Eosinophilic Patterns in Patients with Seasonal Allergy Affected by Bronchial Asthma and Rhinitis/Rhinosinusitis: Efficacy of Benralizumab in Patients with the Persistent Pattern
Abstract
1. Introduction
2. Materials and Methods
2.1. Patients
2.2. Clinical Scores
2.3. Skin Prick Test, Total and Specific IgE
2.4. Pulmonary Function Tests
2.5. CT-Scan, Nasal Endoscopy, ENT (Ear–Nose–Throat) Evaluation
2.6. Blood Eosinophil Count
2.7. Treatments
2.8. Data Analysis
3. Results
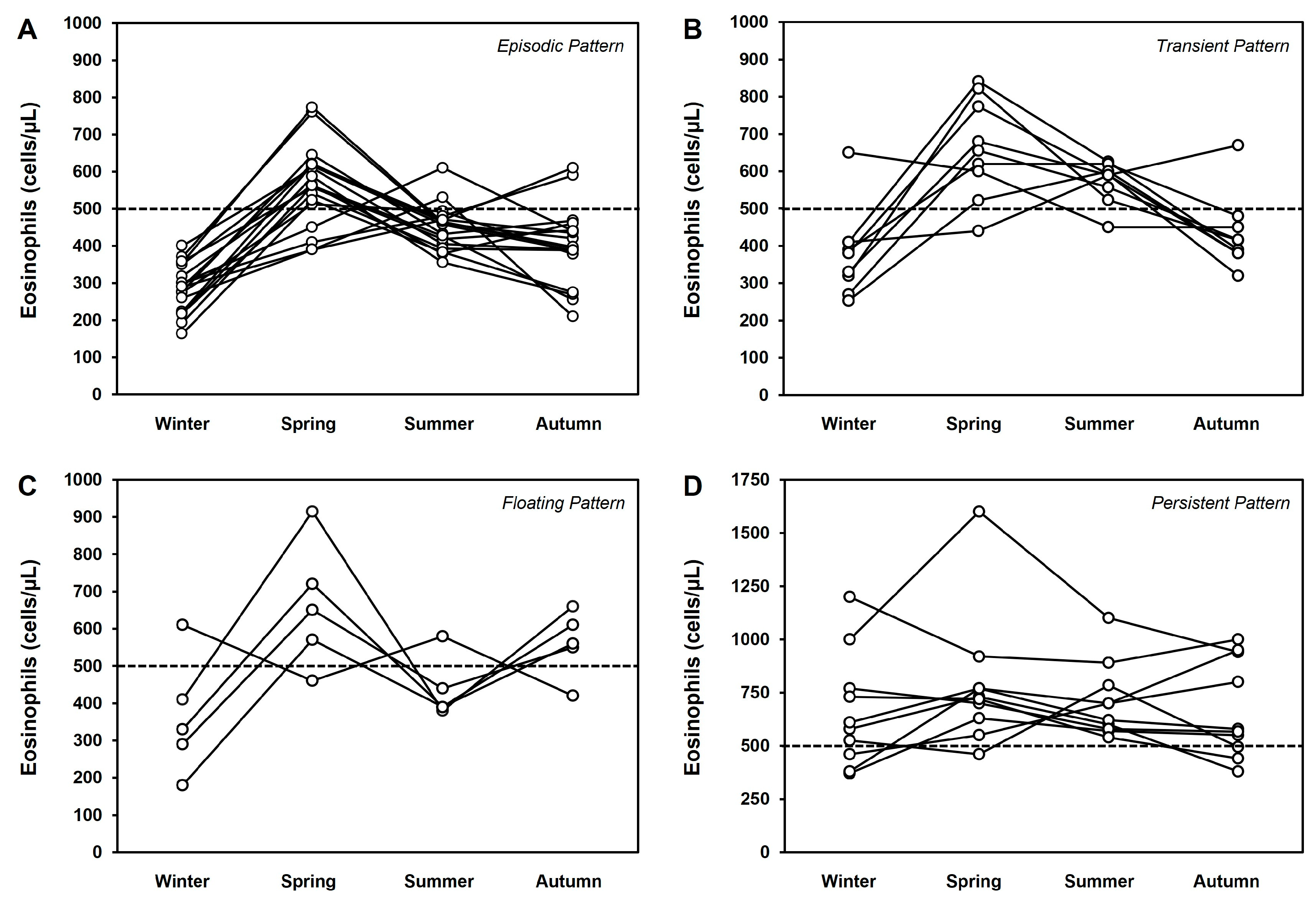
3.1. Absolute Peripheral Eosinophil Count Assessment and Definition of the Eosinophilic Patterns
- -
- Episodic pattern: The number of eosinophils was > 500 cells/μL in one out of four determinations (n = 18; Figure 3A), in most cases during spring.
- -
- Transient pattern: The number of eosinophils was > 500 cells/μL in two consecutive determinations (n = 9; Figure 3B), in most cases during spring and summer.
- -
- Floating pattern: The number of eosinophils was > 500 cells/μL in two not-consecutive determinations (n = 5; Figure 3C); in most cases one of these was during spring.
- -
- Persistent pattern: The number of eosinophils was > 500 cells/μL in at least three determinations (n = 10; Figure 3D), without a clear association with the seasons.

