Optimizing Clinical Cardiac MRI Workflow through Single Breath-Hold Compressed Sensing Cine: An Evaluation of Feasibility and Efficiency
Abstract
1. Introduction
2. Materials and Methods
2.1. Study Population
2.2. MR Image Acquisition
2.3. Ventricular Volume Assessment
2.4. Qualitative Image Scoring
2.5. Image Contrast Evaluation
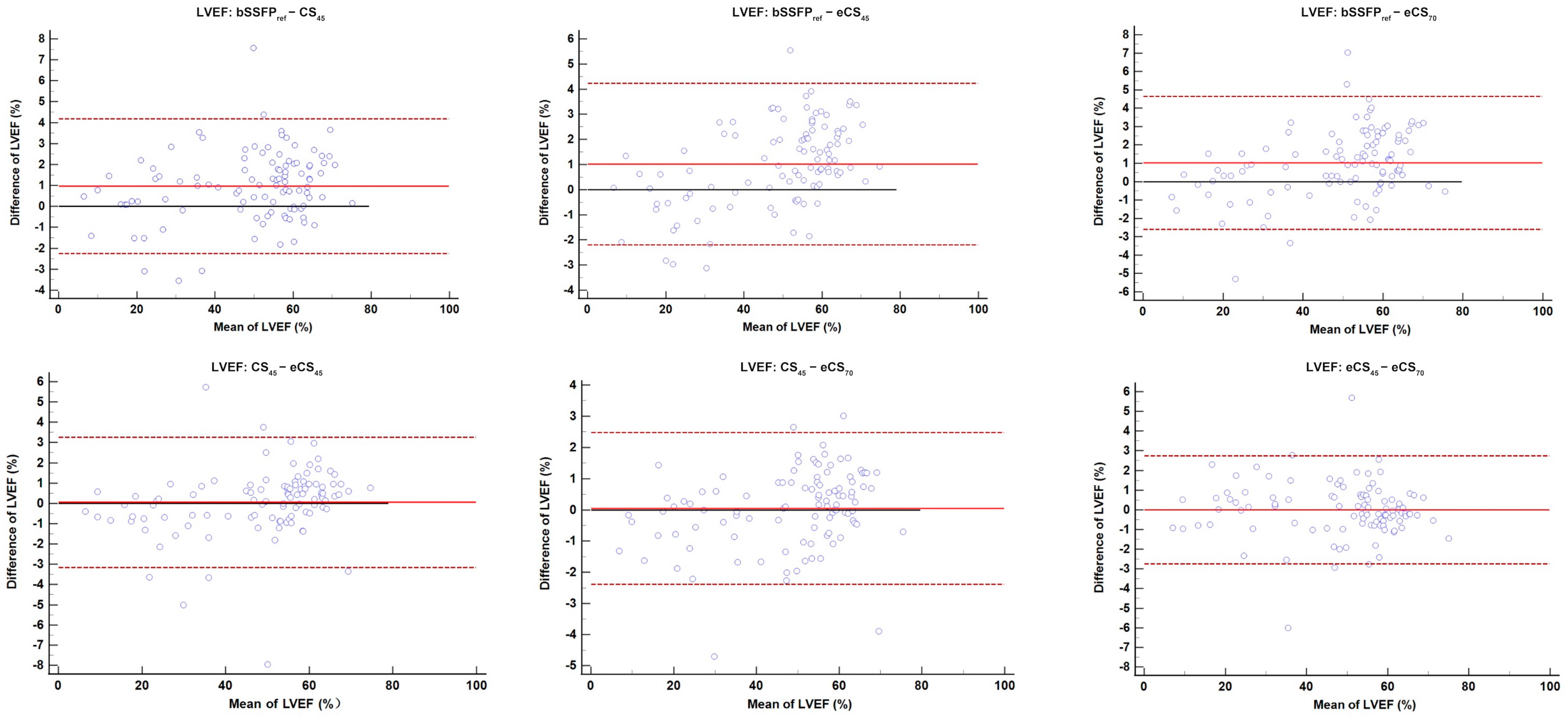
2.6. Statistical Analysis
3. Results
3.1. Demographic
3.2. Scanning Time and Biventricular Function
3.3. Image Quality
4. Discussion
5. Conclusions
Supplementary Materials
Author Contributions
Funding
Institutional Review Board Statement
Informed Consent Statement
Data Availability Statement
Acknowledgments
Conflicts of Interest
References
- Leiner, T.; Bogaert, J.; Friedrich, M.G.; Mohiaddin, R.; Muthurangu, V.; Myerson, S.; Powell, A.J.; Raman, S.V.; Pennell, D.J. SCMR Position Paper (2020) on Clinical Indications for Cardiovascular Magnetic Resonance. J. Cardiovasc. Magn. Reson. Off. J. Soc. Cardiovasc. Magn. Reson. 2020, 22, 76. [Google Scholar] [CrossRef]
- Bruder, O.; Wagner, A.; Lombardi, M.; Schwitter, J.; van Rossum, A.; Pilz, G.; Nothnagel, D.; Steen, H.; Petersen, S.; Nagel, E.; et al. European Cardiovascular Magnetic Resonance (EuroCMR) Registry-Multi National Results from 57 Centers in 15 Countries. J. Cardiovasc. Magn. Reson. Off. J. Soc. Cardiovasc. Magn. Reson. 2013, 15, 9. [Google Scholar] [CrossRef]
- Rajiah, P.S.; François, C.J.; Leiner, T. Cardiac MRI: State of the Art. Radiology 2023, 307, e223008. [Google Scholar] [CrossRef]
- Salerno, M.; Sharif, B.; Arheden, H.; Kumar, A.; Axel, L.; Li, D.; Neubauer, S. Recent Advances in Cardiovascular Magnetic Resonance: Techniques and Applications. Circ Cardiovasc. Imaging 2017, 10, e003951. [Google Scholar] [CrossRef] [PubMed]
- Axel, L.; Otazo, R. Accelerated MRI for the Assessment of Cardiac Function. Br. J. Radiol. 2016, 89, 20150655. [Google Scholar] [CrossRef] [PubMed]
- Vincenti, G.; Monney, P.; Chaptinel, J.; Rutz, T.; Coppo, S.; Zenge, M.O.; Schmidt, M.; Nadar, M.S.; Piccini, D.; Chèvre, P.; et al. Compressed Sensing Single-Breath-Hold CMR for Fast Quantification of LV Function, Volumes, and Mass. JACC Cardiovasc. Imaging 2014, 7, 882–892. [Google Scholar] [CrossRef]
