The Fatty Liver Index’s Association with Incident Chronic Kidney Disease in Korean Middle-Aged Adults: A Community-Based Cohort Study
Abstract
1. Introduction
2. Materials and Methods
2.1. Study Design and Participants
2.2. Data Collection and Measurements
2.3. Study Definitions and Outcomes
2.4. Statistical Analysis
3. Results
3.1. Baseline Characteristics
3.2. Relationship between FLI and Kidney Function
3.2.1. Incidence of CKD
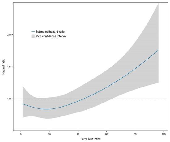
3.2.2. FLI as a Predictor of CKD
3.3. Subgroup Analyses
4. Discussion
5. Conclusions
Author Contributions
Funding
Institutional Review Board Statement
Informed Consent Statement
Data Availability Statement
Acknowledgments
Conflicts of Interest
References
- Hill, N.R.; Fatoba, S.T.; Oke, J.L.; Hirst, J.A.; O’Callaghan, C.A.; Lasserson, D.S.; Hobbs, F.D. Global prevalence of chronic kidney disease—A systematic review and meta-analysis. PLoS ONE 2016, 11, e0158765. [Google Scholar] [CrossRef]
- Levey, A.S.; Coresh, J. Chronic kidney disease. Lancet 2012, 379, 165–180. [Google Scholar] [CrossRef]
- Huh, J.H.; Kim, J.Y.; Choi, E.; Kim, J.S.; Chang, Y.; Sung, K.C. The fatty liver index as a predictor of incident chronic kidney disease in a 10-year prospective cohort study. PLoS ONE 2017, 12, e0180951. [Google Scholar] [CrossRef]
- Coresh, J.; Selvin, E.; Stevens, L.A.; Manzi, J.; Kusek, J.W.; Eggers, P.; Van Lente, F.; Levey, A.S. Prevalence of chronic kidney disease in the United States. JAMA 2007, 298, 2038–2047. [Google Scholar] [CrossRef]
- Drew, D.A.; Weiner, D.E.; Sarnak, M.J. Cognitive impairment in CKD: Pathophysiology, management, and prevention. Am. J. Kidney Dis. 2019, 74, 782–790. [Google Scholar] [CrossRef] [PubMed]
- Matsushita, K.; Ballew, S.H.; Wang, A.Y.; Kalyesubula, R.; Schaeffner, E.; Agarwal, R. Epidemiology and risk of cardiovascular disease in populations with chronic kidney disease. Nat. Rev. Nephrol. 2022, 18, 696–707. [Google Scholar] [CrossRef]
- Fletcher, B.R.; Damery, S.; Aiyegbusi, O.L.; Anderson, N.; Calvert, M.; Cockwell, P.; Ferguson, J.; Horton, M.; Paap, M.C.S.; Sidey-Gibbons, C.; et al. Symptom burden and health-related quality of life in chronic kidney disease: A global systematic review and meta-analysis. PLoS Med. 2022, 19, e1003954. [Google Scholar] [CrossRef]
- Nonalcoholic Fatty Liver Disease Study Group; Lonardo, A.; Bellentani, S.; Argo, C.K.; Ballestri, S.; Byrne, C.D.; Caldwell, S.H.; Cortez-Pinto, H.; Grieco, A.; Machado, M.V.; et al. Epidemiological modifiers of non-alcoholic fatty liver disease: Focus on high-risk groups. Dig. Liver Dis. 2015, 47, 997–1006. [Google Scholar] [CrossRef]