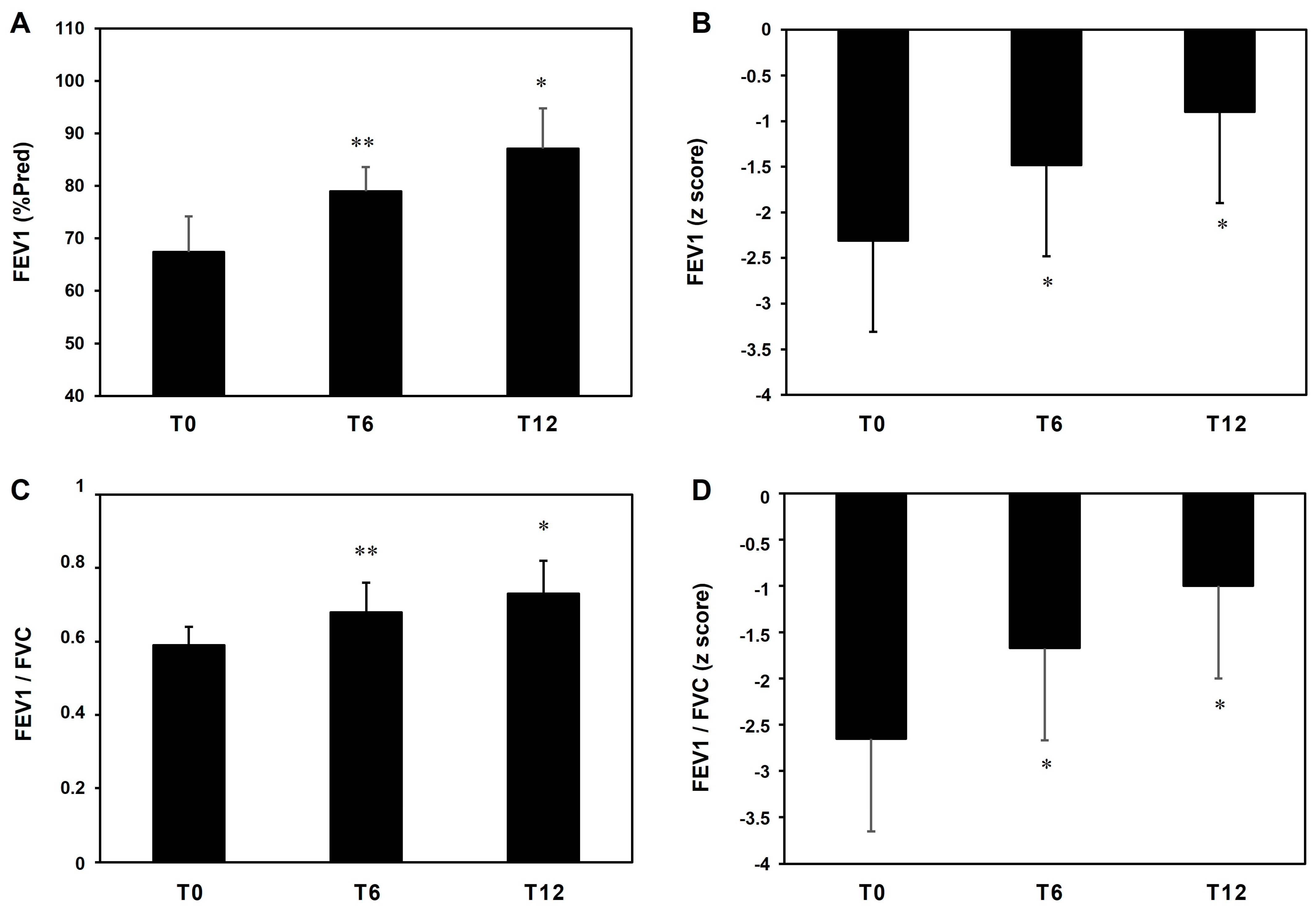
3.2. Clinical Outcomes following Benralizumab in Patients with the Persistent Pattern
4. Discussion
5. Conclusions
Author Contributions
Funding
Institutional Review Board Statement
Informed Consent Statement
Data Availability Statement
Conflicts of Interest
References
- Rosenberg, H.F.; Dyer, K.D.; Foster, P.S. Eosinophils: Changing perspectives in health and disease. Nat. Rev. Immunol. 2013, 13, 9–22. [Google Scholar] [CrossRef]
- Blanchard, C.; Rothenberg, M.E. Biology of the eosinophil. Adv. Immunol. 2009, 101, 81–121. [Google Scholar] [CrossRef]
- Hogan, S.P.; Rosenberg, H.F.; Moqbel, R.; Phipps, S.; Foster, P.S.; Lacy, P.; Kay, A.B.; Rothenberg, M.E. Eosinophils: Biological properties and role in health and disease. Clin. Exp. Allergy 2008, 38, 709–750. [Google Scholar] [CrossRef]
- Maniscalco, M.; Fuschillo, S.; Mormile, I.; Detoraki, A.; Sarnelli, G.; Paulis, A.; Spadaro, G.; Cantone, E.; Path-2 Task, F. Exhaled Nitric Oxide as Biomarker of Type 2 Diseases. Cells 2023, 12, 2518. [Google Scholar] [CrossRef]
- Rosenberg, H.F.; Dyer, K.D.; Domachowske, J.B. Respiratory viruses and eosinophils: Exploring the connections. Antiviral. Res. 2009, 83, 1–9. [Google Scholar] [CrossRef]
- Valent, P.; Degenfeld-Schonburg, L.; Sadovnik, I.; Horny, H.P.; Arock, M.; Simon, H.U.; Reiter, A.; Bochner, B.S. Eosinophils and eosinophil-associated disorders: Immunological, clinical, and molecular complexity. Semin. Immunopathol. 2021, 43, 423–438. [Google Scholar] [CrossRef] [PubMed]
- Kovalszki, A.; Weller, P.F. Eosinophilia. Prim. Care 2016, 43, 607–617. [Google Scholar] [CrossRef] [PubMed]
- Wardlaw, A.J. Eosinophils in the 1990s: New perspectives on their role in health and disease. Postgrad Med. J. 1994, 70, 536–552. [Google Scholar] [CrossRef] [PubMed]
- Rosenberg, H.F.; Domachowske, J.B. Eosinophils, ribonucleases and host defense: Solving the puzzle. Immunol. Res. 1999, 20, 261–274. [Google Scholar] [CrossRef] [PubMed]
- Larsen, R.L.; Savage, N.M. How I investigate Eosinophilia. Int. J. Lab. Hematol. 2019, 41, 153–161. [Google Scholar] [CrossRef] [PubMed]
- Chipps, B.E.; Jarjour, N.; Calhoun, W.J.; Iqbal, A.; Haselkorn, T.; Yang, M.; Brumm, J.; Corren, J.; Holweg, C.T.J.; Bafadhel, M. A Comprehensive Analysis of the Stability of Blood Eosinophil Levels. Ann. Am. Thorac. Soc. 2021, 18, 1978–1987. [Google Scholar] [CrossRef] [PubMed]
- Shomali, W.; Gotlib, J. World Health Organization-defined eosinophilic disorders: 2022 update on diagnosis, risk stratification, and management. Am. J. Hematol. 2022, 97, 129–148. [Google Scholar] [CrossRef] [PubMed]
- Valent, P.; Klion, A.D.; Roufosse, F.; Simon, D.; Metzgeroth, G.; Leiferman, K.M.; Schwaab, J.; Butterfield, J.H.; Sperr, W.R.; Sotlar, K.; et al. Proposed refined diagnostic criteria and classification of eosinophil disorders and related syndromes. Allergy 2023, 78, 47–59. [Google Scholar] [CrossRef] [PubMed]
- Costagliola, G.; Marco, S.D.; Comberiati, P.; D’Elios, S.; Petashvili, N.; Di Cicco, M.E.; Peroni, D. Practical Approach to Children Presenting with Eosinophila and Hypereosinophilia. Curr. Pediatr. Rev. 2020, 16, 81–88. [Google Scholar] [CrossRef] [PubMed]
- Scheidegger, E.P.; Debrunner, M.; Huber, A.R. Eosinophilia. Ther. Umsch. 2006, 63, 83–88. [Google Scholar] [CrossRef] [PubMed]