- Longère, B.; Chavent, M.-H.; Coisne, A.; Gkizas, C.; Pagniez, J.; Simeone, A.; Silvestri, V.; Schmidt, M.; Forman, C.; Montaigne, D.; et al. Single Breath-Hold Compressed Sensing Real-Time Cine Imaging to Assess Left Ventricular Motion in Myocardial Infarction. Diagn. Interv. Imaging 2021, 102, 297–303. [Google Scholar] [CrossRef] [PubMed]
- Lustig, M.; Donoho, D.; Pauly, J.M. Sparse MRI: The Application of Compressed Sensing for Rapid MR Imaging. Magn. Reson. Med. 2007, 58, 1182–1195. [Google Scholar] [CrossRef] [PubMed]
- Ma, Y.; Hou, Y.; Ma, Q.; Wang, X.; Sui, S.; Wang, B. Compressed SENSE Single-Breath-Hold and Free-Breathing Cine Imaging for Accelerated Clinical Evaluation of the Left Ventricle. Clin. Radiol. 2019, 74, 325.e9–325.e17. [Google Scholar] [CrossRef] [PubMed]
- Curtis, A.D.; Cheng, H.M. Primer and Historical Review on Rapid Cardiac CINE MRI. Magn. Reson. Imaging 2022, 55, 373–388. [Google Scholar] [CrossRef] [PubMed]
- Schulz-Menger, J.; Bluemke, D.A.; Bremerich, J.; Flamm, S.D.; Fogel, M.A.; Friedrich, M.G.; Kim, R.J.; von Knobelsdorff-Brenkenhoff, F.; Kramer, C.M.; Pennell, D.J.; et al. Standardized Image Interpretation and Post-Processing in Cardiovascular Magnetic Resonance—2020 Update: Society for Cardiovascular Magnetic Resonance (SCMR): Board of Trustees Task Force on Standardized Post-Processing. J. Cardiovasc. Magn. Reson. 2020, 22, 19. [Google Scholar] [CrossRef]
- Muthurangu, V.; Lurz, P.; Critchely, J.D.; Deanfield, J.E.; Taylor, A.M.; Hansen, M.S. Real-Time Assessment of Right and Left Ventricular Volumes and Function in Patients with Congenital Heart Disease by Using High Spatiotemporal Resolution Radial k-t SENSE. Radiology 2008, 248, 782–791. [Google Scholar] [CrossRef]
- Klinke, V.; Muzzarelli, S.; Lauriers, N.; Locca, D.; Vincenti, G.; Monney, P.; Lu, C.; Nothnagel, D.; Pilz, G.; Lombardi, M.; et al. Quality Assessment of Cardiovascular Magnetic Resonance in the Setting of the European CMR Registry: Description and Validation of Standardized Criteria. J. Cardiovasc. Magn. Reson. 2013, 15, 55. [Google Scholar] [CrossRef]
- Zou, Q.; Xu, H.-Y.; Fu, C.; Zhou, X.-Y.; Xu, R.; Yang, M.-X.; Yang, Z.-G.; Guo, Y.-K. Utility of Single-Shot Compressed Sensing Cardiac Magnetic Resonance Cine Imaging for Assessment of Biventricular Function in Free-Breathing and Arrhythmic Pediatric Patients. Int. J. Cardiol. 2021, 338, 258–264. [Google Scholar] [CrossRef]
