasound CT MRI 2006, 27, 389–403. [Google Scholar] [CrossRef]
- Metser, U.; Miller, E.; Kessler, A.; Lerman, H.; Lievshitz, G.; Oren, R.; Even-Sapir, E. Solid Splenic Masses: Evaluation with 18F-FDG PET/CT. J. Nucl. Med. 2005, 46, 52–59. [Google Scholar] [PubMed]
- Kaza, R.K.; Azar, S.; Al-Hawary, M.M.; Francis, I.R. Review: Primary and Secondary Neoplasms of the Spleen. Cancer Imaging 2010, 10, 173–182. [Google Scholar] [CrossRef] [PubMed]
- Huettl, F.; Lang, H. Chirurgie bei primären Milztumoren und Metastasen der Milz. Chirurgie 2023, 94, 994–999. [Google Scholar] [CrossRef] [PubMed]
- Wakasugi, M.; Yasuhara, Y.; Nakahara, Y.; Matsumoto, T.; Takemoto, H.; Takachi, K.; Nishioka, K.; Yoshida, K.; Oshima, S. Primary Splenic Malignant Lymphoma Mimicking Metastasis of Rectosigmoid Cancer: A Case Report. Int. J. Surg. Case Rep. 2018, 44, 11–15. [Google Scholar] [CrossRef] [PubMed]
- Pieslor, P.C.; White, C.A.; Varney, R.R. Splenic Metastasis From Colon Carcinoma Imaged Using Ln-111 OncoScint. Clin. Nucl. Med. 1995, 20, 553–554. [Google Scholar] [CrossRef] [PubMed]
- Gallotta, V.; Nero, C.; Lodoli, C.; Chiantera, V.; Pacelli, F.; Fagotti, A.; Costantini, B.; Scambia, G. Laparoscopic Splenectomy for Secondary Cytoreduction in Ovarian Cancer Patients With Localized Spleen Recurrence: Feasibility and Technique. J. Minim. Invasive Gynecol. 2016, 23, 425–428. [Google Scholar] [CrossRef]
- Macciò, A.; Sanna, E.; Lavra, F.; Chiappe, G.; Petrillo, M.; Madeddu, C. Laparoscopic Splenectomy Both for Primary Cytoreductive Surgery for Advanced Ovarian Cancer and for Secondary Surgery for Isolated Spleen Recurrence: Feasibility and Technique. BMC Surg. 2021, 21, 380. [Google Scholar] [CrossRef]
- Kang, D.; Zhao, D.; Jiang, X.; Li, D. Isolated Splenic Metastasis from Primary Fallopian Tube Carcinoma and the Application of Laparoscopic Splenectomy: A Case Report and Literature Review. Front. Oncol. 2023, 13, 1079044. [Google Scholar] [CrossRef] [PubMed]
- Burch, M.; Misra, M.; Phillips, E.H. Splenic Malignancy: A Minimally Invasive Approach. Cancer J. 2005, 11, 36–42. [Google Scholar] [CrossRef] [PubMed]
- Fu, X.; Yang, Z.; Tu, S.; Xin, W.; Chen, H.; Li, X.; Li, Y.; Xiao, W. Short- and Long-Term Outcomes of 486 Consecutive Laparoscopic Splenectomy in a Single Institution. Medicine 2021, 100, e25308. [Google Scholar] [CrossRef] [PubMed]
- Peltrini, R.; Di Nuzzo, M.M.; De Capua, M.; Andreuccetti, J.; D’Alessio, R.; Baldoni, D.; Bracale, U.; Pignata, G.; Corcione, F. Impact of Underlying Disease and Preoperative Factors on Postoperative Outcomes After Laparoscopic Splenectomy: A Bicentric Retrospective Analysis. Surg. Laparosc. Endosc. Percutaneous Tech. 2022, 32, 472–475. [Google Scholar] [CrossRef]
- Mudan, S.; Kumar, J.; Mafalda, N.C.; Kusano, T.; Reccia, I.; Zanallato, A.; Dalgleish, A.; Habib, N. Case Report on the Role of Radiofrequency-Assisted Spleen-Preserving Surgery for Splenic Metastasis in the Era of Check-Point Inhibitors. Medicine 2017, 96, e9106. [Google Scholar] [CrossRef] [PubMed]