- Mormile, M.; Mormile, I.; Fuschillo, S.; Rossi, F.W.; Lamagna, L.; Ambrosino, P.; de Paulis, A.; Maniscalco, M. Eosinophilic Airway Diseases: From Pathophysiological Mechanisms to Clinical Practice. Int. J. Mol. Sci. 2023, 24, 7254. [Google Scholar] [CrossRef] [PubMed]
- Agache, I.; Beltran, J.; Akdis, C.; Akdis, M.; Canelo-Aybar, C.; Canonica, G.W.; Casale, T.; Chivato, T.; Corren, J.; Del Giacco, S.; et al. Efficacy and safety of treatment with biologicals (benralizumab, dupilumab, mepolizumab, omalizumab and reslizumab) for severe eosinophilic asthma. A systematic review for the EAACI Guidelines—Recommendations on the use of biologicals in severe asthma. Allergy 2020, 75, 1023–1042. [Google Scholar] [CrossRef]
- Oppenheimer, J.; Hoyte, F.C.L.; Phipatanakul, W.; Silver, J.; Howarth, P.; Lugogo, N.L. Allergic and eosinophilic asthma in the era of biomarkers and biologics: Similarities, differences and misconceptions. Ann. Allergy Asthma Immunol. 2022, 129, 169–180. [Google Scholar] [CrossRef]
- Flood-Page, P.T.; Menzies-Gow, A.N.; Kay, A.B.; Robinson, D.S. Eosinophil’s role remains uncertain as anti-interleukin-5 only partially depletes numbers in asthmatic airway. Am. J. Respir. Crit. Care Med. 2003, 167, 199–204. [Google Scholar] [CrossRef]
- Pavord, I.D.; Korn, S.; Howarth, P.; Bleecker, E.R.; Buhl, R.; Keene, O.N.; Ortega, H.; Chanez, P. Mepolizumab for severe eosinophilic asthma (DREAM): A multicentre, double-blind, placebo-controlled trial. Lancet 2012, 380, 651–659. [Google Scholar] [CrossRef]
- Matucci, A.; Maggi, E.; Vultaggio, A. Eosinophils, the IL-5/IL-5Ralpha axis, and the biologic effects of benralizumab in severe asthma. Respir. Med. 2019, 160, 105819. [Google Scholar] [CrossRef]
- Dagher, R.; Kumar, V.; Copenhaver, A.M.; Gallagher, S.; Ghaedi, M.; Boyd, J.; Newbold, P.; Humbles, A.A.; Kolbeck, R. Novel mechanisms of action contributing to benralizumab’s potent anti-eosinophilic activity. Eur. Respir. J. 2022, 59, 2004306. [Google Scholar] [CrossRef]
- Tan, L.D.; Bratt, J.M.; Godor, D.; Louie, S.; Kenyon, N.J. Benralizumab: A unique IL-5 inhibitor for severe asthma. J. Asthma Allergy 2016, 9, 71–81. [Google Scholar] [CrossRef]
- Hartl, S.; Breyer, M.K.; Burghuber, O.C.; Ofenheimer, A.; Schrott, A.; Urban, M.H.; Agusti, A.; Studnicka, M.; Wouters, E.F.M.; Breyer-Kohansal, R. Blood eosinophil count in the general population: Typical values and potential confounders. Eur. Respir. J. 2020, 55, 1901874. [Google Scholar] [CrossRef] [PubMed]
- Toledo-Pons, N.; van Boven, J.F.M.; Muncunill, J.; Millan, A.; Roman-Rodriguez, M.; Lopez-Andrade, B.; Almonacid, C.; Alvarez, D.V.; Kocks, J.W.H.; Cosio, B.G. Impact of Blood Eosinophil Variability in Asthma: A Real-Life Population Study. Ann. Am. Thorac. Soc. 2022, 19, 407–414. [Google Scholar] [CrossRef] [PubMed]
- Spector, S.L.; Tan, R.A. Is a single blood eosinophil count a reliable marker for “eosinophilic asthma?”. J. Asthma 2012, 49, 807–810. [Google Scholar] [CrossRef] [PubMed]
- Mormile, I.; Granata, F.; Detoraki, A.; Pacella, D.; Della Casa, F.; De Rosa, F.; Romano, A.; de Paulis, A.; Rossi, F.W. Predictive Response to Immunotherapy Score: A Useful Tool for Identifying Eligible Patients for Allergen Immunotherapy. Biomedicines 2022, 10, 971. [Google Scholar] [CrossRef] [PubMed]
- Di Spigna, G.; Ladogana, P.; Covelli, B.; Ricciardone, M.; Salzano, S.; Spalletti Cernia, D.; Mormile, I.; Varriale, G.; Catapano, O.; Spadaro, G.; et al. Component resolved diagnosis by recombinant allergens in patients with allergies to inhalants. J. Biol. Regul. Homeost Agents 2020, 34, 1729–1737. [Google Scholar] [CrossRef]