- Roy, C.W.; Seed, M.; Macgowan, C.K. Accelerated MRI of the Fetal Heart Using Compressed Sensing and Metric Optimized Gating: Accelerated MRI of the Fetal Heart Using CS-MOG. Magn. Reson. Med. 2017, 77, 2125–2135. [Google Scholar] [CrossRef]
- Lin, A.C.W.; Strugnell, W.; Riley, R.; Schmitt, B.; Zenge, M.; Schmidt, M.; Morris, N.R.; Hamilton-Craig, C. Higher Resolution Cine Imaging with Compressed Sensing for Accelerated Clinical Left Ventricular Evaluation: High-Res CS Cine for Clinical LV Evaluation. J. Magn. Reson. Imaging 2017, 45, 1693–1699. [Google Scholar] [CrossRef] [PubMed]
- Lin, L.; Li, Y.; Wang, J.; Cao, L.; Liu, Y.; Pang, J.; An, J.; Jin, Z.; Wang, Y. Free-Breathing Cardiac Cine MRI with Compressed Sensing Real-Time Imaging and Retrospective Motion Correction: Clinical Feasibility and Validation. Eur. Radiol. 2022, 33, 2289–2300. [Google Scholar] [CrossRef] [PubMed]
- Wilcox, J.E.; Fang, J.C.; Margulies, K.B.; Mann, D.L. Heart Failure With Recovered Left Ventricular Ejection Fraction. J. Am. Coll. Cardiol. 2020, 76, 719–734. [Google Scholar] [CrossRef] [PubMed]
- Chen, Y.; Qian, W.; Liu, W.; Zhu, Y.; Zhou, X.; Xu, Y.; Zhu, X. Feasibility of Single-Shot Compressed Sensing Cine Imaging for Analysis of Left Ventricular Function and Strain in Cardiac MRI. Clin. Radiol. 2021, 76, 471.e1–471.e7. [Google Scholar] [CrossRef] [PubMed]
- Goebel, J.; Nensa, F.; Schemuth, H.P.; Maderwald, S.; Gratz, M.; Quick, H.H.; Schlosser, T.; Nassenstein, K. Compressed Sensing Cine Imaging with High Spatial or High Temporal Resolution for Analysis of Left Ventricular Function: Compressed Sensing Cine Imaging. J. Magn. Reson. Imaging 2016, 44, 366–374. [Google Scholar] [CrossRef] [PubMed]
- Vermersch, M.; Longère, B.; Coisne, A.; Schmidt, M.; Forman, C.; Monnet, A.; Pagniez, J.; Silvestri, V.; Simeone, A.; Cheasty, E.; et al. Compressed Sensing Real-Time Cine Imaging for Assessment of Ventricular Function, Volumes and Mass in Clinical Practice. Eur. Radiol. 2020, 30, 609–619. [Google Scholar] [CrossRef]
- Roifman, I.; Hammer, M.; Sparkes, J.; Dall’Armellina, E.; Kwong, R.Y.; Wright, G. Utilization and Impact of Cardiovascular Magnetic Resonance on Patient Management in Heart Failure: Insights from the SCMR Registry. J. Cardiovasc. Magn. Reson. 2022, 24, 65. [Google Scholar] [CrossRef]