- Costi, R.; Castro Ruiz, C.; Romboli, A.; Wind, P.; Violi, V.; Zarzavadjian Le Bian, A. Partial Splenectomy: Who, When and How. A Systematic Review of the 2130 Published Cases. J. Pediatr. Surg. 2019, 54, 1527–1538. [Google Scholar] [CrossRef] [PubMed]
- Romboli, A.; Annicchiarico, A.; Morini, A.; Castro Ruiz, C.; Pagliai, L.; Montali, F.; Costi, R. Laparoscopic Partial Splenectomy: A Critical Appraisal of an Emerging Technique. A Review of the First 457 Published Cases. J. Laparoendosc. Adv. Surg. Tech. 2021, 31, 1130–1142. [Google Scholar] [CrossRef]
- Hauge, T.; Dorenberg, E.; Goscinski, M. Partial Splenectomy after Preoperative Embolization in a Patient with Metastatic Melanoma—A Case Report. Int. J. Surg. Case Rep. 2022, 92, 106837. [Google Scholar] [CrossRef] [PubMed]
- Vasilescu, C.; Stanciulea, O.; Tudor, S.; Stanescu, D.; Colita, A.; Stoia, R.; Coriu, D.; Colita, A.; Arion, C. Laparoscopic Subtotal Splenectomy in Hereditary Spherocytosis: To Preserve the Upper or the Lower Pole of the Spleen? Surg. Endosc. 2006, 20, 748–752. [Google Scholar] [CrossRef]
- Liu, G.; Fan, Y. Feasibility and Safety of Laparoscopic Partial Splenectomy: A Systematic Review. World J. Surg. 2019, 43, 1505–1518. [Google Scholar] [CrossRef]
- Dragomir, M.; Petrescu, G.E.D.; Manga, G.E.; Călin, G.A.; Vasilescu, C. Patients After Splenectomy: Old Risks and New Perspectives. Chirurgia 2016, 111, 393–399. [Google Scholar] [CrossRef] [PubMed]
- Long, B.; Koyfman, A.; Gottlieb, M. Complications in the Adult Asplenic Patient: A Review for the Emergency Clinician. Am. J. Emerg. Med. 2021, 44, 452–457. [Google Scholar] [CrossRef] [PubMed]
- Dragomir, M.P.; Tudor, S.; Lacatus, M.; Stanciulea, O.; Trandafir, B.; Diaconu, A.; Coriu, D.; Colita, A.; Droc, G.; Purnichescu-Purtan, R.; et al. TNF-Alpha Releasing Capacity of the Whole Blood Drops after Open Total Splenectomy, but Increases after Partial/Subtotal or Minimally Invasive Splenectomy. Acta Chir. Belg. 2022, 122, 346–356. [Google Scholar] [CrossRef] [PubMed]
- McGory, M.L. The Significance of Inadvertent Splenectomy During Colorectal Cancer Resection. Arch. Surg. 2007, 142, 668. [Google Scholar] [CrossRef] [PubMed]
- Wakeman, C.J.; Dobbs, B.R.; Frizelle, F.A.; Bissett, I.P.; Dennett, E.R.; Hill, A.G.; Thompson-Fawcett, M.W. The Impact of Splenectomy on Outcome After Resection for Colorectal Cancer: A Multicenter, Nested, Paired Cohort Study. Dis. Colon Rectum 2008, 51, 213–217. [Google Scholar] [CrossRef] [PubMed]
- Lolle, I.; Pommergaard, H.-C.; Schefte, D.F.; Bulut, O.; Krarup, P.-M.; Rosenstock, S.J. Inadvertent Splenectomy During Resection for Colorectal Cancer Does Not Increase Long-Term Mortality in a Propensity Score Model: A Nationwide Cohort Study. Dis. Colon Rectum 2016, 59, 1150–1159. [Google Scholar] [CrossRef] [PubMed]
- Sonoda, K.; Izumi, K.; Matsui, Y.; Inomata, M.; Shiraishi, N.; Kitano, S. Decreased Growth Rate of Lung Metastatic Lesions after Splenectomy in Mice. Eur. Surg. Res. 2006, 38, 469–475. [Google Scholar] [CrossRef] [PubMed]
- Shiratori, Y.; Kawase, T.; Nakata, R.; Tanaka, M.; Hikiba, Y.; Okano, K.I.; Matsumura, M.; Niwa, Y.; Komatsu, Y.; Shiina, S.; et al. Effect of Splenectomy on Hepatic Metastasis of Colon Carcinoma and Natural Killer Activity in the Liver. Digest Dis. Sci. 1995, 40, 2398–2406. [Google Scholar] [CrossRef] [PubMed]