- Yayan, J.; Rasche, K. Asthma and COPD: Similarities and Differences in the Pathophysiology, Diagnosis and Therapy. Adv. Exp. Med. Biol. 2016, 910, 31–38. [Google Scholar] [CrossRef] [PubMed]
- Martinez-Pitre, P.J.; Sabbula, B.R.; Cascella, M. Restrictive Lung Disease; StatPearls: Treasure Island, FL, USA, 2023. [Google Scholar]
- Song, W.J.; Niimi, A. Angiotensin-Converting Enzyme Inhibitors, Asthma, and Cough: Relighting the Torch. J. Allergy Clin. Immunol. Pract. 2021, 9, 3440–3441. [Google Scholar] [CrossRef] [PubMed]
- Mormile, M.M.I.; Palladino, F.; Molino, A.; Ruggiero, S.; Telesca, D.A.; Cappello, C.; Sivero, L. Gastro-esophageal reflux disease influence on asthma symptoms: Assessment of non-responder to the standard treatment. Minerva Pneumol. 2015, 54, 157–159. [Google Scholar]
- Levy, M.L.; Bacharier, L.B.; Bateman, E.; Boulet, L.P.; Brightling, C.; Buhl, R.; Brusselle, G.; Cruz, A.A.; Drazen, J.M.; Duijts, L.; et al. Key recommendations for primary care from the 2022 Global Initiative for Asthma (GINA) update. NPJ Prim. Care Respir. Med. 2023, 33, 7. [Google Scholar] [CrossRef]
- Bousquet, J.; Schunemann, H.J.; Togias, A.; Bachert, C.; Erhola, M.; Hellings, P.W.; Klimek, L.; Pfaar, O.; Wallace, D.; Ansotegui, I.; et al. Next-generation Allergic Rhinitis and Its Impact on Asthma (ARIA) guidelines for allergic rhinitis based on Grading of Recommendations Assessment, Development and Evaluation (GRADE) and real-world evidence. J. Allergy Clin. Immunol. 2020, 145, 70–80 e73. [Google Scholar] [CrossRef]
- Przybyszowski, M.; Stachura, T.; Szafraniec, K.; Sladek, K.; Bochenek, G. The influence of self-assessment of asthma control on the Asthma Control Test outcome. J. Asthma 2021, 58, 537–546. [Google Scholar] [CrossRef]
- Schatz, M.; Zeiger, R.S.; Drane, A.; Harden, K.; Cibildak, A.; Oosterman, J.E.; Kosinski, M. Reliability and predictive validity of the Asthma Control Test administered by telephone calls using speech recognition technology. J. Allergy Clin. Immunol. 2007, 119, 336–343. [Google Scholar] [CrossRef] [PubMed]
- Rhee, H.; Belyea, M.; Mammen, J. Visual analogue scale (VAS) as a monitoring tool for daily changes in asthma symptoms in adolescents: A prospective study. Allergy Asthma Clin. Immunol. 2017, 13, 24. [Google Scholar] [CrossRef] [PubMed]
- Ciprandi, G.; La Mantia, I. VAS for assessing the perception of antihistamines use in allergic rhinitis. Acta Biomed. 2019, 90, 41–44. [Google Scholar] [CrossRef] [PubMed]
- Sousa-Pinto, B.; Azevedo, L.F.; Jutel, M.; Agache, I.; Canonica, G.W.; Czarlewski, W.; Papadopoulos, N.G.; Bergmann, K.C.; Devillier, P.; Laune, D.; et al. Development and validation of combined symptom-medication scores for allergic rhinitis. Allergy 2022, 77, 2147–2162. [Google Scholar] [CrossRef] [PubMed]
- Gallo, S.; Russo, F.; Mozzanica, F.; Preti, A.; Bandi, F.; Costantino, C.; Gera, R.; Ottaviani, F.; Castelnuovo, P. Prognostic value of the Sinonasal Outcome Test 22 (SNOT-22) in chronic rhinosinusitis. Acta Otorhinolaryngol. Ital. 2020, 40, 113–121. [Google Scholar] [CrossRef]
- Nicholson, P.J. The updated ATS/ERS spirometry technical standards. Occup. Med. 2020, 70, 146–148. [Google Scholar] [CrossRef]
- Berresheim, H.; Beine, A.; van Kampen, V.; Lehnert, M.; Nollenheidt, C.; Bruning, T.; Hoffmeyer, F. ATS/ERS spirometry quality criteria in real life. Results of two occupational field studies. Respir. Physiol. Neurobiol. 2023, 315, 104094. [Google Scholar] [CrossRef]