- Kocaoglu, M.; Pednekar, A.S.; Wang, H.; Alsaied, T.; Taylor, M.D.; Rattan, M.S. Breath-Hold and Free-Breathing Quantitative Assessment of Biventricular Volume and Function Using Compressed SENSE: A Clinical Validation in Children and Young Adults. J. Cardiovasc. Magn. Reson. 2020, 22, 54. [Google Scholar] [CrossRef] [PubMed]
- Wang, J.; Li, X.; Lin, L.; Dai, J.W.; Schmidt, M.; Forman, C.; An, J.; Jin, Z.Y.; Wang, Y.N. Diagnostic Efficacy of 2-Shot Compressed Sensing Cine Sequence Cardiovascular Magnetic Resonance Imaging for Left Ventricular Function. Cardiovasc. Diagn. Ther. 2020, 10, 431–441. [Google Scholar] [CrossRef] [PubMed]
- Delattre, B.M.A.; Boudabbous, S.; Hansen, C.; Neroladaki, A.; Hachulla, A.-L.; Vargas, M.I. Compressed Sensing MRI of Different Organs: Ready for Clinical Daily Practice? Eur. Radiol. 2020, 30, 308–319. [Google Scholar] [CrossRef] [PubMed]
- Kuetting, D.L.R.; Feisst, A.; Dabir, D.; Luetkens, J.; Homsi, R.; Thomas, D.; Schild, H.H.; Sprinkart, A.M. The Effects of Flip Angle Optimization on the Precision and Reproducibility of Feature Tracking Derived Strain Assessment in Contrast Enhanced bSSFP Cine Images. Eur. J. Radiol. 2018, 102, 9–14. [Google Scholar] [CrossRef]






| Parameter | bSSFPref | CS45 | CS70 |
|---|---|---|---|
| Sequence | 2D bSSFP cine | 2D bSSFP cine | 2D bSSFP cine |
| ECG mode | Retrospective | Retrospective | Retrospective |
| Field of view (mm2) | 360 × 320 | 360 × 320 | 360 × 320 |
| Matrix | 192 × 171 | 192 × 171 | 192 × 171 |
| Spatial resolution (mm2) | 1.88 × 1.88 | 1.88 × 1.88 | 1.88 × 1.88 |
| Slice thickness (mm) | 8 | 8 | 8 |
| Repetition time (ms) | 3.12 | 2.86 | 2.86 |
| Echo time (ms) | 1.51 | 1.34 | 1.34 |
| Flip angle(degrees) | 45 | 45 | 70 |
| Temporal resolution (ms) | 31.2 | 42.9 | 42.9 |
| Bandwidth (Hz/pixel) | 1200 | 1200 | 1200 |
| Cardiac phase (n) | 25 | 25 | 25 |
| Acceleration factor | 2 | 11.4 | 11.4 |
| Number of breath-hold ((short-axis, n) | 9.1 ± 0.6 | 1 | 1 |
| Iterative reconstruction (n) | - | 80 | 80 |
| Characteristics | Patients (n = 104) | Range |
|---|---|---|
| Age (y) | 46.5 ± 17.1 | 14–86 |
| Sex (Female/Male) | 29/75 | - |
| Height (cm) | 167.5 ± 8.9 | 146–188 |
| Weight (kg) | 68.8 ± 17.1 | 42–129 |
| BMI (kg/m2) | 24.3 ± 4.5 | 17.3–41.2 |
| Main cardiovascular-related etiology | ||
| HCM | 24 | - |
| Arrhythmia | 23 | - |
| ICM | 17 | - |