- Yokokawa, H.; Imaizumi, R.; Ito, Y.; Kono, T.; Koike, T.; Miyano, Y.; Oyama, K.; Shiozawa, S.; Yoshimatsu, K. An Octogenarian Case of Sequential Laparoscopic Surgery for Synchronous Isolated Splenic Metastasis From Cancer of the Cecum. Int. Surg. 2021, 105, 619–622. [Google Scholar] [CrossRef]
- Vatandoust, S. Colorectal Cancer: Metastases to a Single Organ. World J. Gastroenterol. 2015, 21, 11767. [Google Scholar] [CrossRef]
- Zabaleta, J.; Iida, T.; Falcoz, P.E.; Salah, S.; Jarabo, J.R.; Correa, A.M.; Zampino, M.G.; Matsui, T.; Cho, S.; Ardissone, F.; et al. Individual Data Meta-Analysis for the Study of Survival after Pulmonary Metastasectomy in Colorectal Cancer Patients: A History of Resected Liver Metastases Worsens the Prognosis. Eur. J. Surg. Oncol. 2018, 44, 1006–1012. [Google Scholar] [CrossRef]
- Tsilimigras, D.I.; Hyer, M.J.; Bagante, F.; Guglielmi, A.; Ruzzenente, A.; Alexandrescu, S.; Poultsides, G.; Sasaki, K.; Aucejo, F.; Pawlik, T.M. Resection of Colorectal Liver Metastasis: Prognostic Impact of Tumor Burden vs KRAS Mutational Status. J. Am. Coll. Surg. 2021, 232, 590–598. [Google Scholar] [CrossRef]
- Buisman, F.E.; Giardiello, D.; Kemeny, N.E.; Steyerberg, E.W.; Höppener, D.J.; Galjart, B.; Nierop, P.M.H.; Balachandran, V.P.; Cercek, A.; Drebin, J.A.; et al. Predicting 10-Year Survival after Resection of Colorectal Liver Metastases; an International Study Including Biomarkers and Perioperative Treatment. Eur. J. Cancer 2022, 168, 25–33. [Google Scholar] [CrossRef]
- Rena, O. Pulmonary Resection for Metastases from Colorectal Cancer: Factors Influencing Prognosis. Twenty-Year Experience. Eur. J. Cardio-Thorac. Surg. 2002, 21, 906–912. [Google Scholar] [CrossRef]
- Gkikas, A.; Kakos, C.; Lampridis, S.; Godolphin, P.J.; Patrini, D. Preoperative Prognostic Factors for 5-Year Survival Following Pulmonary Metastasectomy from Colorectal Cancer: A Systematic Review and Meta-Analysis. Eur. J. Cardio-Thorac. Surg. 2023, 63, ezad059. [Google Scholar] [CrossRef]
- Wang, H.-W.; Wang, L.-J.; Jin, K.-M.; Bao, Q.; Li, J.; Ge, S.-K.; Wang, K.; Xing, B.-C. Impact of Age of Onset on Survival after Hepatectomy for Patients with Colorectal Cancer Liver Metastasis: A Real-World Single-Center Experience. Curr. Oncol. 2022, 29, 8456–8467. [Google Scholar] [CrossRef]
- Peng, P.; Luan, Y.; Sun, P.; Wang, L.; Zeng, X.; Wang, Y.; Cai, X.; Ren, P.; Yu, Y.; Liu, Q.; et al. Prognostic Factors in Stage IV Colorectal Cancer Patients With Resection of Liver and/or Pulmonary Metastases: A Population-Based Cohort Study. Front. Oncol. 2022, 12, 850937. [Google Scholar] [CrossRef]
- Bingham, G.; Shetye, A.; Suresh, R.; Mirnezami, R. Impact of Primary Tumour Location on Colorectal Liver Metastases: A Systematic Review. World J. Clin. Oncol. 2020, 11, 294–307. [Google Scholar] [CrossRef]
- Yin, H.; Li, H.; Xu, J.; Wu, J. Primary Tumor Location Impacts Survival in Colorectal Cancer Patients after Primary Resection: A Population-based Propensity Score Matching Cohort Study. J. Gastrointest. Oncol. 2023, 14, 886–899. [Google Scholar] [CrossRef] [PubMed]