- Janson, C.; Malinovschi, A.; Amaral, A.F.S.; Accordini, S.; Bousquet, J.; Buist, A.S.; Canonica, G.W.; Dahlen, B.; Garcia-Aymerich, J.; Gnatiuc, L.; et al. Bronchodilator reversibility in asthma and COPD: Findings from three large population studies. Eur. Respir. J. 2019, 54, 1900561. [Google Scholar] [CrossRef]
- Tan, W.C.; Vollmer, W.M.; Lamprecht, B.; Mannino, D.M.; Jithoo, A.; Nizankowska-Mogilnicka, E.; Mejza, F.; Gislason, T.; Burney, P.G.; Buist, A.S.; et al. Worldwide patterns of bronchodilator responsiveness: Results from the Burden of Obstructive Lung Disease study. Thorax 2012, 67, 718–726. [Google Scholar] [CrossRef]
- Di Lorenzo, G.; Mansueto, P.; Melluso, M.; Morici, G.; Norrito, F.; Esposito Pellitteri, M.; Di Salvo, A.; Colombo, A.; Candore, G.; Caruso, C. Non-specific airway hyperresponsiveness in mono-sensitive Sicilian patients with allergic rhinitis. Its relationship to total serum IgE levels and blood eosinophils during and out of the pollen season. Clin. Exp. Allergy 1997, 27, 1052–1059. [Google Scholar] [CrossRef] [PubMed]
- Di Lorenzo, G.; Mansueto, P.; Melluso, M.; Candore, G.; Colombo, A.; Pellitteri, M.E.; Drago, A.; Potestio, M.; Caruso, C. Allergic rhinitis to grass pollen: Measurement of inflammatory mediators of mast cell and eosinophils in native nasal fluid lavage and in serum out of and during pollen season. J. Allergy Clin. Immunol. 1997, 100, 832–837. [Google Scholar] [CrossRef] [PubMed]
- D’Amato, G.; Dal Bo, S.; Bonini, S. Pollen-related allergy in Italy. Ann. Allergy 1992, 68, 433–437. [Google Scholar] [PubMed]
- D’Amato, G.; Lobefalo, G. Allergenic pollens in the southern Mediterranean area. J. Allergy Clin. Immunol. 1989, 83, 116–122. [Google Scholar] [CrossRef] [PubMed]
- Mathur, S.K.; Fichtinger, P.S.; Evans, M.D.; Schwantes, E.A.; Jarjour, N.N. Variability of blood eosinophil count as an asthma biomarker. Ann. Allergy Asthma Immunol. 2016, 117, 551–553. [Google Scholar] [CrossRef] [PubMed]
- Gibson, P.G. Variability of blood eosinophils as a biomarker in asthma and COPD. Respirology 2018, 23, 12–13. [Google Scholar] [CrossRef] [PubMed]
- Mauer, Y.; Taliercio, R.M. Managing adult asthma: The 2019 GINA guidelines. Cleve Clin. J. Med. 2020, 87, 569–575. [Google Scholar] [CrossRef] [PubMed]
- Wechsler, M.E.; Hellmich, B.; Cid, M.C.; Jayne, D.; Tian, X.; Baylis, L.; Roufosse, F. Unmet needs and evidence gaps in hypereosinophilic syndrome and eosinophilic granulomatosis with polyangiitis. J. Allergy Clin. Immunol. 2023, 151, 1415–1428. [Google Scholar] [CrossRef]
- Khoury, P.; Makiya, M.; Klion, A.D. Clinical and Biological Markers in Hypereosinophilic Syndromes. Front. Med. 2017, 4, 240. [Google Scholar] [CrossRef]
- Mormile, I.; Petraroli, A.; Loffredo, S.; Rossi, F.W.; Mormile, M.; Del Mastro, A.; Spadaro, G.; de Paulis, A.; Bova, M. Episodic Angioedema with Hypereosinophilia (Gleich’s Syndrome): A Case Report and Extensive Review of the Literature. J. Clin. Med. 2021, 10, 1442. [Google Scholar] [CrossRef]
- Lingblom, C.; Albinsson, S.; Johansson, L.; Larsson, H.; Wenneras, C. Patient-Reported Outcomes and Blood-Based Parameters Identify Response to Treatment in Eosinophilic Esophagitis. Dig. Dis. Sci. 2021, 66, 1556–1564. [Google Scholar] [CrossRef]