- Younossi, Z.M.; Koenig, A.B.; Abdelatif, D.; Fazel, Y.; Henry, L.; Wymer, M. Global epidemiology of nonalcoholic fatty liver disease-Meta-analytic assessment of prevalence, incidence, and outcomes. Hepatology 2016, 64, 73–84. [Google Scholar] [CrossRef]
- EASL-EASD-EASO clinical practice guidelines for the management of non-alcoholic fatty liver disease. J. Hepatol. 2016, 64, 1388–1402. [CrossRef]
- Brunt, E.M. Nonalcoholic steatohepatitis. Semin. Liver Dis. 2004, 24, 3–20. [Google Scholar] [CrossRef]
- Mantovani, A.; Zaza, G.; Byrne, C.D.; Lonardo, A.; Zoppini, G.; Bonora, E.; Targher, G. Nonalcoholic fatty liver disease increases risk of incident chronic kidney disease: A systematic review and meta-analysis. Metabolism 2018, 79, 64–76. [Google Scholar] [CrossRef]
- Adams, L.A.; Anstee, Q.M.; Tilg, H.; Targher, G. Nonalcoholic fatty liver disease and its relationship with cardiovascular disease and other extrahepatic diseases. Gut 2017, 66, 1138–1153. [Google Scholar] [CrossRef]
- Yasui, K.; Sumida, Y.; Mori, Y.; Mitsuyoshi, H.; Minami, M.; Itoh, Y.; Kanemasa, K.; Matsubara, H.; Okanoue, T.; Yoshikawa, T. Nonalcoholic steatohepatitis and increased risk of chronic kidney disease. Metabolism 2011, 60, 735–739. [Google Scholar] [CrossRef]
- Targher, G.; Chonchol, M.; Bertolini, L.; Rodella, S.; Zenari, L.; Lippi, G.; Franchini, M.; Zoppini, G.; Muggeo, M. Increased risk of CKD among type 2 diabetics with nonalcoholic fatty liver disease. J. Am. Soc. Nephrol. 2008, 19, 1564–1570. [Google Scholar] [CrossRef]
- Chang, Y.; Ryu, S.; Sung, E.; Woo, H.Y.; Oh, E.; Cha, K.; Jung, E.; Kim, W.S. Nonalcoholic fatty liver disease predicts chronic kidney disease in nonhypertensive and nondiabetic Korean men. Metabolism 2008, 57, 569–576. [Google Scholar] [CrossRef]
- Kaps, L.; Labenz, C.; Galle, P.R.; Weinmann-Menke, J.; Kostev, K.; Schattenberg, J.M. Non-alcoholic fatty liver disease increases the risk of incident chronic kidney disease. United Eur. Gastroenterol. J. 2020, 8, 942–948. [Google Scholar] [CrossRef]
- Cai, X.; Thorand, B.; Hohenester, S.; Koenig, W.; Rathmann, W.; Peters, A.; Nano, J. Association between the fatty liver index and chronic kidney disease: The population-based KORA study. Nephrol. Dial. Transplant. 2023, 38, 1240–1248. [Google Scholar] [CrossRef]
- Wang, L. Ultrasound-diagnosed nonalcoholic fatty liver disease independently predicts a higher risk of developing diabetes mellitus in nonoverweight individuals. Acad. Radiol. 2019, 26, 863–868. [Google Scholar] [CrossRef]
- Nah, E.H.; Shin, S.K.; Cho, S.; Park, H.; Kim, S.; Kwon, E.; Cho, H.I. Chronic kidney disease in nonalcoholic fatty liver disease at primary healthcare centers in Korea. PLoS ONE 2022, 17, e0279367. [Google Scholar] [CrossRef]