- Mahamid, A.; Abu-Zaydeh, O.; Kazlow, E.; Froylich, D.; Sawaied, M.; Goldberg, N.; Berger, Y.; Khoury, W.; Sadot, E.; Haddad, R. The Effects of Primary Tumor Location on Survival after Liver Resection for Colorectal Liver Metastasis in the Mediterranean Population. J. Clin. Med. 2023, 12, 5242. [Google Scholar] [CrossRef] [PubMed]
- Tang, F.; Huang, C.-W.; Tang, Z.-H.; Lu, S.-L.; Bai, T.; Huang, Q.; Li, X.-Z.; Zhang, B.; Wu, F.-X. Prognostic Role of Serum Carcinoembryonic Antigen in Patients Receiving Liver Resection for Colorectal Cancer Liver Metastasis: A Meta-Analysis. World J. Gastrointest. Surg. 2023, 15, 2890–2906. [Google Scholar] [CrossRef] [PubMed]


| Clinical Signs and Symptoms | No of Patients (%) |
|---|---|
| Asymptomatic | 66 patients (83.5%) |
| Symptomatic: | 13 patients (16.5%) |
| Abdominal pain | 7 patients (8.9%) |
| Fatigue | 1 patient (1.3%) |
| Fever | 1 patient (1.3%) |
| Hematuria | 1 patient (1.3%) |
| Malaise | 1 patient (1.3%) |
| Weight loss and abdominal pain | 1 patient (1.3%) |
| Hemoperitoneum due to rupture of the spleen | 1 patient (1.3%) |
| Imaging Method | No of Patients (%) |
|---|---|
| CT scan only | 45 patients (60.8%) |
| CT and PET-CT | 15 patients (20.3%) |
| PET-CT only | 6 patients (8.1%) |
| CT and MRI | 2 patients (2.7%) |
| Ultrasonography only | 2 patients (2.7%) |
| Radionuclide-only liver-spleen scintigraphy | 1 patient (1.4%) |
| CT and radionuclide liver-spleen scintigraphy | 1 patient (1.4%) |
| CT, PET-CT, and PET-MRI | 1 patient (1.4%) |
| CT and radionuclide liver-spleen scintigraphy | 1 patient (1.4%) |
| Abdominal-only roentgenography | 1 patient (1.4%) |
| Chemotherapy Regimen | No of Patients (%) |
|---|---|
| XELOX | 3 patients (13.6%) |
| FOLFIRI and targeted therapy | 3 patients (13.6%) |
| 5-fluorouracil | 2 patients (9.1%) |
| FOLFOX | 2 patient (9.1%) |
| FOLFOX and targeted therapy | 1 patient (4.5%) |
| 5-fluorouracil and targeted therapy | 1 patient (4.5%) |
| Capecitabine | 1 patient (4.5%) |
| Targeted-only therapy | 1 patient (4.5%) |
| Not specified | 8 patients (36.6%) |
| Parameter | Median OS, Months | Mean OS, Months | 1-Year OS, % | 5-Year OS, % | p Value |
|---|---|---|---|---|---|
| Gender | 0.880, ns | ||||
| M | 84 (1–84) | 69.8 ± 9 | 95% | 78% | |
| F | NR (2–87) | 64.7 ± 8.1 | 95% | 77% | |
| Age | 0.011 | ||||
| <62 years | NR (2–58) | 38 ± 6.2 | 96% | 52% | |
| ≥62 years | 84 (1–87) | 78 ± 4.9 | 96% | 96% | |
| Primary tumor | 0.571, ns | ||||
| Colon | 66 (1–87) | 63.4 ± 7.1 | 95% | 74% | |
| Rectum | 84 (3–84) | 84 | 100% | 100% | |
| Primary tumor | 0.689, ns | ||||
| Right colon | NR (2–87) | 65.7 ± 9.1 | 94% | 71% | |
| Left colon (including sigmoid) | 66 (1–66) | 55.6 ± 9.1 | 96% | 76% | |
| Duke’s stage | 0.616, ns | ||||
| A-B | 66 (2–66) | 61.4 ± 6.2 | 91% | 91% | |
| C-D | 84 (1–87) | 74.7 ± 5.9 | 96% | 85% | |
| N stage | 0.157, ns | ||||
| Negative | 66 (2–66) | 66 | 100% | 100% | |
| Positive | 84 (1–87) | 85.5 ± 1.1 | 100% | 100% | |