- Caminati, M.; Marcon, A.; Guarnieri, G.; Miotti, J.; Bagnasco, D.; Carpagnano, G.E.; Pelaia, G.; Vaia, R.; Maule, M.; Vianello, A.; et al. Benralizumab Efficacy in Late Non-Responders to Mepolizumab and Variables Associated with Occurrence of Switching: A Real-Word Perspective. J. Clin. Med. 2023, 12, 1836. [Google Scholar] [CrossRef]
- Klion, A.D.; Ackerman, S.J.; Bochner, B.S. Contributions of Eosinophils to Human Health and Disease. Annu. Rev. Pathol. 2020, 15, 179–209. [Google Scholar] [CrossRef]
- Detoraki, A.; Tremante, E.; Poto, R.; Morelli, E.; Quaremba, G.; Granata, F.; Romano, A.; Mormile, I.; Rossi, F.W.; de Paulis, A.; et al. Real-life evidence of low-dose mepolizumab efficacy in EGPA: A case series. Respir. Res. 2021, 22, 185. [Google Scholar] [CrossRef] [PubMed]
- Wechsler, M.E.; Munitz, A.; Ackerman, S.J.; Drake, M.G.; Jackson, D.J.; Wardlaw, A.J.; Dougan, S.K.; Berdnikovs, S.; Schleich, F.; Matucci, A.; et al. Eosinophils in Health and Disease: A State-of-the-Art Review. Mayo Clin. Proc. 2021, 96, 2694–2707. [Google Scholar] [CrossRef] [PubMed]
- Tao, Z.; Zhu, H.; Zhang, J.; Huang, Z.; Xiang, Z.; Hong, T. Recent advances of eosinophils and its correlated diseases. Front. Public Health 2022, 10, 954721. [Google Scholar] [CrossRef] [PubMed]
- Chan, R.; RuiWen Kuo, C.; Jabbal, S.; Lipworth, B.J. Eosinophil depletion with benralizumab is associated with attenuated mannitol airway hyperresponsiveness in severe uncontrolled eosinophilic asthma. J. Allergy Clin. Immunol. 2023, 151, 700–705 e710. [Google Scholar] [CrossRef]
- Van Hulst, G.; Jorssen, J.; Jacobs, N.; Henket, M.; Louis, R.; Schleich, F.; Bureau, F.; Desmet, C.J. Anti-IL5 mepolizumab minimally influences residual blood eosinophils in severe asthma. Eur. Respir. J. 2022, 59, 2100935. [Google Scholar] [CrossRef]
- FitzGerald, J.M.; Bleecker, E.R.; Nair, P.; Korn, S.; Ohta, K.; Lommatzsch, M.; Ferguson, G.T.; Busse, W.W.; Barker, P.; Sproule, S.; et al. Benralizumab, an anti-interleukin-5 receptor alpha monoclonal antibody, as add-on treatment for patients with severe, uncontrolled, eosinophilic asthma (CALIMA): A randomised, double-blind, placebo-controlled phase 3 trial. Lancet 2016, 388, 2128–2141. [Google Scholar] [CrossRef] [PubMed]
- Bleecker, E.R.; FitzGerald, J.M.; Chanez, P.; Papi, A.; Weinstein, S.F.; Barker, P.; Sproule, S.; Gilmartin, G.; Aurivillius, M.; Werkstrom, V.; et al. Efficacy and safety of benralizumab for patients with severe asthma uncontrolled with high-dosage inhaled corticosteroids and long-acting beta(2)-agonists (SIROCCO): A randomised, multicentre, placebo-controlled phase 3 trial. Lancet 2016, 388, 2115–2127. [Google Scholar] [CrossRef] [PubMed]
- Carstens, D.; Maselli, D.J.; Mu, F.; Cook, E.E.; Yang, D.; Young, J.A.; Betts, K.A.; Genofre, E.; Chung, Y. Real-World Effectiveness Study of Benralizumab for Severe Eosinophilic Asthma: ZEPHYR 2. J. Allergy Clin. Immunol. Pract. 2023, 11, 2150–2161.e4. [Google Scholar] [CrossRef] [PubMed]
- Sposato, B.; Scalese, M.; Camiciottoli, G.; Carpagnano, G.E.; Pelaia, C.; Santus, P.; Pelaia, G.; Palmiero, G.; Di Tomassi, M.; Ronchi, M.C.; et al. Severe asthma and long-term Benralizumab effectiveness in real-life. Eur. Rev. Med. Pharmacol. Sci. 2022, 26, 7461–7473. [Google Scholar] [CrossRef] [PubMed]
- Vitale, C.; Maglio, A.; Pelaia, C.; D’Amato, M.; Ciampo, L.; Pelaia, G.; Molino, A.; Vatrella, A. Effectiveness of Benralizumab in OCS-Dependent Severe Asthma: The Impact of 2 Years of Therapy in a Real-Life Setting. J. Clin. Med. 2023, 12, 985. [Google Scholar] [CrossRef] [PubMed]