| DCM | 13 | - |
| Myocarditis | 11 | - |
| Hypertension | 5 | - |
| Amyloidosis | 3 | - |
| Takotsubo cardiomyopathy | 2 | - |
| Rheumatic heart disease | 3 | - |
| ARVC | 1 | - |
| Glycogen storage disease | 1 | - |
| Sarcoidosis | 1 | - |
| bSSFPref a (Mean ± SD) | CS45 b (Mean ± SD) | eCS45 c (Mean ± SD) | eCS70 d (Mean ± SD) | p Value | ||||||
|---|---|---|---|---|---|---|---|---|---|---|
| ab | ac | ad | bc | bd | cd | |||||
| Heart rate of short-axis cine (Bpm) | 67.7 ± 11.8 | 67.8 ± 11.6 | 68.1 ± 12.0 | 67.8 ± 10.9 | - | - | - | - | - | - |
| Scanning time of short-axis cine (s) | 119.7 ± 23.3 | 18.2 ± 3.3 | 18.2 ± 3.3 | 18.2 ± 3.1 | ** | ** | ** | - | - | - |
| Scanning time of four chamber cine (s) | 10.5 ± 2.4 | 1.8 ± 0.3 | 1.8 ± 0.3 | 1.8 ± 0.3 | ** | ** | ** | - | - | - |
| Global image quality (score) | 2.8 ± 0.4 | 3.00 ± 0.00 | 2.9 ± 0.3 | 3.00 ± 0.0 | ** | * | ** | * | - | * |
| Artifacts (score) | 4.5 ± 0.7 | 4.9 ± 0.3 | 4.7 ± 0.5 | 4.9 ± 0.3 | ** | * | ** | ** | - | ** |
| Image contrast (score) | 2.5 ± 0.3 | 2.5 ± 0.3 | 1.7 ± 0.2 | 2.1 ± 0.3 | - | ** | ** | ** | ** | ** |
| bSSFPref a Mean ± SD | CS45 b Mean ± SD | eCS45 c Mean ± SD | eCS70 d Mean ± SD | p Value | ||||||
|---|---|---|---|---|---|---|---|---|---|---|
| ab | ac | ad | bc | bd | cd | |||||
| LVEDV (mL) | 161.3 ± 65.5 | 159.4 ± 67.9 | 166.9 ± 69.2 | 165.0 ± 67.1 | * | ** | ** | ** | ** | ** |
| LVESV (mL) | 88.5 ± 68.8 | 89.3 ± 70.8 | 93.4 ± 72.4 | 92.1 ± 70.2 | - | ** | ** | ** | ** | * |
| LVSV (mL) | 72.7 ± 26.0 | 70.0 ± 25.0 | 73.4 ± 24.9 | 72.9 ± 25.2 | ** | - | - | ** | ** | - |
| LVEF (%) | 49.2 ± 16.9 | 48.3 ± 16.5 | 48.2 ± 16.1 | 48.2 ± 16.1 | ** | ** | ** | - | - | - |
| LVM (g) | 120.8 ± 48.7 | 123.4 ± 49.8 | 119.2 ± 48.3 | 121.0 ± 49.1 | ** | * | - | ** | ** | ** |
| RVEDV (mL) | 137.4 ± 48.3 | 136.4 ± 49.1 | 148.7 ± 53.1 | 146.8 ± 48.4 | - | ** | ** | ** | ** | - |
| RVESV (mL) | 79.6 ± 38.0 | 79.5 ± 39.5 | 88.3 ± 44.1 | 86.6 ± 39.3 | - | ** | ** | ** | ** | * |
| RVSV (mL) | 57.8 ± 26.1 | 56.9 ± 25.8 | 60.4 ± 26.7 | 60.2 ± 26.0 | * | ** | ** | ** | ** | - |
| RVEF (%) | 42.9 ± 13.5 | 42.8 ± 13.5 | 41.8 ± 13.2 | 42.0 ± 13.0 | - | ** | ** | ** | ** | - |
| Intra-Observer Variability | Inter-Observer Variability | |||||||
|---|---|---|---|---|---|---|---|---|
| bSSFPref | CS45 | eCS45 | eCS70 | bSSFPref | CS45 | eCS45 | eCS70 | |