- Sirota, J.C.; McFann, K.; Targher, G.; Chonchol, M.; Jalal, D.I. Association between nonalcoholic liver disease and chronic kidney disease: An ultrasound analysis from NHANES 1988–1994. Am. J. Nephrol. 2012, 36, 466–471. [Google Scholar] [CrossRef]
- Sumida, Y.; Nakajima, A.; Itoh, Y. Limitations of liver biopsy and non-invasive diagnostic tests for the diagnosis of nonalcoholic fatty liver disease/nonalcoholic steatohepatitis. World J. Gastroenterol. 2014, 20, 475–485. [Google Scholar] [CrossRef]
- Bedogni, G.; Bellentani, S.; Miglioli, L.; Masutti, F.; Passalacqua, M.; Castiglione, A.; Tiribelli, C. The fatty liver index: A simple and accurate predictor of hepatic steatosis in the general population. BMC Gastroenterol. 2006, 6, 33. [Google Scholar] [CrossRef]
- Kim, J.H.; Kwon, S.Y.; Lee, S.W.; Lee, C.H. Validation of fatty liver index and lipid accumulation product for predicting fatty liver in Korean population. Liver Int. 2011, 31, 1600–1601. [Google Scholar] [CrossRef]
- Yang, B.L.; Wu, W.C.; Fang, K.C.; Wang, Y.C.; Huo, T.I.; Huang, Y.H.; Yang, H.I.; Su, C.W.; Lin, H.C.; Lee, F.Y.; et al. External validation of fatty liver index for identifying ultrasonographic fatty liver in a large-scale cross-sectional study in Taiwan. PLoS ONE 2015, 10, e0120443. [Google Scholar] [CrossRef]
- Huang, X.; Xu, M.; Chen, Y.; Peng, K.; Huang, Y.; Wang, P.; Ding, L.; Lin, L.; Xu, Y.; Chen, Y.; et al. Validation of the fatty liver index for nonalcoholic fatty liver disease in middle-aged and elderly Chinese. Medicine 2015, 94, e1682. [Google Scholar] [CrossRef]
- Takahashi, S.; Tanaka, M.; Higashiura, Y.; Mori, K.; Hanawa, N.; Ohnishi, H.; Furuhashi, M. Prediction and validation of nonalcoholic fatty liver disease by fatty liver index in a Japanese population. Endocr. J. 2022, 69, 463–471. [Google Scholar] [CrossRef]
- Cuthbertson, D.J.; Weickert, M.O.; Lythgoe, D.; Sprung, V.S.; Dobson, R.; Shoajee-Moradie, F.; Umpleby, M.; Pfeiffer, A.F.; Thomas, E.L.; Bell, J.D.; et al. External validation of the fatty liver index and lipid accumulation product indices, using 1H-magnetic resonance spectroscopy, to identify hepatic steatosis in healthy controls and obese, insulin-resistant individuals. Eur. J. Endocrinol. 2014, 171, 561–569. [Google Scholar] [CrossRef]
- Kim, Y.; Han, B.G. Cohort profile: The Korean genome and epidemiology study (KoGES) consortium. Int. J. Epidemiol. 2017, 46, e20. [Google Scholar] [CrossRef]
- Matthews, D.R.; Hosker, J.P.; Rudenski, A.S.; Naylor, B.A.; Treacher, D.F.; Turner, R.C. Homeostasis model assessment: Insulin resistance and beta-cell function from fasting plasma glucose and insulin concentrations in man. Diabetologia 1985, 28, 412–419. [Google Scholar] [CrossRef]
- Levey, A.S.; Stevens, L.A.; Schmid, C.H.; Zhang, Y.L.; Castro, A.F.; Feldman, H.I.; Kusek, J.W.; Eggers, P.; Van Lente, F.; Greene, T.; et al. A new equation to estimate glomerular filtration rate. Ann. Intern. Med. 2009, 150, 604–612. [Google Scholar] [CrossRef]