- Vultaggio, A.; Aliani, M.; Altieri, E.; Bracciale, P.; Brussino, L.; Caiaffa, M.F.; Cameli, P.; Canonica, G.W.; Caruso, C.; Centanni, S.; et al. Long-term effectiveness of benralizumab in severe eosinophilic asthma patients treated for 96-weeks: Data from the ANANKE study. Respir. Res. 2023, 24, 135. [Google Scholar] [CrossRef] [PubMed]
- Maglio, A.; Vitale, C.; Pelaia, C.; D’Amato, M.; Ciampo, L.; Sferra, E.; Molino, A.; Pelaia, G.; Vatrella, A. Severe Asthma Remissions Induced by Biologics Targeting IL5/IL5r: Results from a Multicenter Real-Life Study. Int. J. Mol. Sci. 2023, 24, 2455. [Google Scholar] [CrossRef]
- Cavaliere, C.; Segatto, M.; Ciofalo, A.; Colizza, A.; Minni, A.; Messineo, D.; Lambiase, A.; Greco, A.; de Vincentiis, M.; Masieri, S. Benralizumab reduces eosinophils and inflammatory markers in patients with severe eosinophilic asthma and chronic rhinosinusitis with nasal polyps: A pilot real-life study. Immunol. Lett. 2022, 248, 70–77. [Google Scholar] [CrossRef]
- Katz, L.E.; Gleich, G.J.; Hartley, B.F.; Yancey, S.W.; Ortega, H.G. Blood eosinophil count is a useful biomarker to identify patients with severe eosinophilic asthma. Ann. Am. Thorac. Soc. 2014, 11, 531–536. [Google Scholar] [CrossRef]
- Ortega, H.; Gleich, G.; Mayer, B.; Yancey, S. Reproducibility of a Single Blood Eosinophil Measurement as a Biomarker in Severe Eosinophilic Asthma. Ann. Am. Thorac. Soc. 2015, 12, 1896–1897. [Google Scholar] [CrossRef] [PubMed]






| Winter | Spring | Summer | Autumn | |
|---|---|---|---|---|
| Allergen exposure | None | High | Medium | Low |
| Blood drawing | January–February | April–May | July–August | October–November |
| Patients’ Features | Mean ± SD |
|---|---|
| Female gender (n, %) | 38 (48.7%) |
| Caucasian ethnicity (n, %) | 78 (100%) |
| Age, years (mean ± SD; range) | 41.7 ± 12.8; 18–73 |
| BMI (Kg/m2) | 26.3 ± 5.2 |
| Total IgE (IU/mL) | 287.4 ± 154.7 |
| Parietaria skin prick test (mm) | 15.3 ± 4.1 |
| Parietaria-specific IgE (kU/L) | 13.9 ± 8.1 |
| Gramineae grass skin prick test (mm) | 15.6 ± 3.6 |
| Gramineae grass specific IgE (kU/L) | 7.3 ± 2.9 |
| Group | Pattern of the Eosinophilic Group | |||||
| Non-Eosinophilic | Eosinophilic | Episodic | Transient | Floating | Persistent | |
| Number of Patients | 36 | 42 | 18 | 9 | 5 | 10 |
| % | 46.2% | 53.8% | 42.9% | 21.4% | 11.9% | 23.8% |
| MAEC ± SD | 292 ± 82 | 519 ± 155 | 425 ± 49 | 512 ± 38 | 506 ± 60 | 707 ± 210 |
| Type A (n.) | N.A. | 29 | 14 | 7 | 4 | 4 |
| Type A (%) | N.A. | 69.0% | 77.8% | 77.8% | 80.0% | 40.0% |
| Type B (n.) | N.A. | 13 | 4 | 2 | 1 | 6 |
| Type B (%) | N.A. | 31.0% | 22.2% | 22.2% | 20.0% | 60.0% |
| Group | Pattern of the Eosinophilic Group | |||||
| Non-Eosinophilic | Eosinophilic | Episodic | Transient | Floating | Persistent | |
| Number of Patients | 36 | 42 | 18 | 9 | 5 | 10 |
| BA (n.) | 36 | 31 | 16 | 8 | 4 | 3 |
| BA (%) | 100.0% | 73.8% | 88.9% | 88.9% | 80.0% | 30.0% |
| SBA (n.) | 0 | 11 | 2 | 1 | 1 | 7 |
| SBA (%) | 0% | 26.2% | 11.1% | 11.1% | 20.0% | 70.0% |
| Group | Pattern of the Eosinophilic Group | |||||
| Non-Eosinophilic | Eosinophilic | Episodic | Transient | Floating | Persistent | |
| Number of Patients | 36 | 42 | 18 | 9 | 5 | 10 |
| AR (n.) | 32 | 13 | 8 | 3 | 2 | 0 |
| AR (%) | 88.8% | 30.9% | 44.4% | 33.3% | 40.0% | 0% |
| CRSsNP (n.) | 2 | 11 | 6 | 3 | 1 | 1 |
| CRSsNP (%) | 5.6% | 26.2% | 33.3% | 33.3% | 20.0% | 10.0% |