| LVEDV | 0.983 ** | 0.980 ** | 0.986 ** | 0.980 ** | 0.974 ** | 0.977 ** | 0.978 ** | 0.969 ** |
| LVESV | 0.976 ** | 0.925 ** | 0.965 ** | 0.957 ** | 0.964 ** | 0.963 ** | 0.963 ** | 0.970 ** |
| LVSV | 0.959 ** | 0.955 ** | 0.932 ** | 0.926 ** | 0.964 ** | 0.905 ** | 0.906 ** | 0.903 ** |
| LVEF | 0.950 ** | 0.911 ** | 0.906 ** | 0.900 ** | 0.953 ** | 0.916 ** | 0.930 ** | 0.929 ** |
| LVM | 0.990 ** | 0.990 ** | 0.981 ** | 0.983 ** | 0.973 ** | 0.973 ** | 0.953 ** | 0.970 ** |
Disclaimer/Publisher’s Note: The statements, opinions and data contained in all publications are solely those of the individual author(s) and contributor(s) and not of MDPI and/or the editor(s). MDPI and/or the editor(s) disclaim responsibility for any injury to people or property resulting from any ideas, methods, instructions or products referred to in the content. |
© 2024 by the authors. Licensee MDPI, Basel, Switzerland. This article is an open access article distributed under the terms and conditions of the Creative Commons Attribution (CC BY) license (https://creativecommons.org/licenses/by/4.0/).
Share and Cite
Wang, F.; Zhou, J.; Pu, C.; Yu, F.; Wu, Y.; Zhang, L.; Ma, S.; Hu, H. Optimizing Clinical Cardiac MRI Workflow through Single Breath-Hold Compressed Sensing Cine: An Evaluation of Feasibility and Efficiency. J. Clin. Med. 2024, 13, 753. https://doi.org/10.3390/jcm13030753
Wang F, Zhou J, Pu C, Yu F, Wu Y, Zhang L, Ma S, Hu H. Optimizing Clinical Cardiac MRI Workflow through Single Breath-Hold Compressed Sensing Cine: An Evaluation of Feasibility and Efficiency. Journal of Clinical Medicine. 2024; 13(3):753. https://doi.org/10.3390/jcm13030753
Chicago/Turabian StyleWang, Fuyan, Junjie Zhou, Cailing Pu, Feidan Yu, Yan Wu, Lingjie Zhang, Siying Ma, and Hongjie Hu. 2024. "Optimizing Clinical Cardiac MRI Workflow through Single Breath-Hold Compressed Sensing Cine: An Evaluation of Feasibility and Efficiency" Journal of Clinical Medicine 13, no. 3: 753. https://doi.org/10.3390/jcm13030753
APA StyleWang, F., Zhou, J., Pu, C., Yu, F., Wu, Y., Zhang, L., Ma, S., & Hu, H. (2024). Optimizing Clinical Cardiac MRI Workflow through Single Breath-Hold Compressed Sensing Cine: An Evaluation of Feasibility and Efficiency. Journal of Clinical Medicine, 13(3), 753. https://doi.org/10.3390/jcm13030753