- Sinn, D.H.; Kang, D.; Jang, H.R.; Gu, S.; Cho, S.J.; Paik, S.W.; Ryu, S.; Chang, Y.; Lazo, M.; Guallar, E.; et al. Development of chronic kidney disease in patients with nonalcoholic fatty liver disease: A cohort study. J. Hepatol. 2017, 67, 1274–1280. [Google Scholar] [CrossRef]
- Wilechansky, R.M.; Pedley, A.; Massaro, J.M.; Hoffmann, U.; Benjamin, E.J.; Long, M.T. Relations of liver fat with prevalent and incident chronic kidney disease in the Framingham heart study: A secondary analysis. Liver Int. 2019, 39, 1535–1544. [Google Scholar] [CrossRef]
- Zelber-Sagi, S.; Webb, M.; Assy, N.; Blendis, L.; Yeshua, H.; Leshno, M.; Ratziu, V.; Halpern, Z.; Oren, R.; Santo, E. Comparison of fatty liver index with noninvasive methods for steatosis detection and quantification. World J. Gastroenterol. 2013, 19, 57–64. [Google Scholar] [CrossRef]
- Lee, Y.H.; Bang, H.; Park, Y.M.; Bae, J.C.; Lee, B.W.; Kang, E.S.; Cha, B.S.; Lee, H.C.; Balkau, B.; Lee, W.Y.; et al. Non-laboratory-based self-assessment screening score for non-alcoholic fatty liver disease: Development, validation and comparison with other scores. PLoS ONE 2014, 9, e107584. [Google Scholar] [CrossRef]
- de Vries, A.P.; Ruggenenti, P.; Ruan, X.Z.; Praga, M.; Cruzado, J.M.; Bajema, I.M.; D’Agati, V.D.; Lamb, H.J.; Pongrac Barlovic, D.; Hojs, R.; et al. Fatty kidney: Emerging role of ectopic lipid in obesity-related renal disease. Lancet Diabetes Endocrinol. 2014, 2, 417–426. [Google Scholar] [CrossRef]
- Targher, G.; Chonchol, M.B.; Byrne, C.D. CKD and nonalcoholic fatty liver disease. Am. J. Kidney Dis. 2014, 64, 638–652. [Google Scholar] [CrossRef]
- Targher, G.; Chonchol, M.; Zoppini, G.; Abaterusso, C.; Bonora, E. Risk of chronic kidney disease in patients with non-alcoholic fatty liver disease: Is there a link? J. Hepatol. 2011, 54, 1020–1029. [Google Scholar] [CrossRef]
- Orlić, L.; Mikolasevic, I.; Bagic, Z.; Racki, S.; Stimac, D.; Milic, S. Chronic kidney disease and nonalcoholic fatty liver disease-is there a link? Gastroenterol. Res. Pract. 2014, 2014, 847539. [Google Scholar] [CrossRef][Green Version]
- Musso, G.; Cassader, M.; Cohney, S.; Pinach, S.; Saba, F.; Gambino, R. Emerging liver-kidney interactions in nonalcoholic fatty liver disease. Trends Mol. Med. 2015, 21, 645–662. [Google Scholar] [CrossRef]
- Matthew Morris, E.; Fletcher, J.A.; Thyfault, J.P.; Rector, R.S. The role of angiotensin II in nonalcoholic steatohepatitis. Mol. Cell. Endocrinol. 2013, 378, 29–40. [Google Scholar] [CrossRef] [PubMed]
- Mizuiri, S.; Ohashi, Y. ACE and ACE2 in kidney disease. World J. Nephrol. 2015, 4, 74–82. [Google Scholar] [CrossRef]