| CRSwNP (n.) | 2 | 18 | 4 | 3 | 2 | 9 |
| CRSwNP (%) | 5.6% | 42.9% | 22.2% | 33.3% | 40.0% | 90.0% |
| Patients’ Features | Mean ± SD |
|---|---|
| Female gender (n, %) | 3 (48.8%) |
| Caucasian ethnicity (n, %) | 7 (100%) |
| Age, years (mean ± SD) | 50.8 ± 14.2 |
| BMI (Kg/m2) | 28.8 ± 4 |
| Disease duration (asthma; years) | 14.4 ± 6.3 |
| Disease duration (CRSwNP; years) | 7.0 ± 4.1 |
| Annualized any exacerbation rate | 3.9 ± 1.0 |
| Polyp Surgeries (mean ± SD) | 1.4 ± 0.5 |
| ACT (mean ± SD) | 14.4 ± 4.7 |
| VAS-Asthma (mean ± SD) | 38.7 ± 5.7 |
| VAS-CRS (mean ± SD) | 36.1 ± 5.7 |
| SNOT-22 (mean ± SD) | 58.3 ± 12.4 |
| NPS (mean ± SD) | 6.4 ± 0.9 |
| MAEC ± SD (cells/μL) | 768 ± 210 |
| Total IgE (IU/mL) | 232.0 ± 111.8 |
| Parietaria skin prick test (mm) | 16.3 ± 3.2 |
| Parietaria specific IgE (kU/L) | 15.6 ± 23.9 |
| Gramineae grass skin prick test (mm) | 14.1 ± 2.2 |
| Gramineae grass specific IgE (kU/L) | 4.8 ± 2.3 |
| FVC (% Pred; z-score) | 90.8 ± 7.0; −0.63 ± 0.44 |
| FEV1 (% Pred; z-score) | 67.4 ± 6.8; −2.31 ± 0.53 |
| FEV1/FVC ratio; z-score) | 0.59 ± 0.06; −2.65 ± 0.65 |
Disclaimer/Publisher’s Note: The statements, opinions and data contained in all publications are solely those of the individual author(s) and contributor(s) and not of MDPI and/or the editor(s). MDPI and/or the editor(s) disclaim responsibility for any injury to people or property resulting from any ideas, methods, instructions or products referred to in the content. |
© 2024 by the authors. Licensee MDPI, Basel, Switzerland. This article is an open access article distributed under the terms and conditions of the Creative Commons Attribution (CC BY) license (https://creativecommons.org/licenses/by/4.0/).
Share and Cite
D’Aiuto, V.; Mormile, I.; Granata, F.; Romano, A.; Della Casa, F.; D’Onofrio, C.; Marzio, V.; Mignogna, G.; Califano, L.; de Paulis, A.; et al. Eosinophilic Patterns in Patients with Seasonal Allergy Affected by Bronchial Asthma and Rhinitis/Rhinosinusitis: Efficacy of Benralizumab in Patients with the Persistent Pattern. J. Clin. Med. 2024, 13, 754. https://doi.org/10.3390/jcm13030754
D’Aiuto V, Mormile I, Granata F, Romano A, Della Casa F, D’Onofrio C, Marzio V, Mignogna G, Califano L, de Paulis A, et al. Eosinophilic Patterns in Patients with Seasonal Allergy Affected by Bronchial Asthma and Rhinitis/Rhinosinusitis: Efficacy of Benralizumab in Patients with the Persistent Pattern. Journal of Clinical Medicine. 2024; 13(3):754. https://doi.org/10.3390/jcm13030754
Chicago/Turabian StyleD’Aiuto, Valentina, Ilaria Mormile, Francescopaolo Granata, Antonio Romano, Francesca Della Casa, Caterina D’Onofrio, Valentina Marzio, Gabriele Mignogna, Luigi Califano, Amato de Paulis, and et al. 2024. "Eosinophilic Patterns in Patients with Seasonal Allergy Affected by Bronchial Asthma and Rhinitis/Rhinosinusitis: Efficacy of Benralizumab in Patients with the Persistent Pattern" Journal of Clinical Medicine 13, no. 3: 754. https://doi.org/10.3390/jcm13030754
APA StyleD’Aiuto, V., Mormile, I., Granata, F., Romano, A., Della Casa, F., D’Onofrio, C., Marzio, V., Mignogna, G., Califano, L., de Paulis, A., & Rossi, F. W. (2024). Eosinophilic Patterns in Patients with Seasonal Allergy Affected by Bronchial Asthma and Rhinitis/Rhinosinusitis: Efficacy of Benralizumab in Patients with the Persistent Pattern. Journal of Clinical Medicine, 13(3), 754. https://doi.org/10.3390/jcm13030754