| Adjuvant chemotherapy after primary CRC resection | 0.473, ns | ||||
| Yes | NR (1–87) | 80 ± 6.6 | 100% | 84% | |
| No | 66 (12–84) | 75.7 ± 9 | 100% | 100% | |
| Interval from primary tumor resection | 0.070, ns | ||||
| <24 months | NR (2–58) | 39.3 ± 6.6 | 95% | 54% | |
| ≥24 months | 84 (1–87) | 72.4 ± 6.6 | 95% | 90% | |
| Signs or symptoms | 0.356, ns | ||||
| Yes | 84 (4–84) | 65.4 ± 14 | 75% | 75% | |
| No | 66 (1–87) | 65.3 ± 7.9 | 100% | 81% | |
| CEA serum level | 0.122, ns | ||||
| <26.2 ng/mL | NR (6–60) | 55.8 ± 4 | 100% | 91% | |
| ≥26.2 ng/mL | 66 (2–87) | 58.7 ± 10.4 | 83% | 73% | |
| Splenectomy approach | 0.414, ns | ||||
| Open | NR (2–87) | NA | 95% | 76% | |
| Laparoscopic | NR (1–36) | NA | 100% | 100% | |
| Number of SM | 0.597, ns | ||||
| 1 | NR (1–87) | NA | 95% | 81% | |
| ≥2 | NR (5–12) | NA | 100% | 100% | |
| Diameter of SM | 0.689, ns | ||||
| <4.5 cm | 66 (3–87) | 66.1 ± 8.3 | 95% | 82% | |
| ≥4.5 cm | 84 (1–84) | 71.3 ± 10.5 | 94% | 82% | |
| Adjuvant chemotherapy after SM resection | 0.141, ns | ||||
| Yes | NR (1–58) | 48.7 ± 5.8 | 100% | 75% | |
| No | 84 (5–87) | 79 ± 5.4 | 100% | 100% | |
| Period | 0.105, ns | ||||
| 1965–2002 | 84 (2–84) | 62.2 ± 8.7 | 95% | 75% | |
| 2003–2024 | NR (1–87) | 77.6 ± 6.2 | 100% | 87% |
Disclaimer/Publisher’s Note: The statements, opinions and data contained in all publications are solely those of the individual author(s) and contributor(s) and not of MDPI and/or the editor(s). MDPI and/or the editor(s) disclaim responsibility for any injury to people or property resulting from any ideas, methods, instructions or products referred to in the content. |
© 2024 by the authors. Licensee MDPI, Basel, Switzerland. This article is an open access article distributed under the terms and conditions of the Creative Commons Attribution (CC BY) license (https://creativecommons.org/licenses/by/4.0/).
Share and Cite
Tivadar, B.M.; Dumitrascu, T.; Vasilescu, C. A Glimpse into the Role and Effectiveness of Splenectomy for Isolated Metachronous Spleen Metastasis of Colorectal Cancer Origin: Long-Term Survivals Can Be Achieved. J. Clin. Med. 2024, 13, 2362. https://doi.org/10.3390/jcm13082362
Tivadar BM, Dumitrascu T, Vasilescu C. A Glimpse into the Role and Effectiveness of Splenectomy for Isolated Metachronous Spleen Metastasis of Colorectal Cancer Origin: Long-Term Survivals Can Be Achieved. Journal of Clinical Medicine. 2024; 13(8):2362. https://doi.org/10.3390/jcm13082362
Chicago/Turabian StyleTivadar, Beatrice Mihaela, Traian Dumitrascu, and Catalin Vasilescu. 2024. "A Glimpse into the Role and Effectiveness of Splenectomy for Isolated Metachronous Spleen Metastasis of Colorectal Cancer Origin: Long-Term Survivals Can Be Achieved" Journal of Clinical Medicine 13, no. 8: 2362. https://doi.org/10.3390/jcm13082362
APA StyleTivadar, B. M., Dumitrascu, T., & Vasilescu, C. (2024). A Glimpse into the Role and Effectiveness of Splenectomy for Isolated Metachronous Spleen Metastasis of Colorectal Cancer Origin: Long-Term Survivals Can Be Achieved. Journal of Clinical Medicine, 13(8), 2362. https://doi.org/10.3390/jcm13082362