- Byrne, C.D.; Targher, G. NAFLD: A multisystem disease. J. Hepatol. 2015, 62, S47–S64. [Google Scholar] [CrossRef]
- Byrne, C.D.; Targher, G. NAFLD as a driver of chronic kidney disease. J. Hepatol. 2020, 72, 785–801. [Google Scholar] [CrossRef] [PubMed]




| Variables | FLI | p | ||
|---|---|---|---|---|
| <30 | 30–59 | ≥60 | ||
| Participants (n) | 4580 | 2094 | 1104 | |
| Age (yr) | 49.0 (44.0–59.0) | 52.0 (45.0–61.0) | 51.0 (45.0–59.0) | <0.001 |
| Sex (male), n (%) | 1638 (35.8) | 1047 (50.0) | 698 (63.2) | <0.001 |
| BMI (kg/m2) | 23.1 (21.4–24.6) | 25.9 (24.5–27.5) | 27.9 (25.9–29.9) | <0.001 |
| Waist circumference (cm) | 77.3 (72.8–82.0) | 87.0 (83.2–91.0) | 92.0 (88.0–96.7) | <0.001 |
| Education | <0.001 | |||
| Low | 1459 (31.9) | 778 (37.2) | 366 (33.2) | |
| Middle | 1076 (23.5) | 459 (21.9) | 233 (21.1) | |
| High | 2045 (44.7) | 857 (40.9) | 505 (45.7) | |
| Income | 0.016 | |||
| Low | 1547 (33.8) | 790 (37.7) | 393 (35.6) | |
| Middle | 2280 (49.8) | 954 (45.6) | 523 (47.4) | |
| High | 753 (16.4) | 350 (16.7) | 188 (17.0) | |
| Alcohol drinking status, n (%) | <0.001 | |||
| Never | 2546 (55.6) | 995 (47.5) | 403 (36.5) | |
| Former | 293 (6.4) | 169 (8.1) | 92 (8.3) | |
| Current | 1741 (38.0) | 930 (44.4) | 609 (55.2) | |
| Smoking status, n (%) | <0.001 | |||
| Never | 3193 (69.7) | 1213 (57.9) | 497 (45.0) | |
| Former | 536 (11.7) | 342 (16.3) | 237 (21.5) | |
| Current | 851 (18.6) | 539 (25.7) | 370 (33.5) | |
| SBP (mmHg) | 118.0 (108.0–130.0) | 126.0 (114.0–138.0) | 130.0 (120.0–142.0) | <0.001 |
| DBP (mmHg) | 78.0 (70.0–86.0) | 82.0 (76.0–90.0) | 88.0 (80.0–94.0) | <0.001 |
| Creatinine (mg/dL) | 0.8 (0.6–0.9) | 0.8 (0.7–1.0) | 0.9 (0.7–1.0) | <0.001 |
| eGFR (mL/min/1.73 m2) | 98.0 (85.0–107.2) | 93.8 (81.5–102.9) | 93.7 (80.6–103.4) | <0.001 |
| Hemoglobin (g/dL) | 13.1 (12.2–14.1) | 13.9 (12.8–15.0) | 14.5 (13.3–15.5) | <0.001 |
| Albumin (g/dL) | 4.1 (4.0–4.4) | 4.2 (4.1–4.4) | 4.2 (4.1–4.4) | <0.001 |
| hs-CRP (mg/L) | 0.1 (0.0–0.2) | 0.2 (0.1–0.3) | 0.2 (0.1–0.3) | <0.001 |
| AST (U/L) | 25.0 (22.0–29.0) | 27.0 (23.0–32.0) | 31.0 (26.0–39.0) | <0.001 |
| ALT (U/L) | 19.0 (16.0–25.0) | 26.0 (20.0–34.0) | 35.0 (26.0–50.0) | <0.001 |
| γ-GT (U/L) | 13.0 (10.0–19.0) | 24.0 (16.0–40.0) | 48.0 (29.0–81.0) | <0.001 |
| Total cholesterol (mg/dL) | 182.0 (161.0–206.0) | 195.0 (174.0–219.0) | 204.0 (180.0–230.0) | <0.001 |
| HDL cholesterol (mg/dL) | 46.0 (40.0–52.0) | 40.0 (36.0–47.0) | 39.0 (34.0–44.0) | <0.001 |
| Triglyceride (mg/dL) | 108.0 (86.0–138.0) | 163.0 (130.0–215.0) | 235.0 (177.0–320.0) | <0.001 |
| HbA1c (%) | 5.5 (5.3–5.7) | 5.7 (5.4–6.0) | 5.8 (5.5–6.3) | <0.001 |
| HOMA-IR | 1.3 (1.0–1.8) | 1.6 (1.2–2.2) | 2.0 (1.3–2.8) | <0.001 |
| HTN, n (%) | 1196 (26.1) | 979 (46.8) | 637 (57.7) | <0.001 |
| DM, n (%) | 268 (5.9%) | 300 (14.3) | 270 (24.5) | <0.001 |
| Cardiovascular disease, n (%) | 109 (2.4) | 73 (3.5) | 36 (3.3) | 0.024 |
| FLI | |||
|---|---|---|---|
| <30 | 30–59 | ≥60 | |
| n | 4580 | 2094 | 1104 |
| Incident CKD (n) | 447 | 279 | 193 |
| Mean follow-up (yr) | 11.1 | 10.8 | 10.1 |
| Person-years of follow-up | 50,688 | 22,587 | 11,191 |
| Incidence rate per 1000 person-years | 8.82 | 12.35 | 17.25 |
| FLI | p | |||
|---|---|---|---|---|
| <30 | 30–59 | ≥60 | ||
| Crude | 1.00 (reference) | 1.396 (1.202–1.621) | 1.945 (1.643–2.303) | <0.001 |
| Model 1 | 1.00 (reference) | 1.258 (1.083–1.462) | 1.832 (1.544–2.173) | <0.001 |
| Model 2 | 1.00 (reference) | 1.261 (1.085–1.465) | 1.879 (1.582–2.232) | <0.001 |
| Model 3 | 1.00 (reference) | 1.236 (1.059–1.444) | 1.726 (1.443–2.065) | <0.001 |
| Model 4 | 1.00 (reference) | 1.171 (1.000–1.371) | 1.594 (1.325–1.918) | <0.001 |
Disclaimer/Publisher’s Note: The statements, opinions and data contained in all publications are solely those of the individual author(s) and contributor(s) and not of MDPI and/or the editor(s). MDPI and/or the editor(s) disclaim responsibility for any injury to people or property resulting from any ideas, methods, instructions or products referred to in the content. |
© 2024 by the authors. Licensee MDPI, Basel, Switzerland. This article is an open access article distributed under the terms and conditions of the Creative Commons Attribution (CC BY) license (https://creativecommons.org/licenses/by/4.0/).
Share and Cite
Lee, H.H.; Ro, H.; Jung, J.Y.; Chang, J.H.; Chung, W.; Kim, A.J. The Fatty Liver Index’s Association with Incident Chronic Kidney Disease in Korean Middle-Aged Adults: A Community-Based Cohort Study. J. Clin. Med. 2024, 13, 1616. https://doi.org/10.3390/jcm13061616
Lee HH, Ro H, Jung JY, Chang JH, Chung W, Kim AJ. The Fatty Liver Index’s Association with Incident Chronic Kidney Disease in Korean Middle-Aged Adults: A Community-Based Cohort Study. Journal of Clinical Medicine. 2024; 13(6):1616. https://doi.org/10.3390/jcm13061616
Chicago/Turabian StyleLee, Hyun Hee, Han Ro, Ji Yong Jung, Jae Hyun Chang, Wookyung Chung, and Ae Jin Kim. 2024. "The Fatty Liver Index’s Association with Incident Chronic Kidney Disease in Korean Middle-Aged Adults: A Community-Based Cohort Study" Journal of Clinical Medicine 13, no. 6: 1616. https://doi.org/10.3390/jcm13061616
APA StyleLee, H. H., Ro, H., Jung, J. Y., Chang, J. H., Chung, W., & Kim, A. J. (2024). The Fatty Liver Index’s Association with Incident Chronic Kidney Disease in Korean Middle-Aged Adults: A Community-Based Cohort Study. Journal of Clinical Medicine, 13(6), 1616. https://doi.org/10.3390/jcm13061616

